Geosmin and 2-MIB Removal by Full-Scale Drinking Water Treatment Processes in the Republic of Korea
Abstract
1. Introduction
2. Materials and Methods
2.1. Drinking Water Treatment Processes and Sampling Methods
2.2. Analysis
3. Results and Discussion
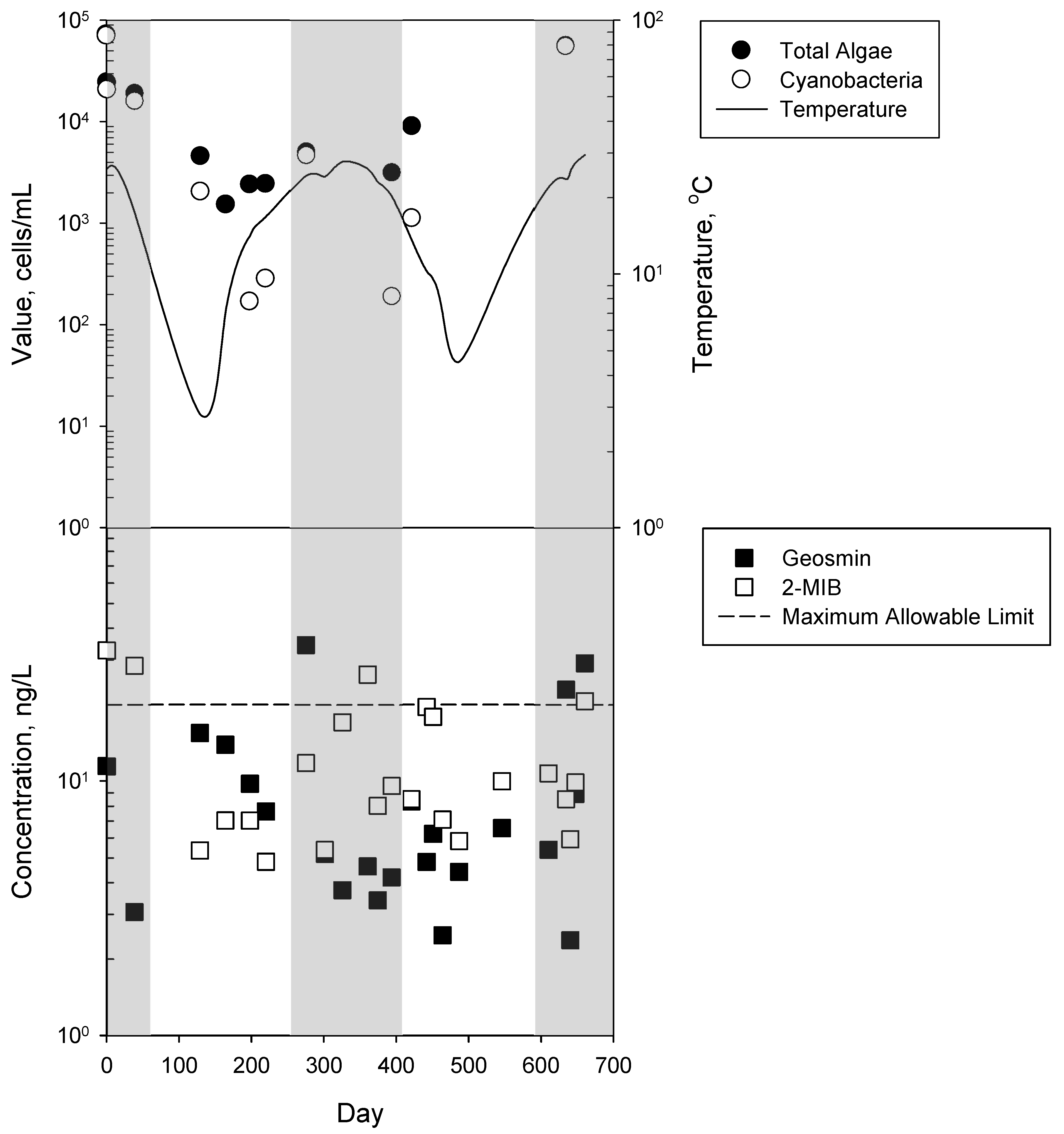
3.1. Analysis of Algae, Geosmin, and 2-MIB in Intake Water
3.2. Effect of Returned Water and Preozonation
3.3. Effect of Coagulation/Flocculation and Chlorination
3.4. Effect of Filtration, Postozonation, and Activated Carbon
3.5. Effect of Unit Treatment Processes, and Operation Periods and Times
4. Conclusions
Author Contributions
Funding
Institutional Review Board Statement
Informed Consent Statement
Data Availability Statement
Acknowledgments
Conflicts of Interest
References
- Perkins, R.G.; Slavin, E.I.; Andrade, T.M.C.; Blenkinsopp, C.; Pearson, P.; Froggatt, T.; Godwin, G.; Parslow, J.; Hurley, S.; Luckwell, R.; et al. Managing taste and odour metabolite production in drinking water reservoirs: The importance of ammonium as a key nutrient trigger. J. Environ. Manag. 2019, 244, 276–284. [Google Scholar] [CrossRef] [PubMed]
- Kim, C.; Lee, S.I.; Hwang, S.; Cho, M.; Kim, H.; Noh, S.H. Removal of geosmin and 2-methylisoboneol (2-MIB) by membrane system combined with powdered activated carbon (PAC) for drinking water treatment. J. Water Process Eng. 2014, 4, 91–98. [Google Scholar] [CrossRef]
- Yu, J.; Yang, F.C.; Hung, W.N.; Liu, C.L.; Yang, M.; Lin, T.F. Prediction of powdered activated carbon doses for 2-MIB removal in drinking water treatment using a simplified HSDM approach. Chemosphere 2016, 156, 374–382. [Google Scholar] [CrossRef] [PubMed]
- Chen, S.; Dong, B.; Gao, K.; Li, T. Pilot study on advanced treatment of geosmin and 2-MIB with O3/GAC. Water Supply 2019, 19, 1253–1263. [Google Scholar] [CrossRef]
- Chong, S.; Lee, H.; An, K. Predicting taste and odor compounds in a shallow reservoir using a three–dimensional hydrodynamic ecological model. Water 2018, 10, 1396. [Google Scholar] [CrossRef]
- Smith, V.H.; Sieber-Denlinger, J.; deNoyelles, F.; Campbell, S.; Pan, S.; Randtke, S.J.; Blain, G.T.; Strasser, V.A. Managing taste and odor problems in a eutrophic drinking water reservoir. Lake Reserv. Manag. 2002, 18, 319–323. [Google Scholar] [CrossRef]
- Yuan, B.; Xu, D.; Li, F.; Fu, M. Removal efficiency and possible pathway of odor compounds (2-methylisoborneol and geosmin) by ozonation. Sep. Purif. Technol. 2013, 117, 53–58. [Google Scholar] [CrossRef]
- Rosenfeldt, E.J.; Melcher, B.; Linden, K.G. UV and UV/H2O2 treatment of methylisoborneol (MIB) and geosmin in water. J. Water Supply Res. Technol. AQUA 2005, 54, 423–434. [Google Scholar] [CrossRef]
- Bruce, D.; Westerhoff, P.; Brawley-Chesworth, A. Removal of 2-methylisoborneol and geosmin in surface water treatment plants in Arizona. J. Water Supply Res. Technol. AQUA 2002, 51, 183–198. [Google Scholar] [CrossRef]
- Seo, J.W.; Kim, Y.S.; Kim, K.B.; Kim, M.C.; Park, S.H.; Koo, J.Y. Removal characteristics of geosmin by advanced water treatment processes: A case study around the Han River, Republic of Korea. Desalin. Water Treat. 2019, 157, 177–194. [Google Scholar] [CrossRef]
- Srinivasan, R.; Sorial, G.A. Treatment of taste and odor causing compounds 2-methyl isoborneol and geosmin in drinking water: A critical review. J. Environ. Sci. 2011, 23, 1–13. [Google Scholar] [CrossRef]
- Zamyadi, A.; Henderson, R.K.; Newton, K.; Capelo-Neto, J.; Newcombe, G. Assessment of the water treatment process’s empirical model predictions for the management of aesthetic and health risks associated with cyanobacteria. Water 2018, 10, 590. [Google Scholar] [CrossRef]
- Yu, Y.; Choi, Y.H.; Kim, D.J.; Kwon, S.; Kim, C. Rejection property of geosmin and 2-Methylisoborneol (MIB) with high concentration level at multi stage nanofiltration (NF) membrane system. J. Korean Soc. Water Wastew. 2014, 28, 397–409. [Google Scholar] [CrossRef]
- Park, G.; Yu, M.; Koo, J.-Y.; Joe, W.H.; Kim, H. Oxidation of geosmin and MIB in water using O3/H2O2: Kinetic evaluation. Water Supply 2006, 6, 63–69. [Google Scholar] [CrossRef]
- Cook, D.; Newcombe, G. Can we predict the removal of MIB and geosmin with PAC by using water quality parameters? Water Supply 2004, 4, 221–226. [Google Scholar] [CrossRef]
- APHA AWA-WEF. Standard Methods for the Examination of Water and Wastewater, 21st ed.; American Public Health Association: Washington, DC, USA, 2005. [Google Scholar]
- Karlson, B.; Anderson, C.; Coyne, K.; Sellner, K.; Anderson, D. Designing an observing system for early detection of harmful algal blooms. In Harmful Algal Blooms (HABs) and Desalination: A Guide to Impacts, Monitoring, and Management; Intergovernmental Oceanographic Commission: Paris, France, 2017. [Google Scholar]
- Lee, H.-J.; Kang, L.-S. Analysis of geosmin and 2-MIB in water by stir bar sorptive extraction (SBSE) and GC/MS. J. Korean Soc. Environ. Eng. 2009, 31, 64–69. [Google Scholar]
- Parinet, J.; Rodriguez, M.J.; Sérodes, J.B. Modelling geosmin concentrations in three sources of raw water in Quebec, Canada. Environ. Monit. Assess. 2013, 185, 95–111. [Google Scholar] [CrossRef] [PubMed]
- You, K.; Byeon, M.; Youn, S.; Hwang, S.; Rhew, D. Growth characteristics of blue-green algae (anabaena spiroides) causing tastes and odors in the north-han river, Korea. Korean J. Ecol. Environ. 2013, 46, 135–144. [Google Scholar] [CrossRef]
- Lee, J.D.; Lee, M.S.; Shin, W.S.; Kim, Y.; Choi, S.J. Removal of freshwater diatoms (Synedra acus and Stephanodiscus sp.) by preozonation and addition of polyamine coagulant-aid. Korean J. Chem. Eng. 2005, 22, 682–686. [Google Scholar] [CrossRef]
- Abrha, Y.W.; Kye, H.; Kwon, M.; Lee, D.; Kim, K.; Jung, Y.; Ahn, Y.; Kang, J. Removal of algae, and taste and odor compounds by a combination of plant-mineral composite (pmc) coagulant with uv-aops: Laboratory and pilot scale studies. Appl. Sci. 2018, 8, 1502. [Google Scholar] [CrossRef]
- Glaze, W.H.; Schep, R.; Chauncey, W.; Ruth, E.C.; Zarnoch, J.J.; Aieta, E.M.; Tate, C.H.; McGuire, M.J. Evaluating oxidants for the removal of model taste and odor compounds from a municipal water supply. J. Am. Water Works Assoc. 1990, 82, 79–84. [Google Scholar] [CrossRef]
- Qi, F.; Xu, B.; Chen, Z.; Ma, J.; Sun, D.; Zhang, L. Efficiency and products investigations on the ozonation of 2-methylisoborneol in drinking water. Water Environ. Res. 2009, 81, 2411–2419. [Google Scholar] [CrossRef] [PubMed]
- Ho, L.; Newcombe, G.; Croué, J.P. Influence of the character of NOM on the ozonation of MIB and geosmin. Water Res. 2002, 36, 511–518. [Google Scholar] [CrossRef]
- Ham, Y.W.; Ju, Y.G.; Oh, H.K.; Lee, B.W.; Kim, H.K.; Kim, D.G.; Hong, S.K. Evaluation of removal characteristics of taste and odor causing compounds and organic matters using ozone/granular activated carbon(o3/gac) process. J. Korean Soc. Water Wastew. 2012, 26, 237–247. [Google Scholar] [CrossRef][Green Version]
- Zamyadi, A.; Henderson, R.; Stuetz, R.; Hofmann, R.; Ho, L.; Newcombe, G. Fate of geosmin and 2-methylisoborneol in full-scale water treatment plants. Water Res. 2015, 83, 171–183. [Google Scholar] [CrossRef] [PubMed]








| Facility | Size (m) | Design | Operation |
|---|---|---|---|
| Receiving Well | 2 basins (22 × 40 × 6) | 17.3 min | - |
| Preozonation | 1 basins (10 × 9.4 × 6) | 2.4 min | Dose (mg/L): 0.30–1.20; Contact time (min): 3.6 (Average); pH: 6.6–7.7; Temperature (°C): 3.0–27.6 |
| Coagulation/ Flocculation | 16 basins (18 × 15 × 4.5) | 31.8 min | PAC (mg/L): 25.0–60.0; Contact time (min): 5.6 (Coagulation), 71.9 (Flocculation); G (1/sec): 22.0–31.6 (Coagulation), 3.7–9.8 (Flocculation); pH: 6.3–7.6; Temperature (°C): 3.0–27.4 |
| Settling basin | 16 basins (18 × 80 × 4.5) | 170 min (2.83 h) | Retention time (h): 3–4; Velocity (m/s): 0.012 (Average) |
| Sand filtration | 48 basins (9.7 × 12) | 158 m/d | Filtration type: gravity; Rate of filtration (m/d): 74.1 (Average); Depth of filter bed (cm): 97–108; Duration of filtration cycle (h): 48; Sequence of backwashing: air (1.5 min) -> air + water (5.5 min) -> water (7.0 min); Size of sand (mm): 1.07 (Average) |
| Postozonation | 4 basins (10 × 9.4 × 6) | 10 min | Dose (mg/L): 0.40–1.20; Contact time (min): 3.6 min (Average); pH: 6.6–7.6, Temperature (°C): 4.0–27.0 |
| Activated carbon adsorption | 2 basins (8 × 12.5 × 2.5) | 10 min (6 m/h) | GAC type: gravity; Linear velocity (m/h): 10.4 (Average); GAC replacement cycle (y): 3 |
| Clear Well | 2 basins (40 × 85) | - | - |
| GC (6890N, Agilent, Santa Clara, CA, USA) |
| Colum: HP-5MS, 30 m (L) × 0.25 mm (D) × 0.25 um (film thickness) |
| Oven Temperature: Initial Temperature. 50 °C, Hold 1.6 min, |
| 1st rate 20 °C to 10 °C, 2nd rate 10 °C to 140 °C, 3rd rate 5 °C to 160 °C |
| MSD (5973N, Agilent, Santa Clara, CA, USA) |
| SIM mode |
| Selected ion: geosmin (111, 112, 125), 2-MIB (95, 108) |
| Parameters | Average | Median | S.D. | Min | Max | Skewness |
|---|---|---|---|---|---|---|
| Total Algae | 18,075 | 5019 | 22,926 | 1513 | 71,720 | 1.7 |
| Cyanobacteria | 15,411 | 3328 | 23,880 | 168 | 69,650 | 1.6 |
| Geosmin | 9.5 | 6.2 | 8.4 | 2.4 | 34.3 | 1.9 |
| 2-methylisoborneol (2-MIB) | 12.5 | 9.6 | 7.9 | 4.8 | 32.6 | 1.3 |
| Parameters | Average | Median | S.D. | Min | Max | Skewness | |
|---|---|---|---|---|---|---|---|
| Geosmin | Raw Water | 7.9 | 6.2 | 4.4 | 2.3 | 17.1 | 0.9 |
| Influent Water | 8.4 | 6.9 | 5.5 | 2.5 | 20.3 | 1.0 | |
| Preozonation | 5.6 | 4.3 | 3.7 | 1.5 | 13.8 | 1.1 | |
| Coagulation/Flocculation | 5.9 | 4.5 | 3.8 | 2.0 | 16.7 | 1.5 | |
| Chlorination | 5.4 | 3.4 | 4.7 | 1.3 | 17.9 | 1.6 | |
| Filtration | 5.7 | 4.1 | 3.7 | 1.8 | 15.8 | 1.3 | |
| Postozonation | 4.8 | 3.7 | 2.8 | 1.4 | 12.1 | 1.2 | |
| Activated Carbon | 3.2 | 3.0 | 2.1 | 0.4 | 9.1 | 1.1 | |
| Treated Water | 4.5 | 3.8 | 2.7 | 0.9 | 12.9 | 1.4 | |
| 2-MIB | Raw Water | 13.0 | 10.1 | 8.3 | 2.9 | 40.7 | 1.9 |
| Influent Water | 12.7 | 9.1 | 8.5 | 5.0 | 38.8 | 1.8 | |
| Preozonation | 8.9 | 8.1 | 5.1 | 2.8 | 21.7 | 1.3 | |
| Coagulation/Flocculation | 10.0 | 8.3 | 5.2 | 4.2 | 21.0 | 0.8 | |
| Chlorination | 10.1 | 9.5 | 4.3 | 4.5 | 18.5 | 0.4 | |
| Filtration | 10.1 | 8.3 | 5.7 | 4.1 | 24.8 | 1.3 | |
| Postozonation | 9.2 | 9.1 | 4.3 | 1.8 | 21.1 | 0.7 | |
| Activated Carbon | 6.6 | 5.6 | 3.5 | 2.0 | 17.5 | 1.6 | |
| Treated Water | 9.1 | 6.8 | 6.3 | 3.4 | 31.3 | 2.4 | |
Publisher’s Note: MDPI stays neutral with regard to jurisdictional claims in published maps and institutional affiliations. |
© 2021 by the authors. Licensee MDPI, Basel, Switzerland. This article is an open access article distributed under the terms and conditions of the Creative Commons Attribution (CC BY) license (http://creativecommons.org/licenses/by/4.0/).
Share and Cite
Kim, K.T.; Park, Y.-G. Geosmin and 2-MIB Removal by Full-Scale Drinking Water Treatment Processes in the Republic of Korea. Water 2021, 13, 628. https://doi.org/10.3390/w13050628
Kim KT, Park Y-G. Geosmin and 2-MIB Removal by Full-Scale Drinking Water Treatment Processes in the Republic of Korea. Water. 2021; 13(5):628. https://doi.org/10.3390/w13050628
Chicago/Turabian StyleKim, Keug Tae, and Yong-Gyun Park. 2021. "Geosmin and 2-MIB Removal by Full-Scale Drinking Water Treatment Processes in the Republic of Korea" Water 13, no. 5: 628. https://doi.org/10.3390/w13050628
APA StyleKim, K. T., & Park, Y.-G. (2021). Geosmin and 2-MIB Removal by Full-Scale Drinking Water Treatment Processes in the Republic of Korea. Water, 13(5), 628. https://doi.org/10.3390/w13050628

