Impacts of Data Quantity and Quality on Model Calibration: Implications for Model Parameterization in Data-Scarce Catchments
Abstract
1. Introduction
2. Study Area and Hydro-Meteorological Data
3. Methodology
3.1. HBV Model
3.2. Performance Criteria
3.3. Numeric Experiments
4. Results and Discussion
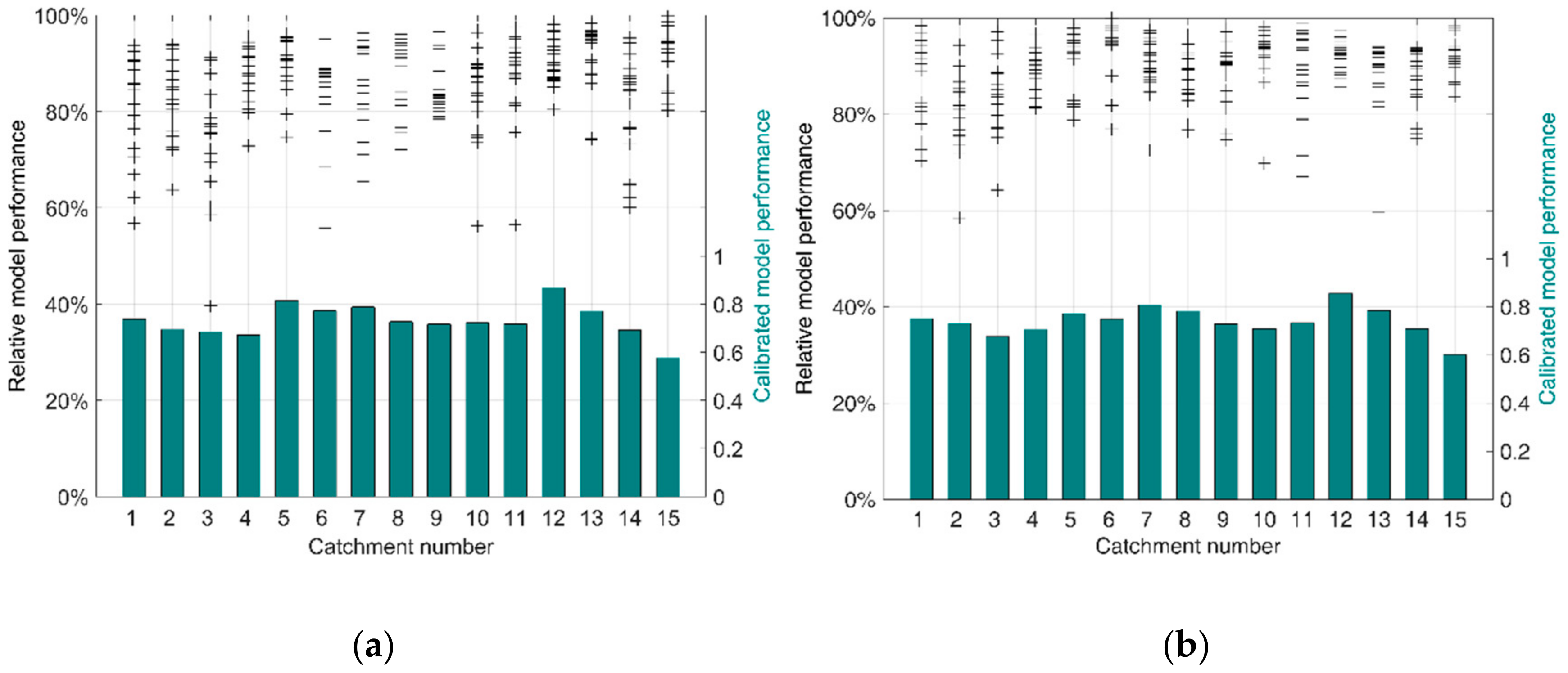
4.1. Comparison of Calibration and Validation Performance
4.2. Impact of Data Quality
4.3. Impact of Data Quantity
4.4. Simultaneous Calibration for Parameterization in Data-Scarce Catchments
5. Conclusions and Outlook
- (1)
- The model performances of both calibration and validation were greatly affected by the observations used in model calibration. Good calibration result were usually a prerequisite for good validation. Due to different data quality and different climatic conditions, model parameters calibrated based on the same length of data still performed differently;
- (2)
- Flood events during the calibration period had a significant impact on the identification of model parameters, especially for those related to surface runoff generation and concentration. The lack of flood information during the calibration period may have led to the underestimation of model parameters and cause high uncertainty. Abundant flood information was essential to identify model parameters with robust transferability both in space and time;
- (3)
- The transferability of the model parameter increased notably with the increase of the length of data used for model calibration. The sensitivity of data length to parameter estimation varied among the selected catchments. Using ten-year data for calibration, most catchments could obtain more than 90% of the validation model performances, indicating that about ten-year data could achieve reliable parameter estimation for the study catchments;
- (4)
- For model parameter estimation in the data-scarce catchment, the result showed that simultaneous calibration with neighboring catchment could lead to more reliable parameter estimations than only using the limited data. The model parameters could be identified by information from other catchments with a high degree of similarity. The simultaneous calibration approach offered a potential approach for model parameterization in data-scarce catchments.
Author Contributions
Funding
Conflicts of Interest
References
- Minville, M.; Cartier, D.; Guay, C.; Leclaire, L.A.; Audet, C.; Le Digabel, S.; Merleau, J. Improving process representation in conceptual hydrological model calibration using climate simulations. Water Resour. Res. 2014, 50, 5044–5073. [Google Scholar] [CrossRef]
- Yao, C.; Zhang, K.; Yu, Z.; Li, Z.; Li, Q. Improving the flood prediction capability of the Xinanjiang model in ungauged nested catchments by coupling it with the geomorphologic instantaneous unit hydrograph. J. Hydrol. 2014, 517, 1035–1048. [Google Scholar] [CrossRef]
- Bardossy, A. Calibration of hydrological model parameters for ungauged catchments. Hydrol. Earth Syst. Sci. 2007, 11, 703–710. [Google Scholar] [CrossRef]
- Ren, H.Y.; Hou, Z.S.; Huang, M.Y.; Bao, J.; Sun, Y.; Tesfa, T.; Leung, L.R. Classification of hydrological parameter sensitivity and evaluation of parameter transferability across 431 US MOPEX basins. J. Hydrol. 2016, 536, 92–108. [Google Scholar] [CrossRef]
- Li, C.Z.; Zhang, L.; Wang, H.; Zhang, Y.Q.; Yu, F.L.; Yan, D.H. The transferability of hydrological models under nonstationary climatic conditions. Hydrol. Earth Syst. Sci. 2012, 16, 1239–1254. [Google Scholar] [CrossRef]
- Liu, Z.Y.; Martina, M.L.; Todini, E. Flood forecasting using a fully distributed model: Application of the TOPKAPI model to the Upper Xixian catchment. Hydrol. Earth Syst. Sci. 2005, 9, 347–364. [Google Scholar] [CrossRef]
- Yapo, P.O.; Gupta, H.V.; Sorooshian, S. Automatic calibration of conceptual rainfall-runoff models: Sensitivity to calibration data. J. Hydrol. 1996, 181, 23–48. [Google Scholar] [CrossRef]
- Foglia, L.; Hill, M.C.; Mehl, S.W.; Burlando, P. Sensitivity analysis, calibration, and testing of a distributed hydrological model using error-based weighting and one objective function. Water Resour. Res. 2009, 45, W06427. [Google Scholar] [CrossRef]
- Wright, D.P.; Thyer, M.; Westra, S. Influential point detection diagnostics in the context of hydrological model calibration. J. Hydrol. 2015, 527, 1161–1172. [Google Scholar] [CrossRef]
- Wright, D.P.; Thyer, M.; Westra, S.; Renard, B.; McInerney, D. A generalised approach for identifying influential data in hydrological modelling. Environ. Model. Softw. 2019, 111, 231–247. [Google Scholar] [CrossRef]
- Wright, D.P.; Thyer, M.; Westra, S.; McInerney, D. A hybrid framework for quantifying the influence of data in hydrological model calibration. J. Hydrol. 2018, 561, 211–222. [Google Scholar] [CrossRef]
- Bardossy, A.; Das, T. Influence of rainfall observation network on model calibration and application. Hydrol. Earth Syst. Sci. 2008, 12, 77–89. [Google Scholar] [CrossRef]
- Beven, K.; Binley, A. The Future of Distributed Models—Model Calibration and Uncertainty Prediction. Hydrol. Process. 2010, 6, 279–298. [Google Scholar] [CrossRef]
- Coron, L.; Andréassian, V.; Perrin, C.; Lerat, J.; Vaze, J.; Bourqui, M.; Hendrickx, F. Crash testing hydrological models in contrasted climate conditions: An experiment on 216 Australian catchments. Water Resour. Res. 2012, 48, 213–223. [Google Scholar] [CrossRef]
- Daggupati, P.; Yen, H.; White, M.J.; Srinivasan, R.; Arnold, J.G.; Keitzer, C.S.; Sowa, S.P. Impact of model development, calibration and validation decisions on hydrological simulations in West Lake Erie Basin. Hydrol. Process. 2016, 29, 5307–5320. [Google Scholar] [CrossRef]
- Chuan-Zhe, L.I.; Wang, H.; Liu, J.; Yan, D.H.; Yu, F.L.; Zhang, L. Effect of calibration data series length on performance and optimal parameters of hydrological model. Water Sci. Eng. 2010, 3, 378–393. [Google Scholar]
- Shi, W.; Li, L.; Xia, J.; Gippel, C.J. A hydrological model modified for application to flood forecasting in medium and small-scale catchments. Arab. J. Geosci. 2016, 9, 296. [Google Scholar] [CrossRef]
- Hrachowitz, M.; Savenije, H.H.G.; Blöschl, G.; Mcdonnell, J.J.; Sivapalan, M.; Pomeroy, J.W.; Arheimer, B.; Blume, T.; Clark, M.P.; Ehret, U. A decade of Predictions in Ungauged Basins (PUB)—A review. Hydrol. Sci. J. 2013, 58, 1198–1255. [Google Scholar] [CrossRef]
- Wagener, T.; Sivapalan, M.; Troch, P.; Woods, R. Catchment Classification and Hydrologic Similarity. Geogr. Compass 2007, 1, 901–931. [Google Scholar] [CrossRef]
- Bardossy, A.; Huang, Y.C.; Wagener, T. Simultaneous calibration of hydrological models in geographical space. Hydrol. Earth Syst. Sci. 2016, 20, 2913–2928. [Google Scholar] [CrossRef]
- Duan, Q.; Schaake, J.; Andreassian, V.; Franks, S.; Goteti, G.; Gupta, H.V.; Gusev, Y.M.; Habets, F.; Hall, A.; Hay, L.; et al. Model Parameter Estimation Experiment (MOPEX): An overview of science strategy and major results from the second and third workshops. J. Hydrol. 2006, 320, 3–17. [Google Scholar] [CrossRef]
- Bergström, S. Development and Application of a Conceptual Runoff Model for Scandinavian Catchments; Smhi Reports on Hydrology; SMHI: Norrköping, Sweden, 1976. [Google Scholar]
- Kobold, M.; Brilly, M. The use of HBV model for flash flood forecasting. Nat. Hazards Earth Syst. Sci. 2006, 6, 407–417. [Google Scholar] [CrossRef]
- Lindström, G.; Johansson, B.; Persson, M.; Gardelin, M.; Bergström, S. Development and test of the distributed HBV-96 hydrological model. J. Hydrol. 1997, 201, 272–288. [Google Scholar] [CrossRef]
- Huang, Y.C.; Bardossy, A.; Zhang, K. Sensitivity of hydrological models to temporal and spatial resolutions of rainfall data. Hydrol. Earth Syst. Sci. 2019, 23, 2647–2663. [Google Scholar] [CrossRef]
- Bárdossy, A.; Singh, S.K. Robust estimation of hydrological model parameters. Hydrol. Earth Syst. Sci. 2008, 12, 1273–1283. [Google Scholar] [CrossRef]
- Nash, J.E.; Sutcliffe, J.V. River flow forecasting through conceptual models part I—A discussion of principles. J. Hydrol. 1970, 10, 282–290. [Google Scholar] [CrossRef]
- Yapo, P.O.; Gupta, H.V.; Sorooshian, S. Multi-objective global optimization for hydrologic models. J. Hydrol. 1998, 204, 83–97. [Google Scholar] [CrossRef]
- Viney, N.R.; Perraud, J.; Vaze, J.; Chiew, F.H.S.; Post, D.A.; Yang, A. The Usefulness of Bias Constraints in Model Calibration for Regionalisation to Ungauged Catchments; University Western Australia: Nedlands, Australia, 2009; pp. 3421–3427. [Google Scholar]
- Anctil, F.; Perrin, C.; Andreassian, V. Impact of the length of observed records on the performance of ANN and of conceptual parsimonious rainfall-runoff forecasting models. Environ. Model. Softw. 2004, 19, 357–368. [Google Scholar] [CrossRef]
- Ali, G.; Tetzlaff, D.; Soulsby, C.; McDonnell, J.J.; Capell, R. A comparison of similarity indices for catchment classification using a cross-regional dataset. Adv. Water Resour. 2012, 40, 11–22. [Google Scholar] [CrossRef]
- Sawicz, K.; Wagener, T.; Sivapalan, M.; Troch, P.A.; Carrillo, G. Catchment classification: Empirical analysis of hydrologic similarity based on catchment function in the eastern USA. Hydrol. Earth Syst. Sci. 2011, 15, 2895–2911. [Google Scholar] [CrossRef]









| Catchment ID | Drainage Area (km2) | Mean Elevation (m) | Mean Slope | Shape Factor | Field Capacity | Percentage of Relative Humidity | Base Flow Index | Stream Density | Average Porosity |
|---|---|---|---|---|---|---|---|---|---|
| 01548500 | 1564 | 571 | 17 | 0.14 | 0.32 | 67.1 | 0.44 | 0.689 | 0.420 |
| 01606500 | 1663 | 838 | 24.4 | 0.15 | 0.31 | 74.9 | 0.45 | 0.672 | 0.284 |
| 01611500 | 1753 | 484 | 15.6 | 0.17 | 0.269 | 68.4 | 0.41 | 0.796 | 0.273 |
| 01663500 | 743 | 297 | 13.2 | 0.16 | 0.3 | 66.9 | 0.51 | 0.383 | 0.390 |
| 01664000 | 1606 | 237 | 10 | 0.11 | 0.294 | 67.1 | 0.5 | 0.581 | 0.402 |
| 01667500 | 1222 | 263 | 10.4 | 0.13 | 0.32 | 67.9 | 0.51 | 0.586 | 0.397 |
| 02016000 | 1194 | 661 | 18 | 0.18 | 0.28 | 69.8 | 0.43 | 0.579 | 0.265 |
| 02018000 | 852 | 635 | 18.1 | 0.24 | 0.27 | 67.5 | 0.44 | 1.08 | 0.296 |
| 02030500 | 585 | 157 | 3.8 | 0.2 | 0.3 | 66.4 | 0.48 | 0.939 | 0.459 |
| 03114500 | 1186 | 314 | 17.6 | 0.14 | 0.36 | 69.4 | 0.21 | 0.837 | 0.268 |
| 03155500 | 1171 | 294 | 14.3 | 0.14 | 0.36 | 68.7 | 0.22 | 0.968 | 0.269 |
| 03164000 | 2929 | 956 | 16.2 | 0.09 | 0.29 | 71.5 | 0.64 | 0.872 | 0.429 |
| 03173000 | 790 | 788 | 16.5 | 0.24 | 0.32 | 71.9 | 0.46 | 0.916 | 0.374 |
| 03180500 | 344 | 1056 | 20.3 | 0.26 | 0.36 | 77.4 | 0.37 | 0.789 | 0.266 |
| 03186500 | 332 | 1075 | 22.4 | 0.33 | 0.36 | 73.8 | 0.36 | 0.703 | 0.280 |
| Catchment ID | Annual Precipitation | Average Temperature | Annual Potential Evapotranspiration | Annual Runoff | Snow Proportion | Relative Humidity | Runoff Coefficient |
|---|---|---|---|---|---|---|---|
| (mm) | (°C) | (mm) | (mm) | (%) | (%) | ||
| 01548500 | 951.7 | 7.2 | 727 | 495.1 | 26.6 | 67.09 | 0.520 |
| 01606500 | 948.6 | 10.3 | 716.3 | 378.3 | 19.5 | 74.93 | 0.399 |
| 01611500 | 905.6 | 10.8 | 800 | 310.5 | 15.6 | 68.42 | 0.343 |
| 01663500 | 1049.9 | 11.7 | 897.2 | 402.6 | 12.1 | 66.88 | 0.383 |
| 01664000 | 1027.7 | 12 | 906.1 | 367.5 | 11.8 | 67.08 | 0.358 |
| 01667500 | 1087.4 | 12.3 | 915.2 | 380.4 | 10.6 | 67.96 | 0.350 |
| 02016000 | 1029.5 | 11 | 746 | 402.9 | 16 | 69.8 | 0.391 |
| 02018000 | 1010.6 | 11.4 | 764.6 | 406.3 | 11.3 | 67.49 | 0.402 |
| 02030500 | 1075.9 | 13.5 | 918.2 | 350.3 | 8.5 | 66.44 | 0.326 |
| 03114500 | 1089.7 | 11.4 | 737.4 | 483.9 | 15.6 | 69.38 | 0.444 |
| 03155500 | 1057.8 | 11.6 | 740 | 443.7 | 14.9 | 68.73 | 0.419 |
| 03164000 | 1247.9 | 10.6 | 807.4 | 593.3 | 13.3 | 71.48 | 0.475 |
| 03173000 | 958.6 | 11.1 | 762.7 | 371.9 | 13.5 | 71.9 | 0.388 |
| 03180500 | 1224.2 | 8.3 | 710.9 | 543.2 | 25.3 | 77.44 | 0.444 |
| 03186500 | 1401.5 | 9.1 | 710.9 | 945 | 24.3 | 73.82 | 0.674 |
| Parameter | Description | Max | Min |
|---|---|---|---|
| TT | Threshold temperature for snow melt initiation (°C) | 2 | −2 |
| DD | Degree–day factor (mm·°C−1·d−1) | 3 | 1.5 |
| FC | Field capacity (mm) | 600 | 50 |
| BETA | Shape coefficient | 8 | 0.2 |
| K0 | Near surface flow storage constant (d−1) | 0.8 | 0.2 |
| K1 | Interflow storage constant (d−1) | 0.25 | 0.1 |
| K2 | Baseflow storage constant (d−1) | 0.1 | 0.01 |
| KD | Percolation storage constant (d−1) | 0.2 | 0.05 |
| HL | Threshold water level for near surface flow (mm) | 100 | 1 |
© 2020 by the authors. Licensee MDPI, Basel, Switzerland. This article is an open access article distributed under the terms and conditions of the Creative Commons Attribution (CC BY) license (http://creativecommons.org/licenses/by/4.0/).
Share and Cite
Huang, Y.; Bardossy, A. Impacts of Data Quantity and Quality on Model Calibration: Implications for Model Parameterization in Data-Scarce Catchments. Water 2020, 12, 2352. https://doi.org/10.3390/w12092352
Huang Y, Bardossy A. Impacts of Data Quantity and Quality on Model Calibration: Implications for Model Parameterization in Data-Scarce Catchments. Water. 2020; 12(9):2352. https://doi.org/10.3390/w12092352
Chicago/Turabian StyleHuang, Yingchun, and Andras Bardossy. 2020. "Impacts of Data Quantity and Quality on Model Calibration: Implications for Model Parameterization in Data-Scarce Catchments" Water 12, no. 9: 2352. https://doi.org/10.3390/w12092352
APA StyleHuang, Y., & Bardossy, A. (2020). Impacts of Data Quantity and Quality on Model Calibration: Implications for Model Parameterization in Data-Scarce Catchments. Water, 12(9), 2352. https://doi.org/10.3390/w12092352

