Evaluation of the Performance of Multi-Source Precipitation Data in Southwest China
Abstract
:1. Introduction
2. Materials and Methods
2.1. Study Area
2.2. Data
2.2.1. Rain Gauge Data
2.2.2. Precipitation Products
2.2.3. Climate Spatial Distribution Data
2.3. Methods
2.3.1. Evaluation Statistics
2.3.2. Evaluation Methodology
3. Results and Discussion
3.1. Applicability Analysis of Satellite Precipitation Data and Measured Data in Different River Basins
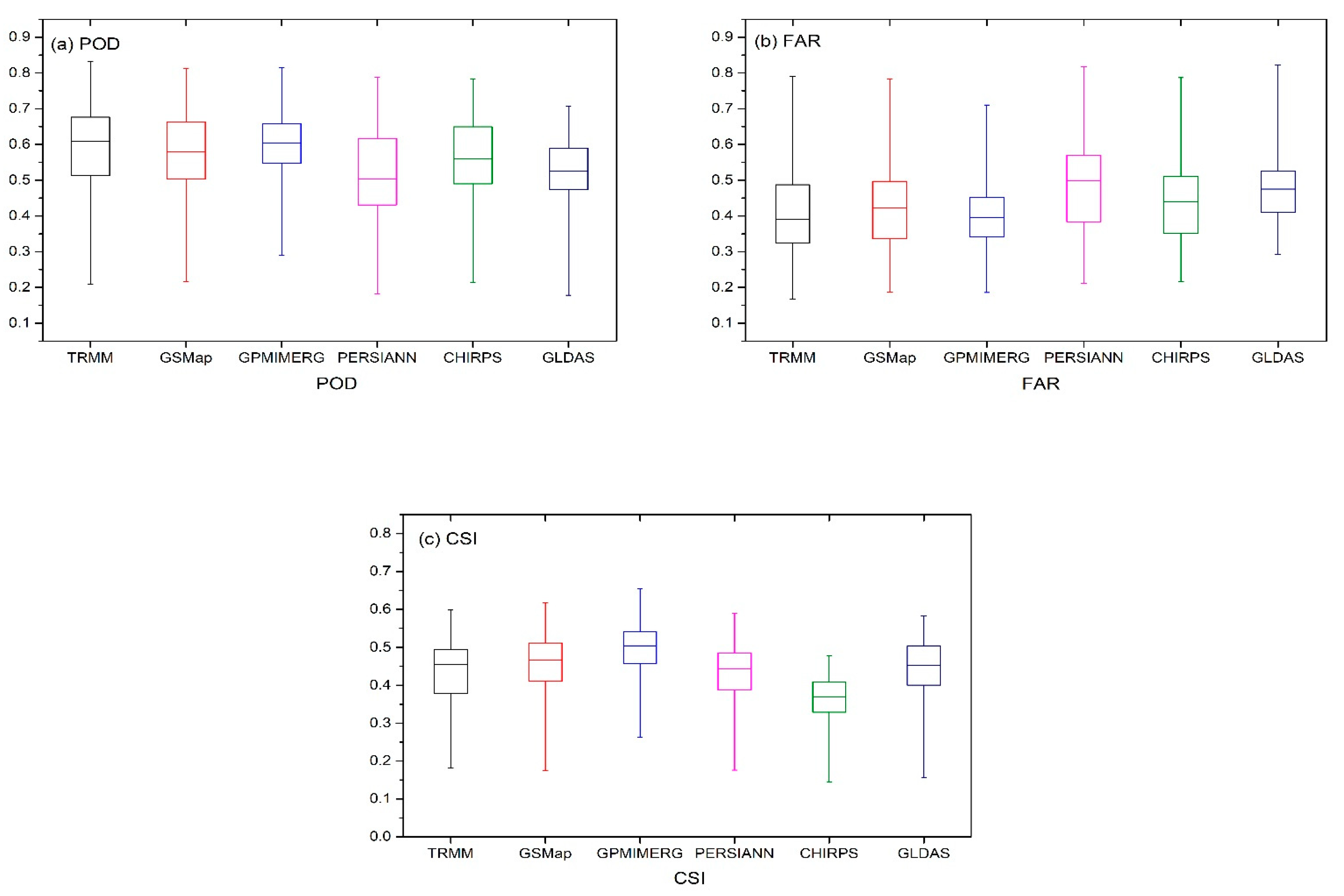
3.1.1. Quantitative Analysis at the Basin Scale
3.1.2. Classification Analysis at the Basin Scale
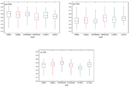
3.2. Accuracy Evaluation of Satellite Precipitation Products at the Rain Gauge Scale
3.3. Accuracy Evaluation of Satellite Precipitation Products in Elevation
4. Conclusions
- The six precipitation products can accurately monitor the occurrence of precipitation events in the five river basins. According to the performance analysis of the mentioned products, GPM IMERG Final and CHIRPS V2.0 are recommended for the YZ basin, while GPM IMERG Final and GLDAS V2.0 are recommended for the other four basins.
- There are some differences in the spatial distribution of indicators of the six products. For the upstream and middle reaches of YZ, we prefer to recommend GPM IMERG Final and CHIRPS V2.0; for the downstream reach of YZ, all six products can perform well. For the upstream reaches of LS and NJ, GPM IMERG Final, TRMM 3B42 V7, CHIRPS V2.0, and GLDAS V2.0 can be recommended, as for other basins, the products we recommend are the same as conclusion 1.
- According to the analysis results of quantitative indexes in different elevation intervals, we prefer to recommend GPM IMERG Final and GLDAS V2.0 when elevation is below 4000 m, and GPM IMERG Final and CHIRPS V2.0 are recommended when elevation is above 4000 m.
Author Contributions
Funding
Institutional Review Board Statement
Informed Consent Statement
Data Availability Statement
Acknowledgments
Conflicts of Interest
References
- Alijanian, M.; Rakhshandehroo, G.R. Evaluation of satellite rainfall climatology using CMORPH, PERSIANN-CDR, PERSIANN, TRMM, MSWEP over Iran. Int. J. Climatol. 2017, 37, 4896–4914. [Google Scholar] [CrossRef]
- Ma, L.; Zhao, L. Evaluation of the integrated multi-satellite retrievals for global precipitation measurement over the Tibetan Plateau. J. Mt. Sci.-Engl. 2019, 16, 1500–1514. [Google Scholar] [CrossRef]
- Ur Rahman, K.; Shang, S. An Appraisal of Dynamic Bayesian Model Averaging-based Merged Multi-Satellite Precipitation Datasets Over Complex Topography and the Diverse Climate of Pakistan. Remote Sens. 2020, 12, 10. [Google Scholar] [CrossRef] [Green Version]
- Abd Elhamid, A.M.I.; Eltahan, A.M.H. Assessment of the two satellite-based precipitation products TRMM and RFE rainfall records using ground based measurements. Alex. Eng. J. 2020, 59, 1049–1058. [Google Scholar] [CrossRef]
- Chen, H.; Yong, B. Comparison Analysis of Six Purely Satellite-derived Global Precipitation Estimates. J. Hydrol. 2019, 581, 124376. [Google Scholar] [CrossRef]
- Liu, S.; Yan, D. Correction of TRMM 3B42V7 Based on Linear Regression Models over China. Adv. Meteorol. 2016, 2016, 3103749. [Google Scholar] [CrossRef]
- Xiang, Y.; Chen, J. Evaluation of Eight Global Precipitation Datasets in Hydrological Modeling. Remote Sens. 2021, 13, 2831. [Google Scholar] [CrossRef]
- Abdelmoneim, H.; Soliman, M.R.; Moghazy, H.M. Evaluation of TRMM 3B42V7 and CHIRPS Satellite Precipitation Products as an Input for Hydrological Model over Eastern Nile Basin. Earth Syst. Environ. 2020, 4, 685–698. [Google Scholar] [CrossRef]
- Lu, Y.; Yang, S. The Applicability Analysis of TRMM Precipitation Data in the Yarlung Zangbo River Basin. J. Nat. Resour. 2013, 8, 1414–1425. [Google Scholar]
- Jiang, S.; Ren, L. Hydrological evaluation of the TRMM multi-satellite precipitation estimates over the Mishui basin. Adv. Water Sci. 2014, 25, 641–649. [Google Scholar]
- Franchito, S.H.; Rao, V.B.; Vasques, A.C. Validation of TRMM precipitation radar monthly rainfall estimates over Brazil. J. Geophys. Res. 2009, 114, D02105. [Google Scholar] [CrossRef] [Green Version]
- Yang, M.; Liu, G.; Chen, T. Evaluation of GPM IMERG precipitation products with the point rain gauge records over Sichuan, China. Atmos. Res. 2019, 246, 105101. [Google Scholar] [CrossRef]
- Li, Z. Multi-Source Precipitation Observations and Fusion for Hydrological Applications in the Yangtze River Basin. Ph.D. Thesis, Tsinghua University, Beijing, China, 2015. [Google Scholar]
- Wang, Z.; Zhong, R. Evaluation of TRMM 3B42-V7 satellite-based precipitation data product in the Pearl River basin, China: Dong jiang River and Beijiang River basin as examples. Adv. Water Sci. 2017, 28, 174–182. [Google Scholar]
- Bharti, V.; Singh, C. Evaluation of error in TRMM 3B42V7 precipitation estimates over the Himalayan region. J. Geophys. Res. Atmos. 2015, 120, 12458–12473. [Google Scholar] [CrossRef]
- Funk, C.; Peterson, P.; Landsfeld, M. The climate hazards infrared precipitation with stations-a new environmental record for monitoring extremes. Sci. Data 2015, 2, 150066. [Google Scholar] [CrossRef] [Green Version]
- Gao, Y.C.; Liu, M.F. Evaluation of high-resolution satellite precipitation products using rain gauge observations over the Tibetan Plateau. Hydrol. Earth Syst. Sc. 2013, 17, 837–849. [Google Scholar] [CrossRef] [Green Version]
- Ahmed, E.; Al Janabi, F.; Zhang, J. Hydrologic Assessment of TRMM and GPM-Based Precipitation Products in Transboundary River Catchment (Chenab River, Pakistan). Water-Sui. 2020, 12, 1902. [Google Scholar] [CrossRef]
- Sun, H.; Su, F. Evaluation of multiple precipitation datasets and their potential utilities in hydrologic modeling over the Yarlung Zangbo River Basin. Prog. Geogr. 2020, 39, 1126–1139. [Google Scholar] [CrossRef]
- Sungmin, O.; Foelsche, U.; Kirchengast, G. Evaluation of GPM IMERG Early, Late, and Final rainfall estimates using WegenerNet gauge data in southeastern Austria. Hydrol. Earth Syst. Sc. 2017, 21, 6559–6572. [Google Scholar]
- Derin, Y.; Anagnostou, E.; Berne, A. Multiregional Satellite Precipitation Products Evaluation over Complex Terrain. J. Hydrometeorol. 2016, 17, 1817–1836. [Google Scholar] [CrossRef]
- Hu, Q. Rainfall Spatial Estimation Using Multi-Source Information and Its Hydrological Application. Ph.D. Thesis, Tsinghua University, Beijing, China, 2013. [Google Scholar]
- Xu, R.; Tian, F.; Yang, L. Ground validation of GPM IMERG and TRMM 3B42V7 rainfall products over southern Tibetan Plateau based on a high-density rain gauge network. J. Geophys. Res. Atmos. 2017, 122, 910–924. [Google Scholar] [CrossRef]
- Tan, X.; Ma, Z.; He, K. Evaluations on gridded precipitation products spanning more than half a century over the Tibetan Plateau and its surroundings. J. Hydrol. 2020, 582, 124455. [Google Scholar] [CrossRef]
- Tong, K.; Su, F.; Yang, D. Tibetan Plateau precipitation as depicted by gauge observations, reanalyses and satellite retrievals. Int. J. Climatol. 2014, 34, 265–285. [Google Scholar] [CrossRef]
- Li, G.; Yu, Z.; Wang, W. Analysis of the spatial Distribution of precipitation and topography with GPM data in the Tibetan Plateau. Atmos. Res. 2021, 247, 105259. [Google Scholar] [CrossRef]
- Kubota, T.; Shige, S. Global Precipitation Map Using Satellite-Borne Microwave Radiometers by the GSMaP Project: Production and Validation. IEEE Trans. Geosci. Remote 2007, 45, 2259–2275. [Google Scholar] [CrossRef]
- Ushio, T.; Sasashige, K.; Kubota, T. A Kalman Filter Approach to the Global Satellite Mapping of Precipitation (GSMaP) from Combined Passive Microwave and Infrared Radiometric Data. J. Meteorol. Soc. Jpn. Ser. II 2009, 87A, 137–151. [Google Scholar] [CrossRef] [Green Version]
- Fu, Q.; Ruan, R.; Liu, Y. Accuracy Assessment of Global Satellite Mapping of Precipitation (GSMaP) Product over Poyang Lake Basin, China. Procedia Environ. Sci. 2011, 10, 2265–2271. [Google Scholar] [CrossRef] [Green Version]
- Ramsauer, T.; Wei, T.; Marzahn, P. Comparison of the GPM IMERG Final Precipitation Product to RADOLAN Weather Radar Data over the Topographically and Climatically Diverse Germany. Remote Sens. 2018, 10, 2029. [Google Scholar] [CrossRef] [Green Version]
- Hamed, A.; Kuo-Lin, H.; Soroosh, S. PERSIANN-CDR: Daily Precipitation Climate Data Record from Multi-Satellite 2 Observations for Hydrological and Climate Studies. Am. Meteorol. Soc. 2014, 96, 69–83. [Google Scholar] [CrossRef] [Green Version]
- Tan, M.L.; Santo, H. Comparison of GPM IMERG, TMPA 3B42 and PERSIANN-CDR satellite precipitation products over Malaysia. Atmos. Res. 2018, 202, 63–76. [Google Scholar] [CrossRef]
- Katsanos, D.; Retalis, A.; Michaelides, S. Validation of a high-resolution precipitation database (CHIRPS) over Cyprus for a 30-year period. Atmos. Res. 2016, 169, 459–464. [Google Scholar] [CrossRef]
- Shen, Z.; Yong, B.; Gourley, J.J. Recent global performance of the Climate Hazards group Infrared Precipitation (CHIRP) with Stations (CHIRPS). J. Hydrol. 2020, 591, 125284. [Google Scholar] [CrossRef]
- Zhang, H.; Zhang, L.; Li, J. Climate and Hydrological Change Characteristics and Applicability of GLDAS Data in the Yarlung Zangbo River Basin, China. Water-Sui 2018, 10, 254. [Google Scholar] [CrossRef] [Green Version]
- Li, X.; Gao, Y.; Wang, W. Climate changes and applicability of GLDAS in the headwater of the Yellow River Basin. Adv. Earth Sci. 2014, 29, 531–540. [Google Scholar]
- Huang, X.; Wang, Z.G.; Sang, Y.F. Precision of data in three precipitation datasets of the Yarlung Zangbo River Basin. Progress Geogr. 2016, 35, 339–348. [Google Scholar]
- Dilinuer, T.; Yao, J.; Chen, J. Regional drying and wetting trends over Central Asia based on Köppen climate classification in 1961–2015. Adv. Clim. Chang. Res. 2021, 12, 363–372. [Google Scholar] [CrossRef]
- Chen, D.; Chen, H.W. Using the Köppen classification to quantify climate variation and change: An example for 1901–2010. Environ. Dev. 2013, 6, 69–79. [Google Scholar] [CrossRef]
- Liu, J.; Xu, Z.; Zhao, H. Accuracy assessment for two satellite precipitation products: Case studies in the Yarlung Zangbo River Basin. Plateau Meteorol. 2019, 38, 386–396. [Google Scholar]
- Meng, Q.; Liu, Y.; Ju, Q. Analysis of temporal and spatial distribution characteristics of precipitation based on muli-source data assimilation and fusion in Niyang River Basin. South North Water Transf. Water Sci. Technol. 2020, 18, 110–118. [Google Scholar]
- Ren, Z.; Zhao, P.; Zhang, Q. Quality control procedures for hourly precipitation data from automatic weather stations in China. Meteorol. Mon. 2010, 36, 123–132. (In Chinese) [Google Scholar]














| Precipitation Products | Spatial Resolution | Spatial Range | Temporal Resolution | Time Period | Download |
|---|---|---|---|---|---|
| TRMM 3B42 | 0.25° | 50° N–50° S | 3 h/Daily | 1998–2019 | https://disc.gsfc.nasa.gov (accessed on 5 November 2021) |
| TRMM 3B43 | 0.25° | 40° N–40° S | Monthly | 1998–2019 | https://disc.gsfc.nasa.gov (accessed on 5 2021) |
| TMPART | 0.25° | 50° N–50° S | Daily | 1998–2019 | https://disc.gsfc.nasa.gov (accessed on 5 November 2021) |
| GPM-IMERG Early/Late/Final | 0.1° | 90° N–90° S | 0.5 h/Daily/Monthly | 2015–now | https://gpm.nasa.gov/data/directory (accessed on 7 November 2021) |
| GSMaP MVK | 0.1° | 60° N–60° S | 1 h/Daily/Monthly | 1998–now | ftp://sharaku.eorc.jaxa.jp/GSMaP/index.html (accessed on 6 August 2021) |
| GSMaP RNL | 0.1° | 60° N–60° S | 1 h/Daily/Monthly | 1998–now | ftp://sharaku.eorc.jaxa.jp/GSMaP/index.html (accessed on 6 August 2021) |
| GSMaP Gauge | 0.1° | 60° N–60° S | 1 h/Daily/Monthly | 1998–now | ftp://sharaku.eorc.jaxa.jp/GSMaP/index.html (accessed on 6 August 2021) |
| PERSIANN–CDR | 0.25° | 60° N–60° S | 3 h/Daily | 1983–now | https://www.ncdc.noaa.gov (accessed on 7 November 2021) |
| PERSIANN | 0.25° | 60° N–60° S | 0.5 h/Daily | 1983–now | https://www.ncdc.noaa.gov (accessed on 7 November 2021) |
| PERSIANN–CCS | 0.25° | 60° N–60° S | 0.5 h/Daily | 1983–now | https://www.ncdc.noaa.gov (accessed on 7 November 2021) |
| CMORPH-CRT | 8 km | 60° N–60° S | 0.5 h | 2002–now | https://www.cpc.ncep.noaa.gov/ (accessed on 25 August 2021) |
| CMORPH-BLD | 0.25° | 60° N–60° S | 3 h | 2002–now | https://www.cpc.ncep.noaa.gov/ (accessed on 25 August 2021) |
| MSWEP | 0.1°/0.25° | Global | 3 h/Daily | 1979–now | http://www.gloh2o.org (accessed on 3 November 2021) |
| CHIRPS | 0.05°/0.25° | 60° S–60° N | Daily | 1981–now | https://www.chc.ucsb.edu/data/chirps (accessed on 3 November 2021) |
| NCEP-CFSR | 38 km | Global | Daily | 1979–now | https://hycom.org/dataserver/ncep-cfsr (accessed on 12 September 2021) |
| NCEP-NCAR | 2.5° | Global | Daily/Monthly | 1948–now | https://www.globalchange.gov (accessed on 12 September 2021) |
| GLDAS | 0.25° | 80° N–50° S | 3 h/Daily/Monthly | 2000–now | https://disc.gsfc.nasa.gov (accessed on 5 November 2021) |
| ERA | 1.5°/0.75° | Global | 6 h/Monthly | 1979–now | https://cds.climate.copernicus.eu (accessed on 8 October 2021) |
| APHRODITE | 0.25° | East Asian region | Daily | 1951–2017 | http://aphrodite.st.hirosaki-u.ac.jp/download/ (accessed on 8 October 2021) |
| REF | 10 km | South Asia | Daily | 2000-now | https://ftp.cpc.ncep.noaa.gov/fews/S.Asia/data (accessed on 8 October 2021) |
| CRU TS | 0.5° | Global | Monthly | 1901–2015 | https://crudata.uea.ac.uk/cru/data/precip/ (accessed on 8 October 2021) |
| ECMWF | 0.5° | Global | Daily | 1979-now | https://cds.climate.copernicus.eu (accessed on 8 October 2021) |
| CPC | 0.5° | global land | Daily | 1979–2005 | ftp://ftp.cpc.ncep.noaa.gov (accessed on 8 October 2021) |
| Basin Name | Number of Rain Gauges | Average Altitude (m) | Altitude Change (m) | Basin Area (10,000 km2) | Rain Gauge Network Density (Pcs/10,000 km2) | Spatial Range |
|---|---|---|---|---|---|---|
| YZ | 27 | 4625 | 8622 | 38.58 | 0.70 | 31.28–27.99 81.99–97.10 |
| LS | 29 | 3104 | 5996 | 16.52 | 1.76 | 33.82–21.14 93.86–101.84 |
| NJ | 15 | 4026 | 6465 | 13.49 | 1.11 | 32.77–22.09 91.14–100.23 |
| YT | 15 | 4443 | 5273 | 32.67 | 0.46 | 35.90–27.62 90.54–102.29 |
| YL | 30 | 3869 | 6320 | 25.38 | 1.18 | 36.97–28.81 95.89–103.94 |
| Rainfall Product | Temporal Resolution | Spatial Resolution | Space Coverage | Select Time Series in the Study | References |
|---|---|---|---|---|---|
| TRMM 3B42 V7 | 1 d | 0.25° × 0.25° | 50° S-50° N | 1 January 2001 to 31 December 2019 | [6,7,10] |
| GSMAP MVK | 1 d | 0.1° × 0.1° | 60° S-60° N | 1 January 2001 to 31 December 20101 March 2014 to 31 December 2019 | [27,28,29] |
| GPM IMERG Final | 1 d | 0.1° × 0.1° | 60° S-60° N | 1 March 2014 to 31 December 2019 | [19,30] |
| PERSIANN–CDR | 1 d | 0.25° × 0.25° | 60° S-60° N | 1 January 2001 to 31 December 2019 | [31,32] |
| CHIRPS V2.0 | 1 d | 0.25° × 0.25° | 50° S-50° N | 1 January 2001 to 31 December 2019 | [15,33,34] |
| GLDAS V2.0 | 1 d | 0.25° × 0.25° | 90° S-60° N | 1 January 2001 to 31 December 2014 | [35,36] |
| Basin Name | Aw | Bwk | Bsk | Csb | Cwa | Cwb | Cfb | Dwb | Dwc | Dfb | ETH |
|---|---|---|---|---|---|---|---|---|---|---|---|
| YZ | / | 9 | 14 | / | 9 | 42 | / | 18 | 7 | / | 1 |
| LS | 4.42 | / | 3.94 | 0.07 | 30.02 | 10.69 | 8.18 | 24.30 | 13.75 | 0.82 | 3.81 |
| NJ | / | / | / | / | 12 | 20 | 6 | 16 | 21 | / | 25 |
| YT | / | / | 6.69 | / | 0.03 | 10.22 | / | 30.59 | 14.09 | / | 38.38 |
| YR | / | / | 8.98 | / | 3.46 | 11.99 | / | 22.55 | 31.83 | / | 21.19 |
| Rain Gauge | |||
|---|---|---|---|
| Occur | Not Occur | ||
| Rainfall product | Occur | T | F |
| Not occur | M | 0 | |
| Precipitation Products | <1500 m | 1500 m–3000 m | 3000 m–4000 m | >4000 m |
|---|---|---|---|---|
| TRMM 3B42 V7 | 0.690 | 0.653 | 0.616 | 0.647 |
| GPM IMERG | 0.749 | 0.718 | 0.675 | 0.733 |
| GSMAP MVK | 0.618 | 0.564 | 0.545 | 0.511 |
| GLDAS V2.0 | 0.623 | 0.657 | 0.749 | 0.734 |
| PERSIANN–CDR | 0.592 | 0.540 | 0.562 | 0.666 |
| CHIRPS V2.0 | 0.622 | 0.584 | 0.539 | 0.675 |
| Precipitation Products | <1500 m | 1500 m–3000 m | 3000 m–4000 m | >4000 m |
|---|---|---|---|---|
| TRMM 3B42 V7 | 0.044 | 0.156 | 0.171 | 0.343 |
| GPM IMERG | 0.074 | 0.110 | 0.083 | 0.198 |
| GSMAP MVK | −0.331 | 0.149 | 0.599 | 0.168 |
| GLDAS V2.0 | −0.014 | 0.080 | 0.099 | 0.487 |
| PERSIANN–CDR | −0.051 | 0.254 | 0.644 | 0.621 |
| CHIRPS V2.0 | 0.099 | 0.133 | 0.038 | 0.159 |
| Precipitation Products | <1500 m | 1500 m–3000 m | 3000 m–4000 m | >4000 m |
|---|---|---|---|---|
| TRMM 3B42 V7 | 4.106 | 2.436 | 2.067 | 1.762 |
| GPM IMERG | 3.769 | 2.156 | 1.811 | 1.403 |
| GSMAP MVK | 4.199 | 2.672 | 2.746 | 1.703 |
| GLDAS V2.0 | 4.046 | 2.174 | 1.573 | 1.864 |
| PERSIANN–CDR | 4.591 | 3.167 | 3.102 | 2.221 |
| CHIRPS V2.0 | 5.157 | 2.944 | 2.261 | 1.624 |
| Precipitation Products | <1500 m | 1500 m–3000 m | 3000 m–4000 m | >4000 m |
|---|---|---|---|---|
| TRMM 3B42 V7 | 2.251 | 1.429 | 1.184 | 1.031 |
| GPM IMERG | 2.099 | 1.254 | 1.031 | 0.829 |
| GSMAP MVK | 2.296 | 1.605 | 1.652 | 1.068 |
| GLDAS V2.0 | 2.340 | 1.312 | 0.880 | 0.992 |
| PERSIANN–CDR | 2.528 | 1.791 | 1.715 | 1.248 |
| CHIRPS V2.0 | 2.763 | 1.673 | 1.270 | 0.940 |
Publisher’s Note: MDPI stays neutral with regard to jurisdictional claims in published maps and institutional affiliations. |
© 2021 by the authors. Licensee MDPI, Basel, Switzerland. This article is an open access article distributed under the terms and conditions of the Creative Commons Attribution (CC BY) license (https://creativecommons.org/licenses/by/4.0/).
Share and Cite
Jiang, X.; Liu, Y.; Wu, Y.; Wang, G.; Zhang, X.; Meng, Q.; Gu, P.; Liu, T. Evaluation of the Performance of Multi-Source Precipitation Data in Southwest China. Water 2021, 13, 3200. https://doi.org/10.3390/w13223200
Jiang X, Liu Y, Wu Y, Wang G, Zhang X, Meng Q, Gu P, Liu T. Evaluation of the Performance of Multi-Source Precipitation Data in Southwest China. Water. 2021; 13(22):3200. https://doi.org/10.3390/w13223200
Chicago/Turabian StyleJiang, Xi, Yanli Liu, Yongxiang Wu, Gaoxu Wang, Xuan Zhang, Qingbo Meng, Pengfei Gu, and Tao Liu. 2021. "Evaluation of the Performance of Multi-Source Precipitation Data in Southwest China" Water 13, no. 22: 3200. https://doi.org/10.3390/w13223200
APA StyleJiang, X., Liu, Y., Wu, Y., Wang, G., Zhang, X., Meng, Q., Gu, P., & Liu, T. (2021). Evaluation of the Performance of Multi-Source Precipitation Data in Southwest China. Water, 13(22), 3200. https://doi.org/10.3390/w13223200

