Detailed Trend Analysis of Extreme Climate Indices in the Upper Geum River Basin
Abstract
:1. Introduction
2. Materials and Methods
2.1. Study Area
2.2. Extreme Climate Indices
2.3. Trend Analysis
2.3.1. Trend-Free Pre-Whitening (TFPW) Method
2.3.2. Mann–Kendall (MK) Trend Test
2.3.3. Theil–Sen Slope (TS) Estimator
2.3.4. Mann–Whitney–Pettit (MWP) Test
2.3.5. Pearson’s Correlation Coefficient
3. Results
3.1. Annual Trends
3.1.1. Precipitation
3.1.2. Temperature
3.1.3. Change Point Detection in Annual Trends
3.1.4. Correlations between Trend Magnitudes of Extreme Climate Indices
3.2. Seasonal Trends
3.2.1. Precipitation
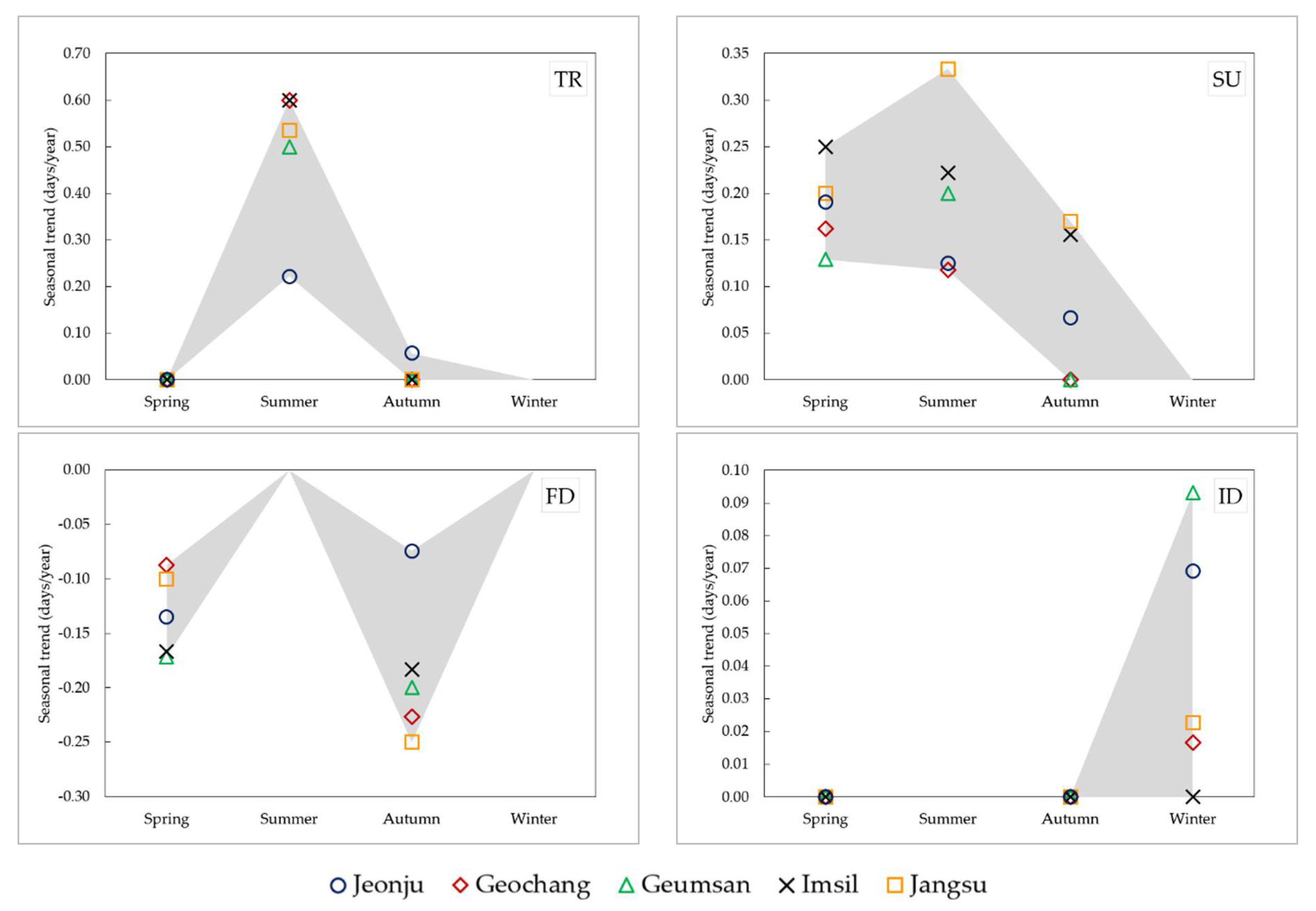
3.2.2. Temperature
3.3. Monthly Trends
3.3.1. Precipitation
3.3.2. Temperature
4. Discussion
4.1. Importance of Performing Trend Anaysis Based on Detailed Temporal Scales
4.2. Effects of Global Warming in the UGRB for the Past Three Decades
4.3. Correlation between Elevation and Annual/Seasonal Trend Magnitudes
5. Conclusions
Author Contributions
Funding
Institutional Review Board Statement
Informed Consent Statement
Data Availability Statement
Conflicts of Interest
Appendix A. Annual Trends
| Station Name | Elevation (m.a.s.l.) | Intensity | Cold Duration | Heat Duration | ||||||
|---|---|---|---|---|---|---|---|---|---|---|
| DTR | TNN | TNX | TXN | TXX | FD | ID | SU | TR | ||
| Jeonju | 53.4 | −0.01 | 0.03 | 0.02 | −0.03 | 0.02 | −0.28 | 0.05 | 0.46 | 0.22 |
| Geumsan | 170.35 | −0.01 | 0.02 | 0.01 | −0.04 | 0.06 | −0.36 | 0.12 | 0.47 | 0.64 |
| Geochang | 225.95 | −0.03 | 0.03 | 0.03 | −0.02 | 0.02 | −0.47 | 0.00 | 0.32 | 0.50 |
| Imsil | 247.87 | 0.00 | 0.07 | 0.04 | −0.01 | 0.06 | −0.37 | 0.00 | 0.66 | 0.59 |
| Jangsu | 406.49 | 0.00 | 0.11 | 0.02 | −0.02 | 0.06 | −0.30 | 0.00 | 0.71 | 0.54 |
| Station Name | Elevation (m.a.s.l.) | Frequency | Intensity | Duration | |||||
|---|---|---|---|---|---|---|---|---|---|
| R10 | R20 | RX1DAY | RX5DAY | PRCPTOT | SDII | CDD | CWD | ||
| Jeonju | 53.4 | 0.00 | −0.04 | −0.79 | 2.82 | −0.95 | 0.00 | 0.22 | 0.00 |
| Geumsan | 170.35 | 0.11 | 0.05 | 0.25 | 2.14 | 2.26 | 0.01 | 0.00 | 0.00 |
| Geochang | 225.95 | 0.00 | −0.06 | 0.67 | −1.68 | −2.62 | −0.01 | 0.00 | 0.00 |
| Imsil | 247.87 | 0.00 | 0.00 | 0.45 | 2.00 | 2.03 | 0.04 | 0.04 | 0.04 |
| Jangsu | 406.49 | 0.11 | 0.11 | 0.86 | −0.34 | 3.46 | 0.06 | 0.14 | 0.07 |

Appendix B. Seasonal Trends
| Station Name | Elevation (m.a.s.l.) | Intensity | Cold Duration | Heat Duration | Frequency | Intensity | ||||||||
|---|---|---|---|---|---|---|---|---|---|---|---|---|---|---|
| DTR | TNN | TNX | TXN | TXX | FD | ID | SU | TR | R10 | R20 | RX1DAY | PRCPTOT | ||
| Jeonju | 53.4 | 0.00 | 0.03 | 0.01 | 0.03 | 0.04 | −0.13 | 0.00 | 0.19 | 0.00 | 0.00 | 0.00 | −0.36 | −0.48 |
| Geumsan | 170.35 | 0.00 | 0.05 | 0.01 | 0.04 | 0.07 | −0.17 | 0.00 | 0.13 | 0.00 | 0.00 | 0.00 | −0.44 | 0.00 |
| Geochang | 225.95 | 0.00 | 0.02 | 0.06 | 0.05 | 0.04 | −0.09 | 0.00 | 0.16 | 0.00 | 0.00 | 0.00 | −0.38 | −0.15 |
| Imsil | 247.87 | 0.02 | 0.03 | 0.02 | 0.04 | 0.10 | −0.17 | 0.00 | 0.25 | 0.00 | 0.05 | 0.00 | −0.23 | 0.63 |
| Jangsu | 406.49 | 0.02 | 0.03 | 0.02 | 0.05 | 0.07 | −0.10 | 0.00 | 0.20 | 0.00 | 0.04 | 0.04 | −0.27 | 0.76 |
| Station Name | Elevation (m.a.s.l.) | Intensity | Cold Duration | Heat Duration | Frequency | Intensity | ||||||||
|---|---|---|---|---|---|---|---|---|---|---|---|---|---|---|
| DTR | TNN | TNX | TXN | TXX | FD | ID | SU | TR | R10 | R20 | RX1DAY | PRCPTOT | ||
| Jeonju | 53.4 | −0.01 | 0.03 | 0.02 | 0.06 | 0.02 | - | - | 0.13 | 0.22 | 0.00 | 0.00 | −0.78 | 1.54 |
| Geumsan | 170.35 | 0.00 | 0.00 | 0.01 | 0.08 | 0.06 | - | - | 0.20 | 0.50 | 0.00 | 0.00 | 0.26 | 0.77 |
| Geochang | 225.95 | −0.02 | 0.03 | 0.03 | 0.06 | 0.02 | - | - | 0.12 | 0.60 | 0.00 | −0.14 | 0.25 | −7.44 |
| Imsil | 247.87 | 0.01 | 0.03 | 0.04 | 0.06 | 0.06 | - | - | 0.22 | 0.60 | 0.00 | 0.00 | 0.03 | −0.12 |
| Jangsu | 406.49 | 0.01 | 0.00 | 0.02 | 0.07 | 0.06 | - | - | 0.33 | 0.54 | 0.00 | −0.04 | 0.48 | 0.51 |
| Station Name | Elevation (m.a.s.l.) | Intensity | Cold Duration | Heat Duration | Frequency | Intensity | ||||||||
|---|---|---|---|---|---|---|---|---|---|---|---|---|---|---|
| DTR | TNN | TNX | TXN | TXX | FD | ID | SU | TR | R10 | R20 | RX1DAY | PRCPTOT | ||
| Jeonju | 53.4 | −0.04 | 0.11 | −0.03 | 0.06 | 0.01 | −0.07 | 0.00 | 0.07 | 0.06 | 0.00 | 0.00 | 0.01 | 0.25 |
| Geumsan | 170.35 | −0.06 | 0.10 | −0.01 | 0.03 | −0.01 | −0.20 | 0.00 | 0.00 | 0.00 | 0.00 | 0.00 | 0.51 | 1.55 |
| Geochang | 225.95 | −0.06 | 0.07 | 0.01 | 0.04 | −0.04 | −0.23 | 0.00 | 0.00 | 0.00 | 0.04 | 0.04 | 0.69 | 3.91 |
| Imsil | 247.87 | −0.03 | 0.07 | −0.01 | 0.07 | 0.01 | −0.18 | 0.00 | 0.16 | 0.00 | 0.00 | 0.00 | 0.03 | 1.21 |
| Jangsu | 406.49 | −0.03 | 0.10 | −0.01 | 0.06 | 0.01 | −0.25 | 0.00 | 0.17 | 0.00 | 0.04 | 0.07 | 0.52 | 4.37 |
| Station Name | Elevation (m.a.s.l.) | Intensity | Cold Duration | Heat Duration | Frequency | Intensity | ||||||||
|---|---|---|---|---|---|---|---|---|---|---|---|---|---|---|
| DTR | TNN | TNX | TXN | TXX | FD | ID | SU | TR | R10 | R20 | RX1DAY | PRCPTOT | ||
| Jeonju | 53.4 | −0.01 | 0.04 | −0.06 | −0.04 | 0.01 | 0.00 | 0.07 | - | - | 0.00 | 0.00 | 0.00 | −0.95 |
| Geumsan | 170.35 | −0.02 | 0.07 | −0.02 | −0.03 | −0.02 | 0.00 | 0.09 | - | - | 0.00 | 0.00 | 0.11 | −0.68 |
| Geochang | 225.95 | −0.01 | 0.03 | 0.00 | −0.03 | −0.03 | 0.00 | 0.02 | - | - | −0.02 | 0.00 | −0.10 | −0.90 |
| Imsil | 247.87 | 0.01 | 0.07 | −0.02 | 0.01 | 0.02 | 0.00 | 0.00 | - | - | 0.00 | 0.00 | −0.03 | −1.05 |
| Jangsu | 406.49 | 0.00 | 0.12 | 0.01 | −0.01 | 0.01 | 0.00 | 0.02 | - | - | 0.00 | 0.00 | 0.14 | −0.74 |
Appendix C. Monthly Trends
| Station Name | Elevation (m.a.s.l.) | Intensity | Cold Duration | Heat Duration | Frequency | Intensity | ||||||||
|---|---|---|---|---|---|---|---|---|---|---|---|---|---|---|
| DTR | TNN | TNX | TXN | TXX | FD | ID | SU | TR | R10 | R20 | RX1DAY | PRCPTOT | ||
| Jeonju | 53.4 | 0.01 | 0.04 | 0.00 | 0.00 | 0.02 | 0.00 | 0.00 | - | - | 0.00 | 0.00 | −0.11 | −0.44 |
| Geumsan | 170.35 | 0.02 | 0.03 | 0.03 | −0.01 | 0.02 | 0.00 | 0.00 | - | - | 0.00 | 0.00 | −0.05 | −0.32 |
| Geochang | 225.95 | 0.04 | 0.01 | 0.02 | −0.01 | 0.04 | 0.00 | 0.00 | - | - | 0.00 | 0.00 | −0.31 | −0.53 |
| Imsil | 247.87 | 0.04 | 0.04 | 0.04 | 0.02 | 0.01 | 0.00 | 0.00 | - | - | 0.00 | 0.00 | −0.13 | −0.54 |
| Jangsu | 406.49 | 0.03 | 0.05 | 0.03 | −0.02 | 0.05 | 0.00 | 0.00 | - | - | 0.00 | 0.00 | −0.11 | −0.51 |
| Station Name | Elevation (m.a.s.l.) | Intensity | Cold Duration | Heat Duration | Frequency | Intensity | ||||||||
|---|---|---|---|---|---|---|---|---|---|---|---|---|---|---|
| DTR | TNN | TNX | TXN | TXX | FD | ID | SU | TR | R10 | R20 | RX1DAY | PRCPTOT | ||
| Jeonju | 53.4 | −0.01 | 0.01 | 0.00 | −0.02 | 0.08 | 0.00 | 0.00 | - | - | 0.00 | 0.00 | 0.02 | −0.22 |
| Geumsan | 170.35 | −0.02 | 0.03 | 0.01 | −0.04 | 0.06 | 0.00 | (+)0 | - | - | 0.00 | 0.00 | 0.20 | 0.03 |
| Geochang | 225.95 | 0.00 | 0.02 | 0.03 | 0.00 | 0.04 | 0.00 | 0.00 | - | - | 0.00 | 0.00 | 0.11 | −0.16 |
| Imsil | 247.87 | 0.01 | 0.04 | 0.05 | −0.02 | 0.07 | 0.00 | 0.00 | - | - | 0.00 | 0.00 | −0.03 | −0.29 |
| Jangsu | 406.49 | 0.00 | 0.04 | 0.03 | −0.02 | 0.05 | 0.00 | 0.00 | - | - | 0.00 | 0.00 | 0.20 | −0.03 |
| Station Name | Elevation (m.a.s.l.) | Intensity | Cold Duration | Heat Duration | Frequency | Intensity | ||||||||
|---|---|---|---|---|---|---|---|---|---|---|---|---|---|---|
| DTR | TNN | TNX | TXN | TXX | FD | ID | SU | TR | R10 | R20 | RX1DAY | PRCPTOT | ||
| Jeonju | 53.4 | 0.04 | 0.03 | 0.04 | 0.03 | 0.13 | −0.12 | - | 0.00 | - | 0.00 | 0.00 | −0.05 | −0.36 |
| Geumsan | 170.35 | 0.04 | 0.05 | 0.08 | 0.04 | 0.12 | −0.11 | - | 0.00 | - | 0.00 | 0.00 | −0.08 | −0.32 |
| Geochang | 225.95 | 0.04 | 0.02 | 0.06 | 0.05 | 0.11 | −0.07 | - | 0.00 | - | 0.00 | 0.00 | −0.17 | −0.50 |
| Imsil | 247.87 | 0.06 | 0.03 | 0.04 | 0.04 | 0.13 | −0.04 | (−)0 | 0.00 | - | 0.00 | 0.00 | 0.00 | −0.19 |
| Jangsu | 406.49 | 0.05 | 0.03 | 0.10 | 0.05 | 0.11 | 0.00 | 0.00 | 0.00 | - | 0.00 | 0.00 | 0.05 | −0.25 |
| Station Name | Elevation (m.a.s.l.) | Intensity | Cold Duration | Heat Duration | Frequency | Intensity | ||||||||
|---|---|---|---|---|---|---|---|---|---|---|---|---|---|---|
| DTR | TNN | TNX | TXN | TXX | FD | ID | SU | TR | R10 | R20 | RX1DAY | PRCPTOT | ||
| Jeonju | 53.4 | −0.04 | 0.03 | −0.02 | 0.04 | 0.02 | 0.00 | - | 0.00 | - | 0.00 | 0.00 | −0.25 | 0.50 |
| Geumsan | 170.35 | −0.05 | 0.03 | −0.04 | 0.00 | 0.03 | −0.04 | - | 0.00 | - | 0.06 | 0.00 | 0.00 | 1.00 |
| Geochang | 225.95 | −0.06 | 0.02 | −0.04 | 0.01 | 0.00 | 0.00 | - | 0.00 | - | 0.05 | 0.00 | −0.07 | 0.93 |
| Imsil | 247.87 | −0.05 | 0.04 | −0.01 | 0.04 | 0.05 | −0.08 | - | 0.00 | - | 0.05 | 0.00 | 0.04 | 0.78 |
| Jangsu | 406.49 | −0.03 | −0.01 | −0.02 | 0.03 | 0.03 | −0.04 | - | 0.00 | - | 0.04 | 0.00 | 0.00 | 0.95 |
| Station Name | Elevation (m.a.s.l.) | Intensity | Cold Duration | Heat Duration | Frequency | Intensity | ||||||||
|---|---|---|---|---|---|---|---|---|---|---|---|---|---|---|
| DTR | TNN | TNX | TXN | TXX | FD | ID | SU | TR | R10 | R20 | RX1DAY | PRCPTOT | ||
| Jeonju | 53.4 | 0.01 | 0.07 | 0.02 | 0.06 | 0.05 | - | - | 0.18 | 0.00 | 0.00 | 0.00 | −0.05 | 0.03 |
| Geumsan | 170.35 | 0.04 | 0.06 | 0.01 | 0.07 | 0.07 | - | - | 0.17 | (+)0 | 0.00 | 0.00 | −0.36 | −0.46 |
| Geochang | 225.95 | 0.00 | 0.03 | 0.06 | 0.09 | 0.04 | 0.00 | - | 0.13 | (+)0 | 0.00 | 0.00 | −0.37 | −0.75 |
| Imsil | 247.87 | 0.04 | 0.03 | 0.02 | 0.07 | 0.08 | (−)0 | - | 0.23 | (+)0 | 0.00 | 0.00 | −0.01 | 0.06 |
| Jangsu | 406.49 | 0.05 | 0.03 | 0.02 | 0.10 | 0.07 | (−)0 | - | 0.20 | (+)0 | 0.00 | 0.00 | −0.12 | 0.00 |
| Station Name | Elevation (m.a.s.l.) | Intensity | Cold Duration | Heat Duration | Frequency | Intensity | ||||||||
|---|---|---|---|---|---|---|---|---|---|---|---|---|---|---|
| DTR | TNN | TNX | TXN | TXX | FD | ID | SU | TR | R10 | R20 | RX1DAY | PRCPTOT | ||
| Jeonju | 53.4 | 0.01 | 0.03 | 0.00 | 0.08 | 0.07 | - | - | 0.13 | 0.05 | 0.00 | 0.00 | −0.51 | −2.08 |
| Geumsan | 170.35 | 0.01 | 0.00 | 0.03 | 0.10 | 0.04 | - | - | 0.14 | 0.02 | −0.04 | −0.04 | −0.50 | −2.41 |
| Geochang | 225.95 | −0.03 | 0.03 | 0.02 | 0.07 | 0.01 | - | - | 0.06 | 0.00 | 0.00 | −0.06 | −1.13 | −3.63 |
| Imsil | 247.87 | 0.03 | 0.03 | 0.02 | 0.08 | 0.07 | - | - | 0.17 | 0.00 | −0.08 | −0.07 | −0.70 | −4.31 |
| Jangsu | 406.49 | 0.04 | −0.01 | 0.00 | 0.07 | 0.05 | - | - | 0.24 | 0.00 | −0.05 | −0.06 | −0.87 | −4.07 |
| Station Name | Elevation (m.a.s.l.) | Intensity | Cold Duration | Heat Duration | Frequency | Intensity | ||||||||
|---|---|---|---|---|---|---|---|---|---|---|---|---|---|---|
| DTR | TNN | TNX | TXN | TXX | FD | ID | SU | TR | R10 | R20 | RX1DAY | PRCPTOT | ||
| Jeonju | 53.4 | −0.01 | 0.07 | 0.01 | 0.04 | −0.02 | - | - | 0.00 | 0.13 | 0.00 | 0.00 | −0.37 | −0.37 |
| Geumsan | 170.35 | −0.02 | 0.08 | 0.00 | 0.05 | 0.01 | - | - | 0.04 | 0.10 | 0.00 | 0.00 | −0.13 | −0.48 |
| Geochang | 225.95 | −0.02 | 0.06 | 0.02 | 0.03 | −0.01 | - | - | 0.05 | 0.15 | 0.00 | 0.00 | 0.29 | −1.02 |
| Imsil | 247.87 | 0.01 | 0.09 | 0.01 | 0.03 | 0.02 | - | - | 0.04 | 0.12 | 0.09 | 0.00 | 0.63 | 2.29 |
| Jangsu | 406.49 | 0.01 | 0.05 | 0.01 | 0.04 | 0.02 | - | - | 0.10 | 0.11 | 0.09 | 0.05 | −0.10 | 1.08 |
| Station Name | Elevation (m.a.s.l.) | Intensity | Cold Duration | Heat Duration | Frequency | Intensity | ||||||||
|---|---|---|---|---|---|---|---|---|---|---|---|---|---|---|
| DTR | TNN | TNX | TXN | TXX | FD | ID | SU | TR | R10 | R20 | RX1DAY | PRCPTOT | ||
| Jeonju | 53.4 | −0.02 | 0.03 | 0.04 | −0.04 | 0.02 | - | - | 0.00 | 0.04 | 0.00 | 0.00 | 0.88 | 5.23 |
| Geumsan | 170.35 | −0.02 | 0.04 | 0.05 | −0.02 | 0.06 | - | - | 0.00 | 0.30 | 0.08 | 0.00 | 0.81 | 3.34 |
| Geochang | 225.95 | −0.02 | 0.05 | 0.04 | −0.01 | 0.05 | - | - | 0.00 | 0.29 | 0.00 | 0.00 | 0.07 | 0.31 |
| Imsil | 247.87 | −0.01 | 0.09 | 0.06 | −0.02 | 0.08 | - | - | 0.00 | 0.35 | 0.00 | 0.00 | 0.53 | 2.64 |
| Jangsu | 406.49 | −0.01 | 0.05 | 0.05 | −0.01 | 0.07 | - | - | 0.00 | 0.38 | 0.00 | 0.00 | 0.65 | 3.36 |
| Station Name | Elevation (m.a.s.l.) | Intensity | Cold Duration | Heat Duration | Frequency | Intensity | ||||||||
|---|---|---|---|---|---|---|---|---|---|---|---|---|---|---|
| DTR | TNN | TNX | TXN | TXX | FD | ID | SU | TR | R10 | R20 | RX1DAY | PRCPTOT | ||
| Jeonju | 53.4 | −0.03 | 0.11 | −0.03 | 0.02 | 0.01 | - | - | 0.00 | 0.06 | 0.00 | 0.00 | 0.13 | −0.06 |
| Geumsan | 170.35 | −0.04 | 0.04 | −0.01 | −0.02 | −0.01 | - | - | 0.00 | 0.00 | 0.00 | 0.00 | 0.43 | 0.67 |
| Geochang | 225.95 | −0.05 | 0.05 | 0.01 | 0.05 | −0.04 | - | - | 0.00 | 0.00 | 0.00 | 0.00 | 0.59 | 1.47 |
| Imsil | 247.87 | −0.02 | 0.03 | −0.01 | 0.03 | 0.01 | - | - | 0.08 | 0.00 | 0.00 | 0.00 | −0.65 | −0.13 |
| Jangsu | 406.49 | −0.02 | 0.04 | −0.01 | 0.02 | 0.01 | - | - | 0.09 | 0.00 | 0.00 | 0.00 | 0.06 | 0.73 |
| Station Name | Elevation (m.a.s.l.) | Intensity | Cold Duration | Heat Duration | Frequency | Intensity | ||||||||
|---|---|---|---|---|---|---|---|---|---|---|---|---|---|---|
| DTR | TNN | TNX | TXN | TXX | FD | ID | SU | TR | R10 | R20 | RX1DAY | PRCPTOT | ||
| Jeonju | 53.4 | −0.06 | 0.08 | 0.07 | 0.01 | 0.03 | 0.00 | - | 0.00 | 0.00 | 0.00 | 0.00 | 0.56 | 0.72 |
| Geumsan | 170.35 | −0.08 | 0.07 | 0.09 | −0.03 | 0.02 | −0.04 | - | 0.00 | - | 0.00 | 0.00 | 0.71 | 1.09 |
| Geochang | 225.95 | −0.08 | 0.06 | 0.12 | 0.02 | 0.00 | −0.04 | - | 0.00 | - | 0.05 | 0.04 | 1.21 | 2.43 |
| Imsil | 247.87 | −0.05 | 0.07 | 0.08 | 0.02 | 0.06 | −0.04 | - | 0.00 | - | 0.05 | 0.00 | 0.85 | 1.91 |
| Jangsu | 406.49 | −0.04 | 0.05 | 0.10 | 0.03 | 0.02 | −0.08 | - | 0.00 | - | 0.06 | 0.00 | 0.79 | 2.37 |
| Station Name | Elevation (m.a.s.l.) | Intensity | Cold Duration | Heat Duration | Frequency | Intensity | ||||||||
|---|---|---|---|---|---|---|---|---|---|---|---|---|---|---|
| DTR | TNN | TNX | TXN | TXX | FD | ID | SU | TR | R10 | R20 | RX1DAY | PRCPTOT | ||
| Jeonju | 53.4 | −0.04 | 0.11 | 0.06 | 0.06 | 0.03 | −0.07 | - | 0.00 | - | 0.00 | 0.00 | 0.25 | −0.16 |
| Geumsan | 170.35 | −0.04 | 0.10 | 0.05 | 0.03 | 0.00 | −0.12 | - | 0.00 | - | 0.00 | 0.00 | 0.04 | 0.19 |
| Geochang | 225.95 | −0.04 | 0.07 | 0.07 | 0.04 | 0.01 | −0.15 | - | 0.00 | - | 0.00 | 0.00 | 0.17 | 0.12 |
| Imsil | 247.87 | −0.01 | 0.07 | 0.05 | 0.07 | 0.03 | −0.10 | 0.00 | 0.00 | - | 0.00 | 0.00 | 0.07 | 0.04 |
| Jangsu | 406.49 | −0.01 | 0.10 | 0.04 | 0.06 | 0.03 | −0.09 | (−)0 | - | - | 0.00 | 0.00 | 0.31 | 0.09 |
| Station Name | Elevation (m.a.s.l.) | Intensity | Cold Duration | Heat Duration | Frequency | Intensity | ||||||||
|---|---|---|---|---|---|---|---|---|---|---|---|---|---|---|
| DTR | TNN | TNX | TXN | TXX | FD | ID | SU | TR | R10 | R20 | RX1DAY | PRCPTOT | ||
| Jeonju | 53.4 | −0.03 | 0.02 | −0.01 | −0.04 | −0.10 | 0.00 | 0.00 | - | - | 0.00 | 0.00 | 0.10 | 0.19 |
| Geumsan | 170.35 | −0.05 | 0.01 | 0.01 | −0.03 | −0.09 | 0.00 | 0.00 | - | - | 0.00 | 0.00 | 0.11 | 0.18 |
| Geochang | 225.95 | −0.06 | 0.01 | 0.01 | −0.03 | −0.10 | 0.00 | (+)0 | - | - | 0.00 | 0.00 | 0.12 | 0.19 |
| Imsil | 247.87 | −0.03 | 0.02 | 0.00 | −0.02 | −0.05 | 0.00 | 0.00 | - | - | 0.00 | 0.00 | 0.17 | 0.15 |
| Jangsu | 406.49 | −0.03 | 0.07 | −0.03 | −0.02 | −0.06 | 0.00 | 0.07 | - | - | 0.00 | 0.00 | 0.15 | 0.23 |
References
- Donnelly, C.; Greuell, W.; Andersson, J.; Gerten, D.; Pisacane, G.; Roudier, P.; Ludwig, F. Impacts of climate change on European hydrology at 1.5, 2 and 3 degrees mean global warming above preindustrial level. Clim. Chang. 2017, 143, 13–26. [Google Scholar] [CrossRef] [Green Version]
- Razavi, T.; Switzman, H.; Arain, A.; Coulibaly, P. Regional climate change trends and uncertainty analysis using extreme indices: A case study of Hamilton, Canada. Clim. Risk Manag. 2016, 13, 43–63. [Google Scholar] [CrossRef] [Green Version]
- Intergovernmental Panel on Climate Change (IPCC). Climate Change 2013: The Physical Science Basis. Contribution of Working Group I to the Fifth Assessment Report of the Intergovernmental Panel on Climate Change; Stocker, T.F., Qin, D., Plattner, G.-K., Tignor, S.K., Allen, J., Boschung, A., Nauels, Y., Xia, V.B., Midgley, P.M., Eds.; Cambridge University Press: Cambridge, UK, 2013; ISBN 9789291691388. [Google Scholar]
- Dinpashoh, Y.; Mirabbasi, R.; Jhajharia, D.; Abianeh, H.Z.; Mostafaeipour, A. Effect of Short-Term and Long-Term Persistence on Identification of Temporal Trends. J. Hydrol. Eng. 2014, 19, 617–625. [Google Scholar] [CrossRef]
- Feng, G.; Cobb, S.; Abdo, Z.; Fisher, D.K.; Ouyang, Y.; Adeli, A.; Jenkins, J.N. Trend Analysis and Forecast of Precipitation, Reference Evapotranspiration, and Rainfall Deficit in the Blackland Prairie of Eastern Mississippi. J. Appl. Meteorol. Climatol. 2016, 55, 1425–1439. [Google Scholar] [CrossRef]
- Sunday, R.K.M.; Masih, I.; Werner, M.; van der Zaag, P. Streamflow forecasting for operational water management in the Incomati River Basin, Southern Africa. Phys. Chem. Earth Parts A/B/C 2014, 72–75, 1–12. [Google Scholar] [CrossRef]
- Korea Meteorological Agency. Proven Weather Crisis in Year 2020; Korea Meteorological Agency: Seoul, Korea, 2021. (In Korean)
- Moon, J.J.; Kang, S.U.; Lee, J.J. Water for Future. J. Korea Water Resour. Assoc. 2020, 53, 135–143. (In Korean) [Google Scholar]
- Klein Tank, A.M.G.; Zwiers, F.W.; Zhang, X. Guidelines on Analysis of Extremes in a Changing Climate in Support of Informed Decisions for Adaptation; World Meteorological Organization: Geneva, Switzerland, 2009. [Google Scholar]
- Peterson, T.C.; Manton, M.J. Monitoring Changes in Climate Extreme: A Tale of International Colloboration. Am. Meteorol. Soc. 2008, 89, 1266–1271. [Google Scholar] [CrossRef]
- Chaney, N.W.; Sheffield, J.; Villarini, G.; Wood, E.F. Development of a High-Resolution Gridded Daily Meteorological Dataset over Sub-Saharan Africa: Spatial Analysis of Trends in Climate Extremes. J. Clim. 2014, 27, 5815–5835. [Google Scholar] [CrossRef]
- Costa, R.L.; Baptista, G.M.d.M.; Gomes, H.B.; Silva, F.D.d.S.; da Rocha, R.L., Jr.; de Araújo, M.S.; Herdies, D.L. Analysis of climate extremes indices over northeast Brazil from 1961 to 2014. Weather Clim. Extrem. 2020, 28, 100254. [Google Scholar] [CrossRef]
- Rao, G.V.; Reddy, K.V.; Srinivasan, R.; Sridhar, V.; Umamahesh, N.V.; Pratap, D. Spatio-temporal analysis of rainfall extremes in the flood-prone Nagavali and Vamsadhara Basins in eastern India. Weather Clim. Extrem. 2020, 29, 100265. [Google Scholar] [CrossRef]
- de los Milagros, M.S.; Brunet, M.; Sigró, J.; Aguilar, E.; Groening, J.A.A.; Bentancur, O.J.; Geier, Y.R.C.; Amaya, R.L.C.; Jácome, H.; Malheiros Ramos, A.; et al. Warming and wetting signals emerging from analysis of changes in climate extreme indices over South America. Glob. Planet. Chang. 2013, 100, 295–307. [Google Scholar] [CrossRef]
- Wazneh, H.; Arain, M.A.; Coulibaly, P. Historical Spatial and Temporal Climate Trends in Southern Ontario, Canada. J. Appl. Meteorol. Climatol. 2017, 56, 2767–2787. [Google Scholar] [CrossRef]
- Dietzsch, F.; Andersson, A.; Ziese, M.; Schröder, M.; Raykova, K.; Schamm, K.; Becker, A. A Global ETCCDI-Based Precipitation Climatology from Satellite and Rain Gauge Measurements. Climate 2017, 5, 9. [Google Scholar] [CrossRef] [Green Version]
- Dong, Z.; Jia, W.; Sarukkalige, R.; Fu, G.; Meng, Q.; Wang, Q. Innovative Trend Analysis of Air Temperature and Precipitation in the Jinsha River Basin, China. Water 2020, 12, 3293. [Google Scholar] [CrossRef]
- Jung, I.W.; Bae, D.H.; Kim, G. Recent trends of mean and extreme precipitation in Korea. Int. J. Climatol. 2011, 31, 359–370. [Google Scholar] [CrossRef]
- Li, X.; Wang, X.; Babovic, V. Analysis of variability and trends of precipitation extremes in Singapore during 1980-2013. Int. J. Climatol. 2018, 38, 125–141. [Google Scholar] [CrossRef]
- Mahbod, M.; Shirvani, A.; Veronesi, F. A comparative analysis of the precipitation extremes obtained from tropical rainfall-measuring mission satellite and rain gauges datasets over a semiarid region. Int. J. Climatol. 2019, 39, 495–515. [Google Scholar] [CrossRef]
- N’Tcha M’Po, Y.; Lawin, E.; Yao, B.; Oyerinde, G.; Attogouinon, A.; Afouda, A. Decreasing Past and Mid-Century Rainfall Indices over the Ouémé River Basin, Benin (West Africa). Climate 2017, 5, 74. [Google Scholar] [CrossRef] [Green Version]
- Nie, H.; Qin, T.; Yang, H.; Chen, J.; He, S.; Lv, Z.; Shen, Z. Trend analysis of temperature and precipitation extremes during winter wheat growth period in the major winter wheat planting area of China. Atmosphere 2019, 10, 240. [Google Scholar] [CrossRef] [Green Version]
- Quan, N.T.; Khoi, D.N.; Hoan, N.X.; Phung, N.K.; Dang, T.D. Spatiotemporal Trend Analysis of Precipitation Extremes in Ho Chi Minh City, Vietnam During 1980–2017. Int. J. Disaster Risk Sci. 2021, 12, 131–146. [Google Scholar] [CrossRef]
- Mann, H.B. Nonparametric Tests Against Trend. Econometrica 1945, 13, 245. [Google Scholar] [CrossRef]
- Kendall, M.G. Rank Correlation Methods; Charles Griffin: London, UK, 1975. [Google Scholar]
- Gilbert, R.O. Statistical Methods for Environmental Pollution Monitoring; Van Nostrand Reinhold Company: New York, NY, USA, 1987; ISBN 0442230508. [Google Scholar]
- Theil, H. A Rank-Invariant Method of Linear and Polynomial Regression Analysis. I, II, III. In Theil’s Contributions to Economics and Econometrics. Advanced Studies in Theoretical and Applied Econometrics; Springer: Amsterdam, The Netherlands, 1950; pp. 345–381. [Google Scholar]
- Sen, P.K. Estimates of the Regression Coefficient Based on Kendall’s Tau. J. Am. Stat. Assoc. 1968, 63, 1379–1389. [Google Scholar] [CrossRef]
- Ahmad, I.; Tang, D.; Wang, T.; Wang, M.; Wagan, B. Precipitation Trends over Time Using Mann-Kendall and Spearman’s rho Tests in Swat River Basin, Pakistan. Adv. Meteorol. 2015, 2015, 431860. [Google Scholar] [CrossRef] [Green Version]
- Azam, M.; Maeng, S.; Kim, H.; Lee, S.; Lee, J. Spatial and Temporal Trend Analysis of Precipitation and Drought in South Korea. Water 2018, 10, 765. [Google Scholar] [CrossRef] [Green Version]
- Zhang, X.; Yang, F. RClimDex (1.0) User Manual; Climate Research Branch: Downsview, ON, Canada, 2004; pp. 1–23. [Google Scholar]
- Von Storch, H. Misuses of Statistical Analysis in Climate Research. In Analysis of Climate Variability; Springer: Berlin/Heidelberg, Germany, 1999; pp. 11–26. [Google Scholar]
- Yue, S.; Wang, C.Y. Applicability of prewhitening to eliminate the influence of serial correlation on the Mann-Kendall test. Water Resour. Res. 2002, 38, 4-1–4-7. [Google Scholar] [CrossRef]
- Wu, H.; Soh, L.-K.; Samal, A.; Chen, X.-H. Trend Analysis of Streamflow Drought Events in Nebraska. Water Resour. Manag. 2008, 22, 145–164. [Google Scholar] [CrossRef]
- Memarian, H.; Balasundram, S.K.; Talib, J.B.; Sood, A.M.; Abbaspour, K.C. Trend analysis of water discharge and sediment load during the past three decades of development in the Langat basin, Malaysia. Hydrol. Sci. J. 2012, 57, 1207–1222. [Google Scholar] [CrossRef]
- Hirsch, R.M.; Slack, J.R.; Smith, R.A. Techniques of trend analysis for monthly water quality data. Water Resour. Res. 1982, 18, 107–121. [Google Scholar] [CrossRef] [Green Version]
- Machiwal, D.; Jha, M.K. Hydrologic Time Series Analysis: Theory and Practice, 1st ed.; Springer: Dordrecht, The Netherlands, 2012; ISBN 978-94-007-1860-9. [Google Scholar]
- Pettitt, A.N. A Non-Parametric Approach to the Change-Point Problem. Appl. Stat. 1979, 28, 126. [Google Scholar] [CrossRef]
- Chandniha, S.K.; Meshram, S.G.; Adamowski, J.F.; Meshram, C. Trend analysis of precipitation in Jharkhand State, India. Theor. Appl. Climatol. 2017, 130, 261–274. [Google Scholar] [CrossRef]
- Hadi, S.J.; Tombul, M. Long-term spatiotemporal trend analysis of precipitation and temperature over Turkey. Meteorol. Appl. 2018, 25, 445–455. [Google Scholar] [CrossRef] [Green Version]
- Ouhamdouch, S.; Bahir, M. Climate Change Impact on Future Rainfall and Temperature in Semi-arid Areas (Essaouira Basin, Morocco). Environ. Process. 2017, 4, 975–990. [Google Scholar] [CrossRef]
- Yacoub, E.; Tayfur, G. Trend analysis of temperature and precipitation in Trarza region of Mauritania. J. Water Clim. Chang. 2019, 10, 484–493. [Google Scholar] [CrossRef]
- Duhan, D.; Pandey, A. Statistical analysis of long term spatial and temporal trends of precipitation during 1901–2002 at Madhya Pradesh, India. Atmos. Res. 2013, 122, 136–149. [Google Scholar] [CrossRef]
- Chen, S.-T.; Kuo, C.-C.; Yu, P.-S. Historical trends and variability of meteorological droughts in Taiwan/Tendances historiques et variabilité des sécheresses météorologiques à Taiwan. Hydrol. Sci. J. 2009, 54, 430–441. [Google Scholar] [CrossRef]
- Mondal, A.; Khare, D.; Kundu, S. Spatial and temporal analysis of rainfall and temperature trend of India. Theor. Appl. Climatol. 2015, 122, 143–158. [Google Scholar] [CrossRef]
- Afzal, M.; Gagnon, A.S.; Mansell, M.G. Changes in the variability and periodicity of precipitation in Scotland. Theor. Appl. Climatol. 2015, 119, 135–159. [Google Scholar] [CrossRef]
- Yeh, P.J.F.; Wu, C. Recent Acceleration of the Terrestrial Hydrologic Cycle in the U.S. Midwest. J. Geophys. Res. Atmos. 2018, 123, 2993–3008. [Google Scholar] [CrossRef]
- Zhao, W.; Khalil, M.A.K. The Relationship between Precipitation and Temperature over the Contiguous United States. J. Clim. 1993, 6, 1232–1236. [Google Scholar] [CrossRef] [Green Version]
- Qu, M.; Wan, J.; Hao, X. Analysis of diurnal air temperature range change in the continental United States. Weather Clim. Extrem. 2014, 4, 86–95. [Google Scholar] [CrossRef] [Green Version]
- Kug, J.-S.; Jeong, J.-H.; Jang, Y.-S.; Kim, B.-M.; Folland, C.K.; Min, S.-K.; Son, S.-W. Two distinct influences of Arctic warming on cold winters over North America and East Asia. Nat. Geosci. 2015, 8, 759–762. [Google Scholar] [CrossRef]
- Overland, J.E.; Wood, K.R.; Wang, M. Warm Arctic—Cold continents: Climate impacts of the newly open Arctic Sea. Polar Res. 2011, 30, 15787. [Google Scholar] [CrossRef]
- Dosio, A. Mean and Extreme Climate in Europe; European Commission: Brussels, Belgium, 2020. [Google Scholar]
- Awasthi, R.P. Variability of Climate Extremes in Variability of Climate Extremes in Nepal. Master’s Thesis, Hankuk University of Foreign Studies, Seoul, Korea, 2018. [Google Scholar]








| No. | Station Name | Data Availability | |||
|---|---|---|---|---|---|
| 1 | Jeonju | 23 June 1918 to present | 127.155 | 35.822 | 61.4 |
| 2 | Geumsan | 9 January 1972 to present | 127.482 | 36.106 | 172.69 |
| 3 | Imsil | 2 June 1970 to present | 127.286 | 35.612 | 247.04 |
| 4 | Jangsu | 1 January 1988 to present | 127.520 | 35.657 | 406.49 |
| 5 | Geochang | 24 January 1972 to present | 127.909 | 35.667 | 225.95 |
| Index Classification | No. | Climate Index | ID | Threshold Description | Units |
|---|---|---|---|---|---|
| Cold duration | 1 | Frost nighttime † | FD | Number of days when Tmin < 0 °C | days |
| 2 | Frost daytime † | ID | Number of days when Tmax < 0 °C | days | |
| Heat duration | 3 | Summer daytime † | SU | Number of days when Tmax > 25 °C | days |
| 4 | Summer nighttime † | TR | Number of days when Tmin > 20 °C | days | |
| Intensity indices—Temperature | 5 | Coldest nighttime temperature † | TNn | Monthly minimum value of daily minimum temp | °C |
| 6 | Warmest nighttime temperature † | TNx | Monthly maximum value of daily minimum temp | °C | |
| 7 | Coldest daytime temperature † | TXn | Monthly minimum value of daily maximum temp | °C | |
| 8 | Warmest daytime temperature † | TXx | Monthly maximum value of daily maximum temp | °C | |
| 9 | Diurnal temperature range | DTR | Monthly mean difference between Tmax and Tmin | °C | |
| Intensity indices—Precipitation | 10 | Max 1-day precipitation depth | RX1day | Maximum 1-day precipitation | mm |
| 11 | Max 5-day precipitation depth * | RX5 day | Maximum consecutive 5-days precipitation | mm | |
| 12 | Simple daily intensity index * | SDII | Annual total precipitation divided by the number of wet days | mm/day | |
| 13 | Total wet-day precipitation | PRCPTOT | Total precipitation in wet days PCP ≥ 1 mm | mm | |
| Frequency indices—Precipitation | 14 | Days with heavy precipitation | R10 | Number of days when PRCP ≥ 10 mm | days |
| 15 | Days with very heavy precipitation | R20 | Number of days when PRCP ≥ 20 mm | days | |
| Duration indices—Precipitation | 16 | Consecutive dry days * | CDD | Maximum number of consecutive days with PCP < 1 mm | days |
| 17 | Consecutive wet days * | CWD | Maximum number of consecutive days with PCP ≥ 1 mm | days |
| Classifications | Indices | Jeonju | Geumsan | Geochang | Imsil | Jangsu |
|---|---|---|---|---|---|---|
| Temperature Intensity | DTR | 2014 | 2001 | 2009 | 1993 | 1992 |
| TNn | 2013 | 2013 | 2013 | 2005 | 2006 | |
| TNx | 2011 | 2016 | 2005 | 2008 | 2007 | |
| TXn | 1997 | 2008 | 1997 | 1997 | 1995 | |
| TXx | 2009 | 2011 | 2015 | 2003 | 2007 | |
| Cold Duration | FD | 2014 | 2001 | 2005 | 2013 | 2005 |
| ID | 2008 | 2008 | 2008 | 2013 | 2013 | |
| Heat Duration | SU | 1997 | 2006 | 2003 | 2004 | 2007 |
| TR | 1997 | 2003 | 2003 | 2003 | 2009 |
| Classifications | Indices | Jeonju | Geumsan | Geochang | Imsil | Jangsu |
|---|---|---|---|---|---|---|
| Precipitation Duration | CDD | 2003 | 2009 | 2000 | 1992 | 2002 |
| CWD | 2011 | 1997 | 2007 | 2001 | 1996 | |
| Precipitation Intensity | RX1DAY | 2011 | 1994 | 1997 | 1996 | 1995 |
| RX5DAY | 2002 | 1995 | 2009 | 2001 | 2011 | |
| PRCPTOT | 2012 | 1996 | 2007 | 1996 | 1996 | |
| SDII | 1995 | 1994 | 2007 | 1996 | 1995 | |
| Precipitation Frequency | R10 | 1991 | 1996 | 1997 | 1995 | 1997 |
| R20 | 2004 | 1996 | 2007 | 2012 | 1995 |
Publisher’s Note: MDPI stays neutral with regard to jurisdictional claims in published maps and institutional affiliations. |
© 2021 by the authors. Licensee MDPI, Basel, Switzerland. This article is an open access article distributed under the terms and conditions of the Creative Commons Attribution (CC BY) license (https://creativecommons.org/licenses/by/4.0/).
Share and Cite
Felix, M.L.; Kim, Y.-k.; Choi, M.; Kim, J.-C.; Do, X.K.; Nguyen, T.H.; Jung, K. Detailed Trend Analysis of Extreme Climate Indices in the Upper Geum River Basin. Water 2021, 13, 3171. https://doi.org/10.3390/w13223171
Felix ML, Kim Y-k, Choi M, Kim J-C, Do XK, Nguyen TH, Jung K. Detailed Trend Analysis of Extreme Climate Indices in the Upper Geum River Basin. Water. 2021; 13(22):3171. https://doi.org/10.3390/w13223171
Chicago/Turabian StyleFelix, Micah Lourdes, Young-kyu Kim, Mikyoung Choi, Joo-Cheol Kim, Xuan Khanh Do, Thu Hien Nguyen, and Kwansue Jung. 2021. "Detailed Trend Analysis of Extreme Climate Indices in the Upper Geum River Basin" Water 13, no. 22: 3171. https://doi.org/10.3390/w13223171
APA StyleFelix, M. L., Kim, Y.-k., Choi, M., Kim, J.-C., Do, X. K., Nguyen, T. H., & Jung, K. (2021). Detailed Trend Analysis of Extreme Climate Indices in the Upper Geum River Basin. Water, 13(22), 3171. https://doi.org/10.3390/w13223171

