Sub-Hourly Variability of Stable Isotopes in Precipitation in the Marginal Zone of East Asian Monsoon
Abstract
1. Introduction
2. Materials and Methods
2.1. Site Description
2.2. Precipitation Sampling and Data Collection
2.3. Stable Isotope Analysis of Precipitation
2.4. Backward Trajectory Model
3. Results
3.1. Stable Isotopes of Precipitation in Intra-Events
3.2. Correlation Analysis between Meteorological Variables and Stable Isotopes
4. Discussion
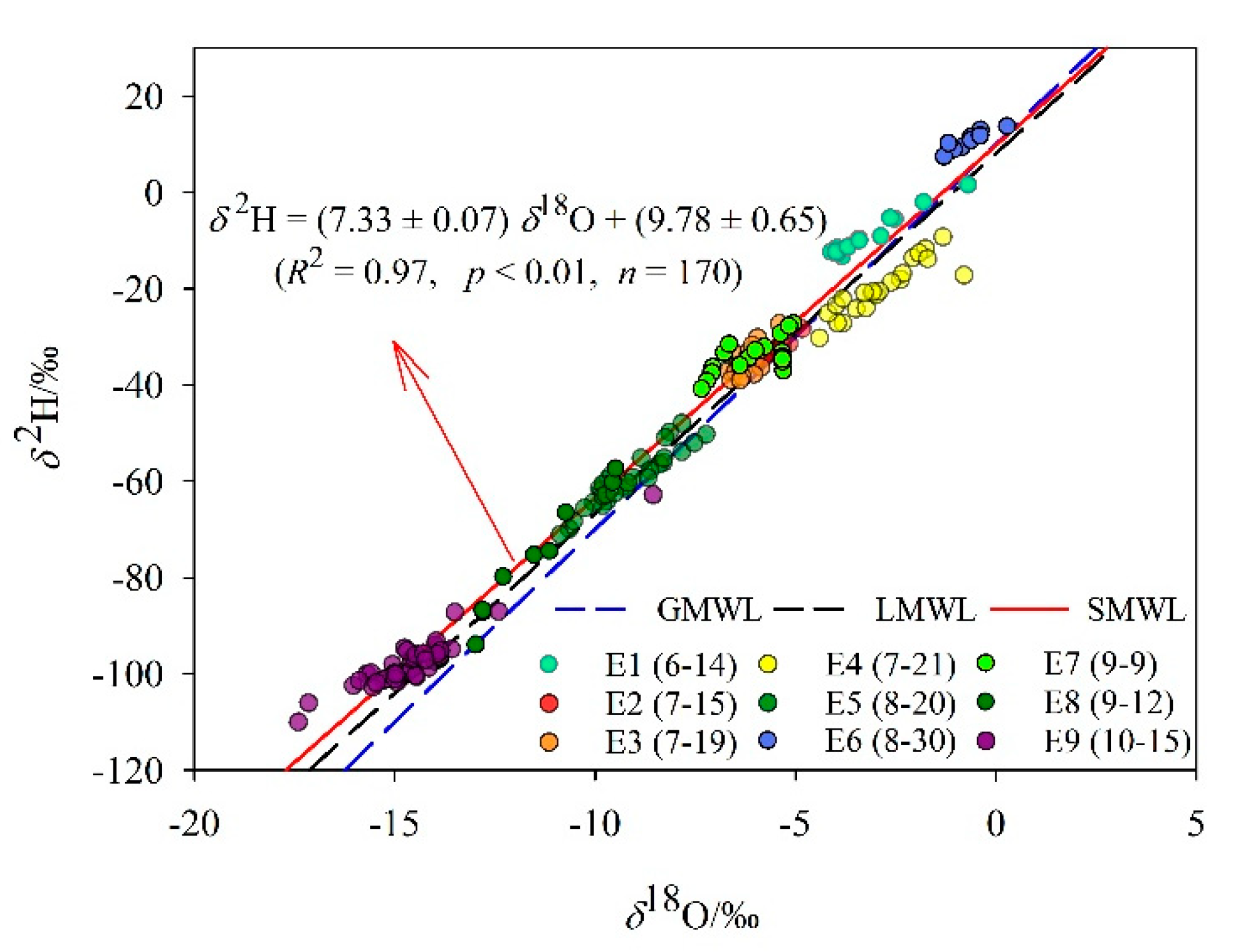
4.1. Correlation between δ2H and δ18O in Precipitation
4.2. Intra-Event Characteristics of Typical Patterns
4.2.1. Event 5 (20 August 2019): V-Shaped Isotopic Pattern
4.2.2. Event 9 (15 October 2019): L-Shaped Isotopic Pattern
4.2.3. Event 8 (12 September 2019): Descending Isotopic Pattern
4.3. d-excess Contents in Precipitation Intra-Events Based on Moisture Sources
5. Conclusions
- (1)
- The amplitude of change in the δ18O value of precipitation during an intra-event ranged from 1‰ to 5‰. For all events, the difference between the highest and the lowest δ18O value was the absolute change in δ18O during a single event at the sampling site. The maximum depletion was reached at the highest amount of rain per 10 min during the intra-event, and the heavy isotope of the precipitation increased slightly toward the end of the event;
- (2)
- The isotopic composition of precipitation was significantly influenced by the local meteorological factors. The δ18O in precipitation had a significant positive correlation with the temperature and a negative correlation with the precipitation amount in the sub-hourly scale during the sampling period. There was no significant correlation between δ18O and the precipitation amount and the relative humidity during the later period, indicating that the δ18O values were not governed by local meteorological factors at this time;
- (3)
- The SMWL of precipitation is presented as δ2H = 7.33 δ18O + 9.78 (R2 = 0.97, n = 170) at the sampling site, and the slope and intercept were slightly smaller compared with the GMWL and the LMWL. This indicated that the re-evaporation of the precipitation during the initial decreasing period resulted in heavy isotope enrichment;
- (4)
- The δ18O value tended to be higher when the precipitation started and toward the end of the period, with the lowest values in the middle, appearing as a “V”-shaped pattern, especially in E5. Other patterns were associated with the δ18O value variable in the later period of the events, as seen in E1 and E9;
- (5)
- Different events may have very different isotopic compositions and trends at different times. Intra-event patterns are related to local, microphysical, and air mass conditions, which favor isotopic fractionation and therefore have an effect on the final isotopic composition of precipitation [32]. Therefore, the various isotopic characteristics of precipitation largely rely on the regional climate, which plays an important role in hydrology.
Author Contributions
Funding
Conflicts of Interest
References
- Tian, L.D.; Yao, T.D.; MacClune, K.; White, J.W.C.; Schilla, A.; Vaughn, B.H.; Vachon, R.; Ichiyanagi, K. Stable isotopic variations in west China: A consideration of moisture sources. J. Geophys. Res. 2007, 112, D10112. [Google Scholar] [CrossRef]
- Yao, T.D.; Masson-Delmotte, V.; Gao, J.; Yu, W.S.; Yang, X.X.; Risi, C.; Sturm, C.; Werner, M.; Zhao, H.B.; He, Y.; et al. A review of climatic controls on δ18O in precipitation over the Tibetan Plateau: Observations and simulations. Rev. Geophys. 2013, 51, 525–548. [Google Scholar] [CrossRef]
- Brenčič, M.; Kononova, N.K.; Vreča, P. Relation between isotopic composition of precipitation and atmospheric circulation patterns. J. Hydrol. 2015, 529, 1422–1432. [Google Scholar] [CrossRef]
- Srivastava, R.; Ramesh, R.; Gandhi, N.; Jani, R.A.; Singh, A.K. Monsoon onset signal in the stable oxygen and hydrogen isotope ratios of monsoon vapor. Atmos. Environ. 2015, 108, 117–124. [Google Scholar] [CrossRef]
- Araguás-Araguás, L.; Froehlich, K.; Rozanski, K. Deuterium and oxygen-18 isotope composition of precipitation and atmospheric moisture. Hydrol. Process. 2000, 14, 1341–1355. [Google Scholar] [CrossRef]
- Ren, W.; Yao, T.D.; Xie, S.Y.; He, Y. Controls on the stable isotopes in precipitation and surface waters across the southeastern Tibetan Plateau. J. Hydrol. 2017, 545, 276–287. [Google Scholar] [CrossRef]
- Gat, J.R. Oxygen and hydrogen isotopes in the hydrologic cycle. Annu. Rev. Earth Planet. Sci. 1996, 24, 225–262. [Google Scholar] [CrossRef]
- Vuille, M.; Werner, M.; Bradley, R.S.; Keimig, F. Stable isotopes in precipitation in the Asian monsoon region. J. Geophys. Res. 2005, 110, D23108. [Google Scholar] [CrossRef]
- Liu, J.R.; Song, X.F.; Sun, X.M.; Yuan, G.F.; Liu, X.; Wang, S.Q. Isotopic composition of precipitation over arid Northwestern China and its implications for the water vapor origin. J. Geogr. Sci. 2009, 19, 164–174. [Google Scholar] [CrossRef]
- Li, G.; Zhang, X.P.; Wu, H.W.; Zhang, J.M.; Wei, N.Q.; Huang, H. Stable oxygen isotope in precipitation in relation to the meteorological factors and the moisture sources in Yunnan. J. Nat. Resour. 2014, 29, 1043–1052. (In Chinese) [Google Scholar]
- Wu, H.W.; Zhang, X.P.; Li, X.Y.; Li, G.; Huang, Y.M. Seasonal variations of deuterium and oxygen-18 isotopes and their response to moisture source for precipitation events in the subtropical monsoon region. Hydrol. Process. 2015, 29, 90–102. [Google Scholar] [CrossRef]
- Dansgaard, W. Stable isotopes in precipitations. Tellus 1964, 16, 436–468. [Google Scholar] [CrossRef]
- Xia, C.C.; Liu, G.D.; Mei, J.; Meng, Y.C.; Liu, W.; Hu, Y. Characteristics of hydrogen and oxygen stable isotopes in precipitation and the environmental controls in tropical monsoon climatic zone. Int. J. Hydrog. Energy 2019, 44, 5417–5427. [Google Scholar] [CrossRef]
- Breitenbach, S.F.M.; Adkins, J.F.; Meyer, H.; Marwan, N.; Kumar, K.K.; Haug, G.H. Strong influence of water vapor source dynamics on stable isotopes in precipitation observed in Southern Meghalaya, NE India. Earth Planet. Sci. Lett. 2010, 292, 212–220. [Google Scholar] [CrossRef]
- Kong, Y.L.; Wang, K.; Li, J.; Pang, Z.H. Stable Isotopes of Precipitation in China: A Consideration of Moisture Sources. Water 2019, 11, 1239. [Google Scholar] [CrossRef]
- Stumpp, C.; Klaus, J.; Stichler, W. Analysis of long-term stable isotopic composition in German precipitation. J. Hydrol. 2014, 517, 351–361. [Google Scholar] [CrossRef]
- Xie, L.H.; Wei, G.J.; Deng, W.F.; Zhao, X.L. Daily δ18O and δD of precipitations from 2007 to 2009 in Guangzhou, South China: Implications for changes of moisture sources. J. Hydrol. 2011, 400, 477–489. [Google Scholar] [CrossRef]
- Xu, T.; Sun, X.S.; Hong, H.; Wang, X.Y.; Cui, M.Y.; Lei, G.L.; Gao, L.; Liu, J.; Mahjoor, A.L.; Jiang, X.Y. Stable isotope ratios of typhoon rains in Fuzhou, Southeast China, during 2013–2017. J. Hydrol. 2019, 570, 445–453. [Google Scholar] [CrossRef]
- Li, J.; Tao, T.; Pang, Z.H.; Tan, M.; Kong, Y.L.; Duan, W.H.; Zhang, Y.W. Identification of different moisture sources through isotopic monitoring during a storm event. J. Hydrometeorol. 2015, 16, 1918–1927. [Google Scholar] [CrossRef]
- Celle-Jeanton, H.; Gonfiantini, R.; Travi, Y.; Sol, B. Oxygen18 variations of rainwater during precipitation: Application of the Rayleigh model to selected rainfalls in southern France. J. Hydrol. 2004, 289, 165–177. [Google Scholar] [CrossRef]
- Coplen, T.B.; Neiman, P.J.; White, A.B.; Landwehr, J.M.; Ralph, F.M.; Dettinger, M.D. Extreme changes in stable hydrogen isotopes and precipitation characteristics in a landfalling Pacific storm. Geophys. Res. Lett. 2008, 35, L21808. [Google Scholar] [CrossRef]
- Barras, V.; Simmonds, I. Observation and modelling of stable water isotopes as diagnostics of rainfall dynamics over southeastern Australia. J. Geophys. Res. 2009, 114, 1–17. [Google Scholar] [CrossRef]
- Miyake, Y. An isotopic study on meteoric precipitation. Pap. Meteorol. Geophys. 1968, 19, 243–266. [Google Scholar] [CrossRef]
- Munksgaard, N.; Wurster, C.; Bass, A.; Bird, M. Extreme short term stable isotope variability revealed by continuous rainwater analysis. Hydrol. Process. 2012, 26, 3630–3634. [Google Scholar] [CrossRef]
- Zhang, P.L. A Study of the Human—Environment Relationship in Lanzhou Basin Based on Topography. Master’s Thesis, Lanzhou University, Lanzhou, China, 2017. [Google Scholar]
- Yao, T.D.; Zhou, H.; Yang, X.X. Indian monsoon influences altitude effect of δ18O in precipitation/river water on the Tibetan Plateau. Chin. Sci. Bull. 2009, 54, 2724–2731. [Google Scholar] [CrossRef]
- Hu, J.Q.; Liu, W.F.; Chang, Z.M.; Zhang, J.X. Study on variation signal of precipitation in Lanzhou from 1951 to 2015. Water Res. Hydropower Eng. 2017, 48, 8–12. [Google Scholar]
- Huff, F.A. Time distribution of rainfall in heavy storms. Water Resour. Res. 1967, 3, 1007–1019. [Google Scholar] [CrossRef]
- Han, T.T.; Zhang, M.J.; Wang, S.J.; Du, Q.Q.; Ma, Z.Z.; Guo, R.; Cao, Y.F. Characteristics of stable isotopes and moisture sources of two typical precipitation events in Lanzhou. Environ. Sci. 2020, 9, 1–14. (In Chinese) [Google Scholar]
- Benetti, M.; Reverdin, G.; Pierre, C.; Merlivat, L.; Risi, C.; Steen-Larsen, H.C.; Vimeux, F. Deuterium excess in marine water vapor: Dependency on relative humidity and surface wind speed during evaporation. J. Geophys. Res. 2014, 119, 584–593. [Google Scholar] [CrossRef]
- Tian, C.; Wang, L.X. Stable isotope variations of daily precipitation from 2014–2018 in the central United States. Sci. Data 2019, 6, 190018. [Google Scholar] [CrossRef]
- Gat, J.R. Atmospheric water balance—The isotopic perspective. Hydrol. Processes 2000, 14, 1357–1369. [Google Scholar] [CrossRef]
- Trenberth, K.E. Atmospheric moisture residence times and cycling: Implications for rainfall rates and climate change. Clim. Chang. 1998, 39, 667–694. [Google Scholar] [CrossRef]
- Gonfiantini, R.; Roche, M.; Olivry, J.; Fontes, J.; Zuppi, G.M. The altitude effect on the isotopic composition of tropical rains. Chem. Geol. 2001, 181, 147–167. [Google Scholar] [CrossRef]
- Du, M.X.; Zhang, M.J.; Wang, S.J.; Chen, F.L.; Zhao, P.P.; Zhou, S.E.; Zhang, Y.N. Stable Isotope Ratios in Tap Water of a Riverside City in a Semi-Arid Climate: An Application to Water Source Determinatio. Water 2019, 11, 1441. [Google Scholar] [CrossRef]
- Craig, H. Isotopic variations in meteoric waters. Science 1961, 133, 1702–1703. [Google Scholar] [CrossRef] [PubMed]
- Chen, F.L.; Zhang, M.J.; Ma, Q.; Li, X.F.; Wang, S.J.; Li, F. Characteristics of δ18O in precipitation and water vapor sources in Lanzhou city and its surrounding area. Environ. Sci. 2013, 34, 3755–3763. (In Chinese) [Google Scholar]
- He, S.N.; Goodkin, N.F.; Kurita, N.; Wang, X.F.; Rubin, C.M. Stable isotopes of precipitation during tropical Sumatra squalls in Singapore. Geophys. Res. 2018, 123, 3812–3829. [Google Scholar] [CrossRef]
- Lee, J.E.; Fung, I. “Amount effect” of water isotopes and quantitative analysis of post–condensation processes. Hydrol. Process. 2008, 22, 1–8. [Google Scholar] [CrossRef]
- Ma, Q.; Zhang, M.J.; Wang, S.J.; Wang, B.L. Contributions of moisture from local evaporation to precipitations in Southeast China based on hydrogen and oxygen isotopes. Prog. Geography. 2013, 32, 1712–1720. (In Chinese) [Google Scholar]
- Zhang, M.J.; Wang, S.J. A review of precipitation isotope studies in China: Basic pattern and hydrological process. J. Geogr. Sci. 2016, 26, 921–938. [Google Scholar] [CrossRef]
- Sun, C.J.; Chen, Y.N.; Li, J.; Chen, W.; Li, X.G. Stable isotope variations in precipitation in the northwestern most Tibetan Plateau related to various meteorological controlling factors. Atmos. Res. 2019, 227, 66–78. [Google Scholar] [CrossRef]
- Li, Z.X.; Feng, Q.; Yong, S.; Wang, Q.J.; Jiao, Y.; Li, Y.G.; Li, J.G.; Guo, X.Y. Stable isotope composition of precipitation in the south and north slopes of Wushaoling Mountain, northwestern China. Atmos. Res. 2016, 182, 87–101. [Google Scholar] [CrossRef]
- Adar, E.M.; Karnieli, A.; Sandler, B.Z.; Issar, A.; Wolf, M.; Landsman, L. A Mechanical Sequential Rain Sampler for Isotopic and Chemical Analyses; Final Scientific Report, contract no. 5542/RO/Rb; IAEA: Vienna, Austria, 1991. [Google Scholar]
- Muller, C.L.; Baker, A.; Fairchild, I.J.; Kidd, C.; Boomer, I. Intra-event trends in stable isotopes: Exploring midlatitude precipitation using a vertically pointing micro rain radar. J. Hydrometeorol. 2015, 16, 194–213. [Google Scholar] [CrossRef]
- Stewart, M.K. Stable isotope fractionation due to evaporation and isotopic exchange of falling waterdrops: Applications to atmospheric processes and evaporation of lakes. J. Geophys. Res. 1975, 80, 1133–1146. [Google Scholar] [CrossRef]
- Gat, J.R.; Bowser, C.J.; Kendall, C. The contribution of evaporation from the Great Lakes to the continental atmosphere: Estimate based on stable isotope data. Geophys. Res. Lett. 1994, 21, 557–560. [Google Scholar] [CrossRef]
- Huang, W.; Chen, J.H.; Zhang, X.J.; Feng, S.; Chen, F.H. Definition of the core zone of the “westerlies-dominated climatic regime”, and its controlling factors during the instrumental period. Sci. China Earth Sci. 2015, 58, 676–684. [Google Scholar] [CrossRef]





| No. | Date | Number of Samples | Isotopic Pattern | Start Time (hh:mm) | Rain Amount (mm) | Duration (min) | δ18O (‰) | ||||
|---|---|---|---|---|---|---|---|---|---|---|---|
| Initial | Min | Max | Max-Min | Average | |||||||
| E1 | 14 June 2019 | 13 | Decreasing | 15:10 | 17.50 | 130 | −0.7 | -4.1 | −0.7 | 3.4 | −3.1 |
| E2 | 15 July 2019 | 11 | Stationary | 08:15 | 2.05 | 110 | −4.9 | −6.0 | −4.9 | 1.2 | −5.4 |
| E3 | 19 July 2019 | 17 | V-shaped | 06:40 | 7.40 | 170 | −5.2 | −7.1 | −5.2 | 1.9 | −6.2 |
| E4 | 21 July 2019 | 22 | others | 06:56 | 5.75 | 220 | −1.3 | −4.4 | −0.8 | 3.6 | −3.1 |
| E5 | 20 August 2019 | 31 | V-shaped | 09:55 | 11.35 | 310 | −7.8 | −10.9 | −7.2 | 3.7 | −9.0 |
| E6 | 30 August 2019 | 10 | V-shaped | 10:04 | 2.95 | 100 | 0.3 | −1.3 | 0.3 | 1.6 | −0.7 |
| E7 | 9 September 2019 | 14 | others | 07:34 | 6.00 | 140 | −6.8 | −7.3 | −5.1 | 2.3 | −6.3 |
| E8 | 12 September 2019 | 11 | Decreasing | 12:24 | 8.80 | 110 | −9.6 | −14.0 | −9.5 | 4.5 | −11.9 |
| E9 | 15 October 2019 | 37 | L-shaped | 07:54 | 10.90 | 370 | −8.6 | −17.4 | −8.6 | 8.9 | −14.6 |
| Meteorological Variables | δ18O | ||
|---|---|---|---|
| Entire Sampling Period | Initial Decreasing Period | Later Period | |
| Air temperature (T) | 0.84 ** (n = 170) | 0.74 ** (n = 62) | 0.89 ** (n = 108) |
| Precipitation amount (P) | −0.31 ** (n = 170) | −0.14 (n = 62) | −0.46 ** (n = 108) |
| Relative humidity (RH) | −0.20 (n = 170) | −0.30 * (n = 62) | −0.11 (n = 108) |
© 2020 by the authors. Licensee MDPI, Basel, Switzerland. This article is an open access article distributed under the terms and conditions of the Creative Commons Attribution (CC BY) license (http://creativecommons.org/licenses/by/4.0/).
Share and Cite
Han, T.; Zhang, M.; Wang, S.; Qu, D.; Du, Q. Sub-Hourly Variability of Stable Isotopes in Precipitation in the Marginal Zone of East Asian Monsoon. Water 2020, 12, 2145. https://doi.org/10.3390/w12082145
Han T, Zhang M, Wang S, Qu D, Du Q. Sub-Hourly Variability of Stable Isotopes in Precipitation in the Marginal Zone of East Asian Monsoon. Water. 2020; 12(8):2145. https://doi.org/10.3390/w12082145
Chicago/Turabian StyleHan, Tingting, Mingjun Zhang, Shengjie Wang, Deye Qu, and Qinqin Du. 2020. "Sub-Hourly Variability of Stable Isotopes in Precipitation in the Marginal Zone of East Asian Monsoon" Water 12, no. 8: 2145. https://doi.org/10.3390/w12082145
APA StyleHan, T., Zhang, M., Wang, S., Qu, D., & Du, Q. (2020). Sub-Hourly Variability of Stable Isotopes in Precipitation in the Marginal Zone of East Asian Monsoon. Water, 12(8), 2145. https://doi.org/10.3390/w12082145

