Nitrogen and Phosphorus Loads in Greek Rivers: Implications for Management in Compliance with the Water Framework Directive
Abstract
1. Introduction
2. Materials and Methods
2.1. Description of Data
2.2. Data Treatment and Analysis
2.3. Spatial Data—Land Uses at Catchment Scale
3. Results and Discussion
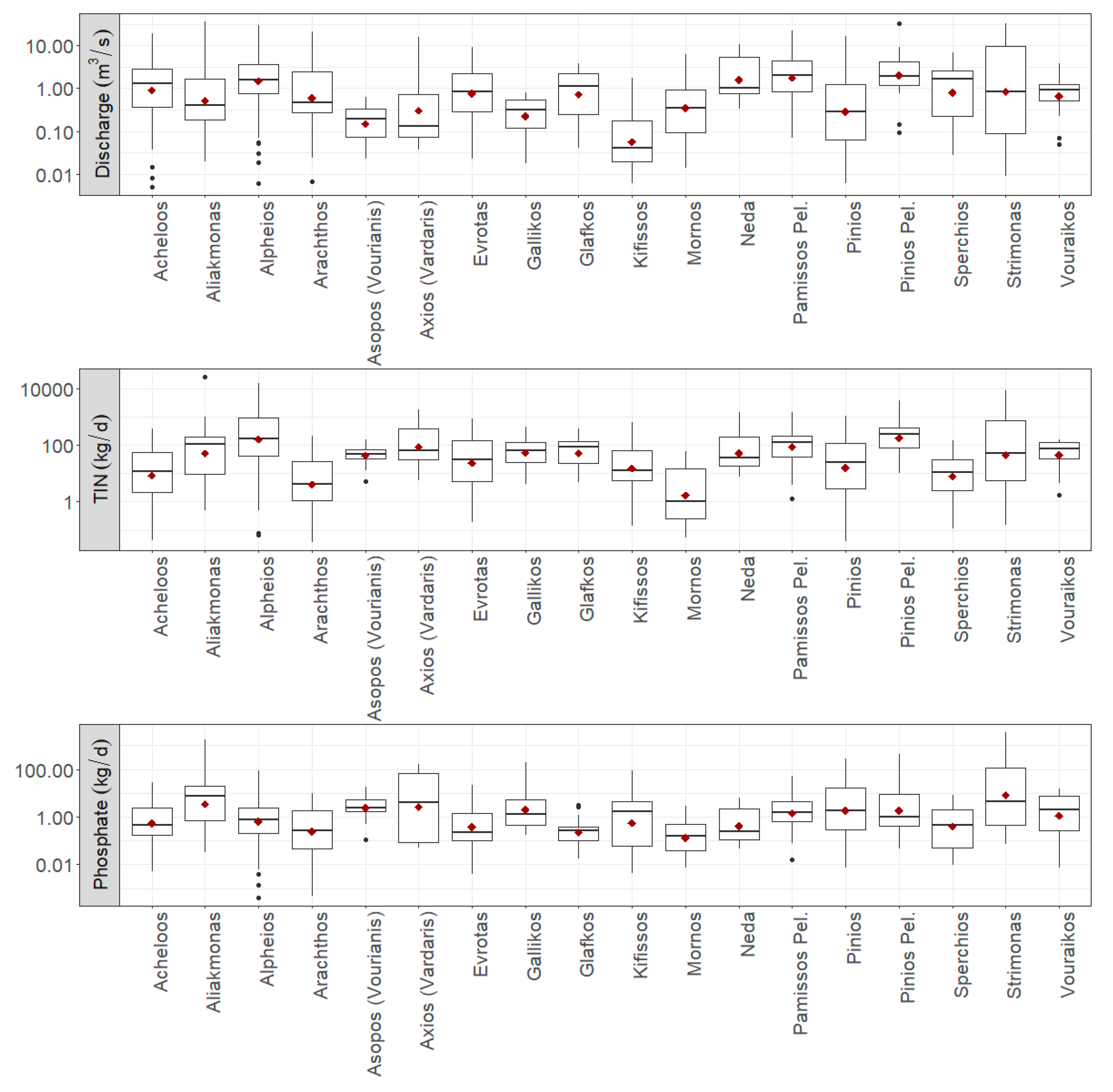
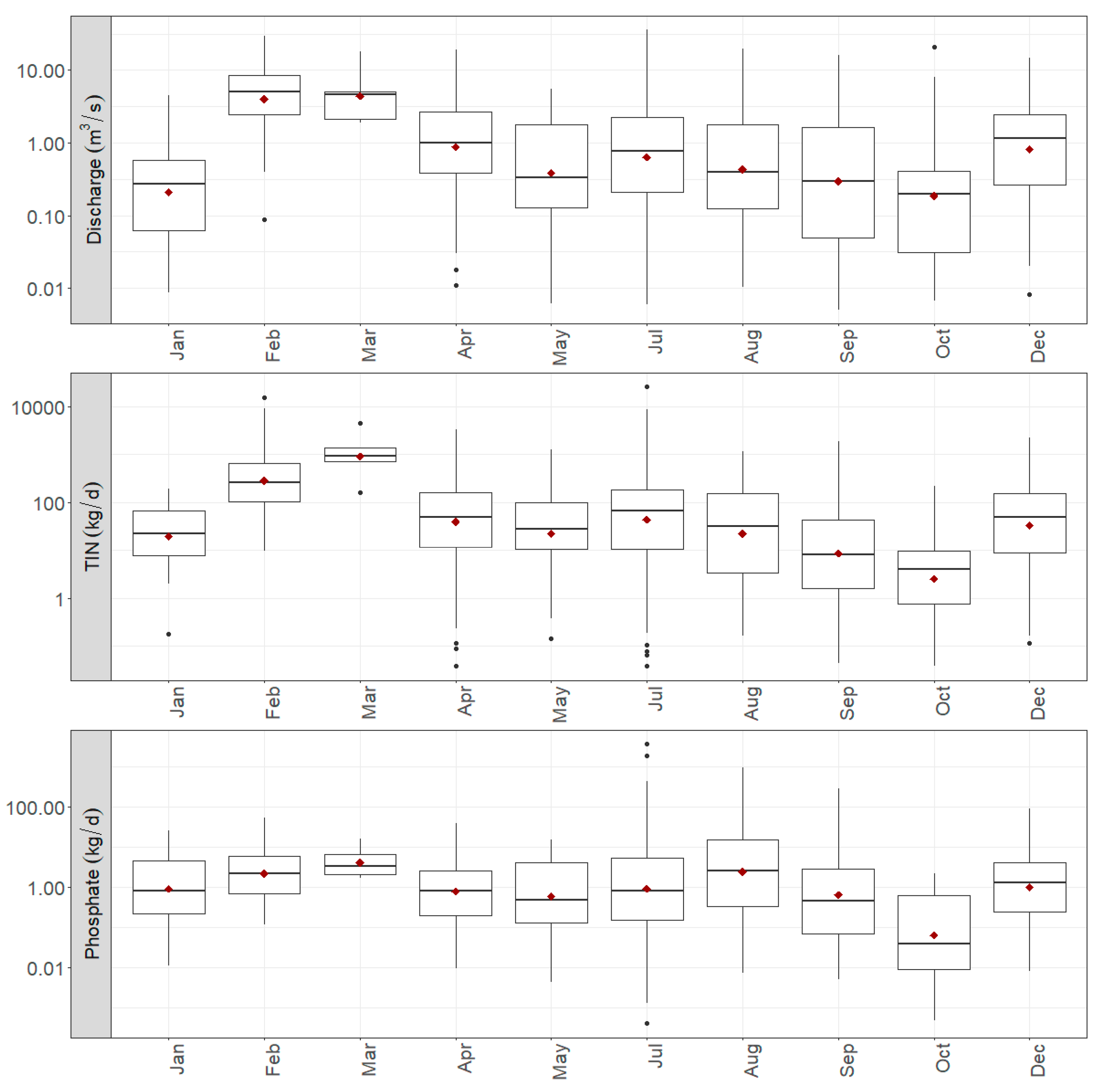
3.1. Spatial Variation of Nutrient Loads
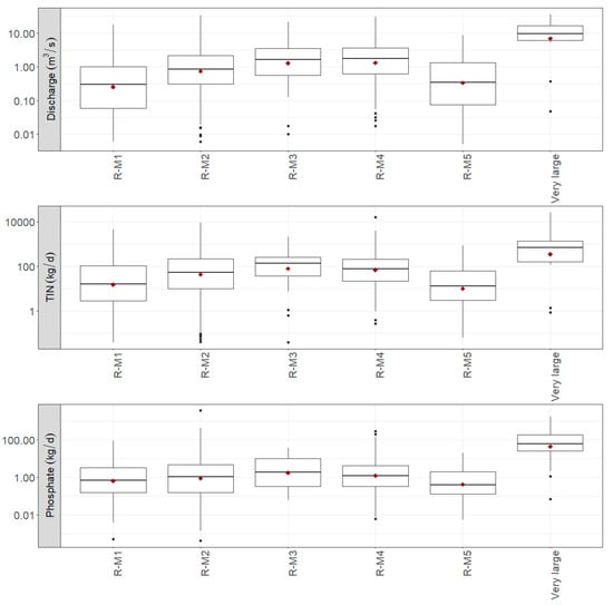
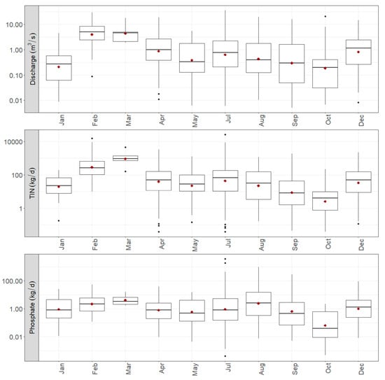
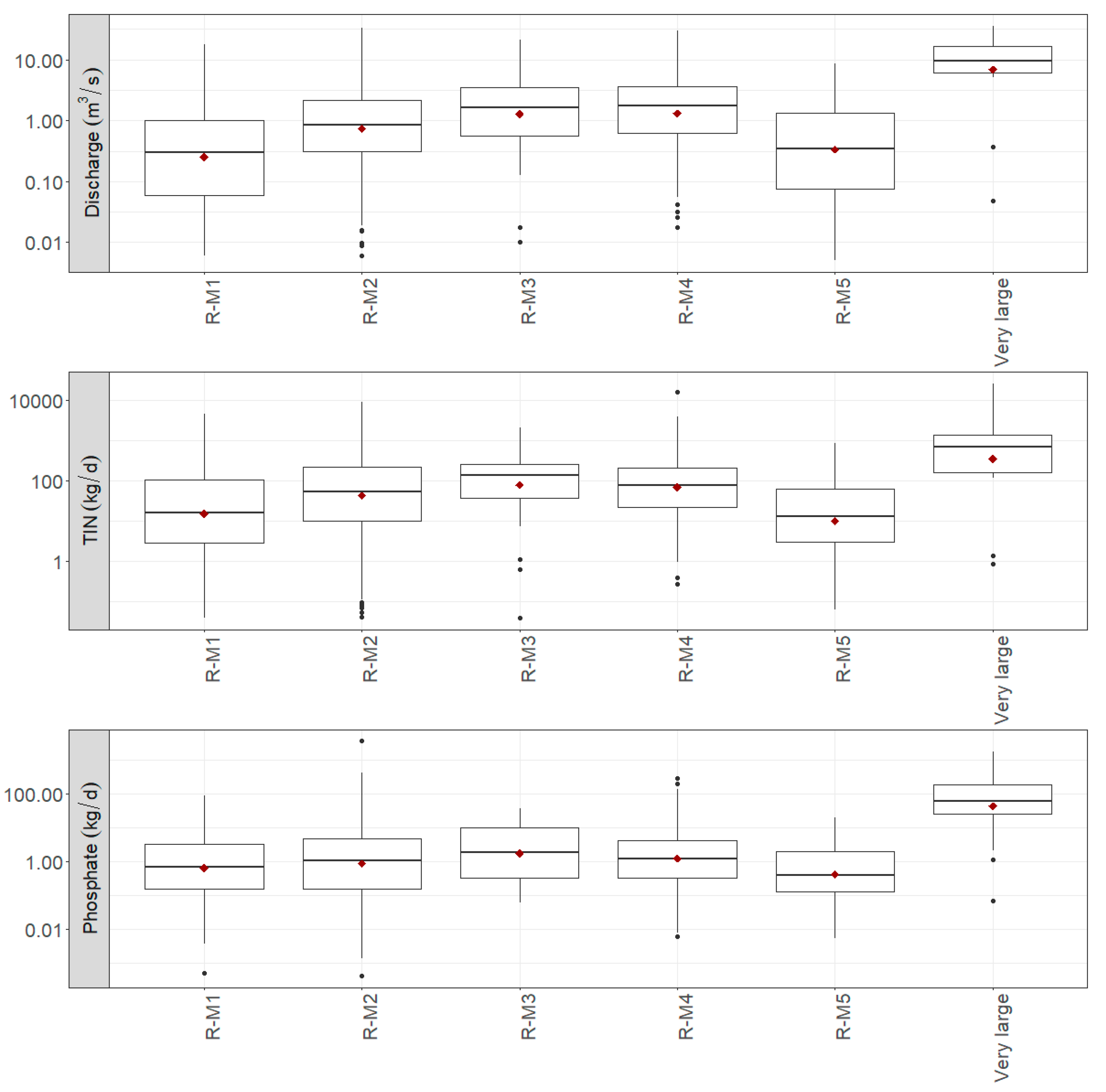
3.2. Hydrology and Land Uses as Main Factors Controlling Temporal and Spatial Variation of Nutrient Loads
3.3. Cluster and Network Analysis
4. Conclusions
Author Contributions
Funding
Conflicts of Interest
References
- Seitzinger, S.P.; Harrison, J.A.; Dumont, E.; Beusen, A.H.; Bouwman, A.F. Sources and delivery of carbon, nitrogen, and phosphorus to the coastal zone: An overview of Global Nutrient Export from Watersheds (NEWS) models and their application. Glob. Biogeochem. Cycles 2005, 19. [Google Scholar] [CrossRef]
- Newbold, J.D.; Elwood, J.W.; O’Neill, R.V.; Winkle, W.V. Measuring nutrient spiralling in streams. Can. J. Aquat. Fish. Sci. 1981, 38, 860–863. [Google Scholar] [CrossRef]
- Amoros, C.; Pelts, G.E. Hydrosystemes Fluviaux; Masson: Paris, French, 1993; p. 300. [Google Scholar]
- Carpenter, S.R.; Caraco, N.F.; Correll, D.L.; Howarth, R.W.; Sharpley, A.N.; Smith, V.H. Nonpoint pollution of surface waters with phosphorus and nitrogen. Ecol. Appl. 1998, 8, 559–568. [Google Scholar] [CrossRef]
- Correll, D.L. The role of phosphorus in the eutrophication of receiving waters: A review. J. Environ. Qual. 1998, 27, 261–266. [Google Scholar] [CrossRef]
- Smith, V.H.; Tilman, G.D.; Nekola, J.C. Eutrophication: Impacts of excess nutrient inputs on freshwater, marine, and terrestrial ecosystems. Environ. Pollut. 1999, 100, 179–196. [Google Scholar] [CrossRef]
- Ludwig, W.; Dumont, E.; Meybeck, M.; Heussner, S. River discharges of water and nutrients to the Mediterranean and Black Sea: Major drivers for ecosystem changes during past and future decades? Prog. Oceanogr. 2009, 80, 199–217. [Google Scholar] [CrossRef]
- Ludwig, W.; Bouwman, A.F.; Dumont, E.; Lespinas, F. Water and nutrient fluxes from major Mediterranean and Black Sea rivers: Past and future trends and their implications for the basin-scale budgets. Glob. Biogeochem. Cycles 2010, 24. [Google Scholar] [CrossRef]
- Smith, V.H. Eutrophication of freshwater and marine ecosystems: A global problem. Environ. Sci. Pollut. Res. Int. 2003, 10, 126–139. [Google Scholar] [CrossRef]
- Smith, V.H. Responses of estuarine and coastal marine phytoplankton to nitrogen and phosphorus enrichment. Limnol. Oceanogr. 2006, 51, 377–384. [Google Scholar] [CrossRef]
- Stefanidis, K.; Panagopoulos, Y.; Mimikou, M. Response of a multi-stressed Mediterranean river to future climate and socio-economic scenarios. Sci. Total Environ. 2018, 627, 756–769. [Google Scholar] [CrossRef]
- Greene, S.; Taylor, D.; McElarney, Y.R.; Foy, R.H.; Jordan, P. An evaluation of catchment-scale phosphorus mitigation using load apportionment modelling. Sci. Total Environ. 2011, 409, 2211–2221. [Google Scholar] [CrossRef] [PubMed]
- Grizzetti, B.; Bouraoui, F.; Aloe, A. Changes of nitrogen and phosphorus loads to European seas. Glob. Chang. Biol. 2012, 18, 769–782. [Google Scholar] [CrossRef]
- Campbell, J.M.; Jordan, P.; Arnscheidt, J. Using high-resolution phosphorus data to investigate mitigation measures in headwater river catchments. Hydrol. Earth Syst. Sci. 2015, 19, 453. [Google Scholar] [CrossRef]
- Longphuirt, S.N.; O’Boyle, S.; Stengel, D.B. Environmental response of an Irish estuary to changing land management practices. Sci. Total Environ. 2015, 521, 388–399. [Google Scholar] [CrossRef]
- Solheim, A.L.; Austnes, K.; Kristensen, P.; Peterlin, M.; Kodeš, V.; Collins, R.; Semerádová, S.; Künitzer, A.; Filippi, R.; Prchalová, H.; et al. Ecological and Chemical Status and Pressures in European Waters, Thematic Assessment for EEA Water 2012 Report; ETC/ICM: Prague, Czech Republic, 2012. [Google Scholar]
- Spänhoff, B.; Dimmer, R.; Friese, H.; Harnapp, S.; Herbst, F.; Jenemann, K.; Mickel, A.; Rohde, S.; Schönherr, M.; Ziegler, K.; et al. Ecological status of rivers and streams in Saxony (Germany) according to the water framework directive and prospects of improvement. Water 2012, 4, 887–904. [Google Scholar] [CrossRef]
- Grizzetti, B.; Pistocchi, A.; Liquete, C.; Udias, A.; Bouraoui, F.; van de Bund, W. Erratum: Human pressures and ecological status of European rivers. Sci. Rep. 2017, 7, 6941. [Google Scholar] [CrossRef]
- Cosgrove, W.J.; Loucks, D.P. Water management: Current and future challenges and research directions. Water Resour. Res. 2015, 51, 4823–4839. [Google Scholar] [CrossRef]
- Stefanidis, K.; Papaioannou, G.; Markogianni, V.; Dimitriou, E. Water Quality and Hydromorphological Variability in Greek Rivers: A Nationwide Assessment with Implications for Management. Water 2019, 11, 1680. [Google Scholar] [CrossRef]
- Skoulikidis, N.T.; Amaxidis, Y.; Bertahas, I.; Laschou, S.; Gritzalis, K. Analysis of factors driving stream water composition and synthesis of management tools—A case study on small/medium Greek catchments. Sci. Total Environ. 2006, 362, 205–241. [Google Scholar] [CrossRef]
- Panagopoulos, Y.; Makropoulos, C.; Mimikou, M. Diffuse Surface Water Pollution: Driving Factors for Different Geoclimatic Regions. Water Resour. Manag. 2011, 25, 3635–3660. [Google Scholar] [CrossRef]
- Andreadakis, E.; Fountoulis, I.; Mariolakos, I.; Kapourani, E. Hydrometeorological natural disasters and water resources management in Evrotas river basin (Peloponnesus, Greece). In Proceedings of the International Conference ‘AQUA 2008’ on Water Science and Technology, Athens, Athens, 16–19 October 2008. [Google Scholar]
- Vardakas, L.; Skoulikidis, N.; Karaouzas, I.; Gritzalis, K.; Tachos, V.; Zogaris, S.; Kommatas, D.; Economou, A. Assessing the ecological status of the “artificially intermittent” Evrotas River (Greece) according to the Water Framework Directive 2000/60/EC. In Proceedings of the BALWOIS 2010, Ohrid, North Macedonia, 25–29 May 2010. [Google Scholar]
- Mimikou, M.A.; Baltas, E.; Varanou, E.; Pantazis, K. Regional impacts of climate change on water resources quantity and quality indicators. J. Hydrol. 2000, 234, 95–109. [Google Scholar] [CrossRef]
- Varanou, E.; Gkouvatsou, E.; Baltas, E.; Mimikou, M. Quantity and quality integrated catchment modeling under climate change with use of soil and water assessment tool model. J. Hydrol. Eng. 2002, 7, 228–244. [Google Scholar] [CrossRef]
- Karaouzas, I.; Dimitriou, E.; Skoulikidis, N.; Gritzalis, K.; Colombari, E. Linking hydrogeological and ecological tools for an integrated river catchment assessment. Environ. Model. Assess. 2009, 14, 677. [Google Scholar] [CrossRef]
- Skoulikidis, N. The state and origin of river water composition in Greece. In The Rivers of Greece. Evolution, Current Status and Perspectives; Skoulikidis, N., Dimitriou, E., Karaouzas, I., Eds.; Springer: Berlin/Heidelberg, Germany, 2016; pp. 97–127. ISBN 978-3-662-55369-5. [Google Scholar]
- Poulos, S.E. An insight to the fluvial characteristics of the Mediterranean and Black Sea watersheds. In Proceedings of the 9th International Hydrogeological Congress of Greece, 4th MEM Workshop on the Hydrology of Fissured Rocks, Kalavrita, Greece, 5–8 October 2011; Lambrakis, N., Stournaras, G., Katsanou, K., Eds.; Advances in the Research of Aquatic Environment, Environmental Earth Sciences. Springer: Berlin/Heidelberg, Germany, 2011; Volume 1, pp. 191–198. [Google Scholar]
- Rantz, S.E. Measurement and computation of streamflow: Vol. 1, Measurement of stage and discharge. U.S. Geol. Surv. Water-Supply 1982, 2175, 284. [Google Scholar]
- Lazaridou, M.; Ntislidou, C.; Karaouzas, I.; Skoulikidis, N. Harmonisation of a new assessment method for estimating the ecological quality status of Greek running waters. Ecol. Ind. 2017, 84, 683–694. [Google Scholar] [CrossRef]
- R Core Team. R: A Language and Environment for Statistical Computing. Available online: https://www.r-project.org/ (accessed on 1 March 2020).
- Bastian, M.; Heymann, S. Gephi: An open source software for exploring and manipulating networks. In Proceedings of the Third International AAAI Conference on Weblogs and Social Media, San Jose, CA, USA, 17–20 May 2009. [Google Scholar]
- Mockler, E.M.; Deakin, J.; Archbold, M.; Gill, L.; Daly, D.; Bruen, M. Sources of nitrogen and phosphorus emissions to Irish rivers and coastal waters: Estimates from a nutrient load apportionment framework. Sci. Total Environ. 2017, 601–602, 326–339. [Google Scholar] [CrossRef]
- Bøgestrand, J.; Kristensen, P.; Kronvang, B. Source Apportionment of Nitrogen and Phosphorus Inputs Into the Aquatic Environment; European Environment Agency: Copenhagen, Denmark, 2005; p. 48. ISBN 9291677779. [Google Scholar]
- Bowes, M.J.; Smith, J.T.; Neal, C.; Leach, D.V.; Scarlett, P.M.; Wickham, H.D.; Harman, S.A.; Armstrong, L.K.; Davy-Bowker, J.; Haft, M.; et al. Changes in water quality of the River Frome (UK) from 1965 to 2009: Is phosphorus mitigation finally working? Sci. Total Environ. 2011, 409, 3418–3430. [Google Scholar] [CrossRef]
- Giordano, M.; Drieschova, A.; Duncan, J.; Sayama, Y.; De Stefano, L.; Wolf, A. A review of the evolution and state of transboundary freshwater treaties. Int. Environ. Agreem-P 2014, 14, 245–264. [Google Scholar] [CrossRef]
- Tzoraki, O.; Nikolaidis, N.P.; Trancoso, A.R.; Braunschweig, F.; Neves, R. A reach-scale biogeochemical model for temporary rivers. Hydrol. Process. 2009, 23, 272–283. [Google Scholar] [CrossRef]
- European Environment Agency. State and Pressures of the Marine and Coastal Mediterranean Environment; European Environment Agency: Copenhagen, Denmark, 1999; Available online: http://europa.eu.int (accessed on 1 March 2020).
- European Environment Agency. Priority Issues in the Mediterranean Environment; European Environment Agency: Copenhagen, Denmark, 2006; Available online: https://www.eea.europa.eu/publications/eea_report_2006_4 (accessed on 1 March 2020).
- Arazuzo, M.; Valladolid, M.; Mariznez-Bastida, J.J. Spatio-temporal dynamics of ni- trogen in river-alluvial aquifer systems affected by diffuse pollution from agricultural sources: Implications for the implementation of the Nitrates Directive. J. Hydrol. 2011, 411, 155–168. [Google Scholar] [CrossRef]
- Miller, C.; Magdalina, A.; Willows, R.I.; Bowman, A.W.; Scott, E.M.; Lee, D.; Burgess, S.; Pope, L.; Pannullo, F.; Haggarty, R. Spatiotemporal statistical modelling of long-term change in river nutrient concentrations in England & Wales. Sci. Total Environ. 2014, 466–467, 914–923. [Google Scholar]
- Stefanidis, K.; Panagopoulos, Y.; Mimikou, M. Impact assessment of agricultural driven stressors on benthic macroinvertebrates using simulated data. Sci. Total Environ. 2016, 540, 32–42. [Google Scholar] [CrossRef] [PubMed]
- Ning, B.; He, Y. Tourism development and water pollution: Case study in Lijiang ancient town. Zhongguo Renkou Ziyuan Yu Huan Jing/ China Popul. Resour. Environ. 2007, 17, 123–127. [Google Scholar] [CrossRef]
- Gao, J.; Zhang, L. Exploring the dynamic linkages between tourism growth and environmental pollution: New evidence from the Mediterranean countries. Curr. Issues Tour. 2019. [Google Scholar] [CrossRef]
- Donohue, I.; McGarrigle, M.L.; Mills, P. Linking catchment characteristics and water chemistry with the ecological status of Irish rivers. Water Res. 2006, 40, 91–98. [Google Scholar] [CrossRef]
- Roberts, W.M.; Fealy, R.M.; Doody, D.G.; Jordan, P.; Daly, K. Estimating the effects of land use at different scales on high ecological status in Irish rivers. Sci. Total Environ. 2016, 572, 618–625. [Google Scholar] [CrossRef]
- Bouraoui, F.; Grizzetti, B. Modelling mitigation options to reduce diffuse nitrogen water pollution from agriculture. Sci. Total Environ. 2014, 468–469, 1267–1277. [Google Scholar] [CrossRef]
- Trepel, M. Towards ecohydrological nutrient management for river basin districts. Ecohydrol. Hydrobiol. 2016, 16, 92–98. [Google Scholar] [CrossRef]
- Trepel, M. Assessing the cost-effectiveness of the water purification function of wetlands for environmental planning. Ecol. Complex. 2010, 7, 320–326. [Google Scholar] [CrossRef]
- Weigelhofer, G.; Fuchsberger, J.; Teufl, B.; Welti, N.; Hein, T. Effects of Riparian Forest Buffers on In-Stream Nutrient Retention in Agricultural Catchments. J. Environ. Qual. 2012, 41, 373–379. [Google Scholar] [CrossRef]
- Ollivier, G.; Magda, D.; Mazé, A.; Plumecocq, G.; Lamine, C. Agroecological transitions: What can sustainability transition frameworks teach us? an ontological and empirical analysis. Ecol. Soc. 2018, 23. [Google Scholar] [CrossRef]










| River | River Basin District (RBD) | No of Records | Catchment Area (km2) | |
|---|---|---|---|---|
| 01 | Alfeios | GR01 (Western Peloponnese) | 131 | 3610 |
| 02 | Neda | 16 | 278 | |
| 03 | Pamisos | 57 | 781 | |
| 04 | Glafkos | GR02 (Northern Peloponnese) | 19 | 165 |
| 05 | Pineios Pelop. | 22 | 913 | |
| 06 | Vouraikos | 12 | 233 | |
| 07 | Evrotas | GR03 (Eastern Peloponnese) | 15 | 2410 |
| 08 | Acheloos | GR04 (West. Sterea Ellada) | 79 | 5688 |
| 09 | Mornos | 18 | 1010 | |
| 10 | Arachthos | GR05 (Epirus) | 23 | 2209 |
| 11 | Kifissos | GR06 (Attica) | 25 | 430 |
| 12 | Asopos | GR07 (East. Sterea Ellada) | 12 | 1100 |
| 13 | Spercheios | 21 | 1662 | |
| 14 | Pineios | GR08 (Thessaly) | 94 | 10,845 |
| 15 | Aliakmonas | GR09 (Western Macedonia) | 49 | 9455 |
| 16 | Axios | GR10 (Central Macedonia) | 13 | 24,938 |
| 17 | Gallikos | 12 | 930 | |
| 18 | Strymonas | GR11 (Eastern Macedonia) | 18 | 16,816 |
| TOTAL | 636 |
| Class | Total Inorganic Phosphorus Load (kg/day) | Total Inorganic Nitrogen Load (kg/day) |
|---|---|---|
| High | >4.25 | >171 |
| Moderate | 0.95–4.25 | 46–171 |
| Low | 0.2–0.95 | 8–46 |
| Very low | <0.2 | <8 |
| Catchment | Ν | Sites | P-PO4 Load (kg/day) | TIN Load (kg/day) | Discharge (m3/s) |
|---|---|---|---|---|---|
| Aliakmonas | 49 | 17 | 47.71 | 660.63 | 1.98 |
| Alfeios | 131 | 23 | 2.95 | 887.49 | 3.31 |
| Axios | 13 | 5 | 39.28 | 368.17 | 2.63 |
| Arachthos | 23 | 9 | 1.65 | 23.58 | 2.53 |
| Asopos | 12 | 3 | 4.51 | 60.29 | 0.22 |
| Acheloos | 79 | 18 | 3.16 | 45.07 | 2.49 |
| Vouraikos | 12 | 4 | 4.44 | 76.70 | 1.11 |
| Gallikos | 12 | 6 | 21.45 | 108.10 | 0.35 |
| Glafkos | 19 | 3 | 0.54 | 89.32 | 1.34 |
| Evrotas | 15 | 9 | 2.40 | 153.29 | 2.10 |
| Kifissos | 25 | 5 | 6.07 | 63.27 | 0.17 |
| Mornos | 18 | 4 | 0.42 | 13.21 | 1.29 |
| Neda | 16 | 3 | 1.20 | 176.71 | 3.12 |
| Pamisos | 57 | 9 | 4.51 | 183.59 | 3.44 |
| Pinios | 94 | 36 | 18.81 | 87.10 | 1.37 |
| Pinios Pel. | 22 | 5 | 25.43 | 387.24 | 4.21 |
| Sperchios | 21 | 11 | 1.90 | 27.18 | 1.89 |
| Strymonas | 18 | 12 | 312.56 | 851.05 | 6.37 |
| Artificial LU (%) | Agricultural LU (%) | Forest and Semi-Natural LU (%) | N-NO3 (kg/day) | N-NH4 (kg/day) | P-PO4 (kg/day) | TIN (kg/day) | |
|---|---|---|---|---|---|---|---|
| Agricultural LU (%) | 0.382 | 1 | |||||
| Forest and semi-natural LU (%) | −0.579 * | −0.909 ** | 1 | ||||
| N-NO3 (kg/day) | 0.171 | 0.744 ** | −0.629 ** | 1 | |||
| N-NH4 (kg/day) | −0.115 | 0.535 * | −0.400 | 0.797 ** | 1 | ||
| P-PO4 (kg/day) | 0.559 * | 0.753 ** | −0.821 ** | 0.282 | 0.538 * | 1 | |
| TIN (kg/day) | 0.162 | 0.741 ** | −0.624 ** | 0.997 ** | 0.803 ** | 0.685 ** | 1 |
| Discharge (m3/s) | −0.459 | 0.379 | −0.182 | 0.579 * | 0.621 * | 0.218 | 0.571 * |
© 2020 by the authors. Licensee MDPI, Basel, Switzerland. This article is an open access article distributed under the terms and conditions of the Creative Commons Attribution (CC BY) license (http://creativecommons.org/licenses/by/4.0/).
Share and Cite
Stefanidis, K.; Christopoulou, A.; Poulos, S.; Dassenakis, E.; Dimitriou, E. Nitrogen and Phosphorus Loads in Greek Rivers: Implications for Management in Compliance with the Water Framework Directive. Water 2020, 12, 1531. https://doi.org/10.3390/w12061531
Stefanidis K, Christopoulou A, Poulos S, Dassenakis E, Dimitriou E. Nitrogen and Phosphorus Loads in Greek Rivers: Implications for Management in Compliance with the Water Framework Directive. Water. 2020; 12(6):1531. https://doi.org/10.3390/w12061531
Chicago/Turabian StyleStefanidis, Konstantinos, Aikaterini Christopoulou, Serafeim Poulos, Emmanouil Dassenakis, and Elias Dimitriou. 2020. "Nitrogen and Phosphorus Loads in Greek Rivers: Implications for Management in Compliance with the Water Framework Directive" Water 12, no. 6: 1531. https://doi.org/10.3390/w12061531
APA StyleStefanidis, K., Christopoulou, A., Poulos, S., Dassenakis, E., & Dimitriou, E. (2020). Nitrogen and Phosphorus Loads in Greek Rivers: Implications for Management in Compliance with the Water Framework Directive. Water, 12(6), 1531. https://doi.org/10.3390/w12061531

