Evaluation of Reservoir-Induced Hydrological Alterations and Ecological Flow Based on Multi-Indicators
Abstract
1. Introduction
2. Materials and Methods
2.1. Study Area
2.2. Data
2.3. Methods
2.3.1. Ecosurplus and Ecodeficit
2.3.2. Evaluation of Hydrological Alteration
2.3.3. Evaluation of Biodiversity
3. Results and discussion
3.1. Variations in Eco-Flow Indicators
3.1.1. Changes in Flow Components from the Perspective of Eco-Flow Indicators
3.1.2. Relationship between Eco-Flow Indicators and Precipitation
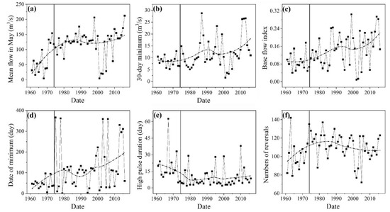
3.2. Hydrological Regime Alteration Using the IHA Method
3.3. Impact of Hydrological Alteration on Downstream Biodiversity
3.3.1. Ecologically Relevant Hydrological Indicators
3.3.2. Ecological Diversity Indicator: SI
3.4. Comparison between Ecological Indicators and IHA Indicators
3.5. Suggestions Regarding the Operation of Reservoirs to Protect River Ecology
4. Conclusions
- (1)
- Eco-flow indicators (ecosurplus and ecodeficit) can be used to analyze the annual and seasonal eco-flow variation due to the construction of the reservoir. After SWR was constructed, the high-flow value and frequency decreased, especially in autumn, which made the high-flow lower than 25% FDC, resulting in an ecodeficit; the post-reservoir low-flow value significantly increased, making the low-flow above 75% FDC and producing ecosurplus, especially in spring and summer.
- (2)
- The relationship between the eco-flow indicators and precipitation can reflect the main factors affecting the eco-flow indicators. The annual ecosurplus is less affected by the reservoir, while the ecodeficit is greatly affected by the reservoir. Moreover, the seasonal ecological indicators are greatly affected by the reservoir, especially in spring and summer.
- (3)
- After the SWR was constructed, the 32 IHAs showed significant changes, which were consistent with the changes in the ecosurplus and ecodeficit. Six ERHIs were screened by PCA, and their changes reduced the downstream ecological diversity. The ecological diversity was mainly controlled by reservoir regulation, and a new equilibrium state appeared.
- (4)
- The eco-flow indicators have a good correlation with the 32 IHAs and can reflect the change information of most IHAs. Therefore, the eco-flow indicators can reflect the changing characteristics of the hydrological regime under the influence of the reservoir and provide a good evaluation standard. At the same time, the calculation of the ecosurplus and ecodeficit is independent of IHA, thus avoiding statistical redundancy.
Author Contributions
Funding
Acknowledgments
Conflicts of Interest
References
- Stevenson, R.J.; Sabater, S. Understanding effects of global change on river ecosystems: Science to support policy in a changing world. Hydrobiologia 2010, 657, 3–18. [Google Scholar] [CrossRef]
- Palmer, M.A.; Lettenmaier, D.P.; Poff, N.L.; Postel, S.L.; Richter, B.; Warner, R. Climate change and river ecosystems: Protection and adaptation options. Environ. Manag. 2009, 44, 1053. [Google Scholar] [CrossRef] [PubMed]
- Johnson, A.C.; Acreman, M.C.; Dunbar, M.J.; Feist, S.W.; Giacomello, A.M.; Gozlan, R.E.; Hinsley, S.A.; Ibbotson, A.T.; Jarvie, H.P.; Jones, J.I. The British river of the future: How climate change and human activity might affect two contrasting river ecosystems in England. Sci. Total Environ. 2009, 407, 4787–4798. [Google Scholar] [CrossRef] [PubMed]
- Li, M.; Liang, X.; Xiao, C.; Cao, Y.; Hu, S. Hydrochemical Evolution of Groundwater in a Typical Semi-Arid Groundwater Storage Basin Using a Zoning Model. Water 2019, 11, 1334. [Google Scholar] [CrossRef]
- Leroy, P.N.; Olden, J.D.; Merritt, D.M.; Pepin, D.M. Homogenization of regional river dynamics by dams and global biodiversity implications. Proc. Natl. Acad. Sci. USA 2007, 104, 5732–5737. [Google Scholar]
- Yin, X.-A.; Yang, Z.-F.; Petts, G.E. Reservoir operating rules to sustain environmental flows in regulated rivers. Water Resour. Res. 2011, 47. [Google Scholar] [CrossRef]
- Christer, N.; Reidy, C.A.; Mats, D.; Carmen, R. Fragmentation and flow regulation of the world’s large river systems. Science 2005, 308, 405–408. [Google Scholar]
- Batalla, R.J.; Gómez, C.M.; Kondolf, G.M. Reservoir-induced hydrological changes in the Ebro River basin (NE Spain). J. Hydrol. 2004, 290, 117–136. [Google Scholar] [CrossRef]
- Williams, G.P.; Wolman, M.G. The Downstream Effects of Dams on Alluvial Rivers; US Government Printing Office: Washington, DC, USA, 1984; Volume 1286.
- Yang, Y.-C.E.; Cai, X.; Herricks, E.E. Identification of hydrologic indicators related to fish diversity and abundance: A data mining approach for fish community analysis. Water Resour. Res. 2008, 44. [Google Scholar] [CrossRef]
- Yihdego, Y.; Webb, J. Validation of a model with climatic and flow scenario analysis: Case of Lake Burrumbeet in southeastern Australia. Environ. Monit. Assess. 2016, 188, 308.1–308.14. [Google Scholar] [CrossRef]
- Yihdego, Y.; Webb, J. Assessment of wetland hydrological dynamics in a modified catchment basin: Case of Lake Buninjon, Victoria, Australia. Water Environ. Res. 2017, 89, 144–154. [Google Scholar] [CrossRef] [PubMed]
- Yihdego, Y.; Reta, G.; Becht, R. Human impact assessment through a transient numerical modeling on the UNESCO World Heritage Site, Lake Naivasha, Kenya. Environ. Earth Sci. 2017, 76, 9. [Google Scholar] [CrossRef]
- Yihdego, Y. Evaluation of flow reduction due to hydraulic barrier engineering structure: Case of urban area flood, contamination and pollution risk assessment. Geotech. Geol Eng. 2016, 34, 1–12. [Google Scholar] [CrossRef]
- Olden, J.D.; Poff, N.L. Redundancy and the choice of hydrologic indices for characterizing streamflow regimes. River Res. Appl. 2003, 19, 101–121. [Google Scholar] [CrossRef]
- Richter, B.D.; Baumgartner, J.V.; Powell, J.; Braun, D.P. A method for assessing hydrologic alteration within ecosystems. Conserv. Biol. 1996, 10, 1163–1174. [Google Scholar] [CrossRef]
- Richter, B.D.; Baumgartner, J.V.; Braun, D.P.; Powell, J. A spatial assessment of hydrologic alteration within a river network. River Res. Appl. 1998, 14, 329–340. [Google Scholar] [CrossRef]
- Shiau, J.-T.; Wu, F.-C. Pareto-optimal solutions for environmental flow schemes incorporating the intra-annual and interannual variability of the natural flow regime. Water Resour. Res. 2007, 43. [Google Scholar] [CrossRef]
- Black, A.R.; Rowan, J.S.; Duck, R.W.; Bragg, O.M.; Clelland, B.E. DHRAM: A method for classifying river flow regime alterations for the EC Water Framework Directive. Aquat. Conserv. Mar. Freshw. Ecosyst. 2005, 15, 427–446. [Google Scholar] [CrossRef]
- Richter, B.; Baumgartner, J.; Wigington, R.; Braun, D. How much water does a river need? Freshw. Biol. 1997, 37, 231–249. [Google Scholar] [CrossRef]
- Gao, Y.; Vogel, R.M.; Kroll, C.N.; Poff, N.L.; Olden, J.D. Development of representative indicators of hydrologic alteration. J. Hydrol. 2009, 374, 136–147. [Google Scholar] [CrossRef]
- Gao, B.; Yang, D.; Zhao, T.; Yang, H. Changes in the eco-flow metrics of the Upper Yangtze River from 1961 to 2008. J. Hydrol. 2012, 448, 30–38. [Google Scholar] [CrossRef]
- Zhang, Q.; Gu, X.; Singh, V.P.; Chen, X. Evaluation of ecological instream flow using multiple ecological indicators with consideration of hydrological alterations. J. Hydrol. 2015, 529, 711–722. [Google Scholar] [CrossRef]
- Vogel, R.M.; Sieber, J.; Archfield, S.A.; Smith, M.P.; Apse, C.D.; Huber-Lee, A. Relations among storage, yield, and instream flow. Water Resour. Res. 2007, 43. [Google Scholar] [CrossRef]
- Kroll, C.N.; Croteau, K.E.; Vogel, R.M. Hypothesis tests for hydrologic alteration. J. Hydrol. 2015, 530, 117–126. [Google Scholar] [CrossRef]
- Zhang, Q.; Zhang, Z.; Shi, P.; Singh, V.P.; Gu, X. Evaluation of ecological instream flow considering hydrological alterations in the Yellow River basin, China. Glob. Planet. Chang. 2018, 160, 61–74. [Google Scholar] [CrossRef]
- Wang, G.Q.; Wang, X.Z.; Zhang, J.Y.; Jin, J.L.; Liu, C.S.; Yan, X.L. Hydrological Characteristics and Its Responses to Climate Change for Typical River Basin in Northeastern China. Sci. Geogr. Sin. 2011, 31, 641–646. [Google Scholar]
- Zhang, Y.; Wang, D.M.; Wang, X.Q. Effects of Reservoir Construction on Flow Regimes in the Taizi River. Res. Environ. Sci. 2012, 25, 363–371. [Google Scholar]
- Vogel, R.M.; Fennessey, N.M. Flow Duration Curves Ii: A Review of Applications in Water Resources Planning. J. Am. Water Resour. Assoc. 1995, 31, 1029–1039. [Google Scholar] [CrossRef]
- Wang, Y.; Wang, D.; Lewis, Q.W.; Wu, J.; Huang, F. A framework to assess the cumulative impacts of dams on hydrological regime: A case study of the Yangtze River. Hydrol. Process. 2017, 31, 3045–3055. [Google Scholar] [CrossRef]
- The Nature Conservancy. Indicators of Hydrologic Alteration, Version 7.1 User’s Manual; TNC Arlington: Arlington, VA, USA, 2009. [Google Scholar]
- Jackson, D.A. Stopping Rules in Principal Components Analysis: A Comparison of Heuristical and Statistical Approaches. Ecology 1993, 74, 2204–2214. [Google Scholar] [CrossRef]
- Shannon, C.E.; Weaver, W. The Mathematical Theory of Communication; The University of Illinois Press: Urbana, IL, USA, 1959. [Google Scholar]
- Pettersson, M. Monitoring a Freshwater Fish Population: Statistical Surveillance of Biodiversity. Environmetrics 2015, 9, 139–150. [Google Scholar] [CrossRef]
- Yang, Y.; Cai, X. Reservoir reoperation for fish ecosystem restoration using daily inflows—Case study of Lake Shelbyville. J. Water Resour. Plan. Manag. 2011, 137, 470–480. [Google Scholar] [CrossRef]
- Zhang, Q.; Xiao, M.; Liu, C.-L.; Singh, V.P. Reservoir-induced hydrological alterations and environmental flow variation in the East River, the Pearl River basin, China. Stoch. Environ. Res. Risk Assess. 2014, 28, 2119–2131. [Google Scholar] [CrossRef]
- Dugan, P.J.; Barlow, C.; Agostinho, A.A.; Baran, E.; Cada, G.F.; Chen, D.; Cowx, I.G.; Ferguson, J.W.; Jutagate, T.; Mallencooper, M. Fish Migration, Dams, and Loss of Ecosystem Services in the Mekong Basin. Ambio 2010, 39, 344–348. [Google Scholar] [CrossRef]
- Larinier, M. Environmental issues, dams and fish migration. FAO Fish. Tech. Pap. 2001, 419, 45–89. [Google Scholar]









| Names | Construction Duration | Drainage Area (km2) | Total Capacity (108 m3) | Average Annual Runoff (108 m3) |
|---|---|---|---|---|
| Guanyinge (GYG reservoir) | 1990–1995 | 2795 | 21.680 | 9.85 |
| Shenwo (SWR) | 1960–1974 | 3380 | 7.910 | 24.50 |
| Tanghe (TH reservoir) | 1958–1969 | 1228 | 7.065 | 2.93 |
| IHA Parameter Group | Hydrologic Parameters |
|---|---|
| 1. Magnitude of monthly water conditions | Mean value for each calendar month: Mean flow in January; mean flow in February; mean flow in March; mean flow in April; mean flow in May; mean flow in June; mean flow in July; mean flow in August; mean flow in September; mean flow in October; mean flow in November; mean flow in December |
| 2. Magnitude and duration of annual extreme water conditions | 1-day minimum; 3-day minimum; 7-day minimum; 30-day minimum; 90-day minimum; 1-day maximum; 3-day maximum; 7-day maximum; 30-day maximum; 90-day maximum; base flow index (7-day minimum flow/mean flow for year) |
| 3. Timing of annual extreme water conditions | Day of year of each annual 1-day maximum: date of minimum;Day of year of each annual 1-day minimum: date of maximum; |
| 4. Frequency and duration of high and low pulses | Number of low pulses within each water year: low pulse count;mean or median duration of low pulses (days): low pulse duration;number of high pulses within each water year: high pulse count;mean or median duration of high pulses (days) high pulse duration |
| 5. Rate and frequency of water condition changes | Mean of all positive differences between consecutive daily values: rise rates;mean of all negative differences between consecutive daily values: fall rates;number of hydrologic reversals: numbers of reversals |
| Correlation Coefficient | Annual | Spring | Summer | Autumn | Winter | |||||
|---|---|---|---|---|---|---|---|---|---|---|
| Eoc-s 1 | Ecod 1 | Ecos | Ecod | Ecos | Ecod | Ecos | Ecod | Ecos | Ecod | |
| Before SWR | 0.76 | −0.68 | 0.53 | −0.24 | 0.60 | −0.52 | 0.70 | −0.66 | 0.50 | −0.34 |
| After SWR | 0.80 | −0.44 | 0.17 | −0.04 | 0.10 | −0.08 | 0.79 | −0.61 | 0.25 | −0.10 |
| IHA | Units | Pre-Reservoir (1961–1974) | Post-Reservoir (1975–2017) | Relative Change (%) |
|---|---|---|---|---|
| Mean flow in January | m3/s | 10.64 | 20.40 | 0.921 |
| Mean flow in February | m3/s | 8.89 | 19.49 | 1.19 |
| Mean flow in March | m3/s | 22.81 | 21.39 | −0.06 |
| Mean flow in April | m3/s | 47.18 | 28.41 | −0.40 |
| Mean flow in May | m3/s | 50.81 | 123.57 | 1.43 |
| Mean flow in June | m3/s | 41.97 | 83.69 | 0.99 |
| Mean flow in July | m3/s | 116.86 | 120.62 | 0.03 |
| Mean flow in August | m3/s | 276.87 | 148.98 | −0.46 |
| Mean flow in September | m3/s | 100.88 | 58.99 | −0.42 |
| Mean flow in October | m3/s | 55.53 | 40.43 | −0.27 |
| Mean flow in November | m3/s | 37.82 | 31.18 | −0.18 |
| Mean flow in December | m3/s | 18.95 | 24.41 | 0.29 |
| 1-day minimum | m3/s | 6.83 | 8.29 | 0.21 |
| 3-day minimum | m3/s | 7.07 | 8.66 | 0.22 |
| 7-day minimum | m3/s | 7.46 | 9.53 | 0.28 |
| 30-day minimum | m3/s | 8.38 | 11.97 | 0.43 |
| 90-day minimum | m3/s | 16.53 | 16.97 | 0.03 |
| 1-day maximum | m3/s | 1455.91 | 787.36 | −0.46 |
| 3-day maximum | m3/s | 1265.55 | 713.57 | −0.44 |
| 7-day maximum | m3/s | 948.76 | 570.27 | −0.40 |
| 30-day maximum | m3/s | 477.75 | 311.08 | −0.35 |
| 90-day maximum | m3/s | 255.91 | 178.88 | −0.30 |
| Base flow index | m3/s | 0.10 | 0.14 | 0.45 |
| Date of minimum | day | 102.55 | 125.13 | 0.22 |
| Date of maximum | day | 203.73 | 202.62 | −0.01 |
| Low pulse count | - | 3.82 | 6.16 | 0.61 |
| Low pulse duration | day | 14.50 | 9.70 | −0.33 |
| High pulse count | - | 4.09 | 7.38 | 0.80 |
| High pulse duration | day | 15.64 | 10.88 | −0.30 |
| Rise rate | m3/s/day | 2.17 | 2.41 | 0.11 |
| Fall rate | m3/s/day | −2.31 | −2.12 | −0.08 |
| Numbers of reversals | - | 99.64 | 111.20 | 0.12 |
| IHAs | PC1 | PC2 | PC3 | PC4 | PC5 | PC6 |
|---|---|---|---|---|---|---|
| Mean flow in January | 0.66 | 0.62 | 0.23 | 0.02 | −0.13 | 0.07 |
| Mean flow in February | 0.60 | 0.58 | 0.33 | 0.09 | 0.00 | 0.12 |
| Mean flow in March | 0.65 | 0.20 | 0.17 | 0.16 | −0.46 | 0.30 |
| Mean flow in April | 0.36 | −0.27 | −0.51 | 0.03 | −0.39 | 0.46 |
| Mean flow in May | 0.38 | 0.36 | −0.661 | 0.30 | 0.56 | 0.12 |
| Mean flow in June | 0.46 | 0.21 | −0.54 | 0.56 | 0.27 | 0.12 |
| Mean flow in July | 0.65 | −0.36 | −0.11 | 0.30 | 0.20 | −0.11 |
| Mean flow in August | 0.60 | −0.61 | 0.21 | 0.00 | −0.03 | 0.16 |
| Mean flow in September | 0.67 | −0.50 | 0.09 | −0.16 | 0.09 | −0.14 |
| Mean flow in October | 0.67 | −0.16 | −0.15 | −0.28 | −0.08 | −0.07 |
| Mean flow in November | 0.60 | 0.04 | −0.47 | −0.25 | −0.11 | −0.31 |
| Mean flow in December | 0.60 | 0.23 | −0.22 | −0.22 | 0.10 | −0.33 |
| 1-day minimum | 0.82 | 0.44 | 0.18 | 0.06 | −0.05 | −0.14 |
| 3-day minimum | 0.82 | 0.45 | 0.20 | 0.04 | −0.04 | −0.12 |
| 7-day minimum | 0.79 | 0.53 | 0.21 | 0.02 | −0.05 | −0.07 |
| 30-day minimum | 0.85 | 0.59 | 0.20 | −0.01 | −0.05 | −0.08 |
| 90-day minimum | 0.74 | 0.30 | 0.19 | −0.05 | −0.24 | 0.04 |
| 1-day maximum | 0.67 | −0.63 | 0.24 | −0.12 | 0.16 | 0.05 |
| 3-day maximum | 0.68 | −0.61 | 0.23 | −0.14 | 0.17 | 0.04 |
| 7-day maximum | 0.70 | −0.59 | 0.20 | −0.11 | 0.15 | 0.06 |
| 30-day maximum | 0.72 | −0.61 | 0.18 | −0.01 | 0.13 | 0.13 |
| 90-day maximum | 0.75 | −0.60 | 0.12 | 0.06 | 0.13 | 0.07 |
| Base flow index | 0.16 | 0.84 | 0.23 | −0.01 | −0.03 | −0.03 |
| Date of minimum | −0.24 | 0.34 | 0.37 | −0.21 | 0.09 | 0.56 |
| Date of maximum | 0.12 | −0.37 | 0.05 | −0.38 | −0.10 | 0.13 |
| Low pulse count | −0.73 | 0.15 | 0.22 | −0.28 | 0.09 | 0.03 |
| Low pulse duration | −0.18 | −0.26 | −0.21 | 0.63 | −0.21 | 0.22 |
| High pulse count | 0.22 | 0.47 | −0.36 | −0.28 | 0.13 | 0.10 |
| High pulse duration | 0.07 | −0.27 | 0.13 | 0.74 | −0.10 | −0.31 |
| Rise rate | 0.69 | 0.09 | −0.58 | −0.06 | −0.06 | 0.17 |
| Fall rate | −0.77 | 0.00 | 0.56 | 0.05 | 0.11 | 0.00 |
| Number of reversals | 0.12 | 0.50 | −0.14 | −0.03 | 0.61 | 0.28 |
| 32 IHAs | Spring | Summer | Autumn | Winter | Year | |||||
|---|---|---|---|---|---|---|---|---|---|---|
| Ecos 1 | Ecod | Ecos | Ecod | Ecos | Ecod | Ecos | Ecod | Ecos | Ecod | |
| Mean flow in January | 0.772 | −0.41 | 0.20 | −0.28 | −0.03 | −0.11 | 0.17 | −0.16 | 0.10 | −0.16 |
| Mean flow in February | 0.80 | −0.29 | 0.21 | −0.22 | −0.04 | −0.15 | 0.15 | −0.25 | 0.13 | −0.17 |
| Mean flow in March | 0.65 | −0.58 | 0.35 | −0.38 | 0.10 | −0.22 | 0.09 | −0.31 | 0.17 | −0.35 |
| Mean flow in April | 0.04 | −0.25 | 0.41 | −0.30 | 0.27 | −0.25 | 0.16 | −0.22 | 0.30 | −0.32 |
| Mean flow in May | 0.32 | −0.39 | 0.49 | −0.55 | 0.09 | −0.06 | 0.25 | −0.15 | 0.15 | −0.28 |
| Mean flow in June | 0.20 | −0.29 | 0.54 | −0.42 | 0.26 | −0.26 | 0.42 | −0.19 | 0.38 | −0.39 |
| Mean flow in July | 0.07 | −0.35 | 0.29 | −0.35 | 0.52 | −0.64 | 0.29 | −0.38 | 0.55 | −0.64 |
| Mean flow in August | −0.04 | −0.29 | 0.18 | −0.25 | 0.91 | −0.60 | 0.47 | −0.41 | 0.90 | −0.55 |
| Mean flow in September | 0.06 | −0.32 | 0.06 | −0.31 | 0.74 | −0.66 | 0.63 | −0.59 | 0.79 | −0.63 |
| Mean flow in October | 0.06 | −0.35 | 0.15 | −0.28 | 0.52 | −0.43 | 0.84 | −0.59 | 0.61 | −0.52 |
| Mean flow in November | 0.08 | −0.33 | 0.22 | −0.24 | 0.35 | −0.46 | 0.75 | −0.65 | 0.47 | −0.51 |
| Mean flow in December | 0.34 | −0.31 | 0.21 | −0.25 | 0.28 | −0.30 | 0.63 | −0.50 | 0.44 | −0.35 |
| 1-day minimum | 0.68 | −0.60 | 0.43 | −0.44 | 0.13 | −0.40 | 0.40 | −0.50 | 0.30 | −0.46 |
| 3-day minimum | 0.68 | −0.60 | 0.43 | −0.44 | 0.13 | −0.39 | 0.40 | −0.50 | 0.30 | −0.46 |
| 7-day minimum | 0.65 | −0.61 | 0.40 | −0.45 | 0.10 | −0.36 | 0.38 | −0.50 | 0.27 | −0.45 |
| 30-day minimum | 0.64 | −0.56 | 0.36 | −0.43 | 0.09 | −0.27 | 0.38 | −0.46 | 0.26 | −0.37 |
| 90-day minimum | 0.69 | −0.55 | 0.23 | −0.40 | 0.16 | −0.37 | 0.39 | −0.50 | 0.33 | −0.44 |
| 1-day maximum | −0.05 | −0.25 | 0.05 | −0.11 | 0.78 | −0.73 | 0.43 | −0.42 | 0.78 | −0.65 |
| 3-day maximum | −0.04 | −0.25 | 0.04 | −0.10 | 0.76 | −0.72 | 0.45 | −0.42 | 0.77 | −0.65 |
| 7-day maximum | −0.05 | −0.26 | 0.08 | −0.10 | 0.77 | −0.72 | 0.47 | −0.43 | 0.79 | −0.65 |
| 30-day maximum | −0.05 | −0.31 | 0.18 | −0.21 | 0.90 | −0.72 | 0.46 | −0.47 | 0.89 | −0.68 |
| 90-day maximum | −0.01 | −0.35 | 0.23 | −0.29 | 0.90 | −0.74 | 0.50 | −0.49 | 0.90 | −0.72 |
| Base flow index | 0.48 | −0.44 | 0.21 | −0.32 | −0.37 | 0.23 | −0.11 | −0.09 | −0.30 | 0.09 |
| Date of minimum | 0.30 | −0.11 | 0.07 | 0.01 | −0.24 | 0.23 | −0.25 | 0.18 | −0.24 | 0.25 |
| Date of maximum | 0.11 | −0.16 | −0.09 | −0.09 | 0.23 | −0.25 | 0.24 | −0.26 | 0.21 | −0.30 |
| Low pulse count | −0.31 | 0.39 | −0.34 | 0.36 | −0.29 | 0.65 | −0.34 | 0.61 | −0.38 | 0.73 |
| Low pulse duration | −0.22 | 0.12 | 0.12 | 0.04 | 0.02 | −0.04 | −0.15 | 0.25 | −0.02 | −0.01 |
| High pulse count | 0.24 | −0.11 | 0.27 | −0.24 | −0.21 | 0.13 | 0.20 | −0.25 | −0.12 | −0.04 |
| High pulse duration | −0.10 | −0.08 | 0.19 | −0.16 | 0.39 | −0.27 | 0.38 | −0.06 | 0.41 | −0.27 |
| Rise rate | 0.12 | −0.39 | 0.47 | −0.43 | 0.34 | −0.43 | 0.60 | −0.53 | 0.44 | −0.56 |
| Fall rate | −0.24 | 0.45 | −0.51 | 0.45 | −0.33 | 0.52 | −0.56 | 0.67 | −0.46 | 0.63 |
| Numbers of reversals | −0.02 | −0.31 | 0.10 | −0.15 | −0.26 | 0.01 | −0.03 | −0.01 | −0.25 | −0.17 |
© 2020 by the authors. Licensee MDPI, Basel, Switzerland. This article is an open access article distributed under the terms and conditions of the Creative Commons Attribution (CC BY) license (http://creativecommons.org/licenses/by/4.0/).
Share and Cite
Li, M.; Liang, X.; Xiao, C.; Zhang, X.; Li, G.; Li, H.; Jang, W. Evaluation of Reservoir-Induced Hydrological Alterations and Ecological Flow Based on Multi-Indicators. Water 2020, 12, 2069. https://doi.org/10.3390/w12072069
Li M, Liang X, Xiao C, Zhang X, Li G, Li H, Jang W. Evaluation of Reservoir-Induced Hydrological Alterations and Ecological Flow Based on Multi-Indicators. Water. 2020; 12(7):2069. https://doi.org/10.3390/w12072069
Chicago/Turabian StyleLi, Mingqian, Xiujuan Liang, Changlai Xiao, Xuezhu Zhang, Guiyang Li, Hongying Li, and Wenhan Jang. 2020. "Evaluation of Reservoir-Induced Hydrological Alterations and Ecological Flow Based on Multi-Indicators" Water 12, no. 7: 2069. https://doi.org/10.3390/w12072069
APA StyleLi, M., Liang, X., Xiao, C., Zhang, X., Li, G., Li, H., & Jang, W. (2020). Evaluation of Reservoir-Induced Hydrological Alterations and Ecological Flow Based on Multi-Indicators. Water, 12(7), 2069. https://doi.org/10.3390/w12072069

