Next Article in Journal
Hydrometeorological Ensemble Forecast of a Highly Localized Convective Event in the Mediterranean
Next Article in Special Issue
Water Chemistry of Arctic Lakes under Airborne Contamination of Watersheds
Previous Article in Journal
Accounting for Uncertainty and Reconstruction of Flooding Patterns Based on Multi-Satellite Imagery and Support Vector Machine Technique: A Case Study of Can Tho City, Vietnam
Previous Article in Special Issue
Effects of Crucian Carp (Carassius auratus) on Water Quality in Aquatic Ecosystems: An Experimental Mesocosm Study
 
 
Font Type:
Arial Georgia Verdana
Font Size:
Aa Aa Aa
Line Spacing:
Column Width:
Background:
Article

Formation of Soil Chemical Environment in Coastal Pinus thunbergii Parlatore Forest in Southwestern Japan

Graduate School of Environmental Engineering, The University of Kitakyushu, Kitakyushu, Fukuoka 808 0135, Japan
*
Author to whom correspondence should be addressed.
Water 2020, 12(6), 1544; https://doi.org/10.3390/w12061544
Submission received: 7 May 2020 / Revised: 25 May 2020 / Accepted: 27 May 2020 / Published: 28 May 2020

Abstract

We investigated the chemical properties of precipitation and litter fall, and their effects on soil chemistry, in a coastal forest consisting of pure Pinus thunbergii stands, Pinus-dominated stands with broadleaf trees in the understory, mixed stands of Pinus and evergreen broadleaf trees, and evergreen broadleaf stands. Throughfall pH in the pure Pinus stand was significantly lower than those in the other three stands, and the soil in the pure Pinus stand was determined to be acidic (pH = ca. 5.0). In Pinus-dominated stands with broadleaf species in the understory, precipitation had a neutralizing effect in the foliage of broadleaf species in the understory of the Pinus stand and the pH levels of their surface mineral soil were significantly higher than those in the pure Pinus stand. The soil pH level was low in the pure Pinus stand, and then increased with an increasing dominance of broadleaf species in the understory. The soil pH was lowered with an increasing dominance of broadleaf species in the canopy layer. A litter layer consisting of decomposable litter of broadleaf species with low C/N ratio acidified precipitation that was deposited as throughfall on the litter surface. Nitrates in the soil-extracted water from the mixed stand and from the evergreen broadleaf stand were significantly higher than the nitrates of stands with high dominance of Pinus. Higher nitrogen flux in the mixed stand and in the evergreen broadleaf stand, as well as a lower C/N ratio of the litter of broadleaf species, accelerated nitrogen accumulation in the soil in stands with high broadleaf species dominance in the canopy compared to the Pinus-dominated stand. Thus, the accumulation of nitrogen in the soil through litter fall is a possible factor that promotes succession from Pinus stands to evergreen broadleaf stands.

1. Introduction

Soil, vegetation, and atmosphere are all linked, and the soil chemical environment in forest ecosystems is formed by the interactions between the atmosphere, vegetation, and soil [1]. Atmospheric deposition interacts with the forest canopy and foliage, and it is transferred to the soil surface mainly by throughfall and stem flow. Some materials are enriched by leaching from the canopy, while some are buffered by the canopy [2,3]. Materials in dry deposition on the canopy or soil surface percolate into the soil horizon and form soil chemical environments. Litterfall is another process of transferring materials onto the soil surface and affects soil chemical environments by leaching and mineralization after decomposition [4]. The humic horizon on the soil surface interacts with precipitation, thereby modifying the chemical properties of precipitation and affecting the chemical processes of the mineral soil horizon. Soil chemical environments, including water and nutrients, affect the primary production of vegetation, and as such, matter circulation and the interaction between soil and vegetation form both the ecosystem’s characteristics and function [5].
In coastal ecosystems, sea salts deposit in the canopy and soil surface and affect both the vegetation and the soil. Sea salt deposition and its accumulation in the soil is one of the factors that disturb coastal ecosystems. The effects of sea salt spray on coastal ecosystems have been reported in many studies [6,7]. Aerosols, including sea salts, originate from seawater, and are dispersed into the atmosphere by drying; these are then transported to terrestrial ecosystems by wind flow. Some aerosol particles are trapped by the foliage or by trunks of trees in forests near the coastline. The sea salt scavenging effect of the coastal forest is important to prevent sea salt transport to the inland. Deposited sea salts are washed out by precipitation and reach the soil [8,9]. Thus, the soil chemical environment is affected by sea salt deposition and the forest’s washout process.
This study first aimed to compare the soil chemical environment with different vegetation types in a coastal forest. Chemical interactions between the atmosphere, vegetation, and soil were compared between forest stands with different dominance of Pinus and evergreen broadleaf species. We hypothesized that the chemical interaction in the canopy, as well as in the humic layer on the mineral soil horizon, are different depending on the dominance of Pinus and evergreen broadleaf species, which then determines the soil chemical environment in the stand. The second objective was to test the hypothesis that changes in soil chemical characteristics relate to forest succession from Pinus stand to evergreen broadleaf stand. Finally, the management procedure for protecting coastal Pinus forests, with a focus on soil environment, was discussed.

2. Materials and Methods

2.1. Study Site

The Sanri-Matsubara Forest is one of the largest coastal P. thunbergii forests in the northern part of Kyushu Island in southwestern Japan (Figure 1). The forested area is 12 km along the coastline, and its maximum width is 1.3 km. The total area of the forest is approximately 4.3 km2. The north of the Sanri-Matsubara Forest faces the Hibikinada Sea. The main forest types of the Sanri-Matsubara Forest are P. thunbergii stands and evergreen broadleaf forest stands consisting of Ligustrum japonicum Thunb., Cinnamomum japonicum Sieb. ex Nakai, Cinnamomum camphora (L.) J. Presl, and Celtis sinensis Pers. var. japonica (Planch.) Nakai. The soil is the sand dune regosol type.
We established four line transects from the coastal edge of the forest to the inland direction perpendicular to the coastline. Four transect lines were located parallel to each other (Figure 1). A quadrat of 20 m × 20 m was located on each transect line. The center of the quadrats was located at X (distance from the coastal edge of each transect line) = 190 m on line A, X = 390 m on line B, X = 290 m on line C, and X = 280 m on line D.

2.2. Chemistry of Precipitation

Throughfall was collected using 250-mL polyethylene bottles fitted with a plastic funnel (9 cm in diameter), and each collector bottle was placed on the forest floor vertical to the soil surface. Bottles were placed at 10 m intervals on each transect line. Each bottle was shielded with a net to exclude debris. Among the throughfall samples along the whole transect lines, five samples of throughfall, including the center of every quadrat along the transects, were used for the present study: X = 170, 180, 190, 200, and 210 m for line A; X = 370, 380, 390, 400, and 410 m for line B; X = 270, 280, 290, 300, and 310 m for line C; and X = 260, 270, 280, 290, and 300 m for line D. Two sampling points were set outside of each quadrat; however, these were under canopy trees with foliage that was located over each quadrat.
We collected throughfall water samples on the day after every precipitation event, and among these, we selected samples with at least 2 days without precipitation preceding the rain event. Water samples collected in bottles were stored in 50 mL tubes after measuring the volume of water in each collector. Throughfall chemistry data of 14 sampling times from 21 November, 2011 to 7 December, 2012 were used in this study.
Electrical conductivity (EC) and pH were measured in the laboratory using meters for EC (D-54, Horiba) and pH (D-52, Horiba). Samples were filtered with a 0.20-μm cellulose acetate membrane filter (Advantec Toyo). The major cations (NH4+, Na+, K+, Mg2+, and Ca2+) and major anions (Cl, NO2, NO3, PO43−, and SO42−) were analyzed by ion chromatography (DX–120, Dionex).

2.3. Vegetation

Species, height, DBH (diameter at breath height), and coordinates at the base of each tree within each quadrat were measured. Every stem was measured if there was a branching of stems below 1.3 m in height.

2.4. Litter Fall

To estimate the litter fall and accumulation of organic materials on the forest floor, litter traps were placed within each quadrat. A wooden frame of 50 cm × 50 cm was fixed at 130 cm in height, and a nylon net with 1 mm mesh was used as the trap opening the top at the frame. Five litter traps were placed at each quadrat. Litter within the trap was collected in a polyethylene bag almost every month from 19 October 2011 to 1 November 2012. The collected litter was sorted into Pinus and broadleaf tree species, and then sorted into leaves, stems, and reproductive organs. Debris (e.g., bark segments, feces, or insects) were selected and categorized as “others”. Dried samples were powdered, and the carbon, nitrogen, and hydrogen contents were determined by a CHN Corder (MT-6, Yanako).

2.5. Soil Analysis

Three soil samples within 30 cm from the surface (excluding the litter layer) were randomly collected at each sampling time within each quadrat using a soil sampler (Daiki). Soil samples were collected on 25 June 2012, 18 October 2012, and 23 January 2013. Samplings were made at least 1 m from the tree base.
Each core sample was divided into three parts (0–10 cm, 10–20 cm, 20–30 cm), and the soluble ions were determined after extraction with water (1:5). Plant debris were removed from air-dried samples, and the soil samples were sieved using a 2 mm sieve. An air-dried soil sample (10 g) was extracted with 50 mL of Milli-Q water, and the pH and electrical conductivity (EC) values were determined. Extracted samples were filtered with a 0.20-µm cellulose acetate membrane filter, and the major ions were determined using ion chromatography. Concentration was indicated as the content in dried soil samples.

2.6. Statistical Analysis

Significance of difference of mean elemental composition in litter was tested by Kruskal–Wallis test and the following Mann–Whitney U-test with Bonferroni correction. Significance of difference of mean chemical variables in throughfall (time series data) was tested by Friedman test and the following Wilcoxson signed rank test with Bonferroni correction. Significance of difference of mean chemical variables in soil extracted water was tested by Kruskal-Wallis test and the following Mann–Whitney U-test with Bonferroni correction.

3. Results

3.1. Vegetation

P. thunbergii dominated the canopy of quadrat A, evergreen broadleaf tree species dominated the sub-canopy and the understory, and some broadleaf species together with P. thunbergii comprised the mixed canopy (Figure 2a). Evergreen broadleaf trees dominated the canopy and the understory of quadrat B, and some P. thunbergii were mixed with broadleaf species in the canopy (Figure 2b). P. thunbergii dominated the canopy in quadrat C, and evergreen broadleaf trees dominated the understory (<5 m in height; Figure 2c). P. thunbergii dominated the canopy of quadrat D, and some juveniles of P. thunbergii and broadleaf species were in the understory (Figure 2d). The forest type of each quadrat was categorized as A: mixed forest of Pinus and evergreen broadleaf species (mixed stand), B: evergreen broadleaf forest (broadleaf stand), C: Pinus forest with broadleaf trees in the understory (Pinus dominated stand), and D: almost pure Pinus forest (pure Pinus stand).

3.2. Litter Fall and Chemistry

Annual cumulative litter fall in the mixed stand (quadrat A) was the highest among the 4 quadrats, and it decreased based on the following order: broadleaf stand (quadrat B), Pinus dominated stand (quadrat C), and pure Pinus stand (quadrat D; Figure 3). Tree leaves accounted for >50% of the total litter fall among the 6 categorized litter components. More than 70% of the litter of the mixed forest stand consisted of tree leaves, and the mass of P. thunbergii leaves was approximately twice the mass of broadleaf tree leaves. In the broadleaf stand, more than 60% of the litter included leaves of broadleaf species. P. thunbergii leaves accounted for more than 80% of the pure Pinus stand and of the Pinus-dominated stand. The total litter fall of Pinus-dominated stand with broadleaf trees in the understory was about twice that of the pure Pinus stand.
The litter fall of broadleaf tree leaves was maximum between May and July (Figure 3b), whereas the litter fall of P. thunbergii leaves showed two maxima in June and November (Figure 3c,d).
Carbon content in the litter fall was ca. 51% (w/w) for the P. thunbergii litter and ca. 48% for the evergreen broadleaf species irrespective of the plant organs, and the differences between species were not significant (Table 1). The nitrogen content of broadleaf species leaves was higher than that of the litter of P. thunbergii leaves, and the nitrogen content in the leaves of broadleaf species (ca. 1.6%) was approximately twice that of the P. thunbergii litter (ca. 0.7%). The C/N ratio of the litter of P. thunbergii leaves was significantly higher than that of broadleaf tree leaves. Annual N flux on the soil surface by litter deposition was highest in the broadleaf stand (quadrat B), and decreased in the order of mixed stand (quadrat A), Pinus dominated stand (quadrat C), and pure Pinus stand (quadrat D) (Figure 4). The annual cumulative carbon deposited on the soil surface in the mixed stand was the highest (ca. twice that of the pure Pinus stand), and decreased based on the following order: broadleaf stand, Pinus-dominated stand, and pure Pinus stand.

3.3. Throughfall Chemistry

Throughfall pH showed a relatively lower value (ca. 4.0–5.0) from December to March, whereas pH showed a relatively higher value (ca. 5.5–6.5) from April to July (Figure 5a). Throughfall pH in quadrat D was significantly lower than those in the other three quadrats. EC and ionic concentration of the throughfall, except for K+, showed a relatively lower value from April to August compared with the other seasons (Figure 5b–i). K+ of throughfall remained at <4 mg/L throughout the investigation period, with the exception of some higher values observed in November, January, and October (Figure 5d). EC in quadrat A was significantly higher than those of the other three quadrats (Figure 5b).
Among the ionic concentrations in the throughfall, Na+, K+, Cl, and SO42− were significantly different between quadrats. Na+ concentration of the throughfall in quadrat B was significantly higher than that in quadrat C (Figure 5c). K+ concentrations of the throughfall in quadrats B and C were significantly higher than that in quadrat D (Figure 5d). The Cl concentrations of throughfall in quadrats A and C were significantly higher than that in quadrat B (Figure 5g). The SO42− concentration of throughfall in quadrat A was significantly higher than that in quadrat B (Figure 5i).

3.4. Soil Profile and Chemistry

The thickness of the A horizon in the soil profiles of the quadrats differed between forest types (Figure 6). Thickness of A horizon (A1 and A2) in the Pinus stand (quadrat D) was <5.0 cm, 5.0–7.0 cm in quadrat C (Pinus dominated stand), and 6.0–7.0 cm in quadrats A (mixed stand) and B (broadleaf stand). B horizon thickness showed little differences between quadrats.
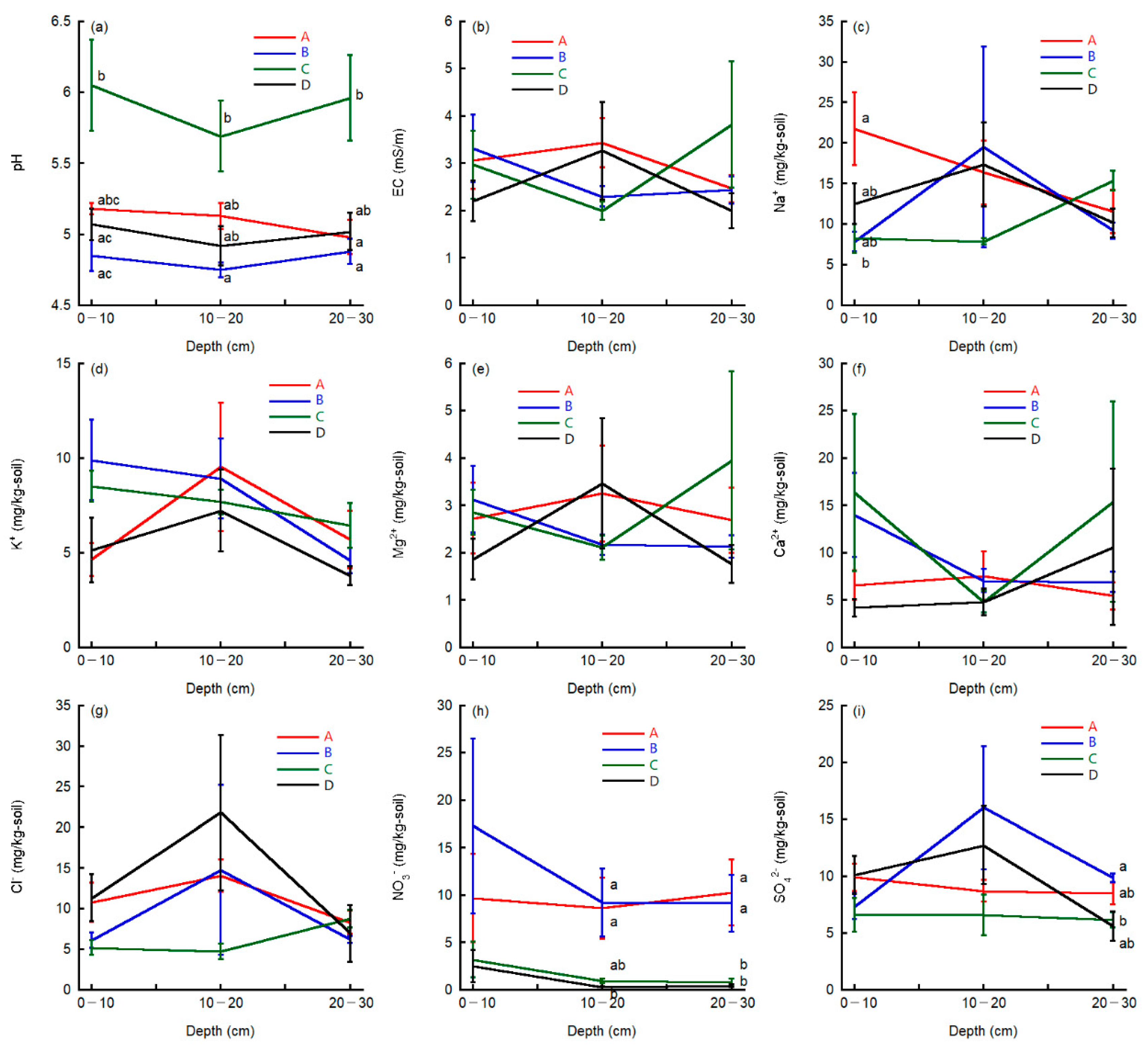
The soil-extracted solution of the Pinus-dominated stand showed significantly higher pH within the four quadrats at the respective soil depths (Figure 7a). Na+ concentration in the soil-extracted water in the mixed stand was significantly higher than that in the Pinus dominated stand at the surface layer (0–10 cm) of soil. NO3 of soil-extracted water in the mixed stand and in the evergreen broadleaf stand was significantly higher than that of the pure Pinus stand in the 10–20 cm layers, and higher than that of the pure Pinus stand and the Pinus dominated stand at a 20–30 cm depth (Figure 7h). The SO42− of soil-extracted water in the evergreen broadleaf stand was significantly higher than that in the Pinus dominated stand at a depth of 20–30 cm (Figure 7i). EC, K+, Mg2+, Ca2+, and Cl of the soil-extracted water showed no significant differences among the quadrats; however, K+ and Ca2+ concentrations in the evergreen broadleaf stand and in the Pinus dominated stand showed higher values at the surface layers of soil (Figure 7e,f).

4. Discussion

4.1. Throughfall and Soil Chemistry

Significant differences in soil pH was observed between samples taken from the soil surface and from 30 cm depth of the forest stands, whereas the other chemical variables showed significant differences between stands for limited components and for limited depths. The soil pH of the Pinus-dominated stand was higher than that of the pure Pinus stand, mixed stand, and the broadleaf stand. The throughfall pH was significantly lower in the pure Pinus stand, and the soil pH of the pure Pinus stand is affected by acidic throughfall. The throughfall pH of the Pinus dominated stand was significantly higher than that of the pure Pinus stand, and the soil pH of the Pinus dominated stand was higher than that of the pure Pinus stand. In general, a coniferous canopy acidifies precipitation, whereas a broadleaf tree canopy neutralizes precipitation. Acidification of precipitation by the interaction of the canopy with coniferous species is reported in several studies, e.g., Picea abies [10], Norway spruce, and Scots pine [11]. Higher deposition of base cations in sea salts in the present coastal forest would promote proton release from coniferous canopy by cation exchange and the consequent acidification of throughfall. The throughfall pH in the broadleaf stand was higher than that in the Pinus stand because of the base cation dissolution on the surface of the leaves of broadleaf species [12,13,14] and the consequent higher concentration of base cations in the throughfall [15,16], making the pH buffer in solution. Broadleaf species in the understory of the P. thunbergii canopy in the Pinus-dominated stand in the present study would neutralize acidified precipitation through the P. thunbergii canopy, and throughfall collected on the ground surface showed a higher pH than throughfall collected from a pure Pinus stand without a broadleaf understory.
Deposited and accumulated base cations in sea salt exchange and release protons from organic substances in litter layer or surface soil horizon and the released protons acidify mineral soil [8,17,18]. In the Sanri-Matsubara Forest, the concentration of base cations in the soil showed a significantly higher value for Na+ in the mixed stand soil of the 0–10 cm layer, whereas the effects of the deposition of base cations on soil acidification is not so evident.

4.2. Effect of Litter on Soil Chemistry

The soil pH values of the mixed stand and of the broadleaf stand were comparable to that of the pure Pinus stand and lower than that of the Pinus-dominated stand; however, the throughfall pH values of these stands were higher than that of the pure Pinus stand. The amount of litter fall and the broadleaf species components in the mixed stand and in the broadleaf stand were higher than in the pure Pinus stand and in the Pinus-dominated stand. The higher C/N ratio accompanying higher salinity, higher acidity and lower base cations after cation exchange of the P. thunbergii litter would show a lower decomposition rate than the broadleaf litters, and the A horizon (especially the A1 horizon) of both the mixed stand and the broadleaf stand was thicker than those of the pure Pinus stand and the Pinus-dominated stand. The decomposition rate of the conifer leaf litter was lower than that of the broadleaf trees [5]. Accumulation of decomposable litter and the consequent production of humic acids would acidify the soil with the accumulation of litters from broadleaf species. Hence, the soil would be acidified because of the decomposition of litters with a lower C/N ratio of broadleaf litters than that of coniferous litters.
Extracted nitrate in the soil in the mixed stand and in the broadleaf stand was significantly higher than that in the pure Pinus stand and in the Pinus-dominated stand at 10–20 cm and 20–30 cm of the soil horizons. The nitrogen flux on the forest floor, as well as the component of broadleaf species in the litter fall in the mixed stand and in the broadleaf stand, was higher than that in the Pinus-dominated stand and the pure Pinus stand. Higher nitrate concentrations in soil would be due to the higher decomposition rate and the consequent higher nutrient release of the broadleaf species compared to the Pinus litter. Inorganic nitrogen deposition in the throughfall and stem flow was much higher than in the bulk deposition, showing an extremely high nitrogen deposition in the forested basin and the consequent acidification in the catchment [19]. In the present study, nitrate contents in the soil are different between forest types; however, nitrates in the throughfall were not significantly different between forest types, implying that nitrate leachate from litter, especially from decomposable broadleaf species, contribute to nitrate accumulation in the soil. A higher nitrate supply from the litter in stands with dominant broadleaf species would cause acidification of soils in these stands.
The Ca2+ and NO3 concentrations of the soil-extracted solution in the broadleaf stand was higher than that in the soil from coniferous stand (Figure 4), implying a high decomposition rate of broadleaf tree litter. This makes soil fertilization and the consequent increase in the supply of organic material as litter. Accumulation of the humic layer makes a safe site for broadleaf species, and the broadleaf species, excluding P. thunbergii trees, make a stable community. Since the P. thunbergii stand exhibited a high sea salt scavenging effect, removal of litter in the P. thunbergii stand is necessary for maintaining the sea salt scavenging effect of the P. thunbergii stand.

4.3. Succession of Forest

The pure Pinus stand showed lower soil pH as well as throughfall compared to the Pinus stand with broadleaf trees in the understory. Soil acidification is a common process in coniferous forests [20]; however, acidification appears in the surface horizon of the mineral soil [13,21]. Thus, the soil of the pure Pinus stand would be kept acidic by the acidic throughfall after canopy leaching and proton exchange by base cation in sea salt. Recruitment of evergreen broadleaf species in the understory of the pure Pinus stand neutralizes acidic throughfall under the Pinus canopy and neutralizes the soil of the Pinus forest with broadleaf species in the forest understory. High deposition of base cations in sea salts would accelerate acidification of throughfall and soil especially in the P. thunbergii forest. High acidity of P. thunbergii forest would prevent the recruitment of evergreen broadleaf species; however, broadleaf shrub species dominant in the coastal community recruited in the understory of P. thunbergii forest, neutralize the soil and provide neutralized soil environment for evergreen broadleaf species. Recruited evergreen broadleaf species dominate the forest canopy, and the litter fall of broadleaf species then increased. The soil pH of the mixed stand and of the broadleaf species-dominated stand was significantly lower than that of the Pinus-dominated stand with broadleaf trees in the understory, and the broadleaf stand showed much lower soil pH compared to the mixed stand. Soil was acidified by the deposited litter layer with a decomposable litter of broadleaf species and a low C/N ratio. Thus, litter acidifies the soil of the stands dominated with broadleaf species. The NO3 concentrations of soil-extracted water in the mixed stand and in the evergreen broadleaf stand were significantly higher among the investigated stands. Higher nitrogen flux in the mixed stand and in the evergreen broadleaf stand, as well as a lower C/N ratio of broadleaf species, accelerated the nitrogen accumulation in the stand with broadleaf species in the canopy compared to the Pinus-dominated stand. Accumulation of nitrogen in the soil through litter fall would thus promote succession from the Pinus stand to the evergreen broadleaf stand in the Sanri-Matsubara Forest. Parfitt et al. [22] showed that soil acidity and exchangeable cations (Mg2+, K+, and Na+) in the Radiata pine forest were higher than in the previous pasture land, implying a higher matter cycling rate in Radiata pine forest compared to pasture land. Our study showed a higher accumulation of nutrients in the broadleaf forest than in the Pinus forest; however, the Pinus forest has the potential to accumulate nutrients and consequently increase the matter cycling rate. Barnes et al. [23] showed that nutrient accumulation and neutralization in the sandy soil are the factors that promote succession from the Jack Pine forest to the Aspen forest. Our data showed similar trends; however, temporal neutralization was observed in the Pinus forest in the Sanri-Matsubara Forest. Recruitment of broadleaf species in the understory of the Pinus stand neutralizes the soil and accelerates the accumulation of decomposable litter. This abrupt change in soil environment prohibits further recruitment of Pinus seedlings, allowing for the succession from a Pinus-dominated forest to an evergreen broadleaf forest.

5. Conclusions

The P. thunbergii forest canopy acidifies soil due to acidic throughfall like similar coniferous forests. Recruited broadleaf shrub species of the component of coastal community in the understory of P. thunbergii forest neutralize the soil and evergreen broadleaf species recruited to the P. thunbergii forest. Evergreen broadleaf trees, like deciduous broadleaf trees, supply a high amount of litter to the soil together with a pH buffering effect of base cations from the canopy, decomposition, and the consequent nutrient release, which all accelerate soil fertilization and subsequently intensify the growth of evergreen broadleaf trees.

Author Contributions

A.H. and M.S. planned the investigation. M.S. mainly collected and analyzed data with support and supervision by A.H. M.S. prepared the first version of the manuscript in Japanese and A.H. completely re-analyzed data and prepared the manuscript. All authors contributed to revisions and completion of the manuscript. All authors have read and agreed to the published version of the manuscript.

Funding

This research received no external funding.

Acknowledgments

We thank the member of the Faculty of Environmental Engineering, The University of Kitakyushu for supporting the investigation. We also thank two anonymous reviewers for their helpful comments on this paper.

Conflicts of Interest

The authors declare no conflict of interest.

References

  1. Norman, J.M.; Anderson, M.C. Soil-plant-atmosphere continuum. In Encyclopedia of Soils in the Environment; Hillel, D., Hatfield, J.L., Eds.; Elsevier: Amsterdam, The Netherlands, 2005; Volume 3, pp. 513–521. [Google Scholar]
  2. André, F.; Jonard, M.; Ponette, Q. Spatial and temporal patterns of throughfall chemistry within a temperate mixed oak–beech stand. Sci. Total Environ. 2008, 397, 215–228. [Google Scholar] [CrossRef] [PubMed]
  3. Coble, A.A.; Hart, S.C. The significance of atmospheric nutrient inputs and canopy interception of precipitation during ecosystem development in piñon-juniper woodlands of the southwestern USA. J. Arid Environ. 2013, 98, 79–87. [Google Scholar] [CrossRef]
  4. Waldman, J.M.; Hoffmann, M.R. Nutrient leaching from pine needles impacted by acidic cloudwater. Water Air Soil Pollut. 1988, 37, 193–201. [Google Scholar] [CrossRef]
  5. Yang, Y.S.; Guo, J.F.; Chen, G.S.; Xie, J.S.; Cai, L.P.; Lin, P. Ltterfall, nutrient return, and leaf-litter decomposition in four plantations compared with a natural forest in subtropical China. Ann. For. Sci. 2004, 61, 465–476. [Google Scholar] [CrossRef]
  6. Griffiths, M.E.; Orians, C.M. Salt spray differentially affects water status, necrosis, and growth in coastal sandplain heathland species. Am. J. Bot. 2003, 90, 1188–1196. [Google Scholar] [CrossRef]
  7. Marosz, A.; Nowak, J.S. Effect of salinity stress on growth and macroelements uptake of four tree species. Dendrobiology 2008, 59, 23–29. [Google Scholar]
  8. Haraguchi, A.; Iyobe, T.; Nishijima, H.; Tomizawa, H. Acid and sea-salt accumulation in coastal peat mires of a Picea glehnii forest in Ochiishi, eastern Hokkaido, Japan. Wetlands 2003, 23, 229–235. [Google Scholar] [CrossRef]
  9. Iyobe, T.; Haraguchi, A.; Nishijima, H.; Tomizawa, H.; Nishio, F. Effect of fog on sea salt deposition on peat soil in boreal Picea glehnii forests in Ochiishi, eastern Hokkaido, Japan. Ecol. Res. 2003, 18, 587–597. [Google Scholar] [CrossRef]
  10. Pierret, M.-C.; Viville, D.; Dambrine, E.; Cotel, S.; Probst, A. Twenty-five year record of chemicals in open field precipitation and throughfall from a medium-altitude forest catchment (Strengbach-NE France): An obvious response to atmospheric pollution trends. Atmos. Environ. 2019, 202, 296–314. [Google Scholar] [CrossRef]
  11. Kowalska, A.; Astel, A.; Boczoń, A.; Polkowska, Z. Atmospheric deposition in coniferous and deciduous tree stands in Poland. Atmos. Environ. 2016, 133, 145–155. [Google Scholar] [CrossRef]
  12. August, L.; Ranger, J.; Binkley, D.; Rothe, A. Impact of several common tree species of European temperate forests on soil fertility. Ann. For. Sci. 2002, 59, 233–253. [Google Scholar] [CrossRef]
  13. Jung, K.; Chang, S.X.; Arshad, M.A. Effect of canopy-deposition interaction on H+ supply to salts in Pinus banksiana and Populus tremulodies ecosystems in the Athabasca oil sands region in Alberta, Canada. Environ. Pollut. 2011, 159, 1327–1333. [Google Scholar] [CrossRef] [PubMed]
  14. Schrijver, A.D.; Geudens, G.; Augusto, L.; Staelens, J.; Mertens, J.; Wuyts, K.; Gielis, L.; Verheyen, K. The effect of forest type on throughfall deposition and seepage flux: A review. Oecolgia 2007, 153, 663–674. [Google Scholar] [CrossRef] [PubMed]
  15. Neary, A.J.; Gizyn, W.I. Throughfall and stemflow chemistry under deciduous and coniferous forest canopies in south-central Ontario. Can. J. For. Res. 1994, 24, 1089–1100. [Google Scholar] [CrossRef]
  16. Houle, D.; Ouimet, R.; Paquin, R.; Laflamme, J.-G. Determination of sample size for estimating ion throughfall deposition under a mixed hardwood forest at the Lake Clair Watershed (Duchesnay, Quebec). Can. J. For. Res. 1999, 29, 1935–1943. [Google Scholar] [CrossRef]
  17. Zhang, Z.-H. Impact of seasalt deposition on acid soils in maritime regions. Pedosphere 2003, 13, 375–380. [Google Scholar]
  18. Akselsson, C.; Hultberg, H.; Karlsson, P.E.; Karlsson, G.P.; Hellsten, S. Acidification trends in south Swedish forest soils 1986–2008—Slow recovery and high sensitivity to sea-salt episodes. Sci. Total Environ. 2013, 444, 271–287. [Google Scholar] [CrossRef]
  19. Kamisako, M.; Sase, H.; Matsui, T.; Suzuki, H.; Takahashi, A.; Oida, T.; Nakata, M.; Totsuka, T.; Ueda, H. Seasonal and annual fluxes of inorganic constituents in a small catchment of a Japanese cedar forest near the Sea of Japan. Water Air Soil Pollut. 2008, 195, 51–61. [Google Scholar] [CrossRef]
  20. Duan, A.; Lei, J.; Hu, X.; Zhang, J.; Du, H.; Zhang, X.; Guo, W.; Sun, J. Effects of planting density on soil bulk density, pH and nutrients of unthinned Chinese fir mature stands in south subtropical region of China. Forests 2019, 10, 351. [Google Scholar] [CrossRef]
  21. Edmonds, R.L.; Tuttle, K.M. Red alder leaf decomposition and nutrient release in alder and conifer riparian patches in western Washington, USA. For. Ecol. Manag. 2010, 259, 2375–2381. [Google Scholar] [CrossRef]
  22. Parfitt, R.L.; Percival, H.J.; Dahlgren, R.A.; Hill, L.F. Soil and solution chemistry under pasture and radiata pine in New Zealand. Plant Soil 1997, 191, 279–290. [Google Scholar] [CrossRef]
  23. Barnes, W.A.; Quideau, S.A.; Swallow, M.J.B. Nutrient distribution in sandy soils along a forest productivity gradient in the Athabasca Oil Sands Region of Alberta, Canada. Can. J. Soil Sci. 2018, 98, 277–291. [Google Scholar] [CrossRef]
Figure 1. Map showing the Sanri-Matsubara Forest, south-western Japan, and the position of quadrats (20 m × 20 m).
Figure 1. Map showing the Sanri-Matsubara Forest, south-western Japan, and the position of quadrats (20 m × 20 m).
Water 12 01544 g001
Figure 2. Number of individuals of tree species in (a) quadrat A (mixed stand), (b) quadrat B (broadleaf stand), (c) quadrat C (Pinus dominated stand), and (d) quadrat D (pure Pinus stand) in the Sanri-Matsubara Forest, south-western Japan, Dominant broadleaf species include Ligustrum japonicum, Cinnamomum japonicum, Cinnamomum camphora and Celtis sinensis var. japonica.
Figure 2. Number of individuals of tree species in (a) quadrat A (mixed stand), (b) quadrat B (broadleaf stand), (c) quadrat C (Pinus dominated stand), and (d) quadrat D (pure Pinus stand) in the Sanri-Matsubara Forest, south-western Japan, Dominant broadleaf species include Ligustrum japonicum, Cinnamomum japonicum, Cinnamomum camphora and Celtis sinensis var. japonica.
Water 12 01544 g002
Figure 3. Dry weight of litter collected with five 0.5 m × 0.5 m litter traps established in each quadrat, (a) quadrat A (mixed stand), (b) quadrat B (broadleaf stand), (c) quadrat C (Pinus dominated stand), and (d) quadrat D (pure Pinus stand) in the Sanri-Matsubara Forest, south-western Japan, Litter traps were established on 19 October 2011 and collected litters until 1 November 2012. The date shows the middle day of each sampling period.
Figure 3. Dry weight of litter collected with five 0.5 m × 0.5 m litter traps established in each quadrat, (a) quadrat A (mixed stand), (b) quadrat B (broadleaf stand), (c) quadrat C (Pinus dominated stand), and (d) quadrat D (pure Pinus stand) in the Sanri-Matsubara Forest, south-western Japan, Litter traps were established on 19 October 2011 and collected litters until 1 November 2012. The date shows the middle day of each sampling period.
Water 12 01544 g003
Figure 4. Annual flux of (a) C and (b) N by litter fall from 19 October 2011 and collected litters until 1 November 2012 in Sanri-Matsubara Forest, south-western Japan.
Figure 4. Annual flux of (a) C and (b) N by litter fall from 19 October 2011 and collected litters until 1 November 2012 in Sanri-Matsubara Forest, south-western Japan.
Water 12 01544 g004
Figure 5. Throughfall chemistry in each quadrat collected with five sampling bottles located 10-m intervals under the canopy of trees with foliage over each quadrat of the Sanri-Matsubara Forest, south-western Japan. (a) pH, (b) EC, (c) Na+, (d) K+, (e) Mg2+, (f) Ca2+, (g) Cl, (h) NO3, and (i) SO42−. Vertical bars denote SE. Significance of difference between quadrats was tested by Friedman test and the following Wilcoxson signed rank test with Bonferroni correction. Variables of quadrat names sharing the same letter were not significantly different (p > 0.05). NS: not significant.
Figure 5. Throughfall chemistry in each quadrat collected with five sampling bottles located 10-m intervals under the canopy of trees with foliage over each quadrat of the Sanri-Matsubara Forest, south-western Japan. (a) pH, (b) EC, (c) Na+, (d) K+, (e) Mg2+, (f) Ca2+, (g) Cl, (h) NO3, and (i) SO42−. Vertical bars denote SE. Significance of difference between quadrats was tested by Friedman test and the following Wilcoxson signed rank test with Bonferroni correction. Variables of quadrat names sharing the same letter were not significantly different (p > 0.05). NS: not significant.
Water 12 01544 g005
Figure 6. Soil profile in each quadrat from mineral surface to 30 cm depth of soil horizon. Colors of bars correspond to soil horizon appearing the left of the figure.
Figure 6. Soil profile in each quadrat from mineral surface to 30 cm depth of soil horizon. Colors of bars correspond to soil horizon appearing the left of the figure.
Water 12 01544 g006
Figure 7. Chemistry of soil extracted water of samples in 0–10 cm, 10–20 cm, and 20–30 cm depths in each quadrat of the Sanri–Matsubara Forest, south–western Japan. (a) pH, (b) EC, (c) Na+, (d) K+, (e) Mg2+, (f) Ca2+, (g) Cl, (h) NO3, and (i) SO42−. Vertical bars denote SE. Significance of difference between quadrats was tested by Kruskal-Wallis test and the following Mann–Whitney U-test with Bonferroni correction. Means sharing the same letter (a, b, c) were not significantly different (p < 0.05) among each soil depth. Values without letters are not significantly different.
Figure 7. Chemistry of soil extracted water of samples in 0–10 cm, 10–20 cm, and 20–30 cm depths in each quadrat of the Sanri–Matsubara Forest, south–western Japan. (a) pH, (b) EC, (c) Na+, (d) K+, (e) Mg2+, (f) Ca2+, (g) Cl, (h) NO3, and (i) SO42−. Vertical bars denote SE. Significance of difference between quadrats was tested by Kruskal-Wallis test and the following Mann–Whitney U-test with Bonferroni correction. Means sharing the same letter (a, b, c) were not significantly different (p < 0.05) among each soil depth. Values without letters are not significantly different.
Water 12 01544 g007
Table 1. Elemental composition in litter collected in litter traps located at four quadrats in the Sanri–Matsubara Forest, northern Kyushu, Japan.
Table 1. Elemental composition in litter collected in litter traps located at four quadrats in the Sanri–Matsubara Forest, northern Kyushu, Japan.
H (w/w%)C (w/w%)N (w/w%)C/N (w/w)
Pinus thunbergii
leaves6.5 a ± 0.151.4 a ± 0.30.7 a ± 0.271.4 a ± 15.5
stems6.2 ab ± 0.151.3 a ± 1.30.7 a ± 0.173.5 a ± 8.5
reproductive parts6.2 ab ± 0.251.8 a ± 1.81.1 ab ± 0.146.8 ab ± 5.4
Broadleaf species
leaves6.0 b ± 0.247.6 a ± 2.01.6 b ± 0.429.7 b ± 6.9
stems6.0 ab ± 0.148.5 a ± 0.31.0 ab ± 0.249.5 ab ± 15.5
reproductive parts6.1 ab ± 0.948.5 a ± 6.32.0 b ± 1.024.1 b ± 9.6
Others6.2 ± 0.350.3 ± 2.01.3 ± 0.739.0 ± 20.5
Mean ± SE are shown. Significance of difference between litter components was tested by Kruskal-Wallis test and the following Mann–Whitney U-test with Bonferroni correction. Means sharing the same letter (a, b) are not significantly different (α = 0.05). Data of other parts are excluded from multiple comparison. n = 8, excluding quadrats without litter samples of each category.

Share and Cite

MDPI and ACS Style

Haraguchi, A.; Sakaki, M. Formation of Soil Chemical Environment in Coastal Pinus thunbergii Parlatore Forest in Southwestern Japan. Water 2020, 12, 1544. https://doi.org/10.3390/w12061544

AMA Style

Haraguchi A, Sakaki M. Formation of Soil Chemical Environment in Coastal Pinus thunbergii Parlatore Forest in Southwestern Japan. Water. 2020; 12(6):1544. https://doi.org/10.3390/w12061544

Chicago/Turabian Style

Haraguchi, Akira, and Masato Sakaki. 2020. "Formation of Soil Chemical Environment in Coastal Pinus thunbergii Parlatore Forest in Southwestern Japan" Water 12, no. 6: 1544. https://doi.org/10.3390/w12061544

APA Style

Haraguchi, A., & Sakaki, M. (2020). Formation of Soil Chemical Environment in Coastal Pinus thunbergii Parlatore Forest in Southwestern Japan. Water, 12(6), 1544. https://doi.org/10.3390/w12061544

Note that from the first issue of 2016, this journal uses article numbers instead of page numbers. See further details here.

Article Metrics

Back to TopTop