Development and Application of an Interactive Coupling Rainfall-Runoff Model According to Soil Texture
Abstract
:1. Introduction
2. Materials and Methods
2.1. Coupling System
2.2. Comparison among Models
2.3. Developed Model
- When rainfall occurs on a pervious watershed, surface or subsurface runoff occurs depending on the degree of saturation of the soil layer, and interactions between the surface and subsurface runoff occur (Figure 2A).
- When rainfall occurs on an impervious watershed, only surface runoff occurs (Figure 2B).
- The base flow is not considered.
- Uniform rainfall R(t) occurs in an area with a certain area size.
- The vertical distance from the reference plane to where the pervious soil layer begins is Z (x, y).
- The saturation depth for the thickness of the pervious soil layer is expressed as hp (x, y).
- The surface runoff depth when the thickness of the pervious soil layer and the saturation depth hp (x, y) become equal or the rainfall exceeds the infiltration capacity of the pervious soil layer is hs (x, y).
- The runoff rate per unit width is q (x, y), surface slope is S (x, y), average flow rate is v (x, y), and total head from the reference plane is H (x, y).
2.4. Applied Watershed and Rainfall
2.5. Goodness of Fit
3. Results and Discussion
3.1. Comparison between the Measured Flows and Runoff Analysis Results from the Model
3.2. Goodness of Fit Results
3.3. Sensitivity Analysis of the Input Parameters and Parameter Calibration
3.4. Validation of the Applicability to Real Watersheds
4. Conclusions
- 1.
- With the developed model, which is a grid-based distributed rainfall-runoff model, the measured and simulated runoff hydrographs were compared for four rainfall events using the initial input data for the runoff parameters including the porosity, residual water content, and pore distribution. The results showed that the peak flows of the simulated runoff hydrographs were 11% lower on an average than those of the measured runoff hydrographs.
- 2.
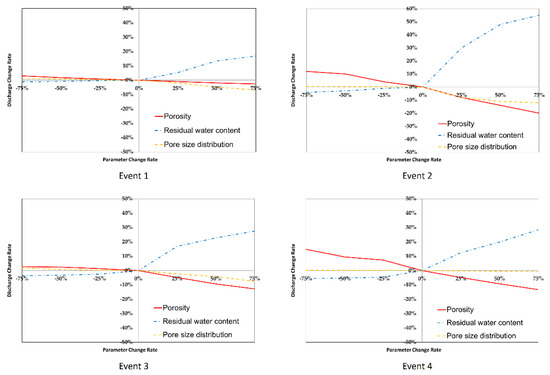
- The sensitivities of the runoff parameters, namely, the porosity, residual water content, and pore distribution, were analyzed in the range of ±75% based on the average USDA water-retention properties categorized by soil texture for each parameter. The results showed that the porosity and pore distribution were inversely proportional to the peak flow, whereas the residual water content is directly proportional to the peak flow. The sensitivity of the residual water content for the peak flow was higher than 15% on an average, and it reached a maximum of 54.21%. Thus, among the runoff parameters, the residual water content had the largest sensitivity.
- 3.
- Based on the sensitivity analysis results, the appropriate criteria for the water-retention properties by soil texture were calibrated in accordance with the watershed characteristics of South Korea for six drainage classes (very poor, poor, slightly poor, slightly good, good, and very good) within the Guryang watershed.
- 4.
- When the runoff analysis was performed again with the calibrated parameters, the peak flow was smaller by 1% on an average than the results for the initial input data, and these data showed a higher goodness of fit with the peak flows of the measured runoff hydrographs.
- 5.
- The analysis results of the quantitative goodness of fit of the model showed that the RMSE, PBIAS, NSE, and PME improved by 43%, 34%, 2%, and 46%, respectively, for all four rainfall events.
Author Contributions
Funding
Institutional Review Board Statement
Informed Consent Statement
Data Availability Statement
Conflicts of Interest
Appendix A
| Classification | Sample Size | Total Porosity (Φ) cm3/cm3 | Residual Water Content (θr) cm3/cm3 | Pore Distribution (λ) cm | Saturation Permeability Coefficient (Ks) cm/h |
|---|---|---|---|---|---|
| Sand | 762 | 0.374–0.500 (0.437) | 0.001–0.039 (0.020) | 0.298–1.090 (0.694) | 21.00 |
| Loamy sand | 338 | 0.363–0.506 (0.437) | 0.003–0.067 (0.035) | 0.234–0.872 (0.553) | 6.11 |
| Sandy loam | 666 | 0.351–0.555 (0.453) | −0.024–0.106 (0.041) | 0.140–0.616 (0.378) | 2.59 |
| Loam | 383 | 0.375–0.551 (0.463) | −0.020–0.074 (0.027) | 0.086–0.418 (0.252) | 1.32 |
| Silt loam | 1206 | 0.420–0.582 (0.501) | −0.028–0.058 (0.015) | 0.105–0.363 (0.234) | 0.68 |
| Sandy clay loam | 498 | 0.332–0.464 (0.398) | −0.001–0.137 (0.068) | 0.079–0.559 (0.319) | 0.43 |
| Clay loam | 366 | 0.409–0.519 (0.464) | −0.024–0.174 (0.075) | 0.070–0.414 (0.242) | 0.23 |
| Silty clay loam | 689 | 0.418–0.524 (0.471) | −0.038–0.118 (0.040) | 0.039–0.315 (0.177) | 0.15 |
| Sandy clay | 45 | 0.370–0.490 (0.430) | 0.013–0.205 (0.109) | 0.048–0.398 (0.223) | 0.12 |
| Silty clay | 127 | 0.425–0.533 (0.479) | −0.024–0.136 (0.056) | 0.040–0.260 (0.150) | 0.09 |
| Clay | 291 | 0.427–0.523 (0.475) | −0.015–0.195 (0.090) | 0.037–0.293 (0.165) | 0.06 |
Appendix B
| Classification | Total Porosity (Φ) (cm3/cm3) | |||||
| Soil Drainage Class | ||||||
| Very Good | Good | Slightly Good | Slightly Poor | Poor | Very Poor | |
| Sand | 0.563 | 0.500 | 0.4685 | 0.4055 | 0.374 | 0.311 |
| Loamy sand | 0.575 | 0.506 | 0.4715 | 0.4025 | 0.368 | 0.299 |
| Sandy loam | 0.657 | 0.555 | 0.504 | 0.402 | 0.351 | 0.249 |
| Loam | 0.639 | 0.551 | 0.507 | 0.419 | 0.375 | 0.287 |
| Silt loam | 0.663 | 0.582 | 0.5415 | 0.4605 | 0.420 | 0.339 |
| Sandy clay loam | 0.530 | 0.464 | 0.431 | 0.365 | 0.332 | 0.266 |
| Clay loam | 0.564 | 0.519 | 0.4915 | 0.4365 | 0.409 | 0.354 |
| Silty clay loam | 0.577 | 0.524 | 0.4975 | 0.4445 | 0418 | 0.365 |
| Sandy clay | 0.550 | 0.490 | 0.460 | 0.400 | 0.370 | 0.310 |
| Silty clay | 0.587 | 0.533 | 0.506 | 0.452 | 0.425 | 0.371 |
| Clay | 0.571 | 0.523 | 0.499 | 0.451 | 0.427 | 0.379 |
| Classification | Residual Water Content (θr) (cm3/cm3) | |||||
| Soil Drainage Class | ||||||
| Very Good | Good | Slightly Good | Slightly Poor | Poor | Very Poor | |
| Sand | 0.000 | 0.001 | 0.0105 | 0.0295 | 0.039 | 0.058 |
| Loamy sand | 0.000 | 0.003 | 0.019 | 0.051 | 0.067 | 0.099 |
| Sandy loam | 0.000 | 0.000 | 0.0205 | 0.0735 | 0.106 | 0.171 |
| Loam | 0.000 | 0.000 | 0.0135 | 0.0505 | 0.074 | 0.121 |
| Silt loam | 0.000 | 0.000 | 0.0075 | 0.0365 | 0.058 | 0.101 |
| Sandy clay loam | 0.000 | 0.000 | 0.034 | 0.1025 | 0.137 | 0.206 |
| Clay loam | 0.000 | 0.000 | 0.0375 | 0.145 | 0.174 | 0.273 |
| Silty clay loam | 0.000 | 0.000 | 0.020 | 0.079 | 0.118 | 0.196 |
| Sandy clay | 0.000 | 0.013 | 0.061 | 0.157 | 0.205 | 0.301 |
| Silty clay | 0.000 | 0.000 | 0.028 | 0.096 | 0.136 | 0.216 |
| Clay | 0.000 | 0.000 | 0.045 | 0.1425 | 0.195 | 0.300 |
| Classification | Pore Distribution (λ) (cm) | |||||
| Soil Drainage Class | ||||||
| Very Good | Good | Slightly Good | Slightly Poor | Poor | Very Poor | |
| Sand | 1.486 | 1.090 | 0.892 | 0.496 | 0.298 | 0.000 |
| Loamy sand | 1.191 | 0.872 | 0.7125 | 0.3935 | 0.234 | 0.000 |
| Sandy loam | 0.854 | 0.616 | 0.497 | 0.259 | 0.140 | 0.070 |
| Loam | 0.584 | 0.418 | 0.335 | 0.169 | 0.086 | 0.043 |
| Silt loam | 1.038 | 0.636 | 0.435 | 0.1695 | 0.105 | 0.0525 |
| Sandy clay loam | 0.799 | 0.559 | 0.439 | 0.199 | 0.079 | 0.0395 |
| Clay loam | 0.586 | 0.414 | 0.328 | 0.156 | 0.070 | 0.035 |
| Silty clay loam | 0.453 | 0.315 | 0.246 | 0.108 | 0.039 | 0.0195 |
| Sandy clay | 0.573 | 0.398 | 0.3105 | 0.1355 | 0.048 | 0.024 |
| Silty clay | 0.370 | 0.260 | 0.205 | 0.095 | 0.040 | 0.020 |
| Clay | 0.421 | 0.293 | 0.229 | 0.101 | 0.037 | 0.0185 |
References
- Sitterson, J.; Knights, C.; Parmar, R.; Wolfe, K.; Muche, M.; Avant, B. An Overview of Rainfall-Runoff Model Types. EPA 600 R-14 2017, 152, 16–19. [Google Scholar]
- Gilewski, P. Impact of the Grid Resolution and Deterministic Interpolation of Precipitation on Rainfall-Runoff Modeling in a Sparsely Gauged Mountainous Catchment. Water 2021, 13, 230. [Google Scholar] [CrossRef]
- Young, R.A.; Onstad, C.A.; Bosch, D.D.; Anderson, W.P. AGNPS: A nonpoint-source pollution model for evaluating agricultural watersheds. J. Soil Water Conserv. 1989, 44, 168–173. [Google Scholar]
- Beasley, D.B.; Huggins, L.F.; Monke, E.J. ANSWERS: A Model for Watershed Planning. Trans. ASAE 1980, 23, 0938–0944. [Google Scholar] [CrossRef]
- Borah, D.K.; Xia, R.; Bera, M. DWSM-A dynamic watershed simulation model, Chapter 5. In Mathematical Models of Small Watershed Hydrology and Applications; Singh, V.P., Frevert, D.K., Eds.; Water Resources Publications: Highlands Ranch, CO, USA, 2002; pp. 113–166. [Google Scholar]
- Downer, C.W.; Ogden, F.L. GSSHA User’s Manual, Gridded Surface-Subsurface Hydrologic Analysis; Version 1.43 for WMS 6.1. EDRL Technical Report; Engineering Research and Development Center, U.S. Army Corps of Engineers: Vicksburg, MS, USA, 2002.
- Kojiri, T. Hydrological river basin environment assessment model (Hydro-BEAM). In Watershed Models; Singh, V.P., Frevert, D.K., Eds.; CRC Press, Taylor & Francis Books, Inc.: New York, NY, USA, 2006; pp. 613–626. [Google Scholar]
- Refsgaard, J.C.; Storm, B. MIKE-SHE. In Computer Models of Watershed Hydrology; Singh, V.P., Ed.; Water Resources Publications: Highlands Ranch, CO, USA, 1995; pp. 809–846. [Google Scholar]
- He, Z.; Wu, W.; Wang, S.S. Coupled Finite-Volume Model for 2D Surface and 3D Subsurface Flows. J. Hydrol. Eng. 2008, 13, 835–845. [Google Scholar] [CrossRef]
- Vieux, B.E. Predictability of flash floods using distributed parameter physics-based models, Appendix, B. In Report of a Workshop on Predictability and Limits to Prediction in Hydrologic Systems; Committee on Hydrologic Science, National Research Council; National Academy Press: Wasington, DC, USA, 2002; pp. 77–82. [Google Scholar]
- Vieux, B.E. VfloTM 3.0 Desktop User Manual. 2005. Available online: www.vieuxinc.com (accessed on 27 July 2021).
- Morita, M.; Yen, B.C. Modeling of conjunctive two-dimensional surface-three-dimensional subsurface flows. J. Hydraul. Eng. 2002, 128, 184–200. [Google Scholar] [CrossRef]
- Adu, J.; Kumarasamy, M. Assessing Non-Point Source Pollution Models: A Review. Pol. J. Environ. Stud. 2018, 27, 1913–1922. [Google Scholar] [CrossRef]
- Borah, D.K.; Bera, M. Watershed-scale hydrologic and nonpoint-source pollution models: Review of mathematical bases. Trans. ASAE 2003, 46, 1553–1566. [Google Scholar] [CrossRef] [Green Version]
- Al-Areeq, A.M.; Al-Zahrani, M.A.; Sharif, H.O. Physically-based, distributed hydrologic model for Makkah watershed using GPM satellite rainfall and ground rainfall stations. Geomat. Nat. Hazards Risk 2021, 12, 1234–1257. [Google Scholar] [CrossRef]
- Abdel-Fattah, M.; Saber, M.; Sumi, T.; Kantoush, S.A.; Khalil, M.F.; Sefelnasr, A.M. A Hydrological and Geomorphometric Approach to Understanding the Generation of Wadi Flash Floods. Water 2017, 9, 553. [Google Scholar] [CrossRef] [Green Version]
- Ribarova, I.; Ninov, P.L.; Volk, M.; Melone, F.; Moramarco, T.; Safiolea, E.; Panagopoulos, Y.; Zdralewicz, M.; Berni, N.; Ghinescu, A. Comparison of eight rainfall-runoff models for flood simulations. In Proceedings of the Tenth International Conference on Computing and Control for the Water Industry, CCW, 2010–Integrating Water Systems, Sheffield, UK, 1–3 September 2009; Taylor & Francis: Abingdon, UK; pp. 755–761.
- Maxwell, R.M.; Putti, M.; Meyerhoff, S.; Delfs, J.-O.; Ferguson, I.M.; Ivanov, V.; Kim, J.; Kolditz, O.; Kollet, S.J.; Kumar, M.; et al. Surface-subsurface model intercomparison: A first set of benchmark results to diagnose integrated hydrology and feedbacks. Water Resour. Res. 2014, 50, 1531–1549. [Google Scholar] [CrossRef] [Green Version]
- Hromadka, T.; Yen, C.-C. A Diffusion Hydrodynamic Model; Water-Resources Investigations Report 87-4137; U.S. Geological Survey: Reston, VA, USA, 1987. [CrossRef]
- Singh, K.P. Some Factors Affecting Baseflow. Water Resour. Res. 1968, 4, 985–999. [Google Scholar] [CrossRef]
- Gupta, H.V.; Sorooshian, S.; Yapo, P.O. Status of Automatic Calibration for Hydrologic Models: Comparison with Multilevel Expert Calibration. J. Hydrol. Eng. 1999, 4, 135–143. [Google Scholar] [CrossRef]
- Gupta, H.; Kling, H.; Yilmaz, K.K.; Martinez, G.F. Decomposition of the mean squared error and NSE performance criteria: Implications for improving hydrological modelling. J. Hydrol. 2009, 377, 80–91. [Google Scholar] [CrossRef] [Green Version]
- Fang, G.; Yuan, Y.; Gao, Y.; Huang, X.; Guo, Y. Assessing the Effects of Urbanization on Flood Events with Urban Agglomeration Polders Type of Flood Control Pattern Using the HEC-HMS Model in the Qinhuai River Basin, China. Water 2018, 10, 1003. [Google Scholar] [CrossRef] [Green Version]
- Tian, D.; Liu, D. A new integrated surface and subsurface flows model and its verification. Appl. Math. Model. 2011, 35, 3574–3586. [Google Scholar] [CrossRef]
- Krzhizhanovskaya, V.; Melnikova, N.; Chirkin, A.; Ivanov, S.; Boukhanovsky, A.; Sloot, P. Distributed Simulation of City Inundation by Coupled Surface and Subsurface Porous Flow for Urban Flood Decision Support System. Procedia Comput. Sci. 2013, 18, 1046–1056. [Google Scholar] [CrossRef] [Green Version]
- Sinha, S.; Rode, S.; Borchardt, D. Examining runoff generation processes in the Selke catchment in central Germany: Insights from data and semi-distributed numerical model. J. Hydrol. 2016, 7, 38–54. [Google Scholar] [CrossRef] [Green Version]
- He, X.; Lucatero, D.; Ridler, M.-E.; Madsen, H.; Kidmose, J.; Hole, Ø.; Petersen, C.; Zheng, C.; Refsgaard, J.C. Real-time simulation of surface water and groundwater with data assimilation. Adv. Water Resour. 2019, 127, 13–25. [Google Scholar] [CrossRef]
- Visser, A.G.; Beevers, L.; Patidar, S. A coupled modelling framework to assess the hydroecological impact of climate change. Environ. Model. Softw. 2019, 114, 12–28. [Google Scholar] [CrossRef]
- Guzha, A.C.; Hardy, T.B. Simulating streamflow and water table depth with a coupled hydrological model. Water Sci. Eng. 2010, 3, 241–256. [Google Scholar] [CrossRef]















| Flow Analysis | Watershed Configuration and Flow Analysis | Infiltration and Subsurface Runoff Analysis | Surface Flow | Coupling Method | |
|---|---|---|---|---|---|
| Model | |||||
| AGNPS | Grid-based, eight directions | Soil Conservation Service Curve Number (SCS-CN) The horizontal subsurface flow is not simulated | Runoff volume by SCS-CN For peak flow, an empirical formula similar to the rational formula or TR-55 is used | UC | |
| ANSWERS | Grid-based, eight directions | Simulation of ground storage by an empirical formula, and simulation of infiltration by the modified Holtan–Overton relation Simulation of subsurface flow using the physical properties and infiltration rate of soil | Calculate the Manning equation and the continuous equation by the explicit method | UC | |
| DWSM | Grid-based, eight directions | Simple runoff CN Smith–Parlange infiltration procedure interflow, tile drainage, baseflow Kinematic storage | Kinematic wave equation (analytical and approximate shock-fitting solutions) | IC | |
| GSSHA | Grid-based, eight directions | Green and Ampt Multi-layered Green and Ampt Green and Ampt with redistribution One-dimensional (1D) vertical Richards equation Bucket model | Two-dimensional (2D) diffusive wave (explicit finite difference scheme) | IC | |
| Hydro-BEAM | Grid-based, four or eight directions | Kinematic wave Linear storage method | Kinematic wave | IC | |
| MIKE-SHE | Grid-based, eight directions | 1D finite difference Gravity flow Richard’s equation Two-layer water balance Net recharge | 2D diffusive wave (finite difference) | UC/DU | |
| Vflo™ | Grid-based, eight directions | Green and Ampt Horizontal subsurface flow is not simulated | 1D KWA (kinematic wave analogy) | UC | |
| Model herein | Grid-based, eight directions | Boussinesq equation using Darcy’s law and the Dupuit–Forchheimer assumption | 2D diffusion wave model that simplifies the Saint–Venant equation into a diffusion wave approximate solution | IC | |
| Classification | Event Duration | Total Rainfall (mm) |
|---|---|---|
| Event 1 | 22 August 2004, 03:00–23 August 2004, 09:00 | 86.0 |
| Event 2 | 10 June 2005, 05:00–10 June 2005, 19:00 | 40.0 |
| Event 3 | 21 May 2009, 02:00–21 May 2009, 14:00 | 39.0 |
| Event 4 | 21 June 2009, 23:00–22 June 2009, 12:00 | 62.0 |
| Classification | Peak Flows of the Measured Runoff Hydrograph (A) | Peak Flows of the Calculated Runoff Hydrograph (B) | Difference 1 − ((B)/(A)) |
|---|---|---|---|
| Event 1 | 97.26 | 87.42 | 10.12% |
| Event 2 | 13.10 | 11.98 | 8.55% |
| Event 3 | 31.03 | 27.84 | 10.28% |
| Event 4 | 42.87 | 37.14 | 13.37% |
| Method | Event 1 | Event 2 | Event 3 | Event 4 |
|---|---|---|---|---|
| RMSE | 8.4960 | 1.6372 | 2.6046 | 6.4446 |
| PBIAS | 0.1017 | 0.1866 | 0.1049 | 0.2012 |
| NSE | 0.9794 | 0.9603 | 0.9861 | 0.9431 |
| PME | 0.2980 | −0.8833 | 0.3243 | −0.3481 |
| Classification | Peak Flow of the Measured Runoff Hydrograph (A) | Peak Flow of the Calculated Runoff Hydrograph (B) | Difference 1 − ((B)/(A)) | |
|---|---|---|---|---|
| Before | Event 1 | 97.26 | 87.42 | 10.12% |
| Event 2 | 13.10 | 11.98 | 8.55% | |
| Event 3 | 31.03 | 27.84 | 10.28% | |
| Event 4 | 42.87 | 37.14 | 13.37% | |
| After | Event 1 | 97.26 | 93.62 | 3.74% |
| Event 2 | 13.10 | 12.75 | 2.67% | |
| Event 3 | 31.03 | 31.69 | −2.13% | |
| Event 4 | 42.87 | 42.70 | 0.40% | |
| Method | Event 1 | Event 2 | Event 3 | Event 4 | |
|---|---|---|---|---|---|
| Before | RMSE | 8.4960 | 1.6372 | 2.6046 | 6.4446 |
| PBIAS | 0.1017 | 0.1866 | 0.1049 | 0.2012 | |
| NSE | 0.9794 | 0.9603 | 0.9861 | 0.9431 | |
| PME | 0.2980 | −0.8833 | 0.3243 | −0.3481 | |
| After | RMSE | 7.0213 | 0.8639 | 0.9541 | 1.8201 |
| PBIAS | 0.0431 | 0.0385 | −0.0159 | 0.0048 | |
| NSE | 0.9859 | 0.9889 | 0.9981 | 0.9809 | |
| PME | 0.5205 | 0.4756 | 0.9093 | 0.5482 | |
Publisher’s Note: MDPI stays neutral with regard to jurisdictional claims in published maps and institutional affiliations. |
© 2021 by the authors. Licensee MDPI, Basel, Switzerland. This article is an open access article distributed under the terms and conditions of the Creative Commons Attribution (CC BY) license (https://creativecommons.org/licenses/by/4.0/).
Share and Cite
Kwak, C.-J.; Kim, J.-S. Development and Application of an Interactive Coupling Rainfall-Runoff Model According to Soil Texture. Water 2021, 13, 3044. https://doi.org/10.3390/w13213044
Kwak C-J, Kim J-S. Development and Application of an Interactive Coupling Rainfall-Runoff Model According to Soil Texture. Water. 2021; 13(21):3044. https://doi.org/10.3390/w13213044
Chicago/Turabian StyleKwak, Chang-Jae, and Jung-Soo Kim. 2021. "Development and Application of an Interactive Coupling Rainfall-Runoff Model According to Soil Texture" Water 13, no. 21: 3044. https://doi.org/10.3390/w13213044
APA StyleKwak, C.-J., & Kim, J.-S. (2021). Development and Application of an Interactive Coupling Rainfall-Runoff Model According to Soil Texture. Water, 13(21), 3044. https://doi.org/10.3390/w13213044

