Deriving Natural Background Levels of Arsenic at the Meso-Scale Using Site-Specific Datasets: An Unorthodox Method
Abstract
1. Introduction
2. Materials and Methods
2.1. Conceptual Model of the Investigated System
2.2. Available Dataset
2.3. Data Pre-Processing and Calculation of Natural Background Levels of Arsenic
2.3.1. Treatment of Non-Detects
2.3.2. Data Quality Assessment and Preparation of the Working Dataset
2.3.3. Identification and Treatment of Outliers
2.3.4. NBL Calculation
2.3.5. Comparison with NBLs Calculated from the Regional Monitoring Network
3. Results and Discussion
3.1. Identification of a Higher Quality Working Dataset
3.2. Identification and Removal of Outliers Likely Representing Anthropogenic Influences
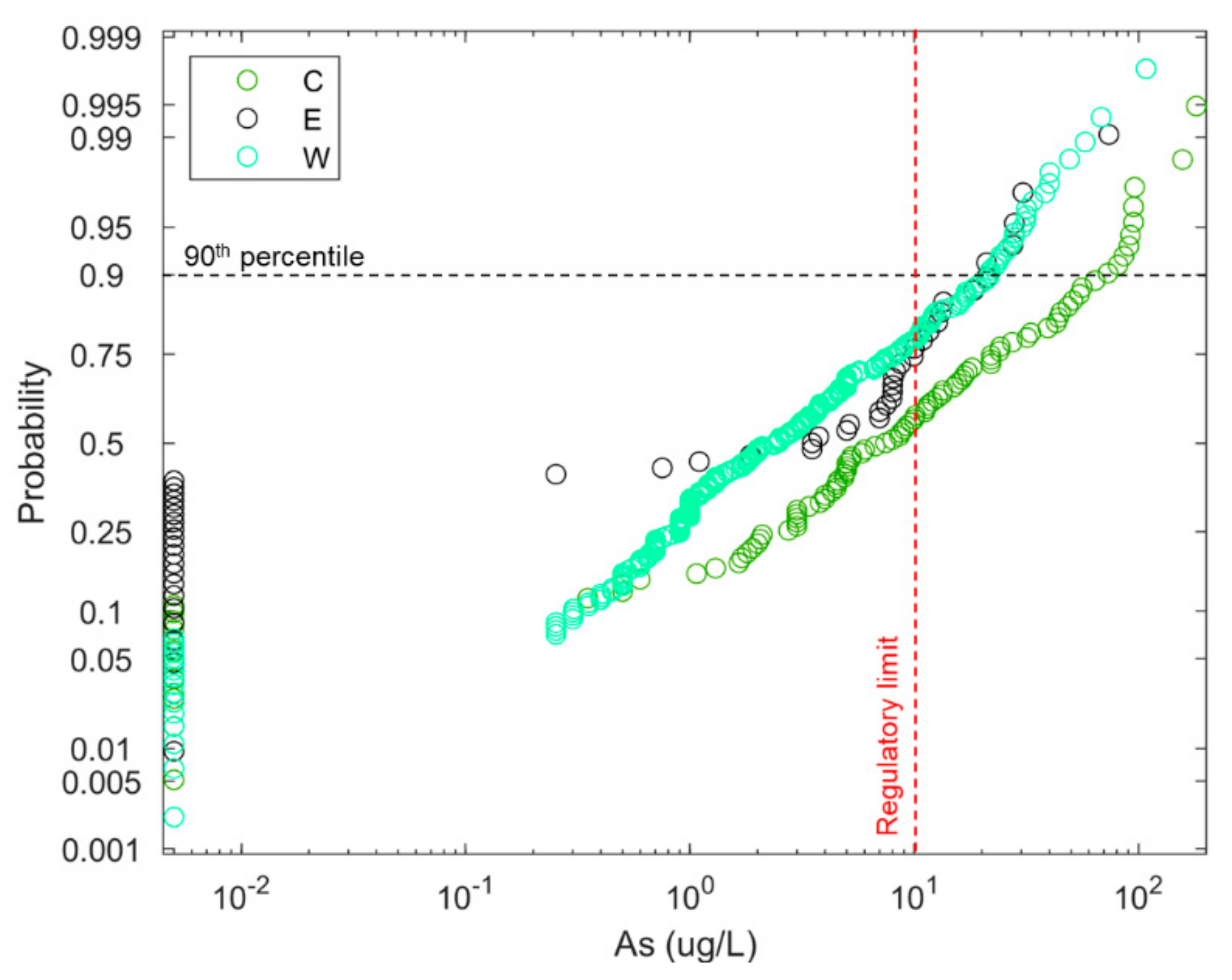
3.3. Derivation of Natural Background Levels
3.4. Comparison with NBLs Derived from the Regional Monitoring Network
4. Conclusions
- 68 µg/L in the central sector, characterized by the abundance of buried OM, and thus, by a stronger potential for release of As to groundwater due to the reductive dissolution mechanism;
- 21 µg/L in the eastern and western sectors, characterized by a lower content of buried OM.
- Site-specific datasets can represent a cost-effective source of data useful for the derivation of NBLs, when regional monitoring networks fail to catch local-scale variability; however, the main disadvantage of using an assemblage of site-specific datasets is limited data quality, due to the likely application of different sampling and analytical methodologies;
- The lack of complete information on major ions and specific pollutants/contaminants for the sites, which prevents the application of conventional methodologies (e.g., pre-selection), can be overcome through a critical analysis of outliers that allows identification of possible anthropogenic influences; the analysis of outliers, however, must be supported by a robust conceptual model of each site, which must contain a description of the site (a) geology, (b) hydrogeology (type and depth of the aquifer involved, groundwater flow direction), and (c) contamination/pollution (chemical species and compounds involved, location of monitoring points with respect to the contamination/pollution sources);
- The design of regional monitoring networks of groundwater quality must consider local-scale geological heterogeneities that can generate local and high natural concentrations of particular chemical species, such as arsenic, in order to avoid the calculation of unreliably low NBL values that might lead to erroneous evaluation of potentially contaminated sites.
Supplementary Materials
Author Contributions
Funding
Data Availability Statement
Acknowledgments
Conflicts of Interest
References
- Fernandez-Luqueno, F.; López-Valdez, F.; Gamero-Melo, P.; Luna-Suárez, S.; Aguilera-González, E.N.; Martínez, A.I.; García-Guillermo, M.; Hernández-Martínez, G.; Herrera-Mendoza, R.; Álvarez-Garza, M.A.; et al. Heavy metal pollution in drinking water-a global risk for human health: A review. Afr. J. Environ. Sci. Technol. 2013, 7, 567–584. [Google Scholar]
- Panagos, P.; Van Liedekerke, M.; Yigini, Y.; Montanarella, L. Contaminated sites in Europe: Review of the current situation based on data collected through a European network. J. Environ. Public Health 2013, 2013, 158764. [Google Scholar] [CrossRef]
- Ravenscroft, P.; Brammer, H.; Richards, K. Arsenic pollution: A global synthesis; John Wiley & Sons: Chichester, UK, 2011; Volume 94, ISBN 978-1-405-18601-8. [Google Scholar]
- Shankar, S.; Shanker, U. Arsenic Contamination of Groundwater: A Review of Sources, Prevalence, Health Risks, and Strategies for Mitigation. Sci. World J. 2014, 2014, 304524. [Google Scholar] [CrossRef] [PubMed]
- De Caro, M.; Crosta, G.B.; Frattini, P. Hydrogeochemical characterization and Natural Background Levels in urbanized areas: Milan Metropolitan area (Northern Italy). J. Hydrol. 2017, 547, 455–473. [Google Scholar] [CrossRef]
- Luzzadder-Beach, S. Evaluating the effects of spatial monitoring policy on groundwater quality portrayal. Environ. Manag. 1995, 19, 383–392. [Google Scholar] [CrossRef]
- Gibbons, R.D.; Bhaumik, D.; Aryal, S. Statistical Methods for Groundwater Monitoring; Wiley Online Library: Hoboken, NJ, USA, 2009; Volume 2, ISBN 9780470164969. [Google Scholar]
- Rotiroti, M.; Di Mauro, B.; Fumagalli, L.; Bonomi, T. COMPSEC, a new tool to derive natural background levels by the component separation approach: Application in two different hydrogeological contexts in northern Italy. J. Geochem. Explor. 2015, 158, 44–54. [Google Scholar] [CrossRef]
- Marini, L.; Canepa, M.; Cipolli, F.; Ottonello, G.; Zuccolini, M.V. Use of stream sediment chemistry to predict trace element chemistry of groundwater. A case study from the Bisagno valley (Genoa, Italy). J. Hydrol. 2001, 241, 194–220. [Google Scholar] [CrossRef]
- Edet, A.E.; Merkel, B.J.; Offiong, O.E. Trace element hydrochemical assessment of the Calabar Coastal Plain Aquifer, southeastern Nigeria using statistical methods. Environ. Geol. 2003, 44, 137–149. [Google Scholar] [CrossRef]
- Preziosi, E.; Parrone, D.; Del Bon, A.; Ghergo, S. Natural background level assessment in groundwaters: Probability plot versus pre-selection method. J. Geochem. Explor. 2014, 143, 43–53. [Google Scholar] [CrossRef]
- Peña Reyes, F.A.; Crosta, G.B.; Frattini, P.; Basiricò, S.; Della Pergola, R. Hydrogeochemical overview and natural arsenic occurrence in groundwater from alpine springs (upper Valtellina, Northern Italy). J. Hydrol. 2015, 529, 1530–1549. [Google Scholar] [CrossRef]
- Barranquero, R.S.; Varni, M.; Vega, M.; Pardo, R.; De Galarreta, A.R. Arsenic, fluoride and other trace elements in the Argentina Pampean plain. Geol. Acta 2017, 15, 187–200. [Google Scholar]
- Marandi, A.; Karro, E. Natural background levels and threshold values of monitored parameters in the Cambrian-Vendian groundwater body, Estonia. Environ. Geol. 2008, 54, 1217–1225. [Google Scholar] [CrossRef]
- Wendland, F.; Berthold, G.; Blum, A.; Elsass, P.; Fritsche, J.G.; Kunkel, R.; Wolter, R. Derivation of natural background levels and threshold values for groundwater bodies in the Upper Rhine Valley (France, Switzerland and Germany). Desalination 2008, 226, 160–168. [Google Scholar] [CrossRef]
- Mendizabal, I.; Baggelaar, P.K.; Stuyfzand, P.J. Hydrochemical trends for public supply well fields in The Netherlands (1898–2008), natural backgrounds and upscaling to groundwater bodies. J. Hydrol. 2012, 450−451, 279–292. [Google Scholar] [CrossRef]
- Gunnarsdottir, M.J.; Gardarsson, S.M.; Jonsson, G.S.; Armannsson, H.; Bartram, J. Natural background levels for chemicals in Icelandic aquifers. Hydrol. Res. 2014, 46, 647–660. [Google Scholar] [CrossRef]
- Gao, Y.; Qian, H.; Wang, H.; Chen, J.; Ren, W.; Yang, F. Assessment of background levels and pollution sources for arsenic and fluoride in the phreatic and confined groundwater of Xi’an city, Shaanxi, China. Environ. Sci. Pollut. Res. 2019. [Google Scholar] [CrossRef]
- Ducci, D.; Sellerino, M. Natural background levels for some ions in groundwater of the Campania region (southern Italy). Environ. Earth Sci. 2012, 67, 683–693. [Google Scholar] [CrossRef]
- Molinari, A.; Guadagnini, L.; Marcaccio, M.; Guadagnini, A. Natural background levels and threshold values of chemical species in three large-scale groundwater bodies in Northern Italy. Sci. Total Environ. 2012, 425, 9–19. [Google Scholar] [CrossRef] [PubMed]
- Molinari, A.; Guadagnini, L.; Marcaccio, M.; Guadagnini, A. Geostatistical multimodel approach for the assessment of the spatial distribution of natural background concentrations in large-scale groundwater bodies. Water Res. 2019, 149, 522–532. [Google Scholar] [CrossRef]
- Parrone, D.; Ghergo, S.; Preziosi, E. A multi-method approach for the assessment of natural background levels in groundwater. Sci. Total Environ. 2019, 659, 884–894. [Google Scholar] [CrossRef]
- Sellerino, M.; Forte, G.; Ducci, D. Identification of the natural background levels in the Phlaegrean fields groundwater body (Southern Italy). J. Geochem. Explor. 2019, 200, 181–192. [Google Scholar] [CrossRef]
- Guadagnini, L.; Menafoglio, A.; Sanchez-Vila, X.; Guadagnini, A. Probabilistic assessment of spatial heterogeneity of natural background concentrations in large-scale groundwater bodies through Functional Geostatistics. Sci. Total Environ. 2020, 740, 140139. [Google Scholar] [CrossRef] [PubMed]
- Preziosi, E.; Rossi, D.; Parrone, D.; Ghergo, S. Groundwater chemical status assessment considering geochemical background: An example from Northern Latium (Central Italy). Rend. Lincei 2016, 27, 59–66. [Google Scholar] [CrossRef]
- Dalla Libera, N.; Fabbri, P.; Mason, L.; Piccinini, L.; Pola, M. Geostatistics as a tool to improve the natural background level definition: An application in groundwater. Sci. Total Environ. 2017, 598, 330–340. [Google Scholar] [CrossRef] [PubMed]
- Müller, D.; Blum, A.; Hart, A.; Hookey, J.; Kunkel, R.; Scheidleder, A.; Tomlin, C.; Wendland, F. D18: Final proposal for a methodology to set up groundwater threshold values in Europe. BRIDGE project, Background Criteria for the Identification of Groundwater Thresholds, 6th Framework Programme Contract. 2006. Available online:http://www.hydrologie.org/BIB/Publ_UNESCO/SOG_BRIDGE/Deliverables/WP3/D18.pdf (accessed on 9 February 2021).
- Hinsby, K.; Condesso de Melo, M.T.; Dahl, M. European case studies supporting the derivation of natural background levels and groundwater threshold values for the protection of dependent ecosystems and human health. Sci. Total Environ. 2008, 401, 1–20. [Google Scholar] [CrossRef] [PubMed]
- Rotiroti, M.; Fumagalli, L.; Frigerio, M.C.; Stefania, G.A.; Simonetto, F.; Capodaglio, P.; Bonomi, T. Natural background levels and threshold values of selected species in the alluvial aquifers in the Aosta Valley Region (N Italy). Rend Online Soc. Geol. It. 2015, 35, 256–259. [Google Scholar] [CrossRef]
- Coetsiers, M.; Blaser, P.; Martens, K.; Walraevens, K. Natural background levels and threshold values for groundwater in fluvial Pleistocene and Tertiary marine aquifers in Flanders, Belgium. Environ. Geol. 2009, 57, 1155–1168. [Google Scholar] [CrossRef]
- Gemitzi, A. Evaluating the anthropogenic impacts on groundwaters; a methodology based on the determination of natural background levels and threshold values. Environ. Earth Sci. 2012, 67, 2223–2237. [Google Scholar] [CrossRef]
- Preziosi, E.; Giuliano, G.; Vivona, R. Natural background levels and threshold values derivation for naturally As, V and F rich groundwater bodies: A methodological case study in Central Italy. Environ. Earth Sci. 2010, 61, 885–897. [Google Scholar] [CrossRef]
- Rotiroti, M.; Fumagalli, L. Derivation of preliminary natural background levels for naturally Mn, Fe, As and NH4+ rich groundwater: The case study of Cremona area (Northern Italy). Rendiconti Online Soc. Geol. Ital. 2013, 24, 284–286. [Google Scholar]
- Serianz, L.; Cerar, S.; Šraj, M. Hydrogeochemical characterization and determination of natural background levels (NBL) in groundwater within the main lithological units in Slovenia. Environ. Earth Sci. 2020, 79, 373. [Google Scholar] [CrossRef]
- Wendland, F.; Hannappel, S.; Kunkel, R.; Schenk, R.; Voigt, H.J.; Wolter, R. A procedure to define natural groundwater conditions of groundwater bodies in Germany. Water Sci. Technol. 2005, 51, 249–257. [Google Scholar] [CrossRef]
- Voigt, H.J.; Hannappel, S.; Kunkel, R.; Wendland, F. Assessment of natural groundwater concentrations of hydrogeological structures in Germany. Geologija 2005, 50, 35–47. [Google Scholar]
- Chidichimo, F.; Biase, M.D.; Costabile, A.; Cuiuli, E.; Reillo, O.; Migliorino, C.; Treccosti, I.; Straface, S. GuEstNBL: The Software for the Guided Estimation of the Natural Background Levels of the Aquifers. Water 2020, 12, 2728. [Google Scholar] [CrossRef]
- Ducci, D.; de Melo, M.T.C.; Preziosi, E.; Sellerino, M.; Parrone, D.; Ribeiro, L. Combining natural background levels (NBLs) assessment with indicator kriging analysis to improve groundwater quality data interpretation and management. Sci. Total Environ. 2016, 569−570, 569–584. [Google Scholar] [CrossRef]
- Dalla Libera, N.; Fabbri, P.; Mason, L.; Piccinini, L.; Pola, M. A local natural background level concept to improve the natural background level: A case study on the drainage basin of the Venetian Lagoon in Northeastern Italy. Environ. Earth Sci. 2018, 77, 487. [Google Scholar] [CrossRef]
- Avila-Sandoval, C.; Júnez-Ferreira, H.; González-Trinidad, J.; Bautista-Capetillo, C.; Pacheco-Guerrero, A.; Olmos-Trujillo, E. Spatio-Temporal Analysis of Natural and Anthropogenic Arsenic Sources in Groundwater Flow Systems. Int. J. Environ. Res. Public Health 2018, 15, 2374. [Google Scholar] [CrossRef] [PubMed]
- Meyer, P.D.; Valocchi, A.J.; Eheart, J.W. Monitoring network design to provide initial detection of groundwater contamination. Water Resour. Res. 1994, 30, 2647–2659. [Google Scholar] [CrossRef]
- Papapetridis, K.; Paleologos, E.K. Sampling Frequency of Groundwater Monitoring and Remediation Delay at Contaminated Sites. Water Resour. Manag. 2012, 26, 2673–2688. [Google Scholar] [CrossRef]
- Preziosi, E.; Frollini, E.; Zoppini, A.; Ghergo, S.; Melita, M.; Parrone, D.; Rossi, D.; Amalfitano, S. Disentangling natural and anthropogenic impacts on groundwater by hydrogeochemical, isotopic and microbiological data: Hints from a municipal solid waste landfill. Waste Manag. 2019, 84, 245–255. [Google Scholar] [CrossRef]
- Chidichimo, F.; De Biase, M.; Straface, S. Groundwater pollution assessment in landfill areas: Is it only about the leachate? Waste Manag. 2020, 102, 655–666. [Google Scholar] [CrossRef]
- Vyas, V.M.; Roy, A.; Georgopoulos, P.G.; Strawderman, W.; Kosson, D.S. Development and Application of a Methodology for Determining Background Groundwater Quality at the Savannah River Site. J. Air Waste Manag. Assoc. 2006, 56, 159–168. [Google Scholar] [CrossRef] [PubMed]
- Reimann, C.; Filzmoser, P. Normal and lognormal data distribution in geochemistry: Death of a myth. Consequences for the statistical treatment of geochemical and environmental data. Environ. Geol. 2000, 39, 1001–1014. [Google Scholar] [CrossRef]
- Molinari, A.; Chidichimo, F.; Straface, S.; Guadagnini, A. Assessment of natural background levels in potentially contaminated coastal aquifers. Sci. Total Environ. 2014, 476–477, 38–48. [Google Scholar] [CrossRef] [PubMed]
- Bulut, O.F.; Duru, B.; Çakmak, Ö.; Günhan, Ö.; Dilek, F.B.; Yetis, U. Determination of groundwater threshold values: A methodological approach. J. Clean. Prod. 2020, 253, 120001. [Google Scholar] [CrossRef]
- Legislative Decree 152/2006. Decreto Legislativo n. 152 del 3 aprile 2006 sulle norme in materia ambientale (Legislative De-cree on Environmental Regulations). Available online: https://www.isprambiente.gov.it/it/garante_aia_ilva/normativa/normativa-ambientale/Dlgs_152_06_TestoUnicoAmbientale.pdf (accessed on 9 February 2021).
- Carraro, A.; Fabbri, P.; Giaretta, A.; Peruzzo, L.; Tateo, F.; Tellini, F. Effects of redox conditions on the control of arsenic mobility in shallow alluvial aquifers on the Venetian Plain (Italy). Sci. Total Environ. 2015, 532, 581–594. [Google Scholar] [CrossRef] [PubMed]
- Rotiroti, M.; Bonomi, T.; Sacchi, E.; McArthur, J.M.; Jakobsen, R.; Sciarra, A.; Etiope, G.; Zanotti, C.; Nava, V.; Fumagalli, L.; et al. Overlapping redox zones control arsenic pollution in Pleistocene multi-layer aquifers, the Po Plain (Italy). Sci. Total Environ. 2020, 758, 143646. [Google Scholar] [CrossRef]
- Garzanti, E.; Vezzoli, G.; Andò, S. Paleogeographic and paleodrainage changes during Pleistocene glaciations (Po Plain, Northern Italy). Earth-Sci. Rev. 2011, 105, 25–48. [Google Scholar] [CrossRef]
- Regione, E.R.; ENI-AGIP. Riserve idriche sotterranee della Regione Emilia-Romagna (In Italian Transl.: Groundwater Resources of the Emilia-Romagna Region); Di Dio, G., Ed.; S.EL.CA. printer: Florence, Italy, 1998. [Google Scholar]
- Molinari, F.C.; Boldrini, G.; Severi, P.; Dugoni, G.; Rapti Caputo, D.; Martinelli, G. Risorse Idriche Sotterranee Della Provincia di Ferrara (In Italian; Transl. Groundwater Resources of the Ferrara Province); DB-MAP printer: Florence, Italy, 2007; pp. 1–62. [Google Scholar]
- Amorosi, A.; Bruno, L.; Campo, B.; Morelli, A.; Rossi, V.; Scarponi, D.; Hong, W.; Bohacs, K.M.; Drexler, T.M. Global sea-level control on local parasequence architecture from the Holocene record of the Po Plain, Italy. Mar. Pet. Geol. 2017, 87, 99–111. [Google Scholar] [CrossRef]
- Amorosi, A.; Bruno, L.; Cleveland, D.M.; Morelli, A.; Hong, W. Paleosols and associated channel-belt sand bodies from a continuously subsiding late Quaternary system (Po Basin, Italy): New insights into continental sequence stratigraphy. GSA Bull. 2017, 129, 449–463. [Google Scholar] [CrossRef]
- Giacomelli, S.; Rossi, V.; Amorosi, A.; Bruno, L.; Campo, B.; Ciampalini, A.; Civa, A.; Hong, W.; Sgavetti, M.; de Souza Filho, C.R. A mid-late Holocene tidally-influenced drainage system revealed by integrated remote sensing, sedimentological and stratigraphic data. Geomorphology 2018, 318, 421–436. [Google Scholar] [CrossRef]
- Campo, B.; Amorosi, A.; Vaiani, S.C. Sequence stratigraphy and late Quaternary paleoenvironmental evolution of the Northern Adriatic coastal plain (Italy). Palaeogeogr. Palaeoclimatol. Palaeoecol. 2017, 466, 265–278. [Google Scholar] [CrossRef]
- Caschetto, M.; Colombani, N.; Mastrocicco, M.; Petitta, M.; Aravena, R. Estimating groundwater residence time and recharge patterns in a saline coastal aquifer. Hydrol. Processes 2016, 30, 4202–4213. [Google Scholar] [CrossRef]
- Filippini, M.; Parker, B.L.; Dinelli, E.; Wanner, P.; Chapman, S.W.; Gargini, A. Assessing aquitard integrity in a complex aquifer—aquitard system contaminated by chlorinated hydrocarbons. Water Res. 2020, 171, 115388. [Google Scholar] [CrossRef]
- Filippini, M.; Stumpp, C.; Nijenhuis, I.; Richnow, H.H.; Gargini, A. Evaluation of aquifer recharge and vulnerability in an alluvial lowland using environmental tracers. J. Hydrol. 2015, 529, 1657–1668. [Google Scholar] [CrossRef]
- Calmistro, M.; Salemi, E.; Mastrocicco, M.; Colombani, N.; Brunelli, P.; Loberti, R.; Bellonzi, V.; Veronese, F.; Catozzo, L.; Carraro, G. Transnational Integrated Management of Water Resources in Agriculture for European Water Emergency Control (EU-WATER)—WP3 Regional Report: Inter-Regional Basin of the Po River, Italy. Available online: http://www.eu-water.eu/images/regionalreports/EU.WATER_abstract%20interbasin_EN.pdf (accessed on 15 September 2020).
- Corbau, C.; Simeoni, U.; Zoccarato, C.; Mantovani, G.; Teatini, P. Coupling land use evolution and subsidence in the Po Delta, Italy: Revising the past occurrence and prospecting the future management challenges. Sci. Total Environ. 2019, 654, 1196–1208. [Google Scholar] [CrossRef] [PubMed]
- Masetti, M.; Nghiem, S.V.; Sorichetta, A.; Stevenazzi, S.; Fabbri, P.; Pola, M.; Filippini, M.; Brakenridge, G.R. Urbanization affects air and water in Italy’s Po plain. Eos (United States) 2015, 96, 13–16. [Google Scholar] [CrossRef]
- Rotiroti, M.; Sacchi, E.; Fumagalli, L.; Bonomi, T. Origin of Arsenic in Groundwater from the Multilayer Aquifer in Cremona (Northern Italy). Environ. Sci. Technol. 2014, 48, 5395–5403. [Google Scholar] [CrossRef]
- Molinari, A.; Ayora, C.; Marcaccio, M.; Guadagnini, L.; Sanchez-Vila, X.; Guadagnini, A. Geochemical modeling of arsenic release from a deep natural solid matrix under alternated redox conditions. Environ. Sci. Pollut. Res. 2014, 21, 1628–1637. [Google Scholar] [CrossRef]
- Dalla Libera, N.; Fabbri, P.; Piccinini, L.; Pola, M.; Mason, L. Natural Arsenic in groundwater in the drainage basin to the Venice lagoon (Brenta Plain, NE Italy): The organic matter’s role. Rendiconti Online Soc. Geol. Ital. 2016, 41, 30–33. [Google Scholar] [CrossRef]
- Giambastiani, B.M.S.; Colombani, N.; Mastrocicco, M. Detecting Small-Scale Variability of Trace Elements in a Shallow Aquifer. Water Air Soil Pollut. 2015, 226, 7. [Google Scholar] [CrossRef]
- Caschetto, M.; Colombani, N.; Mastrocicco, M.; Petitta, M.; Aravena, R. Nitrogen and sulphur cycling in the saline coastal aquifer of Ferrara, Italy. A multi-isotope approach. Appl. Geochem. 2017, 76, 88–98. [Google Scholar] [CrossRef]
- Colombani, N.; Mastrocicco, M. Geochemical evolution and salinization of a coastal aquifer via seepage through peaty lenses. Environ. Earth Sci. 2016, 75, 798. [Google Scholar] [CrossRef]
- Mastrocicco, M.; Giambastiani, B.M.S.; Severi, P.; Colombani, N. The Importance of Data Acquisition Techniques in Saltwater Intrusion Monitoring. Water Resour. Manag. 2012, 26, 2851–2866. [Google Scholar] [CrossRef]
- Filippini, M.; Amorosi, A.; Campo, B.; Herrero-Martìn, S.; Nijenhuis, I.; Parker, B.L.; Gargini, A. Origin of VC-only plumes from naturally enhanced dechlorination in a peat-rich hydrogeologic setting. J. Contam. Hydrol. 2016, 192, 129–139. [Google Scholar] [CrossRef]
- US EPA. Data Quality Assessment: Statistical Methods for Practitioners, EPA QA/G-9S; US Environmental Protection Agency: Washington, DC, USA, 2006.
- Polya, D.A.; Watts, M.J. Sampling and analysis for monitoring arsenic in drinking water. In Best Practice Guide on the Control of Arsenic in Drinking Water; Bhattacharya, P., Polya, D., Jovanovic, D., Eds.; IWA Publishing: London, UK, 2017; ISBN 9781780404929. [Google Scholar]
- Cidu, R.; Frau, F. Distribution of trace elements in filtered and non filtered aqueous fractions: Insights from rivers and streams of Sardinia (Italy). Appl. Geochem. 2009, 24, 611–623. [Google Scholar] [CrossRef]
- Erickson, M.L.; Malenda, H.F.; Berquist, E.C. How or When Samples Are Collected Affects Measured Arsenic Concentration in New Drinking Water Wells. Groundwater 2018, 56, 921–933. [Google Scholar] [CrossRef]
- Mann, H.B.; Whitney, D.R. On a Test of Whether one of Two Random Variables is Stochastically Larger than the Other. Ann. Math. Stat. 1947, 18, 50–60. [Google Scholar] [CrossRef]
- Wang, C.; Caja, J.; Gómez, E. Comparison of methods for outlier identification in surface characterization. Measurement 2018, 117, 312–325. [Google Scholar] [CrossRef]
- Tukey, J.W. Some graphic and semigraphic displays. In Statistical Papers in Honor of George W. Snedecor; Bancroft, T.A., Ed.; Iowa State University Press: Ames, IA, USA, 1972; Volume 5, pp. 293–316. [Google Scholar]
- Mann, H.B. Nonparametric tests against trend. Econometrica 1945, 245–259. [Google Scholar] [CrossRef]
- Kendall, M.G. Rank Correlation Methods; Griffin: London, UK, 1955. [Google Scholar]
- ISPRA. Linee Guida Recanti la Procedura da Seguire per il Calcolo dei Valori di Fondo Naturale per i Corpi Idrici Sotterranei (DM 6 Luglio 2016); Manuali e Linee Guida; ISPRA: Rome, Italy, 2017; Volume 155/2017. Available online: https://www.isprambiente.gov.it/files2017/pubblicazioni/manuali-linee-guida/MLG_155_17.pdf (accessed on 20 September 2020).
- Fumagalli, L.; Rotiroti, M.; Bonomi, T.; Zanotti, C.; Stefania, G.A.; Leoni, B. Valutazione dei Valori di Fondo per le Acque Sotterranee “Assessment of Natural Background Levels in Groundwaters”; Technical Report; Università degli Studi di Milano-Bicocca & Regione Lombardia: Milan, Italy, 2019. [Google Scholar]
- ISPRA. Linee per la Determinazione dei Valori di Fondo per i Suoli e per le Acque Sotterranee (Guidelines for the Determination of Background Values in Soil and Groundwater). Manuali e Linee Guida. 174/2018. Available online: https://www.isprambiente.gov.it/files2018/pubblicazioni/manuali-linee-guida/MLG_174_18.pdf (accessed on 20 September 2020). (In Italian)
- Bretzler, A.; Stolze, L.; Nikiema, J.; Lalanne, F.; Ghadiri, E.; Brennwald, M.S.; Rolle, M.; Schirmer, M. Hydrogeochemical and multi-tracer investigations of arsenic-affected aquifers in semi-arid West Africa. Geosci. Front. 2019, 10, 1685–1699. [Google Scholar] [CrossRef]
- Gilbert, R.O. Statistical Methods for Environmental Pollution Monitoring; John Wiley & Sons: New York, NY, USA, 1987. [Google Scholar]
- Şen, Z. Hydrological trend analysis with innovative and over-whitening procedures. Hydrol. Sci. J. 2017, 62, 294–305. [Google Scholar] [CrossRef]
- Hu, Z.; Liu, S.; Zhong, G.; Lin, H.; Zhou, Z. Modified Mann-Kendall trend test for hydrological time series under the scaling hypothesis and its application. Hydrol. Sci. J. 2020, 65, 2419–2438. [Google Scholar] [CrossRef]
- Gourcy, L.; Lopez, B. Technical Report on Groundwater Quality Trend and Trend Reversal Assessment—Procedures Applied by Member States for the First RBMP Cycle. Available online: https://circabc.europa.eu/ui/group/9ab5926d-bed4-4322-9aa7-9964bbe8312d/library/006b0646-6340-4233-8769-564fec15474a/details (accessed on 31 January 2021).
- Frollini, E.; Preziosi, E.; Calace, N.; Guerra, M.; Guyennon, N.; Marcaccio, M.; Menichetti, S.; Romano, E.; Ghergo, S. Groundwater quality trend and trend reversal assessment in the European Water Framework Directive context: An example with nitrates in Italy. Environ. Sci. Pollut. Res. 2021. [Google Scholar] [CrossRef] [PubMed]




| TOT | Filtered | Unfiltered | |
|---|---|---|---|
| max (µg/L) | 9626.00 | 594.00 | 9626.00 |
| min (µg/L) | 0.005 1 | 0.005 1 | 0.005 1 |
| mean (µg/L) | 26.04 | 18.70 | 34.28 |
| median (µg/L) | 2.80 | 3.80 | 3.60 |
| st. dev. (µg/L) | 245.00 | 55.74 | 304.71 |
| 75 perc. (µg/L) | 10.70 | 12.70 | 13.30 |
| 25 perc. (µg/L) | 0.50 | 0.70 | 1.00 |
| n. of observations | 4305 | 815 | 2698 |
| n. of non-detects | 966 | 135 | 425 |
| Site ID | Geological Sector | No. Outliers | No. Piezometers | Location of Piezometers |
|---|---|---|---|---|
| S02 | W | 6 | 6 | Internal |
| S06 | W | 5 | 5 | Undefined |
| S11 | W | 3 | 3 | Undefined |
| S15 | E | 4 | 4 | 3 downgradient, 1 upgradient |
| S45 | W | 3 | 3 | Undefined |
| Site ID | Geological Sector | No. Outliers/Piezometers | Location of Piezometers |
|---|---|---|---|
| S01 | C | 1 | Undefined |
| S02 | W | 3 | Internal |
| S06 | W | 2 | 1 undefined, 1 blank |
| S11 | W | 7 | 5 undefined, 2 blank |
| S15 | E | 4 | 1 downgradient, 2 upgradient, 1 blank |
| S18 | E | 6 | Internal |
| S20 | C | 1 | Undefined |
| S23 | W | 1 | Undefined |
| S26 | C | 1 | Undefined |
| S28 | C | 1 | Internal |
| S35 | C | 2 | Undefined |
| S40 | C | 2 | Undefined |
| S45 | W | 10 | Undefined |
Publisher’s Note: MDPI stays neutral with regard to jurisdictional claims in published maps and institutional affiliations. |
© 2021 by the authors. Licensee MDPI, Basel, Switzerland. This article is an open access article distributed under the terms and conditions of the Creative Commons Attribution (CC BY) license (http://creativecommons.org/licenses/by/4.0/).
Share and Cite
Filippini, M.; Zanotti, C.; Bonomi, T.; Sacchetti, V.G.; Amorosi, A.; Dinelli, E.; Rotiroti, M. Deriving Natural Background Levels of Arsenic at the Meso-Scale Using Site-Specific Datasets: An Unorthodox Method. Water 2021, 13, 452. https://doi.org/10.3390/w13040452
Filippini M, Zanotti C, Bonomi T, Sacchetti VG, Amorosi A, Dinelli E, Rotiroti M. Deriving Natural Background Levels of Arsenic at the Meso-Scale Using Site-Specific Datasets: An Unorthodox Method. Water. 2021; 13(4):452. https://doi.org/10.3390/w13040452
Chicago/Turabian StyleFilippini, Maria, Chiara Zanotti, Tullia Bonomi, Vito G. Sacchetti, Alessandro Amorosi, Enrico Dinelli, and Marco Rotiroti. 2021. "Deriving Natural Background Levels of Arsenic at the Meso-Scale Using Site-Specific Datasets: An Unorthodox Method" Water 13, no. 4: 452. https://doi.org/10.3390/w13040452
APA StyleFilippini, M., Zanotti, C., Bonomi, T., Sacchetti, V. G., Amorosi, A., Dinelli, E., & Rotiroti, M. (2021). Deriving Natural Background Levels of Arsenic at the Meso-Scale Using Site-Specific Datasets: An Unorthodox Method. Water, 13(4), 452. https://doi.org/10.3390/w13040452

