The Management of Na-Tech Risk Using Bayesian Network
Abstract
:1. Introduction
2. Materials and Methods
2.1. Methodology
2.1.1. Assessment of Na-Tech Risk
2.1.2. Dynamic Updating of Na-Tech Risk
2.1.3. Criteria for the Discretisation of Variables in the BN
- P1: percentage of establishments included in the areas with flood hazard Pe3, i.e., including equipment that can generate a minor release of hazardous substances;
- P2: percentage of establishments included in the areas with flood hazard Pe2, i.e., including equipment that can generate a medium release of hazardous substances;
- P3: percentage of establishments included in the areas with flood hazard Pe1, i.e., including equipment that can cause a catastrophic release of hazardous substances.
- D1: lower tier establishments close to urban areas with a population density lower than 100 inhabitants per km2 (within a range of 1 km);
- D2: upper tier establishments close to urban areas with a population density lower than 100 inhabitants per km2 (within a range of 1 km);
- D3: lower tier establishments close to urban areas with a population density higher than 100 inhabitants per km2 (within a range of 1 km);
- D4: upper tier establishments close to urban areas with a population density higher than 100 inhabitants per km2 (within a range of 1 km).
2.1.4. Criterion for the Updating of Na-Tech Risk Index
2.2. Data Collection and Analysis
- 202 industries in areas Pe1;
- 112 industries in areas Pe2 and 95 of these also in Pe1;
- 23 industries in areas Pe3 and Pe2, whereas 20 of them in Pe1, Pe2 and Pe3.
- Cat1: public offices, pharmacies and clinics, cultural heritage, place of worship, etc. (presence in the period from 08:00 a.m. to 08:00 p.m.);
- Cat2: schools, university, nursery schools, college, banks (presence in the period from 09:00 a.m. to 04:00 p.m.);
- Cat3: hospitals (presence in all hours).
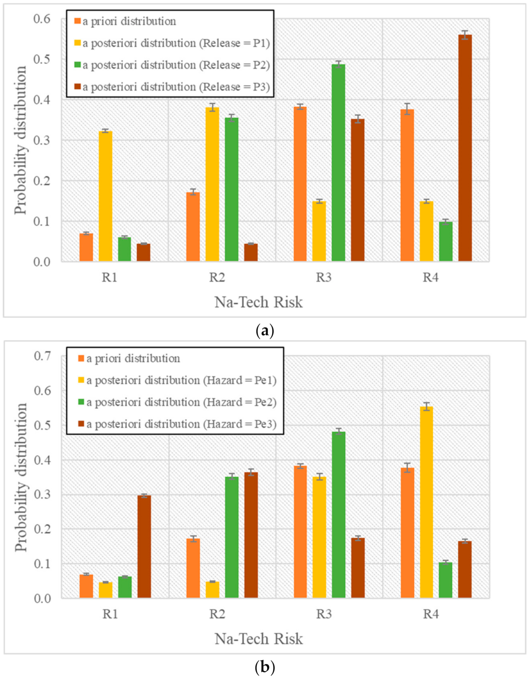
3. Results
4. Discussion
- Measure 1: To adopt solutions that prevent the release of hazardous substances by mitigating the intensity of the impact of the natural event (e.g., stemming barriers). The action is reflected in intervening on the Potential Release node;
- Measure 2: To evacuate residents from the impact areas of the Na-Tech scenario during the alert or to reduce the amount of sustances. In this case, the measure consists in intervening on the Damage node;
- Measure 3: To limit the presence of no-resident population within the impact areas of the Na-Tech scenario, by ordering the closure of schools and offices/shops during alert and providing to move the hospitalised persons in hosting building. This solution consists of acting on Cat1, Cat2 and Cat3.
5. Conclusions
Supplementary Materials
Author Contributions
Funding
Institutional Review Board Statement
Informed Consent Statement
Data Availability Statement
Acknowledgments
Conflicts of Interest
References
- Lindell, M.K.; Perry, R.W. Identifying and Managing Conjoint Threats: Earthquake-Induced Hazardous Materials Releases in the US. J. Hazard. Mater. 1996, 50, 31–46. [Google Scholar] [CrossRef]
- Menoni, S.; Molinari, D.; Parker, D.; Ballio, F.; Tapsell, S. Assessing Multifaceted Vulnerability and Resilience in Order to Design Risk-Mitigation Strategies. Nat. Hazards 2012, 64, 2057–2082. [Google Scholar] [CrossRef]
- Clerc, A.; Le Claire, G. The Environmental Impacts of Natural and Technological (Na-Tech) Disasters; Background Discussion Paper; United Nations: Yokohama, Japan, 1994.
- Laurent, A.; Pey, A.; Gurtel, P.; Fabiano, B. A Critical Perspective on the Implementation of the EU Council Seveso Directives in France, Germany, Italy and Spain. Process Saf. Environ. Prot. 2021, 148, 47–74. [Google Scholar] [CrossRef]
- Fabiano, B.; Reverberi, A.P.; Varbanov, P.S. Safety Opportunities for the Synthesis of Metal Nanoparticles and Short-Cut Approach to Workplace Risk Evaluation. J. Clean. Prod. 2019, 209, 297–308. [Google Scholar] [CrossRef]
- Milazzo, M.F.; Ancione, G.; Basco, A.; Lister, D.G.; Salzano, E.; Maschio, G. Potential Loading Damage to Industrial Storage Tanks Due to Volcanic Ash Fallout. Nat. Hazards 2013, 66, 939–953. [Google Scholar] [CrossRef]
- Cruz, A.M.; Okada, N. Methodology for Preliminary Assessment of Natech Risk in Urban Areas. Nat. Hazards 2008, 46, 199–220. [Google Scholar] [CrossRef]
- Arellano, A.L.V.; Cruz, A.M.; Nordvik, J.P.; Pisano, F. Analysis of Natech (Natural Hazard Triggering Technological Disasters) Disaster Management. Available online: http://op.europa.eu/it/publication-detail/-/publication/1b0cbf8a-cc8c-4287-b2a4-b8631d478c46 (accessed on 12 May 2021).
- Directive 2012/18/EU of the European Parliament and of the Council of 4 July 2012 on the Control of Major-Accident Hazards Involving Dangerous Substances, Amending and Subsequently Repealing Council Directive 96/82/EC Text. with EEA Relevance; European Parliament: Strasburgo, France, 2012.
- Italian Natech Working Group. Metodologie per la gestione di eventi Natech. In Proceedings of the Valutazione e Gestione del Rischio Negli Insediamenti Civili ed Industriali 2016, Rome, Italy, 13–15 September 2016. (In Italian). [Google Scholar]
- World Meteorological Organization (WMO); Global Water Partnership, (GWP). Flood Management Tool Series, Technical Document, 06. Urban. Flood Risk Management; WMO: Geneva, Switzerland, 2008. [Google Scholar]
- Neuhold, C.; Nachtnebel, H.P. Assessing Flood Risk Associated with Waste Disposals: Methodology, Application and Uncertainties. Nat. Hazards 2011, 56, 359–370. [Google Scholar] [CrossRef]
- Arrighi, C.; Masi, M.; Iannelli, R. Flood Risk Assessment of Environmental Pollution Hotspots. Environ. Model. Softw. 2018, 100, 1–10. [Google Scholar] [CrossRef]
- Ciesielczuk, T.; Kusza, G.; Poluszyńska, J.; Kochanowska, K. Pollution of Flooded Arable Soils with Heavy Metals and Polycyclic Aromatic Hydrocarbons (PAHs). Water Air Soil Pollut. 2014, 225, 2145. [Google Scholar] [CrossRef] [Green Version]
- Directive 2008/1/EC of the European Parliament and of the Council of 15 January 2008 Concerning Integrated Pollution Prevention and Control. (Codified Version) (Text. with EEA Relevance); European Parliament: Strasburgo, France, 2008.
- Directive 2007/60/EC of the European Parliament and of the Council of 23 October 2007 on the Assessment and Management of Flood Risks (Text. with EEA Relevance); European Parliament: Strasburgo, France, 2007.
- Decreto Legislativo 23 febbraio 2010, n. 49 Issued by the President of the Italian Republic on the “Attuazione della Direttiva 2007/60/CE Relativa alla Valutazione e alla Gestione dei Rischi di Alluvioni”; Italian Government: Rome, Italy, 2010. (In Italian)
- Cozzani, V.; Antonioni, G.; Landucci, G.; Tugnoli, A.; Bonvicini, S.; Spadoni, G. Quantitative Assessment of Domino and NaTech Scenarios in Complex Industrial Areas. J. Loss Prev. Process Ind. 2014, 28, 10–22. [Google Scholar] [CrossRef]
- Ancione, G.; Salzano, E.; Maschio, G.; Milazzo, M.F. Vulnerability of Wastewater Treatment Plants to Volcanic Na-Tech Events. Chem. Eng. Trans. 2014, 36, 433–438. [Google Scholar] [CrossRef]
- Kadri, F.; Birregah, B.; Châtelet, E. The Impact of Natural Disasters on Critical Infrastructures: A Domino Effect-Based Study. J. Homel. Secur. Emerg. Manag. 2014, 11, 217–241. [Google Scholar] [CrossRef]
- Marzo, E.; Busini, V.; Rota, R. Definition of a Short-Cut Methodology for Assessing the Vulnerability of a Territory in Natural–Technological Risk Estimation. Reliab. Eng. Syst. Saf. 2015, 134, 92–97. [Google Scholar] [CrossRef]
- Petrlová, K.; Polorecka, M. Bowtie Analysis as a Tool for Visualization of the Risk Scenario. MEST J. 2018, 6, 97–103. [Google Scholar] [CrossRef]
- Liu, T.; Zhang, H.; Li, X.; Li, H. Effects of Organization Factors on Flood-Related Natechs in Urban Areas of China. Nat. Hazards 2017, 88, 355–365. [Google Scholar] [CrossRef]
- Khakzad, N.; Van Gelder, P. Vulnerability of Industrial Plants to Flood-Induced Natechs: A Bayesian Network Approach. Reliab. Eng. Syst. Saf. 2018, 169, 403–411. [Google Scholar] [CrossRef]
- Naderpour, M.; Khakzad, N. Texas LPG Fire: Domino Effects Triggered by Natural Hazards. Process Saf. Environ. Prot. 2018, 116, 354–364. [Google Scholar] [CrossRef]
- Norsys Software Corp. Bayes Net Software Netica. Available online: https://www.norsys.com/index.html (accessed on 10 March 2021).
- Ramsbottom, D.; Wade, S.; Bain, V.; Hassan, M.; Penning-Rowsell, E.; Wilson, T.; Fernandez, A.; House, M.; Floyd, P. R&D Outputs: Flood Risks to People. Phase 2; FD2321/IR2 Department for the Environment, Food and Rural Affairs/Environment Agency: London, UK, 2004.
- Penning-Rowsell, E.; Floyd, P.; Ramsbottom, D.; Surendran, S. Estimating Injury and Loss of Life in Floods: A Deterministic Framework. Nat. Hazards 2005, 36, 43–64. [Google Scholar] [CrossRef] [Green Version]
- Wallingford, H. Flood Risks to People: Phase 2—FD2321/TR2-Guidance Document; Environment AgencyFlood and Coastal Defence R&D Programme: London, UK, 2006. [Google Scholar]
- Ancione, G.; Salzano, E.; Maschio, G.; Milazzo, M.F. A GIS-Based Tool for the Management of Industrial Accidents Triggered by Volcanic Ash Fallouts. J. Risk Res. 2016, 19, 212–232. [Google Scholar] [CrossRef]
- Straub, D.; Der Kiureghian, A. Improved Seismic Fragility Modeling from Empirical Data. Struct. Saf. 2008, 30, 320–336. [Google Scholar] [CrossRef]
- Ministero dell’ambiente, della Tutela del Territorio e del Mare (MATT). Documento Conclusivo del Tavolo Tecnico Stato/Regioni Contenente Indirizzi Operativi Che Potranno Essere Seguiti per Uniformare Gli Strumenti di Pianificazione di Bacino in Vista dell’Implementazione della Direttiva 2007/60/CE (Alluvioni); MATT: Rome, Italy, 2013. (In Italian) [Google Scholar]
- Decreto Legislativo 26 Giugno 2015, n. 105 Issued by the President of the Italian Republic on the “Attuazione della Direttiva 2012/18/UE Relativa al Controllo del Pericolo di Incidenti Rilevanti Connessi con Sostanze Pericolose.” (15G00121); Italian Government: Rome, Italy, 2015. (In Italian)
- Autorità di Bacino Distrettuale del Fiume Po (AdBPo). Rapporto sull’attuazione del Piano di Gestione Rischio Alluvioni nel bacino del Fiume Po; AdBPo: Parma, Italy, 2019. (In Italian)
- GIS Mapping Software, Location Intelligence & Spatial Analytics|Esri. Available online: https://www.esri.com/en-us/home (accessed on 12 May 2021).
- Arpa (Agenzia Regionale per la Protezione dell’Ambiente). Piemonte. Available online: http://www.arpa.piemonte.it (accessed on 6 July 2021).
- Arpa (Agenzia Regionale per la Protezione dell’Ambiente). Valle d’Aosta. Available online: https://www.arpa.vda.it/ (accessed on 6 July 2021).
- Arpa (Agenzia Regionale per la Protezione dell’Ambiente). Lombardia. Available online: https://www.arpalombardia.it/ (accessed on 6 July 2021).
- Arpa (Agenzia Regionale per la Protezione dell’Ambiente). Liguria. Available online: https://www.arpal.liguria.it/ (accessed on 6 July 2021).
- Arpa (Agenzia Regionale per la Protezione dell’Ambiente). Emilia-Romagna. Available online: https://www.arpae.it/it (accessed on 6 July 2021).
- Arpa (Agenzia Regionale per la Protezione dell’Ambiente). Veneto. Available online: https://www.arpa.veneto.it/ (accessed on 6 July 2021).
- Appa (Agenzia Provinciale per la Protezione dell’Ambiente)—Provincia Autonoma di Trento. Available online: http://www.appa.provincia.tn.it/ (accessed on 6 July 2021).
- DatiOpen.It. Il Portale Italiano dell’Open Data. Available online: http://www.datiopen.it/it (accessed on 10 February 2021).
- Italian National Geoportal. Access Point to Environmental and Territorial Information. Available online: http://www.pcn.minambiente.it/mattm/en/ (accessed on 2 February 2021).
- Arlot, S.; Celisse, A. A Survey of Cross-Validation Procedures for Model Selection. Stat. Surv. 2010, 4, 40–79. [Google Scholar] [CrossRef]
- Ancione, G.; Bragatto, P.; Milazzo, M.F. A Bayesian Network-Based Approach for the Assessment and Management of Ageing in Major Hazard Establishments. J. Loss Prev. Process Ind. 2020, 64, 104080. [Google Scholar] [CrossRef]












| H and V | Pasture/Arable | Woodland | Urban |
|---|---|---|---|
| 0 m < h ≤ 0.25 m | 0 | 0 | 0 |
| 0.25 m < h ≤ 0.75 m | 0 | 0.5 | 1 |
| H > 0.75 or v > 2 m/s | 0.5 | 1 | 1 |
| Presence of Items | Na-Tech Risk Index Increase |
|---|---|
| Workers | +1 |
| Students | +2 |
| Hospitalised persons | +3 |
| Hazard Flood | Seveso Plant Involved | Workers (Cat1) | Students (Cat2) | Hospitalised People (Cat3) |
|---|---|---|---|---|
| Pe1 | 202 | 132 | 30 | 5 |
| Pe2 | 112 | 60 | 10 | 1 |
| Pe3 | 23 | 7 | 0 | 0 |
Publisher’s Note: MDPI stays neutral with regard to jurisdictional claims in published maps and institutional affiliations. |
© 2021 by the authors. Licensee MDPI, Basel, Switzerland. This article is an open access article distributed under the terms and conditions of the Creative Commons Attribution (CC BY) license (https://creativecommons.org/licenses/by/4.0/).
Share and Cite
Ancione, G.; Milazzo, M.F. The Management of Na-Tech Risk Using Bayesian Network. Water 2021, 13, 1966. https://doi.org/10.3390/w13141966
Ancione G, Milazzo MF. The Management of Na-Tech Risk Using Bayesian Network. Water. 2021; 13(14):1966. https://doi.org/10.3390/w13141966
Chicago/Turabian StyleAncione, Giuseppa, and Maria Francesca Milazzo. 2021. "The Management of Na-Tech Risk Using Bayesian Network" Water 13, no. 14: 1966. https://doi.org/10.3390/w13141966
APA StyleAncione, G., & Milazzo, M. F. (2021). The Management of Na-Tech Risk Using Bayesian Network. Water, 13(14), 1966. https://doi.org/10.3390/w13141966

