How Waterlogged Conditions Influence the Nitrogen Dynamics in a Soil–Water–Plant System: Implications for Wetland Restoration
Abstract
:1. Introduction
2. Materials and Methods
2.1. Material Preparations
2.2. Sample Treatment
2.3. Sample Collection and Analysis
2.4. Statistical Analysis and Graphing
3. Results
3.1. Dynamic Changes in Average Biomass under Different Waterlogged Conditions
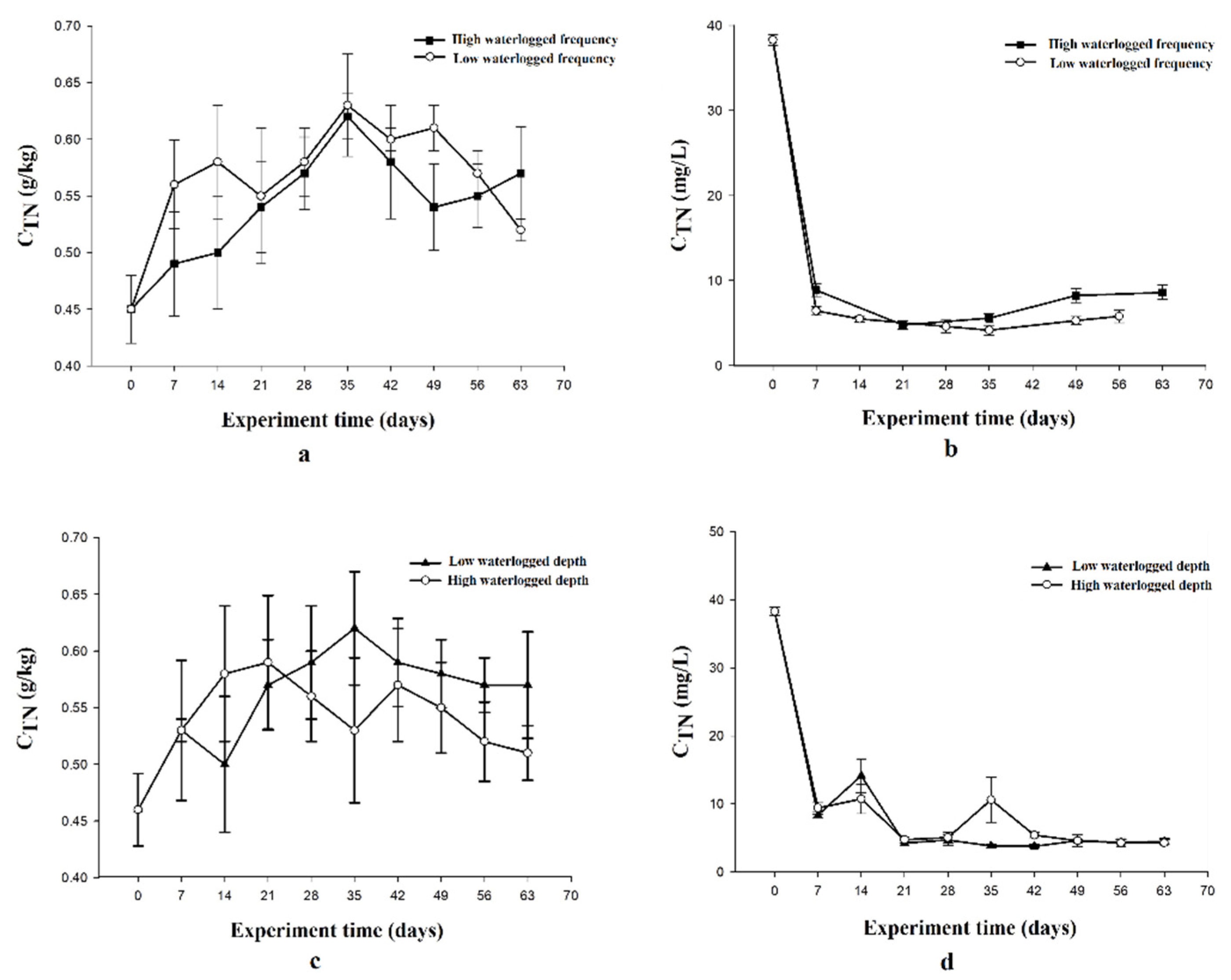
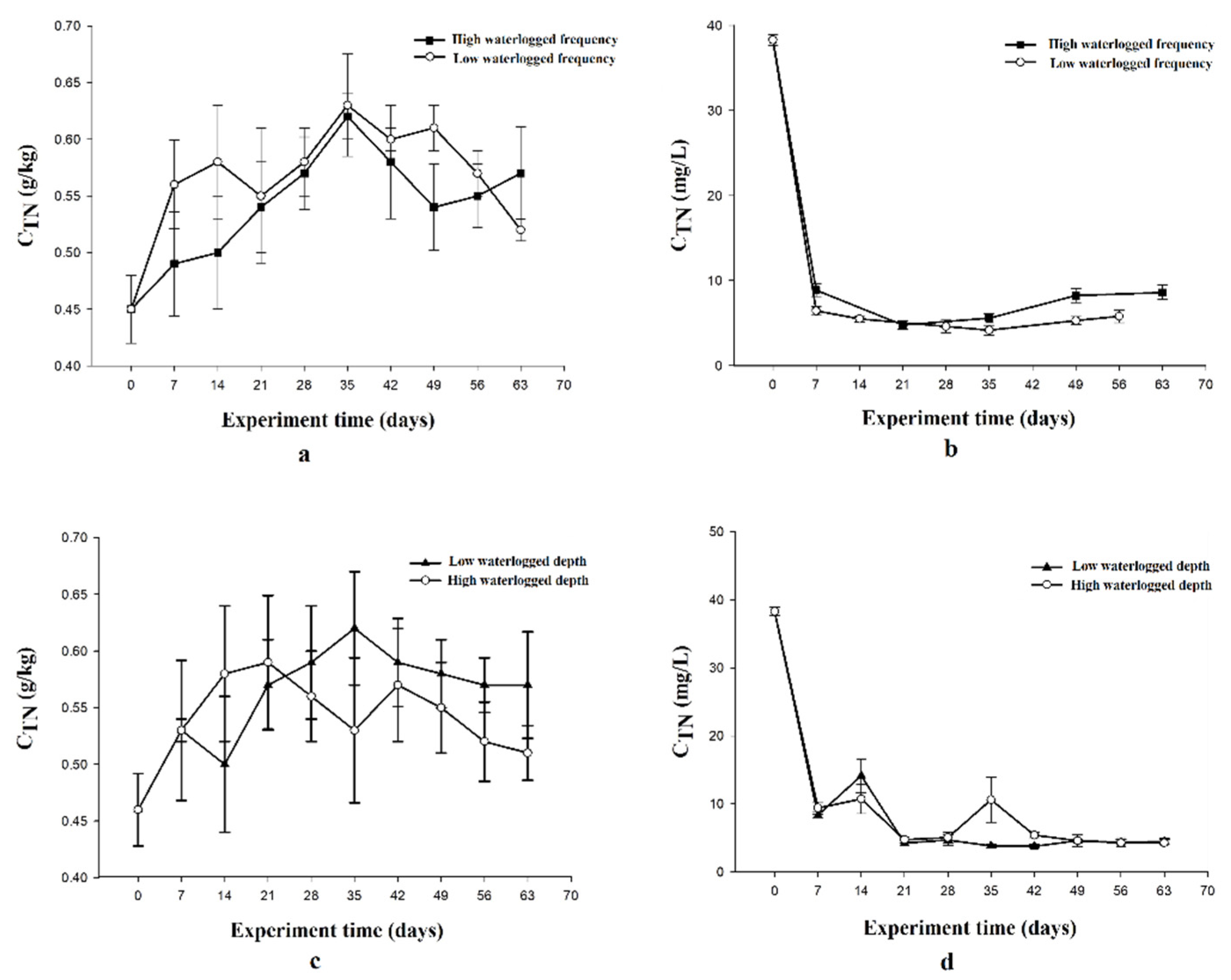
3.2. Dynamic Changes in Total Nitrogen Content under Different Waterlogged Conditions
4. Discussion
5. Conclusions
Author Contributions
Funding
Institutional Review Board Statement
Informed Consent Statement
Data Availability Statement
Conflicts of Interest
References
- Meng, B.; Liu, J.-l.; Bao, K.; Sun, B. Water fluxes of Nenjiang River Basin with ecological network analysis: Conflict and coordination between agricultural development and wetland restoration. J. Clean. Prod. 2019, 213, 933–943. [Google Scholar] [CrossRef]
- Abi Saab, M.T.; Jammoul, D.; Makhlouf, H.; Fahed, S.; Lebbous, N.; Hajjar, C.; Abi Saad, R.; Younes, M.; Hajj, M.; Todorovic, M. Assessing the performance of constructed wetland for water quality management of a Southern Mediterranean river. Water Environ. J. 2018, 32, 508–518. [Google Scholar] [CrossRef]
- Van Meter, K.J.; Basu, N.B.; Van Cappellen, P. Two centuries of nitrogen dynamics: Legacy sources and sinks in the Mississippi and Susquehanna River Basins. Glob. Biogeochem. Cycles 2017, 31, 2–23. [Google Scholar] [CrossRef] [Green Version]
- Suhani, I.; Monika; Vaish, B.; Singh, P.; Singh, R.P. Restoration, Construction, and Conservation of Degrading Wetlands: A Step toward Sustainable Management Practices; Springer: Singapore, 2020. [Google Scholar]
- Vkm, A.; Rsa, B.; Nks, B. Application of constructed wetland; a natural treatment system for environmentally sustainable domestic sewage treatment. Sustain. Environ. Clean-Up 2021, 105–129. [Google Scholar] [CrossRef]
- Maltby, E. Wetland management goals: Wise use and conservation. Landsc. Urban Plan. 1991, 20, 9–18. [Google Scholar] [CrossRef]
- Bai, J.; Ouyang, H.; Deng, W.; Zhu, Y.; Zhang, X.; Wang, Q. Spatial distribution characteristics of organic matter and total nitrogen of marsh soils in river marginal wetlands. Geoderma 2005, 124, 181–192. [Google Scholar] [CrossRef]
- Unger, I.M.; Kennedy, A.C.; Muzika, R.-M. Flooding effects on soil microbial communities. Appl. Soil Ecol. 2009, 42, 1–8. [Google Scholar] [CrossRef]
- Luo, F.-L.; Jiang, X.-X.; Li, H.-L.; Yu, F.-H. Does hydrological fluctuation alter impacts of species richness on biomass in wetland plant communities? J. Plant Ecol. 2016, 9, 434–441. [Google Scholar] [CrossRef]
- Toogood, S.E.; Joyce, C.B.; Waite, S. Response of floodplain grassland plant communities to altered water regimes. Plant Ecol. 2007, 197, 285–298. [Google Scholar] [CrossRef]
- Sánchez-Carrillo, S.; Angeler, D.G.; Lvarez-Cobelas, M.; Sánchez-Andrés, R. Freshwater Wetland Eutrophication; Springer: Dordrecht, The Netherlands, 2010. [Google Scholar]
- Gaberščik, A.; Krek, J.L.; Zelnik, I. Habitat diversity along a hydrological gradient in a complex wetland results in high plant species diversity. Ecol. Eng. 2018, 118, 84–92. [Google Scholar] [CrossRef]
- Sileshi, A.; Assayie, A.; Beyene, A.; Stiers, I.; Triest, L. Water Purifying Capacity of Natural Riverine Wetlands in Relation to Their Ecological Quality. Front. Environ. Sci. 2020, 8, 39. [Google Scholar] [CrossRef] [Green Version]
- Bavandpour, F.; Zou, Y.; He, Y.; Saeed, T.; Sun, Y.; Sun, G. Removal of dissolved metals in wetland columns filled with shell grits and plant biomass. Chem. Eng. J. 2018, 331, 234–241. [Google Scholar] [CrossRef]
- Aerts, R.; Chapin, F.S. The Mineral Nutrition of Wild Plants Revisited: A Re-evaluation of Processes and Patterns. Adv. Ecol. Res. 1999, 30, 1–67. [Google Scholar] [CrossRef]
- Rejmankova, E. Nutrient resorption in wetland macrophytes: Comparison across several regions of different nutrient status. New Phytol. 2005, 167, 471–482. [Google Scholar] [CrossRef] [PubMed]
- Deegan, B.M.; White, S.D.; Ganf, G.G. The influence of water level fluctuations on the growth of four emergent macrophyte species. Aquat. Bot. 2007, 86, 309–315. [Google Scholar] [CrossRef]
- Ling, Z.; Li, J. Study on removal efficiency of nitrogen and phosphorus from agricultural wastewater by subsurface flow constructed wetland./ADVANCES IN ENERGY SCIENCE AND ENVIRONMENT ENGINEERING II. In Proceedings of the 2nd International Workshop on Advances in Energy Science and Environment Engineering (AESEE 2018), American Institute of Physics Conference Series, Zhuhai, China, 2–4 February 2018. [Google Scholar]
- Gan, J.; Chan, S.H.; Eikaas, H.S.; Sim, C.H. Nutrient removal and plant biomass of 5 wetland plant species in Singapore. Water Pract. Technol. 2011, 6, wpt2011053. [Google Scholar] [CrossRef]
- Ge, Z.; An, R.; Fang, S.; Lin, P.; Li, C.; Xue, J.; Yu, S. Phragmites australis + Typha latifolia Community Enhanced the Enrichment of Nitrogen and Phosphorus in the Soil of Qin Lake Wetland. Scientifica 2017, 2017, 8539093. [Google Scholar] [CrossRef] [Green Version]
- Choudhury, M.I.; Segersten, J.; Hellman, M.; Mckie, B.G.; Hallin, S.; Ecke, F. Importance of plant species for nitrogen removal using constructed floating wetlands in a cold climate. Ecol. Eng. 2019, 138, 126–132. [Google Scholar] [CrossRef]
- Bonanno, G.; Vymazal, J.; Cirelli, G.L. Translocation, accumulation and bioindication of trace elements in wetland plants. Sci. Total Environ. 2018, 631–632, 252–261. [Google Scholar] [CrossRef]
- Pan, X.; Ping, Y.; Cui, L.; Zhang, X.; Li, W.; Hu, Y.; Cornelissen, J.H.C. Nutrient Resorption from Leaves of Wetland Plants in a Constructed Wetland Depends on Green Leaf Nutrient Content and Life Form. Wetlands 2019, 40, 983–991. [Google Scholar] [CrossRef]
- Wang, A.O.; Jiang, X.-X.; Zhang, Q.-Q.; Zhou, J.; Li, H.-L.; Luo, F.-L.; Zhang, M.-X.; Yu, F.-H. Nitrogen addition increases intraspecific competition in the invasive wetland plant Alternanthera philoxeroides, but not in its native congener Alternanthera sessilis. Plant Species Biol. 2015, 30, 176–183. [Google Scholar] [CrossRef]
- Ou, Y.; Rousseau, A.N.; Wang, L.; Yan, B.; Gumiere, T.; Zhu, H. Identification of the alteration of riparian wetland on soil properties, enzyme activities and microbial communities following extreme flooding. Geoderma 2019, 337, 825–833. [Google Scholar] [CrossRef]
- Tootoonchi, M.; Bhadha, J.H.; Lang, T.A.; McCray, J.M.; Clark, M.W.; Daroub, S.H. Reducing drainage water phosphorus content with rice cultivation under different water management regimes. Agric. Water Manag. 2018, 205, 30–37. [Google Scholar] [CrossRef]
- Moorberg, C.J.; Vepraskas, M.J.; Niewoehner, C.P. Phosphorus Dissolution in the Rhizosphere of Bald Cypress Trees in Restored Wetland Soils. Soil Sci. Soc. Am. J. 2015, 79, 343–355. [Google Scholar] [CrossRef]
- McHergui, C.; Besaury, L.; Langlois, E.; Aubert, M.; Akpa-Vinceslas, M.; Buatois, B.; Quillet, L.; Bureau, F. A comparison of permanent and fluctuating flooding on microbial properties in an ex-situ estuarine riparian system. Appl. Soil Ecol. 2014, 78, 1–10. [Google Scholar] [CrossRef]
- Li, Y.; Cheng, C.; Li, X. Research Progress on Water Purification Efficiency of Multiplant Combination in Constructed Wetland. IOP Conf. Ser. Earth Environ. Sci. 2021, 632, 052051. [Google Scholar] [CrossRef]
- Yu, X.; Konig, T.; Qi, Z.; Yongsheng, G. Nitrogen and phosphorus removal of locally adapted plant species used in constructed wetlands in China. Water Sci. Technol. 2012, 66, 695–703. [Google Scholar] [CrossRef] [PubMed]
- Cheng, F.Y.; Meter, K.V.V.; Byrnes, D.K.; Basu, N.B. Maximizing US nitrate removal through wetland protection and restoration. Nature 2020, 588, 625–630. [Google Scholar] [CrossRef] [PubMed]
- Audet, J.; Zak, D.; Bidstrup, J.; Hoffmann, C.C. Nitrogen and phosphorus retention in Danish restored wetlands. Ambio 2020, 49, 324–336. [Google Scholar] [CrossRef]
- Stevens, K.J.; Peterson, R.L.; Reader, R.J. The Aerenchymatous Phellem of Lythrum salicaria (L.): A Pathway for Gas Transport and its Role in Flood Tolerance. Ann. Bot. 2002, 89, 621–625. [Google Scholar] [CrossRef] [PubMed] [Green Version]
- Bastlová, D.A.; Květ, J.A.N. Differences in dry weight partitioning and flowering phenology between native and non-native plants of purple loosestrife (Lythrum salicaria L.). Flora 2002, 197, 332–340. [Google Scholar] [CrossRef]
- Sklarz, M.Y.; Gross, A.; Yakirevich, A.; Soares, M. A recirculating vertical flow constructed wetland for the treatment of domestic wastewater. Desalination 2009, 246, 617–624. [Google Scholar] [CrossRef]
- Gumbricht, T. Nutrient removal processes in freshwater submersed macrophyte systems. Ecol. Eng. 1993, 2, 1–30. [Google Scholar] [CrossRef]
- Sun, H.; Xin, Q.; Luo, H.; Yan, S.; Lan, S.; Wang, Y. Effects of emerged plant on soil methane emission and nitrogen content in constructed wetland. IOP Conf. Ser. Earth Environ. Sci. 2019, 218, 012135. [Google Scholar] [CrossRef]
- Zak, D.; Gelbrecht, J.; Zerbe, S.; Shatwell, T.; Barth, M.; Cabezas, A.; Steffenhagen, P. How helophytes influence the phosphorus cycle in degraded inundated peat soils—Implications for fen restoration. Ecol. Eng. 2014, 66, 82–90. [Google Scholar] [CrossRef]
- Jabońska, E.; Winkowska, M.; Winiewska, M.; Geurts, J.; Zak, D.; Kotowski, W. Impact of vegetation harvesting on nutrient removal and plant biomass quality in wetland buffer zones. Hydrobiologia 2021, 848, 3273–3289. [Google Scholar] [CrossRef]
- Azhdarpoor, A.; Abbasi, L.; Samaei, M.R. Investigation of a new double-stage aerobic-anoxic continuous-flow cyclic baffled bioreactor efficiency for wastewater nutrient removal. J. Environ. Manag. 2018, 211, 1–8. [Google Scholar] [CrossRef] [PubMed]
- McConnaughay, K.D.M.; Coleman, J.S. Biomass allocation in plants ontogeny or optimality a test along three resource gradients. Ecology 1999, 80, 2581–2593. [Google Scholar] [CrossRef]
- Busch, J.; Mendelssohn, I.A.; Lorenzen, B.; Brix, H.; Miao, S. Growth responses of the Everglades wet prairie species Eleocharis cellulosa and Rhynchospora tracyi to water level and phosphate availability. Aquat. Bot. 2004, 78, 37–54. [Google Scholar] [CrossRef]
- Rea, N.; Ganf, G. Water depth changes and biomass allocation in two contrasting macrophytes. Mar. Freshw. Res. 1994, 45, 1459–1468. [Google Scholar] [CrossRef]
- Vojtíšková, L.; Munzarová, E.; Votrubová, O.; Řihová, A.; Juřicová, B. Growth and biomass allocation of sweet flag (Acorus calamus L.) under different nutrient conditions. Hydrobiologia 2004, 518, 9–22. [Google Scholar] [CrossRef]
- Xie, Y.; An, S.; Wu, B. Resource allocation in the submerged plant Vallisneria natans related to sediment type, rather than water-column nutrients. Freshw. Biol. 2005, 50, 391–402. [Google Scholar] [CrossRef]
- Walton, C.R.; Zak, D.; Audet, J.; Petersen, R.J.; Lange, J.; Oehmke, C.; Wichtmann, W.; Kreyling, J.; Grygoruk, M.; Jabłońska, E.; et al. Wetland buffer zones for nitrogen and phosphorus retention: Impacts of soil type, hydrology and vegetation. Sci. Total. Environ. 2020, 727, 138709. [Google Scholar] [CrossRef] [PubMed]
- Schipper, L.A.; Robertson, W.D.; Gold, A.J.; Jaynes, D.B.; Cameron, S.C. Denitrifying bioreactors—An approach for reducing nitrate loads to receiving waters. Ecol. Eng. 2010, 36, 1532–1543. [Google Scholar] [CrossRef]
- Teiter, S.; Mander, Ü. Emission of N2O, N2, CH4, and CO2 from constructed wetlands for wastewater treatment and from riparian buffer zones. Ecol. Eng. 2005, 25, 528–541. [Google Scholar] [CrossRef]
- Huang, X.; Lei, S.; Wang, G.; Zeng, B. A wetland plant, Phalaris arundinacea, accumulates nitrogen and phosphorus during senescence. Environ. Sci. Pollut. Res. 2020, 27, 38928–38936. [Google Scholar] [CrossRef]
- Armstrong, J.; Armstrong, W.; Beckett, P.M. Phragmites australis: Venturi- and humidity induced pressure flows enhance rhizome aeration and rhizosphere oxidation. New Phytol. 1992, 120, 197–207. [Google Scholar] [CrossRef] [Green Version]




| Constituent a | TN (mg/L) | TP (mg/L) | COD (mg/L) |
|---|---|---|---|
| Content | 40 | 4 | 300 |
| Reagent | NH4CI | KH2PO4 | C6H12O6 |
| Period 1 | Period 2 | Period 3 | Period 4 | Period 5 | |
| High waterlogged frequency | 76.8 ± 2.1% | 87.6 ± 1.6% | 85.4 ± 1.9% | 78.5 ± 4.1% | 77.6 ± 4.5% |
| Period 1 | Period 2 | Period 3 | |||
| Low waterlogged frequency | 88.0 ± 3.9% | 89.2 ± 1.9% | 84.9 ± 4.4% |
| 7 | 14 | 21 | 28 | 35 | 42 | 49 | 56 | 63 | |
|---|---|---|---|---|---|---|---|---|---|
| High waterlogged depth | 78.2 ± 0.9% | 63.1 ± 8.4% | 88.9 ± 0.8% | 87.8 ± 2.6% | 90.1 ± 8.5% | 90.2 ± 0.8% | 88.0 ± 2.9% | 89.1 ± 2.3% | 88.4 ± 1.4% |
| Low waterlogged depth | 75.5 ± 2.9% | 72.0 ± 7.4% | 87.7 ± 1.4% | 86.9 ± 2.6% | 72.4 ± 0.6% | 85.9 ± 1.1% | 88.1 ± 0.4% | 88.8 ± 1.6% | 88.9 ± 1.5% |
Publisher’s Note: MDPI stays neutral with regard to jurisdictional claims in published maps and institutional affiliations. |
© 2021 by the authors. Licensee MDPI, Basel, Switzerland. This article is an open access article distributed under the terms and conditions of the Creative Commons Attribution (CC BY) license (https://creativecommons.org/licenses/by/4.0/).
Share and Cite
Xie, L.; Liu, Y.; Zhao, S.; Dai, L.; Zhang, Z.; Zhang, M.; Zhang, Z. How Waterlogged Conditions Influence the Nitrogen Dynamics in a Soil–Water–Plant System: Implications for Wetland Restoration. Water 2021, 13, 2957. https://doi.org/10.3390/w13212957
Xie L, Liu Y, Zhao S, Dai L, Zhang Z, Zhang M, Zhang Z. How Waterlogged Conditions Influence the Nitrogen Dynamics in a Soil–Water–Plant System: Implications for Wetland Restoration. Water. 2021; 13(21):2957. https://doi.org/10.3390/w13212957
Chicago/Turabian StyleXie, Lumeng, Ying Liu, Shiqiang Zhao, Liyi Dai, Zhifa Zhang, Mingxiang Zhang, and Zhenming Zhang. 2021. "How Waterlogged Conditions Influence the Nitrogen Dynamics in a Soil–Water–Plant System: Implications for Wetland Restoration" Water 13, no. 21: 2957. https://doi.org/10.3390/w13212957
APA StyleXie, L., Liu, Y., Zhao, S., Dai, L., Zhang, Z., Zhang, M., & Zhang, Z. (2021). How Waterlogged Conditions Influence the Nitrogen Dynamics in a Soil–Water–Plant System: Implications for Wetland Restoration. Water, 13(21), 2957. https://doi.org/10.3390/w13212957
