A Step Forward to the Characterization of Secondary Effluents to Predict Membrane Fouling in a Subsequent Ultrafiltration
Abstract
1. Introduction
2. Materials and Methods
2.1. Model Waters and the Secondary Effluent
2.2. Adsorption onto Resins (Fractionation)
2.3. Ultrafiltration Tests
2.4. Analytical Methods
3. Results
3.1. Treatment of the Sencodary Effluent Forits Charcaterization with Resins
3.1.1. Model Wastewater
3.1.2. Secondary Effluents
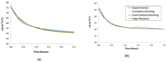
3.2. Ultrafiltration
3.3. Predictive Models: Permeate Water Quality and Fouling Prediction Modeling
3.3.1. Multiple Regression and Partial Least Squares Statistical Model
3.3.2. Artificial Neural Network Model
3.3.3. Models Comparison
4. Conclusions
Supplementary Materials
Author Contributions
Funding
Acknowledgments
Conflicts of Interest
Abbreviations
| WWTP | wastewater treatment plant |
| UV | ultraviolet radiation |
| EfOM | effluent organic matter |
| NOM | natural organic matter |
| SMP | soluble microbial products |
| EPS | extracellular polymeric substances |
| SHo | strong hydrophobic substances |
| WHo | weak hydrophobic substances |
| Chi | charged hydrophilic substances |
| NHi | neutral hydrophilic substances |
| COD | chemical oxygen demand |
| TOC | total organic carbon |
| UVA254 | absorbance at 254 nm wavelength |
| PLS | partial least squares |
| ANN | artificial neural network |
References
- European Commission—Environment. Available online: https://ec.europa.eu/environment/water/reuse.htm (accessed on 28 December 2019).
- Rippey, S.R.; Watkins, W.D. Comparative rates of disinfection of microbial indicator organisms in chlorinated sewage effluents. Water Sci. Technol. 1992, 26, 2185–2189. [Google Scholar] [CrossRef]
- Mounaouer, B.; Abdennaceur, H. Modeling and kinetic characterization of wastewater disinfection using chlorine and UV irradiation. Environ. Sci. Pollut. Res. 2016, 23, 19861–19875. [Google Scholar] [CrossRef]
- Hijnen, W.A.M.; Beerendonk, E.F.; Medema, G.J. Inactivation credit of UV radiation for viruses, bacteria and protozoan (oo)cysts in water: A review. Water Res. 2006, 40, 3–22. [Google Scholar] [CrossRef] [PubMed]
- Cervero-Aragó, S.; Rodríguez-Martínez, S.; Puertas-Bennasar, A.; Araujo, R.M. Effect of common drinking water disinfectants, chlorine and heat, on free Legionella and amoebae-associated Legionella. PLoS ONE 2015, 10, 1–18. [Google Scholar] [CrossRef] [PubMed]
- Anfruns-Estrada, E.; Bruguera-Casamada, C.; Salvadó, H.; Brillas, E.; Sirés, I.; Araujo, R.M. Inactivation of microbiota from urban wastewater by single and sequential electrocoagulation and electro-Fenton treatments. Water Res. 2017, 126, 450–459. [Google Scholar] [CrossRef] [PubMed]
- Tchobanoglous, G.; Darby, J.; Bourgeous, K.; McArdle, J.; Genest, P.; Tylla, M. Ultrafiltration as an advanced tertiary treatment process for municipal wastewater. Desalination 1998, 119, 315–321. [Google Scholar] [CrossRef]
- Lubello, C.; Gori, R.; De Bernardinis, A.M.; Simonelli, G. Ultrafiltration as tertiary treatment for industrial reuse. Water Sci. Technol. Water Supply 2003, 3, 161–168. [Google Scholar] [CrossRef]
- Illueca-Muñoz, J.; Mendoza-Roca, J.A.; Iborra-Clar, A.; Bes-Piá, A.; Fajardo-Montañana, V.; Martínez-Francisco, F.J.; Bernacer-Bonora, I. Study of different alternatives of tertiary treatments for wastewater reclamation to optimize the water quality for irrigation reuse. Desalination 2008, 222, 222–229. [Google Scholar] [CrossRef]
- Delgado, S.; Díaz, F.; Vera, L.; Díaz, R.; Elmaleh, S. Modelling hollow-fibre ultrafiltration of biologically treated wastewater with and without gas sparging. J. Memb. Sci. 2004, 228, 55–63. [Google Scholar] [CrossRef]
- Filloux, E.; Labanowski, J.; Croue, J.P. Understanding the fouling of UF/MF hollow fibres of biologically treated wastewaters using advanced EfOM characterization and statistical tools. Bioresour. Technol. 2012, 118, 460–468. [Google Scholar] [CrossRef]
- Shon, H.K.; Vigneswaran, S.; Snyder, S.A. Effluent Organic Matter (EfOM) in Wastewater: Constituents, Effects, and Treatment. Crit. Rev. Environ. Sci. Technol. 2007, 36, 327–374. [Google Scholar] [CrossRef]
- Wang, Z.P.; Zhang, T. Characterization of soluble microbial products (SMP) under stressful conditions. Water Res. 2010, 44, 5499–5509. [Google Scholar] [CrossRef] [PubMed]
- Ferrer-Polonio, E.; White, K.; Mendoza-Roca, J.A.; Bes-Piá, A. The role of the operating parameters of SBR systems on the SMP production and on membrane fouling reduction. J. Environ. Manag. 2018, 228, 205–212. [Google Scholar] [CrossRef]
- Ferrer-Polonio, E.; Fernández-Navarro, J.; Alonso-Molina, J.L.; Bes-Piá, A.; Mendoza-Roca, J.A. Influence of organic matter type in wastewater on soluble microbial products production and on further ultrafiltration. J. Chem. Technol. Biotechnol. 2018, 93, 3284–3291. [Google Scholar] [CrossRef]
- Leenheer, J.A. Comprehensive Approach to Preparative Isolation and Fractionation of Dissolved Organic Carbon from Natural Waters and Wastewaters. Environ. Sci. Technol. 1981, 15, 578–587. [Google Scholar] [CrossRef] [PubMed]
- Imai, A.; Fukushima, T.; Matsushige, K.; Kim, Y. Characterization of dissolved organic matter in effluentsfrom wastewater treatment plants. Water Res. 2002, 36, 859–870. [Google Scholar] [CrossRef]
- Zheng, X.; Khan, M.T.; Croué, J.P. Contribution of effluent organic matter (EfOM) to ultrafiltration (UF) membrane fouling: Isolation, characterization, and fouling effect of EfOM fractions. Water Res. 2014, 65, 414–424. [Google Scholar] [CrossRef]
- Ferrer-Polonio, E.; McCabe, M.; Mendoza-Roca, J.A.; Vincent-Vela, M.C. Fractionation of secondary effluents of wastewater treatment plants in view of the evaluation of membrane fouling in a further ultrafiltration step. J. Chem. Technol. Biotechnol. 2018, 93, 1495–1501. [Google Scholar] [CrossRef]
- Chaloulakou, A.; Grivas, G.; Spyrellis, N. Neural network and multiple regression models for PM10 prediction in athens: A comparative assessment. J. Air Waste Manag. Assoc. 2003, 53, 1183–1190. [Google Scholar] [CrossRef]
- Kalogirou, S.A. Applications of artificial neural-networks for energy systems. Appl. Energy 2000, 67, 17–35. [Google Scholar] [CrossRef]
- Hamed, M.M.; Khalafallah, M.G.; Hassanien, E.A. Prediction of wastewater treatment plant performance using artificial neural networks. Environ. Model. Softw. 2004, 19, 919–928. [Google Scholar] [CrossRef]
- Shon, H.K.; Vigneswaran, S.; Kim, I.S.; Cho, J.; Ngo, H.H. Fouling of ultrafiltration membrane by effluent organic matter: A detailed characterization using different organic fractions in wastewater. J. Memb. Sci. 2006, 278, 232–238. [Google Scholar] [CrossRef]
- Marhaba, T.F. Fluorescence technique for rapid identification of DOM fractions. J. Environ. Eng. 2000, 126. [Google Scholar] [CrossRef]
- Teodosiu, C.; Pastravanu, O.; Macoveanu, M. Neural network models for ultrafiltration and backwashing. Water Res. 2000, 34, 4371–4380. [Google Scholar] [CrossRef]
- Delgrange-Vincent, N.; Cabassud, C.; Cabassud, M.; Durand-Bourlier, L.; Laîné, J.M. Neural networks for long term prediction of fouling and backwash efficiency in ultrafiltration for drinking water production. Desalination 2000, 131, 353–362. [Google Scholar] [CrossRef]
- Vincent Vela, M.C.; Álvarez Blanco, S.; Lora García, J.; Bergantiños Rodríguez, E. Analysis of membrane pore blocking models adapted to crossflow ultrafiltration in the ultrafiltration of PEG. Chem. Eng. J. 2009, 149, 232–241. [Google Scholar] [CrossRef]
- Zuriaga-Agustí, E.; Bes-Piá, A.; Mendoza-Roca, J.A.; Alonso-Molina, J.L. Influence of extraction methods on proteins and carbohydrates analysis from MBR activated sludge flocs in view of improving EPS determination. Sep. Purif. Technol. 2013, 112, 1–10. [Google Scholar] [CrossRef]
- Frolund, B.; Palmgren, R.; Keiding, K.; Nielsen, P.H. Extraction of extracellular polymers from activated sludge using a cation exchange resin. Water Res. 1996, 30, 1749–1758. [Google Scholar] [CrossRef]
- Juang, L.C.; Tseng, D.H.; Chen, Y.M.; Semblante, G.U.; You, S.J. The effect soluble microbial products (SMP) on the quality and fouling potential of MBR effluent. Desalination 2013, 326, 96–102. [Google Scholar] [CrossRef]
- Ayache, C.; Pidou, M.; Croué, J.P.; Labanowski, J.; Poussade, Y.; Tazi-Pain, A.; Keller, J.; Gernjak, W. Impact of effluent organic matter on low-pressure membrane fouling in tertiary treatment. Water Res. 2013, 47, 2633–2642. [Google Scholar] [CrossRef]
- Barker, D.J.; Stuckey, D.C. A review of soluble microbial products (SMP) in wastewater treatment systems. Water Res. 1999, 33, 3063–3082. [Google Scholar] [CrossRef]
- Tipping, E. Cation Binding by Humic Substances; Cambridge University Press: Cambridge, UK, 2002. [Google Scholar]
- Haberkamp, J.; Ernst, M.; Böckelmann, U.; Szewzyk, U.; Jekel, M. Complexity of ultrafiltration membrane fouling caused by macromolecular dissolved organic compounds in secondary effluents. Water Res. 2008, 42, 3153–3161. [Google Scholar] [CrossRef]
- Yigit, N.O.; Harman, I.; Civelekoglu, G.; Koseoglu, H.; Cicek, N.; Kitis, M. Membrane fouling in a pilot-scale submerged membrane bioreactor operated under various conditions. Desalination 2008, 231, 124–132. [Google Scholar] [CrossRef]
- Yammine, S.; Rabagliato, R.; Vitrac, X.; Peuchot, M.M.; Ghidossi, R. Selecting ultrafiltration membranes for fractionation of high added value compounds from grape pomace extracts. OENO One 2019, 53, 487–497. [Google Scholar] [CrossRef]
- Babcock, J.J.; Brancaleon, L. Bovine serum albumin oligomers in the E- and B-forms at low protein concentration and ionic strength. Int. J. Biol. Macromol. 2014, 53, 42–53. [Google Scholar] [CrossRef]
- Zirnsak, M.A.; Boger, D.V. Axisymmetric entry flow of semi-dilute xanthan gum solutions: Prediction and experiment. J. Non Newton. Fluid Mech. 1998, 79, 105–136. [Google Scholar] [CrossRef]
- PubChem. Humic Acid. Available online: https://pubchem.ncbi.nlm.nih.gov/compound/Humic-acid (accessed on 1 March 2020).
- Corbatón-Báguena, M.J.; Álvarez-Blanco, S.; Vincent-Vela, M.C. Fouling mechanisms of ultrafiltration membranes fouled with whey model solutions. Desalination 2015, 360, 87–96. [Google Scholar] [CrossRef]
- Maruyama, T.; Katoh, S.; Nakajima, M.; Nabetani, H. Mechanism of bovine serum albumin aggregation during ultrafiltration. Biotechnol. Bioeng. 2001, 75, 233–238. [Google Scholar] [CrossRef]
- Soler-Cabezas, J.L.; Torà-Grau, M.; Vincent-Vela, M.C.; Mendoza-Roca, J.A.; Martínez-Francisco, F.J. Ultrafiltration of municipal wastewater: Study on fouling models and fouling mechanisms. Desalin. Water Treat. 2015, 56, 3427–3437. [Google Scholar] [CrossRef]
- Vela, M.C.V.; Blanco, S.Á.; García, J.L.; Rodríguez, E.B. Analysis of membrane pore blocking models applied to the ultrafiltration of PEG. Sep. Purif. Technol. 2008, 62, 489–498. [Google Scholar] [CrossRef]
- Mah, S.K.; Chuah, C.K.; Cathie Lee, W.P.; Chai, S.P. Ultrafiltration of palm oil-oleic acid-glycerin solutions: Fouling mechanism identification, fouling mechanism analysis and membrane characterizations. Sep. Purif. Technol. 2012, 98, 419–431. [Google Scholar] [CrossRef]
- Saha, S.; Das, C. Analysis of Fouling Characteristics and Flux Decline during Humic Acids Batch Ultrafiltration. J. Chem. Eng. Process Technol. 2015, 6. [Google Scholar] [CrossRef]
- Acero, J.L.; Benitez, F.J.; Leal, A.I.; Real, F.J.; Teva, F. Membrane filtration technologies applied to municipal secondary effluents for potential reuse. J. Hazard. Mater. 2010, 177, 390–398. [Google Scholar] [CrossRef] [PubMed]
- Muthukumaran, S.; Nguyen, D.A.; Baskaran, K. Performance evaluation of different ultrafiltration membranes for the reclamation and reuse of secondary effluent. Desalination 2011, 279, 383–389. [Google Scholar] [CrossRef]
- Pao, H.T. A comparison of neural network and multiple regression analysis in modeling capital structure. Expert Syst. Appl. 2008, 35, 720–727. [Google Scholar] [CrossRef]




| Water Type | Nomenclature | COD (mg/L) | TOC (mg/L) | Proteins (mg/L) | Carb. (mg/L) | UVA254 | |
|---|---|---|---|---|---|---|---|
| Model water | BSA | MW1 | 18.0 | 6.6 | 21.79 | - | - |
| Xanthan | MW2 | 18.8 | 6.3 | - | 12.12 | - | |
| Humic acid | MW3 | 6.0 | 2.1 | - | - | 0.18 | |
| BSA + Xanthan + Humic acid | MW4 | 36.5 | 13.7 | 30.51 | 4.59 | 0.10 | |
| Secondary effluent | S1 | 30.8 | 9.3 | 17.15 | 6.71 | 0.20 | |
| S2 | 17.9 | 7.6 | 7.15 | 4.25 | 0.12 | ||
| COD (%) | Proteins (%) | Carbohydrates (%) | UVA254 (%) | |
|---|---|---|---|---|
| MW1-DAX-8 | 71.9 | 97.3 | - | - |
| MW1-XAD-4 | 2.8 | 11.4 | - | - |
| MW1-IRA-958 | 47.8 | 53.0 | - | - |
| MW2-DAX-8 | 48.4 | - | 61.6 | - |
| MW2-XAD-4 | 25.5 | - | 29.5 | - |
| MW2-IRA-958 | 29.8 | - | 36.8 | - |
| MW3-DAX-8 | 32.8 | - | - | 97.3 |
| MW3-XAD-4 | 43.8 | - | - | 98.4 |
| MW3-IRA-958 | 53.1 | - | - | 97.3 |
| MW4-DAX-8 | 43.8 | 59.5 | 85.4 | 99.0 |
| MW4-XAD-4 | 41.1 | 52.1 | 52.1 | 65.4 |
| MW4-IRA-958 | 58.1 | 68.9 | 58.4 | 78.2 |
| COD (mg/L) | Proteins (mg/L) | Carbohydrates (mg/L) | UVA254 | |
|---|---|---|---|---|
| S1 | 30.8 | 17.1 | 6.7 | 0.20 |
| S1-DAX-8 | 19.9 | 7.4 | 6.3 | 0.07 |
| S1-DAX-8 + XAD-4 | 18.2 | 3.7 | 4.5 | 0.04 |
| S1-DAX-8 + XAD-4 + IRA-958 | 13.7 | 1.5 | 1.2 | 0.02 |
| S2 | 17.9 | 7.1 | 4.2 | 0.12 |
| S2-DAX-8 | 14.7 | 4.8 | 3.9 | 0.06 |
| S2-DAX-8 + XAD-4 | 11.5 | 3.4 | 3.5 | 0.04 |
| S2-DAX-8 + XAD-4 + IRA-958 | 9.0 | 2.6 | 2.1 | 0.04 |
| S2-DAX-8 + IRA-958 | 11.7 | 3.1 | 2.1 | 0.04 |
| Model Parameter | p-Value |
|---|---|
| UF_COD | 0.0006786 |
| UF_TOC | 0.0017354 |
| UF_PROTEINS | 0.0351548 |
| UF_CARBOHYDRATES | 0.0189849 |
| JSS | 0.0001584 |
| Sample | COD (mg/L) | TOC (mg/L) | Proteins (mg/L) | Carbohydrates (mg/L) | J0 (L/m2·h) |
|---|---|---|---|---|---|
| S1 (5 micron) | 25.75 | 16.73 | 7.03 | 9.18 | 76.50 |
| S2 (5 micron) | 19.80 | 7.55 | 3.98 | 7.68 | 66.24 |
| Sample | Model | CODp (mg/L) | TOCp (mg/L) | Proteinsp (mg/L) | Carbohydratesp (mg/L) | J0 (L/m2·h) |
|---|---|---|---|---|---|---|
| S1 (5 micron) | Real | 19.0 | 6.7 | 10.7 | 6.8 | 49.9 |
| PLS | 13.7 | 5.1 | 5.7 | 4.2 | 48.2 | |
| ANN | 20.8 | 7.8 | 12.8 | 8.7 | 51.7 | |
| S2 (5 micron) | Real | 17.7 | 7.2 | 5.9 | 4.4 | 50.2 |
| PLS | 14.6 | 5.3 | 4.4 | 3.4 | 49.9 | |
| ANN | 17.3 | 6.9 | 5.7 | 3.6 | 47.9 |
| Sample | Model | CODp (%) | TOCp (%) | Proteinsp (%) | Carbohydratesp (%) | J0 (%) |
|---|---|---|---|---|---|---|
| S1 (5 micron) | PLS | 27.76 | 26.87 | 46.33 | 38.37 | 3.28 |
| ANN | 9.53 | 12.11 | 19.72 | 28.64 | 6.14 | |
| S2 (5 micron) | PLS | 17.53 | 27.06 | 26.15 | 20.85 | 0.72 |
| ANN | 2.03 | 3.53 | 3.47 | 16.53 | 4.62 |
© 2020 by the authors. Licensee MDPI, Basel, Switzerland. This article is an open access article distributed under the terms and conditions of the Creative Commons Attribution (CC BY) license (http://creativecommons.org/licenses/by/4.0/).
Share and Cite
Benites-Zelaya, A.A.; Soler-Cabezas, J.L.; Ferrer-Polonio, E.; Mendoza-Roca, J.A.; Vincent-Vela, M.C. A Step Forward to the Characterization of Secondary Effluents to Predict Membrane Fouling in a Subsequent Ultrafiltration. Water 2020, 12, 1975. https://doi.org/10.3390/w12071975
Benites-Zelaya AA, Soler-Cabezas JL, Ferrer-Polonio E, Mendoza-Roca JA, Vincent-Vela MC. A Step Forward to the Characterization of Secondary Effluents to Predict Membrane Fouling in a Subsequent Ultrafiltration. Water. 2020; 12(7):1975. https://doi.org/10.3390/w12071975
Chicago/Turabian StyleBenites-Zelaya, Anderson Alejandro, José Luis Soler-Cabezas, Eva Ferrer-Polonio, José Antonio Mendoza-Roca, and María Cinta Vincent-Vela. 2020. "A Step Forward to the Characterization of Secondary Effluents to Predict Membrane Fouling in a Subsequent Ultrafiltration" Water 12, no. 7: 1975. https://doi.org/10.3390/w12071975
APA StyleBenites-Zelaya, A. A., Soler-Cabezas, J. L., Ferrer-Polonio, E., Mendoza-Roca, J. A., & Vincent-Vela, M. C. (2020). A Step Forward to the Characterization of Secondary Effluents to Predict Membrane Fouling in a Subsequent Ultrafiltration. Water, 12(7), 1975. https://doi.org/10.3390/w12071975

