Abstract
Quinoline is a typical nitrogenous heterocyclic compound, which is carcinogenic, teratogenic, and mutagenic to organisms, and its wastewater is difficult to biodegrade directly. The bipolar electro-Fenton process was employed to treat quinoline solution. The process/reaction conditions were optimized through the single factor experiment. The degradation kinetics of chemical oxygen demand (COD) was analyzed. To get the degradation mechanism and pathways of quinoline, the intermediate products were identified by gas chromatograph–mass spectrometer (GC–MS). By using sodium chloride as supporting electrolyte in the electro-Fenton reaction system with initial pH 3.0, conductivity 15,800 µs/cm, H2O2 concentration 71 mmol/L, current density 30.5 mA/cm2, and applied voltage 26.5 V, 75.56% of COD was decreased by indirect oxidation with electrogeneration of hydroxyl radicals (•OH) and active chloric species in 20 min. The COD decrease of quinoline solution followed the first order reaction kinetic model. The main products of quinoline degradation were 2(1H)-quinolinone, 4-chloro-2(1H)-quinolinone, 5-chloro-8-hydroxyquinoline, and 5,7-dichloro-8-hydroxyquinoline. Furthermore, two possible degradation pathways of quinoline were proposed, supported with Natural charge distribution on quinoline and intermediates calculated at the theoretical level of MN15L/6-311G(d).
1. Introduction
With rapid development of economy and industry, water environment pollution has become increasingly serious. Treatment of hardly-degradable organic wastewater has attracted a variety of research focuses. Quinoline, as an important chemical raw material, is often used in the manufacture of drugs, dyes, herbicides, and pesticides, etc. [1]. The resulting wastewater containing quinoline has become a common organic pollutant in water and soil environments. Quinoline, a nitrogen-containing heterocyclic aromatic compound, is carcinogenic, teratogenic, and mutagenic to organisms, and can accumulate in advanced animals along the food chain, seriously threatening human health [2]. However, due to its stable structural properties and toxicity, it is difficult to directly and effectively degrade with conventional physicochemical and biological methods. Therefore, efficient treatment techniques to remove quinoline in wastewater are definitely needed.
Recently, advanced oxidation processes (AOPs), including wet air oxidation [3], supercritical water oxidation [4], Fenton reagent oxidation [5], photocatalytic oxidation [6], and electrochemical oxidation [7] have been widely utilized to treat industrial organic wastewater. Among them, electro-Fenton (E-Fenton) oxidation technology can effectively remove recalcitrant organic pollutants in wastewater. The E-Fenton process is a new advanced oxidation water treatment technology developed based on the traditional Fenton method. It generally has four different categories: (1) inert electrodes with high catalytic activity are used as anodes and Fenton reagents are added to electrolyzer from outside, (2) ferrous ions (Fe2+) are externally added, and hydrogen peroxide (H2O2) is produced on the cathodes, (3) sacrificial iron anodes are taken as the Fe2+ ion source while H2O2 is externally injected, and (4) Fe2+ and H2O2 are generated through sacrificial anodes and air sparging cathodes, respectively [8]. The E-Fenton process is favored due to a wide range of applicable wastewater, short treatment time, no secondary pollution, small equipment footprint, and low operating cost. This process is usually employed in combination with biochemical methods for wastewater treatment.
To date, the E-Fenton process has been extensively applied in treatment of wastewater containing phenol, nitrobenzene, anilinen, and azo dyes, etc. [9,10,11,12]. However, research on degradation of nitrogenous heterocyclic compounds by the E-Fenton process were scarce, and the mechanism of its application to quinoline degradation was still not clear. In this paper, we utilized a bipolar E-Fenton process to treat quinoline solution, where constant current remained in the electrolytic bath with iron plates as anode and cathode, respectively. Its unique structure could reduce the cell voltage and inhibit side reactions. Sodium chloride (NaCl) solution was used as the supporting electrolyte to improve the treatment efficiency. We investigated the effects of initial pH value, conductivity, H2O2 concentration, applied voltage, current density, and reaction time on the chemical oxygen demand (COD) decrease rate of quinoline solution. The kinetic model of COD degradation was established to make it predictable in practical applications. Moreover, to elucidate the degradation mechanism and pathways of quinoline by the E-Fenton process, the presence of hydroxyl radicals (•OH) was verified with fluorescence spectroscopy and the intermediate products were identified with GC–MS. Finally, the possible degradation pathways of quinoline with the action of •OH radicals and active chlorines, were suggested with theoretical calculation.
2. Materials and Methods
2.1. Target Pollutant
Quinoline, a heterocyclic aromatic organic compound, is a weak base, colorless liquid at room temperature. Because a nitrogen atom is incorporated in the ring, its solubility in water is higher than its homocyclic analogous, and it is prone to accumulate. The molecular formula of quinoline is C9H7N with molecular weight of 129.16. Its chemical structure is shown in Figure 1.
Figure 1.
The chemical structure of quinoline.
2.2. Reagents and Instruments
Quinoline (C9H7N, analytical pure grade) was purchased from Shanghai Macklin Biochemical Co., Ltd. (Shanghai, China). Sulfuric acid (H2SO4, analytical pure grade) and hydrogen peroxide (H2O2, 30 wt%) were obtained from Yantai Shuangshuang Chemical Co., Ltd. (Yantai, China). Sodium hydroxide (NaOH, analytical pure grade) and sodium chloride (NaCl, guaranteed pure grade) were purchased from Tianjin Damao Chemical Reagent Factory (Tianjin, China). Polyacrylamide (PAM, anionic) and terephthalic acid (TA, analytical pure grade) were purchased from Shanghai Aiaddin Biochemical Technology Co., Ltd. (Shanghai, China). Dichloromethane (CH2Cl2, analytical pure grade) was obtained from Tianjin Deen Chemical Reagent Co., Ltd. (Tianjin, China). All the chemicals were used without further purification and prepared with deionized water.
A high-frequency pulse switching power supply (NHWYM500-50, Jinan Nenghua Electromechanical Equipment Co., Ltd., Jinan, China), ultra-quiet small air pump (MA-1000, Zhongshan Chuangmei Electric Appliance Co., Ltd., Zhongshan, China), and electronic analytical balance (JJ224BC, Changshu Shuangjie Testing Instrument Factory, Changshu, China) were used. A DDS-307A conductivity meter and PHSJ-4F pH meter were purchased from Shanghai Yidian Scientific Instrument Co., Ltd., (Shanghai, China). An LH-25A intelligent multi-parameter digestion instrument and 5B-3B(V8) multi-parameter water quality analyzer were obtained from Beijing Lianhua Yongxing Technology Development Co., Ltd., (Beijing, China). Agilent Technologies’ Cary Eclipse Fluorescence spectrophotometer (No. G9800A, Agilent Technologies Inc, Santa Clara, CA, USA), rotary evaporator (RE2000A, Shanghai Yarong Biochemical Instrument Factory, Shanghai, China), nitrogen blower (MTN-2800W, Shandong Aobi Technology Co., Ltd., Dezhou, China), and gas chromatograph-mass spectrometer (Agilent 7890B/5977A GC–MS, Agilent Technologies Inc, Santa Clara, CA, USA) were also used in the experiments.
2.3. Experimental Methods
2.3.1. Preparation of Quinoline Solution
The quinoline solution (about 3 g/L) was obtained by adding quinoline into deionized water with stirring for 30 min.
2.3.2. E-Fenton Experimental Apparatus
A schematic of the E-Fenton experimental apparatus is shown in Figure 2. It consisted of an undivided electrolytic bath, a high-frequency pulse stabilized DC power supply, and a small air pump. The electrolyzer was made of polypropylene with the effective volume of 3 L. The Q345E iron plates (15.5 cm × 10.5 cm) were used as anode and cathode. Three bipolar iron plates were sandwiched between the two electrodes with a 3-cm distance between adjacent plates. All parameters of the high-frequency pulse stabilized DC power supply were tunable (voltage, 0–500 V; current, 0–50 A; frequency, 0–20,000 Hz; and duty cycle, 10–100%). The output waveform was a pulse square wave. A small pump with air sparger was used for continuous supply of air in the electrolyzer, with discharge pressure of 0.025 MPa and discharge capacity of 0.010 m3/min.
Figure 2.
Schematic of the E-Fenton process set up. (1) High-frequency pulse stabilized DC power supply, (2) the E-Fenton cell, (3) anode, (4) cathode, (5) iron plates, and (6) air pump.
In the E-Fenton process, with external direct current, Fe2+ ions are produced by dissolution of anode plates, and H2O2 is yielded through the oxygen reduction reaction on the cathodes as shown in Equations (1) and (2) [13]. Highly reactive •OH radicals are generated through the interaction between H2O2 and Fe2+ ions (Equations (3) and (4)) [14]. The hydroxyl radical, known as the strongest oxidizing species after/except fluorine has high-standard redox potential (E0 = 2.80 V/SHE) [15], which reduces the selectivity to degrade organic pollutants. •OH can react with the macromolecular refractory organics in wastewater and turn them into readily biodegradable intermediates as shown in Equation (5), which can even directly oxidize them into carbon dioxide (CO2), water, and inorganic ions [16]. Moreover, Fe2+ ions can be regenerated through the reduction of Fe3+ ions at the cathode as shown in Equation (6). When NaCl is used as the supporting electrolyte, the conductivity of wastewater is improved. Active chloric species can be generated by reactions (7) and (8) [17], which potentially contribute to the removal of organic pollutants.
At room temperature, 3 L quinoline solution was transferred to a container. NaCl was added into the quinoline solution as the supporting electrolyte to improve the conductivity. Then H2O2 was added and agitation was done with the magnetic stirrer. Under optimum conditions, the amount of NaCl added was 3 g/L, and initial pH value was adjusted to 3.0 with 9 mL 5 M H2SO4 (the concentration of H2SO4 was 15 mmol/L in the resulting solution). The resulting solution was poured into the E-Fenton reactor. Air was bubbled from the bottom of the reactor to provide oxygen and generate stirring. Subsequently the reaction was triggered by switching on the DC current. After a specific reaction time, the solution was taken out and the pH was adjusted to 8–9 using the 5 M NaOH. Next, 2 wt% polyacrylamide was added as the flocculant, the solution was stirred for 10 min and left standing for 30 min. The supernatant was withdrawn followed by filtered with a 0.45 μm filter paper to analyze the water quality.
The E-Fenton process was carried out to investigate the effect of operating parameters on COD decrease. The specific experimental conditions were as follows: reaction time, 5–30 min; initial pH value, 2.5–5.1; concentration of H2O2, 17.5–106.5 mmol/L; conductivity, 5570–29,300 µs/cm; applied voltage, 12.9–6.2 V, current density, and 12.2–42.7 mA/cm2. Under the previous optimized process parameters, we sequentially changed each of the conditions in turn, and kept the other optimal conditions the same.
2.4. Analytical Test Methods
The pH value and conductivity of solution were measured by PHSJ-4F pH meter and DDS-307A conductivity meter, respectively. The COD was measured with the digestion instrument and the multi-parameter water quality analyzer. The •OH was monitored by means of terephthalic acid fluorescent probe method on Agilent Technolgies Cary Eclipse fluorescence spectrometer (excitation wavelength 315 nm, and emission wavelength 425 nm) [18,19,20]. For intermediate identification, samples were extracted with CH2Cl2 and concentrated using the rotary evaporator, then determined with an Agilent 7890B gas chromatograph (GC) interfaced with a 5977A mass selective detector (MS) equipped with an Agilent 7683B auto sampler and HP-5MS capillary column. Helium was used as the carrier gas with a flow rate of 1 mL min−1.
The COD decrease rate of solution could be calculated according to Equation (9):
where η is the COD decrease rate (%), and Ci and Ct denote the concentration of COD in the feed solution and in the E-Fenton treated solution, respectively (mg/L).
The linear forms of the first-order and second-order kinetic models are shown in Equations (10) and (11):
where C0 and Ct represent the concentration of COD at 0 min and time t, respectively (mg/L), k1 is the first-order rate constant (min−1), and k2 is the second-order rate constant (mg−1·L−2·min−1).
3. Results and Discussion
3.1. E-Fenton Single-Factor Experimental Results
3.1.1. The Effect of Reaction Time on COD Decrease
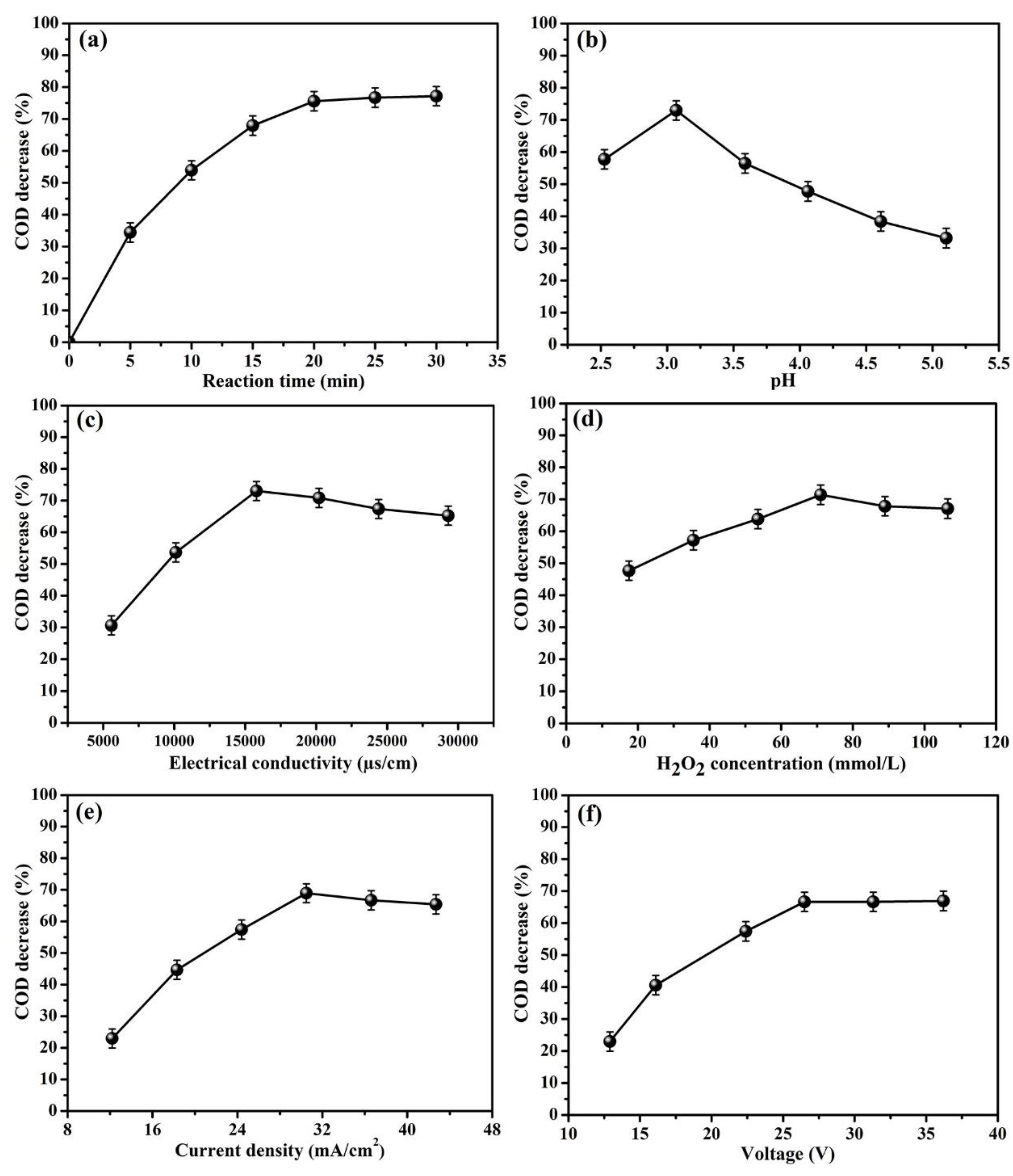
Figure 3a shows that the COD decrease efficiency was improved with the reaction time. The highest decline of COD occurred at 20 min with a COD decrease rate of 75.56%. After that, COD decrease efficiency remained stable over time. The rapid COD reduction during the first 20 min was attributed to oxidation of quinoline. The degradation rate increased slowly after 20 min, likely due to the formation of hard-to-degrade by-products. When hydrogen peroxide was consumed completely, organic compounds could not be decomposed even with increasing time. Therefore, the optimal reaction time of the E-Fenton process in this study was 20 min.
Figure 3.
Effect of various process conditions on the chemical oxygen demand (COD) decrease efficiency of quinoline solution in electro-Fenton reaction. (a) Reaction time, (b) pH value, (c) electrical conductivity, (d) H2O2 concentration, (e) current density, and (f) voltage.
3.1.2. The Effect of Initial pH on COD Decrease
The pH value is well known to play an important role in the E-Fenton process since it can affect iron solubility, complexation, and redox cycling between Fe2+ and Fe3+ [21]. Initial pH strongly affects the degradation performance of the E-Fenton process. The pH value 3 has been widely used as the optimum condition for wastewater treatment [22]. The effect of initial pH on COD decrease efficiency is shown in Figure 3b. In agreement with the previous report, the COD decrease efficiency was highest at initial pH 3.0, then declined from 72.94% to 33.19% with pH values from 3.0 to 5.1. The lower COD decrease efficiency at higher pH could be attributed to the instability of the ferrous ions and the formation of hydroxides. Iron ions would form precipitates with the increasing pH value, resulting in fewer free Fe2+ ions to react with H2O2, and consequently causing a reduction in the •OH generation rate [23]. However, when the pH decreased from 3.0 to 2.5, the COD decrease rate decreased to 57.73%. At low pH, the excess H+ could react with •OH and terminate the reaction as shown in Equation (12) [24], diminishing the COD decrease rate.
3.1.3. The Effect of Conductivity on COD Decrease
In this study, NaCl was used as the supporting electrolyte to improve COD decrease efficiency of wastewater (Figure S1). As shown in Figure 3c, the COD decrease rose from 30.65% to 73.03% when the conductivity increased from 5570 µs/cm to 15,800 µs/cm. However, as the conductivity increased further to 29,300 µs/cm, the COD decrease was slightly decreased to 65.25%. When the NaCl was added into the electrolyzer, active chloric species like hypochlorite, chlorine dioxide, and chlorine could be generated electrochemically, leading to indirect oxidation in favor of the COD decrease [25]. Moreover, the conductivity of the solution was increased to facilitate the electron transfer in the E-Fenton reaction [26]. However, the current was shared by the reaction intermediates and supporting electrolytes. When the concentration of electrolytes exceeded a certain amount, the proportion of the reaction to be carried out by the degradation products was reduced, thus the COD decrease rate decreased. In wastewater treatment, excessive supporting electrolyte does not efficiently increase the COD decrease efficiency. Here, the conductivity was optimized to be 15,800 µs/cm for the COD decrease.
3.1.4. The Effect of H2O2 Concentration on COD Decrease
The performance of wastewater treated by the E-Fenton process is deemed to be related to hydrogen peroxide, which determines the amount of hydroxyl radicals generated. Figure 3d displays the effect of H2O2 concentration on COD decrease efficiency. With the increasing concentration of hydrogen peroxide, the COD decrease rate gradually rose and then fell. The COD decrease rate reached the highest value with H2O2 concentration of 71 mmol/L. The more hydrogen peroxide resulted in the more hydroxyl radicals with Fe2+ as catalyst, the more mineralization occurred, and the COD decrease rate increased. However, excessive H2O2 would generate less reactive hydroperoxyl radical (HO2•) instead of the highly reactive •OH species (Equation (13)) [27]. Therefore, high H2O2 concentration conversely lessened the COD decrease efficiency.
3.1.5. The Effect of Current Density on COD Decrease
Current density is an important parameter and strongly affects the degradation performance of the E-Fenton process. As shown in Figure 3e, the COD decrease efficiency obviously increased from 22.97% to 68.93% with current density from 12.2 mA/cm2 to 30.5 mA/cm2. Subsequently the COD decrease efficiency slightly decreased as the current density increased further. In the E-Fenton process, a high enough concentration of Fe2+ ions, produced from the sacrificed anode, was crucial. Increasing the current density generated more ferrous ions, and more hydroxyl radicals were produced by the Fenton reaction, leading to the high COD decrease efficiency. However, with further increase of current density, side reactions occurred as shown in Equations (14) and (15), reducing H2O2 amount/concentration, which was unfavorable to COD decrease [28,29].
The optimal current density was 30.5 mA/cm2 for 3 g/L quinoline, where the E-Fenton process provided the highest COD decrease efficiency.
3.1.6. The Effect of Voltage on COD Decrease
Figure 3f reveals the effect of applied voltage on COD decrease. The COD decrease gradually rose from 22.97% to 66.64% as the applied voltage increased from 12.9 V to 26.5 V. The COD decrease was greatest with the voltage 26.5 V. Further growth of the applied voltage did not amplify COD decrease efficiency along with high power consumption. In this study, the optimal voltage was 26.5 V.
3.2. Kinetics Analysis of COD Degradation
The establishment of a kinetic model can provide support for the scale-up and industry. We investigated the COD degradation kinetics with quinoline in the E-Fenton system. Based on the above optimum parameters, we investigated the kinetics of COD decrease in the following experimental conditions: initial pH 3.0, conductivity 15,800 µs/cm, H2O2 concentration 71 mmol/L, current density 30.5 mA/cm2, voltage 26.5 V, and reaction time 20 min. The relationship between the COD of quinoline solution and reaction time is shown in Table S1. The kinetic rate constants were obtained by adopting the linearized forms of first-order and second-order kinetic models (Equations (10) and (11)). The linear plots are depicted in the Figure 4 and the results are shown in Table S2.
Figure 4.
(a) The COD for different reaction times, (b) linear dependence of first-order reaction based on COD, (c) linear dependence of second-order reaction based on COD, and (d) fluorescence test for hydroxyl radicals measurement.
COD degradation of quinoline solution in E-Fenton system was checked for linear fitting based on two different reaction orders (first and second orders). Figure 4a is the COD degradation curve of the batch that had the highest efficiency among the considered runs of quinoline degradation in the study. The linear regression testing for first-order reaction and second-order reaction are shown in Figure 4b,c, respectively. The results showed that the R-squares were 0.9946 and 0.9813 in the two reaction orders and the first-order reaction had the higher R-square value. Thus, the COD degradation of quinoline solution by the E-Fenton process matched the first-order kinetics. The apparent rate constant was determined to be 0.0707 min−1.
3.3. Measurement of Hydroxyl Radicals
The •OH radicals are well known as the dominative active species responsible for the E-Fenton oxidative reactions [30,31]. To explore the reaction mechanism of the E-Fenton process, the amount of •OH in this E-Fenton system was determined by measuring the fluorescent intensity of 2-hydroxyterephthalic acid (TAOH) deriving from the reaction between TA and •OH radicals at different electrolysis time. The fluorescence peaks of TAOH appeared at 425 nm, and the fluorescence intensity gradually increased with electrolysis time, as shown in Figure 4d. This indicated that •OH radicals progressively increased with electrolysis time in 20 min.
3.4. Degradation Pathways of Quinoline
To explore the oxidation degradation pathways, GC–MS was employed to identify intermediate compounds produced during the catalytic oxidation degradation process of quinoline. Figure 5a showed the GC–MS chromatogram of quinoline solution after being treated with the E-Fenton process for 20 min. A series of peak spectra were obtained and the highest peak in the spectrum was assigned to quinoline, the amount of other intermediates was relatively low. The products of other intermediates have been mineralized by electrolysis, and therefore the lower peaks were presented. Mass spectra of the main intermediate products are illustrated in Figure 5b–f. The main intermediates during quinoline degradation are listed in Table S3. Four main intermediates, including 2(1H)-quinolinone, 4-chloro-2(1H)-quinolinone, 5-chloro-8-hydroxyquinoline, and 5,7-dichloro-8-hydroxyquinoline, were identified, and the reliability was above 85%.
Figure 5.
(a) GC–MS chromatogram of quinoline solution treated by the E-Fenton process for 20 min, and (b–f) mass spectra of main intermediates during quinoline degradation.
•OH radicals are well known to be responsible for the efficient degradation of organic pollutants. (It was well accepted that the E-Fenton process was founded on •OH radicals, which could degrade organic pollutants efficiently.) When NaCl was used as electrolyte in the electro-Fenton reaction, active chloric species, such as hypochlorous acid (HClO), hypochlorite ions (ClO−), and chlorine could be electrochemically generated. Both •OH radicals and active chloric species could react with organics in wastewater. The removal of organic pollutants was attributed to the electro-Fenton reaction and the indirect oxidation of active chloric species [32]. Based on the intermediate products detected by GC–MS, reaction mechanism and degradation pathways of quinoline in the E-Fenton system were deduced and supported with theoretical calculation, as shown in Figure 6.
Figure 6.
The Natural charge on each atom calculated at the theoretical level of MN15L/6-311G(d) along with two possible degradation pathways of quinoline in E-Fenton system. The electrostatic potential energy surface of quinoline is shown at the upper right corner/inset.
Quinoline is a type of nitrogen heterocyclic compound and it lacks a π electron. The lone-pair electrons at the nitrogen atom does not conjugate with the heterocyclic ring, which reduces the interaction of the heterocyclic ring with the electrophile reagent. Instead, the electrophile attack occurs readily on the benzene ring [33]. We performed theoretical investigations for the properties of quinoline and the intermediates at the theoretical level of MN15L/6-311G(d) with Gaussian 16, which could provide state-of-the-art results for electronic structure modeling [34]. The optimized geometry of quinoline and the double descriptor isosurface depicted with the grid data of Fukui function, along with the calculated Fukui function indices are shown in Table 1. The Fukui function is dependable for prediction of reactivity [35].
Table 1.
Results of computational analysis for quinoline.
The negative electrostatic potential energy mainly locates on the heterocyclic ring, which induces the low electron cloud density on the heterocyclic ring and higher cloud density on the benzene ring. The f + of carbon atoms 8 and 10 is the largest and regions on the two carbon atoms are positive (see isosurface in Table 1), which indicates that the two atoms are prone to electrophile substitution reaction. Comparatively, f − of N7 is 0.19795, which is the largest one among all atoms. Moreover, the regions in the vicinity of N7 (seen isosurface in Table 1) is negative, which suggests that the N atom prefers to nucleophilic substitution reaction. Figure 6 shows Natural charge distribution of each atom in quinoline calculated at the theoretical level of MN15L/6-311G(d). The possible degradation pathways of quinoline in the E-Fenton system are presented in Figure 6, where the Natural charge distribution on each atom of all intermediates is also presented. As known, the electron cloud density on the benzene ring is higher than that on the pyridine ring, leading to electrophile attack on the former. The hydroxyl radical has strong electronegativity and electron affinity [36]. The calculated gap between the highest occupied molecular orbital (HOMO) of quinoline and the lowest unoccupied molecular orbital (LUMO) of •OH is 10.7 eV, while the gap between the LUMO of quinoline and HOMO of •OH is −11.3 eV. Consequently, the electron could transfer from the HOMO of •OH to the LUMO of quinoline. The Natural charges were −0.18 on carbon 3 and −0.17 on carbon 6, respectively. The electrophilic addition of •OH was excited to attack the benzene ring of quinoline, leading to formation of hydroxylated derivatives, such as 8-hydroxyquinoline. The Natural charge on position 6 in 8-hydroxyquinoline was −0.22, lower than other positions on benzene ring. The oxidation of active chloric species produced 5-chloro-8-hydroxyquinoline and further 5,7-dichloro-8-hydroxyquinoline. The derivatives were further attacked by •OH radicals and active chloric species, leading to cleavage of the benzene ring and yielding nitrogen-containing intermediate compounds, such as 2-picolinic acid. These nitrogen-containing intermediates then formed small molecules and mineralized to form CO2 and H2O. The Fukui function indices for all intermediates except for N-phenylformamide (free radical) were also calculated for the intermediates in Tables S4–S12, which indicated similar results to the above discussion for the degradation process.
Based on the identification of intermediates, another possible degradation pathway of quinoline by the E-Fenton process has been proposed. First, the pyridine ring was attacked by hydroxyl radicals to form 2-hydroxyquinoline, with is rapidly oxidized into 2(1H)-quinolinone. The Natural charges on atoms 3 and 8 turn positive because of the large electrophilicity of oxygen atom. The calculated energy of 8-hydroquionline is slightly higher than that of 2-hydroquionline by 5.4 kcal mol−1. The introduction of an oxygen group at position 8 in pyridine ring led to the increase of charge density on carbon atom 10, which was prone to electrophilic reaction. The 2(1H)-quinolinone was oxidized by active chloric species into 4-chloro-2(1H)-quinolinone. Upon the further attack of hydroxyl radicals and active chloric species, the pyridine ring fragmented into N-phenylformamide. The N-phenylformamide is in turn oxidized into aniline and benzene. Finally, the benzene ring fragmented into small molecules, which were mineralized to CO2 and H2O.
When nitrogenous heterocyclic compounds were oxidized and degraded, oxidants with strong electronegativity would attack carbon atoms with high electron cloud density and broke aromatic rings upon effective collision. As •OH radicals and active chlorines attacked aromatic rings, hydroxylation and chlorination first took place. Next, hydroxylated derivatives and chlorinated derivatives fragmented into intermediates containing aromatic rings, which were further oxidized to produce organic acids or other small molecule substances. In the end, the small molecule substances were mineralized into CO2 and H2O.
3.5. Mass Balance and Cost Calculations
The results of mass balance and cost calculations in the E-Fenton process under the optimal process conditions are shown in Table S13. At full-scale operation, the treatment cost per ton of wastewater is about 2.05 dollars.
4. Conclusions
We found that the bipolar E-Fenton process could effectively degrade quinoline in wastewater. The optimal conditions for quinoline degradation by the E-Fenton process were determined. With the optimal conditions, the COD decrease efficiency of quinoline solution could reach 75.56%. The current density had a great influence on the COD decrease efficiency of quinoline. Kinetics analysis showed that the COD degradation of quinoline solution by the E-Fenton process followed the first-order kinetics. The addition of NaCl was confirmed to have a synergistic effect in the E-Fenton system. By using NaCl as electrolyte, hydroxyl radicals and active chloric species were the dominant oxidants. Upon the attack of •OH radicals and active chloric species derived from the oxidation of chloride ions, two possible degradation pathways of quinoline were proposed. Quinoline molecules were firstly attacked to produce hydroxylated derivatives and chlorinated derivatives. The derivatives further fragmented into small molecules. In the end, the small molecule substances were mineralized into CO2 and H2O. The present work demonstrated the potential of the E-Fenton process using iron electrodes to mineralize quinoline and provided a foundation for the degradation of quinoline substances in wastewater by the E-Fenton process in practical applications.
Supplementary Materials
The following are available online at https://www.mdpi.com/2073-4441/13/2/128/s1: Figure S1. The effect of different supporting electrolytes on COD decrease efficiency of quinoline solution by the E-Fenton process; Table S1. Relationship between the COD of quinoline solution and reaction time; Table S2. Kinetic parameters of COD degradation by the E-Fenton process; Table S3. The main intermediates during quinoline degradation identified by GC–MS; Tables S4–S12. Results of computational analysis for the intermediates; Table S13. The results of mass balance and cost calculation in the E-Fenton process under the optimal process conditions.
Author Contributions
Conceptualization, W.Z., J.C., and C.-X.C.; methodology, W.Z. and J.C.; software, W.Z. and C.-X.C.; investigation, W.Z.; data curation, W.Z., J.W., and C.-X.C.; writing—original draft preparation, W.Z.; writing—review and editing, J.C., J.W., C.-X.C., and B.W.; supervision, J.C.; funding acquisition, J.C., J.W., and Y.Z. All authors have read and agreed to the published version of the manuscript.
Funding
This research was supported by the National Natural Science Foundation of China (No.51802082), and by the Program for Science & Technology Innovation Talents in Universities of Henan Province (21HATIT016).
Institutional Review Board Statement
Not applicable.
Informed Consent Statement
Not applicable.
Data Availability Statement
Data is contained within the Supplementary Material. The data presented in this study are available in Supplementary Material.
Conflicts of Interest
The authors declare no conflict of interest.
References
- Zhu, H.; Ma, W.C.; Han, H.J.; Han, Y.X.; Ma, W.W. Catalytic ozonation of quinoline using nano-MgO: Efficacy, pathways, mechanisms and its application to real biologically pretreated coal gasification wastewater. Chem. Eng. J. 2017, 327, 91–99. [Google Scholar] [CrossRef]
- Chang, L.; Zhang, Y.M.; Gan, L.; Xu, H.; Yan, N.; Liu, R.; Rittmann, B.E. Internal loop photo-biodegradation reactor used for accelerated quinoline degradation and mineralization. Biodegradation 2014, 25, 587–594. [Google Scholar] [CrossRef] [PubMed]
- Abussaud, B.A.; Ulkem, N.; Berk, D.; Kubes, G.J. Wet air oxidation of benzene. Ind. Eng. Chem. Res. 2008, 47, 4325–4331. [Google Scholar] [CrossRef][Green Version]
- Kritzer, P.; Dinjus, E. An assessment of supercritical water oxidation (SCWO): Existing problems, possible solutions and new reactor concepts. Chem. Eng. J. 2001, 83, 207–214. [Google Scholar] [CrossRef]
- Sarmento, A.P.; Borges, A.C.; Matos, A.T.D.; Romualdo, L.L. Sulfamethoxazole and trimethoprim degradation by Fenton and Fenton-like processes. Water 2020, 12, 1655. [Google Scholar] [CrossRef]
- Ullah, R.; Dutta, J. Photocatalytic degradation of organic dyes with manganese-doped ZnO nanoparticles. J. Hazard. Mater. 2008, 156, 194–200. [Google Scholar] [CrossRef]
- Bedolla-Guzman, A.; Feria-Reyes, R.; Gutierrez-Granados, S.; Peralta-Hernández, J.M. Decolorization and degradation of reactive yellow HF aqueous solutions by electrochemical advanced oxidation processes. Environ. Sci. Pollut. Res. 2016, 24, 1–9. [Google Scholar] [CrossRef]
- Umar, M.; Aziz, H.A.; Yusoff, M.S. Trends in the use of Fenton, electro-Fenton and photo-Fenton for the treatment of landfill leachate. Waste Manag. 2010, 30, 2113–2121. [Google Scholar] [CrossRef]
- Jiang, C.C.; Zhang, J.F. Progress and prospect in electro-Fenton process for wastewater treatment. J. Zhejiang Univ. Sci. A 2007, 8, 1118–1125. [Google Scholar]
- Babuponnusami, A.; Muthukumar, K. Advanced oxidation of phenol: A comparison between Fenton, electro-Fenton, sono-electro-Fenton and photo-electro-Fenton processes. Chem. Eng. J. 2012, 183, 1–9. [Google Scholar] [CrossRef]
- Mitadera, M.; Spataru, N.; Fujishima, A. Electrochemical oxidation of aniline at boron-doped diamond electrodes. J. Appl. Electrochem. 2004, 34, 249–254. [Google Scholar] [CrossRef]
- Soares, I.C.D.C.; Silva, D.R.D.; Nascimento, J.H.O.D.; Garcia-Segura, S.; Martínez-Huitle, C.A. Functional group influences on the reactive azo dye decolorization performance by electrochemical oxidation and electro-Fenton technologies. Environ. Sci. Pollut. Res. 2017, 24, 24167–24176. [Google Scholar] [CrossRef] [PubMed]
- Sirés, I.; Garrido, J.A.; Rodríguez, R.M.; Brillas, E.; Oturan, N.; Oturan, M.A. Catalytic behavior of the Fe3+/Fe2+ system in the electro-Fenton degradation of the antimicrobial chlorophene. Appl. Catal. B 2007, 72, 382–394. [Google Scholar] [CrossRef]
- Nidheesh, P.V.; Gandhimathi, R. Trends in electro-Fenton process for water and wastewater treatment: An overview. Desalination 2012, 299, 1–15. [Google Scholar] [CrossRef]
- Tian, J.; Zhao, J.X.; Olajuyin, A.M.; Sharshar, M.M.; Mu, T.Z.; Yang, M.H.; Xing, J.M. Effective degradation of rhodamine B by electro-Fenton process, using ferromagnetic nanoparticles loaded on modified graphite felt electrode as reusable catalyst: In neutral pH condition and without external aeration. Environ. Sci. Pollut. Res. 2016, 23, 15471–15482. [Google Scholar] [CrossRef] [PubMed]
- Kim, H.G.; Ko, Y.J.; Lee, S.; Hong, S.W.; Lee, W.S.; Choi, J.W. Degradation of organic compounds in actual wastewater by electro-Fenton process and evaluation of energy consumption. Water Air Soil Pollut. 2018, 229, 335. [Google Scholar] [CrossRef]
- Rahmani, A.R.; Nematollahi, D.; Azarian, G.; Godini, K.; Berizi, Z. Activated sludge treatment by electro-Fenton process: Parameter optimization and degradation mechanism. Korean J. Chem. Eng. 2015, 32, 1570–1577. [Google Scholar] [CrossRef]
- Ishibashi, K.I.; Fujishima, A.; Watanabe, T.; Hashimoto, K. Quantum yields of active oxidative species formed on TiO2 photocatalyst. J. Photochem. Photobiol. A Chem. 2000, 134, 139–142. [Google Scholar] [CrossRef]
- Ishibashi, K.I.; Fujishima, A.; Watanabe, T.; Hashimoto, K. Detection of active oxidative species in TiO2 photocatalysis using the fluorescence technique. Electrochem. Commun. 2000, 2, 207–210. [Google Scholar] [CrossRef]
- Cheng, X.W.; Cheng, Q.F.; Deng, X.Y.; Wang, P.; Liu, H.L. Construction of TiO2 nano-tubes arrays coupled with Ag2S nano-crystallites photoelectrode and its enhanced visible light photocatalytic performance and mechanism. Electrochim. Acta 2015, 184, 264–275. [Google Scholar] [CrossRef]
- Brillas, E.; Sirés, I.; Oturan, M.A. Electro-Fenton process and related electrochemical technologies based on Fenton’s reaction chemistry. Chem. Rev. 2009, 109, 6570–6631. [Google Scholar] [CrossRef] [PubMed]
- Zhou, M.H.; Tan, Q.Q.; Wang, Q.; Jiao, Y.L.; Oturan, N.; Oturan, M.A. Degradation of organics in reverse osmosis concentrate by electro-Fenton process. J. Hazard. Mater. 2012, 215–216, 287–293. [Google Scholar] [CrossRef] [PubMed]
- Estrada, A.L.; Li, Y.Y.; Wang, A. Biodegradability enhancement of wastewater containing cefalexin by means of the electro-Fenton oxidation process. J. Hazard. Mater. 2012, 227–228, 41–48. [Google Scholar] [CrossRef] [PubMed]
- Hou, B.L.; Han, H.J.; Jia, S.Y.; Zhuang, H.F.; Xu, P.; Wang, D. Heterogeneous electro-Fenton oxidation of catechol catalyzed by nano-Fe3O4: Kinetics with the Fermi’s equation. J. Taiwan Inst. Chem. Eng. 2015, 56, 138–147. [Google Scholar] [CrossRef]
- Mogyoródy, F. Electrochemical degradation of thiocarbamates in NaCl solutions. J. Appl. Electrochem. 2006, 36, 773–781. [Google Scholar] [CrossRef]
- Mogyoródy, F. Reaction pathways in the electrochemical degradation of thiocarbamate herbicides in NaCl solution. J. Appl. Electrochem. 2006, 36, 635–642. [Google Scholar] [CrossRef]
- Ghosh, P.; Samanta, A.N.; Ray, S. Reduction of COD and removal of Zn2+ from rayon industry wastewater by combined electro-Fenton treatment and chemical precipitation. Desalination 2011, 266, 213–217. [Google Scholar] [CrossRef]
- Kaur, P.; Sangal, V.K.; Kushwaha, J.P. Parametric study of electro-Fenton treatment for real textile wastewater, disposal study and its cost analysis. Int. J. Environ. Sci. Technol. 2018, 16, 801–810. [Google Scholar] [CrossRef]
- Yu, F.K.; Zhou, M.H.; Yu, X.M. Cost-effective electro-Fenton using modified graphite felt that dramatically enhanced on H2O2 electro-generation without external aeration. Electrochim. Acta 2015, 163, 182–189. [Google Scholar] [CrossRef]
- Asma, S.; Said, A.; Fatima, S.; Brahim, E.I.; Souad, E.I.; Ait, A.E.H.; Ali, A. Electro-Fenton degradation of trimellitic and pyromellitic acids: Kinetics and mechanism. Electrocatalysis 2018, 9, 716–724. [Google Scholar]
- Oturan, N.; Aravindakumar, C.T.; Olvera-Vargas, H.; Sunil Paul, M.M.; Oturan, M.A. Electro-Fenton oxidation of para-aminosalicylic acid: Degradation kinetics and mineralization pathway using Pt/carbon-felt and BDD/carbon-felt cells. Environ. Sci. Pollut. Res. 2017, 25, 20363–20373. [Google Scholar] [CrossRef] [PubMed]
- Ma, X.J.; Zhou, M.H. A comparative study of azo dye decolorization by electro-Fenton in two common electrolytes. J. Chem. Technol. Biotechnol. 2010, 84, 1544–1549. [Google Scholar] [CrossRef]
- Hou, B.L.; Ren, B.Z.; Deng, R.J.; Zhu, G.C.; Wang, Z.H.; Li, Z. Three-dimensional electro-Fenton oxidation of N-heterocyclic compounds with a novel catalytic particle electrode: High activity, wide pH range and catalytic mechanism. RSC Adv. 2017, 7, 15455–15462. [Google Scholar] [CrossRef]
- Chen, A.L.; Chang, F.M.; Wang, C.P.; Xu, H.; Wu, J.; Zuo, J.E.; Wang, K.J. Degradation of the nitrogenous heterocyclic compound quinoline by O3/UV. Environ. Sci. 2016, 37, 3884–3890. [Google Scholar]
- Guateque-Londoo, J.F.; Serna-Galvis, E.A.; Vila-Torres, Y.; Torres-Palma, R.A. Degradation of losartan in fresh urine by sonochemical and photochemical advanced oxidation processes. Water 2020, 12, 3398. [Google Scholar] [CrossRef]
- Thiam, A.; Salazar, R. Fenton-based electrochemical degradation of metolachlor in aqueous solution by means of BDD and Pt electrodes: Influencing factors and reaction pathways. Environ. Sci. Pollut. Res. 2019, 26, 2580–2591. [Google Scholar] [CrossRef]
Publisher’s Note: MDPI stays neutral with regard to jurisdictional claims in published maps and institutional affiliations. |
© 2021 by the authors. Licensee MDPI, Basel, Switzerland. This article is an open access article distributed under the terms and conditions of the Creative Commons Attribution (CC BY) license (http://creativecommons.org/licenses/by/4.0/).







