Do Land Use Changes Balance out Sediment Yields under Climate Change Predictions on the Sub-Basin Scale? The Carpathian Basin as an Example
Abstract
1. Introduction
2. Materials and Methods
2.1. Study Area Description
2.2. Macromodel DNS/SWAT Description
2.2.1. Model Set Up and Simulation
- map of Poland hydrographical divisions, scale of 1:10,000 (source: IMGW-PIB, resolution: 5 m);
- digital elevation model (DEM), scale of 1:20,000 (source: IMGW-PIB, resolution: 10 m);
- land use map—based on Corine Land Cover (CLC 2012), and agrotechnical data from the Local Data Bank (Figure 2b) (source: Copernicus Programme, resolution 20 m);
- soil map—detailed data on soil types, scale of 1:5000 (Figure 2c) (source: Institute of Soil Science and Plant Cultivation, resolution 2.5 m);
- meteorological data (1992–2016, e.g., precipitation and temperature) for 75 stations located directly in the basin, and within 20 km from its borders (source: IMGW-PIB);
- surface water quality data for suspended sediment (source: Polish State Monitoring System).
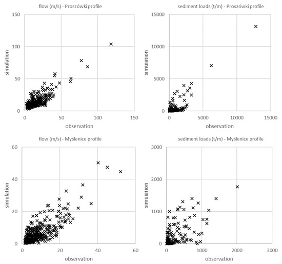
2.2.2. Model Calibration/Validation
2.3. Scenarios
- climate scenarios—taking into account the forecasted temperature and rainfall changes in the Raba River basin developed on the basis of RCP 4.5 and 8.5;
- land use scenarios (LU)—taking into account the forecast changes in land use of the Raba River basin (increase in forest and urban areas) developed as part of the FORECOM project [77].
2.3.1. Climate Scenarios
- C1.1—RCP 4.5 for the short-time perspective 2021–2050;
- C1.2—RCP 4.5 for the long-time perspective 2071–2100;
- C2.1—RCP 8.5 for the short-time perspective 2021–2050;
- C2.2—RCP 8.5 for the long-time perspective 2071–2100.
2.3.2. Land Use Scenarios (FOREST and URBAN)
- trend forecast—assuming the continuation of the dynamics of forest surface changes and land use established for the period of 1970–2013. In this forecast, forest and urban areas are projected to increase by 23% and 10%, respectively;
- liberal forecast—assuming that the directions of future land use changes will be primarily determined by free market mechanisms (with the main role played by the profitability of specific activities such as agriculture, forestry, or housing in the basin area). In this forecast, forest and urban areas are projected to increase by 30% and 15%, respectively.
3. Results
4. Discussion
5. Conclusions
Author Contributions
Funding
Conflicts of Interest
References
- Prosdocimi, M.; Cerdà, A.; Tarolli, P. Soil water erosion on Mediterranean vineyards: A review. Catena 2016, 141, 1–21. [Google Scholar] [CrossRef]
- Raclot, D.; Le Bissonnais, Y.; Annabi, M.; Sabir, M.; Smetanova, A. Main issues for preserving Mediterranean soil resources from water erosion under global change. Land Degrad. Dev. 2018, 29, 789–799. [Google Scholar] [CrossRef]
- Xiong, M.; Sun, R.; Chen, L. Effects of soil conservation techniques on water erosion control: A global analysis. Sci. Total Environ. 2018, 645, 753–760. [Google Scholar] [CrossRef] [PubMed]
- Hao, H.X.; Wang, J.G.; Guo, Z.L.; Hua, L. Water erosion processes and dynamic changes of sediment size distribution under the combined effects of rainfall and overland flow. Catena 2019, 173, 494–504. [Google Scholar] [CrossRef]
- Pastor, A.V.; Nunes, J.P.; Ciampalini, R.; Koopmans, M.; Baartman, J.; Huard, F.; Calheiros, T.; Le-Bissonnais, Y.; Keizer, J.J.; Raclot, D. Projecting Future Impacts of Global Change Including Fires on Soil Erosion to Anticipate Better Land Management in the Forests of NW Portugal. Water 2019, 11, 2617. [Google Scholar] [CrossRef]
- Li, L.; Nearing, M.A.; Nichols, M.H.; Polyakov, V.O.; Cavanaugh, M.L. Using terrestrial LiDAR to measure water erosion on stony plots under simulated rainfall. Earth Surf. Process. Landf. 2020, 45, 484–495. [Google Scholar] [CrossRef]
- Chuenchum, P.; Xu, M.; Tang, W. Estimation of Soil Erosion and Sediment Yield in the Lancang–Mekong River Using the Modified Revised Universal Soil Loss Equation and GIS Techniques. Water 2020, 12, 135. [Google Scholar] [CrossRef]
- Zeng, S.; Zhan, C.; Sun, F.; Du, H.; Wang, F. Effects of climate change and human activities on surface runoff in the Luan River Basin. Adv. Meteorol. 2015. [Google Scholar] [CrossRef]
- Guzha, A.C.; Rufino, M.C.; Okoth, S.; Jacobs, S.; Nóbrega, R.L.B. Impacts of land use and land cover change on surface runoff, discharge and low flows: Evidence from East Africa. J. Hydrol. Reg. Stud. 2018, 15, 49–67. [Google Scholar] [CrossRef]
- Dimotta, A.; Lazzari, M.; Cozzi, M.; Romano, S. 2017—Soil erosion modelling on arable lands and soil types in Basilicata, Southern Italy. In Proceedings of the International Conference on Computational Science and Its Applications, Trieste, Italy, 3–6 July 2017; Lecture Notes in Computer Science LNCS, Part V. Volume 10408, pp. 57–72. [Google Scholar]
- García-Ruiz, J.M.; Beguería, S.; Lana-Renault, N.; Nadal-Romero, E.; Cerdà, A. Ongoing and emerging questions in water erosion studies. Land Degrad. Dev. 2017, 28, 5–21. [Google Scholar] [CrossRef]
- Halecki, W.; Kruk, E.; Ryczek, M. Loss of topsoil and soil erosion by water in agricultural areas: A multi-criteria approach for various land use scenarios in the Western Carpathians using a SWAT model. Land Use Policy 2018, 73, 363–372. [Google Scholar] [CrossRef]
- Luetzenburg, G.; Bittner, M.J.; Calsamiglia, A.; Renschler, C.S.; Estrany, J.; Poeppl, R. Climate and land use change effects on soil erosion in two small agricultural catchment systems Fugnitz–Austria, Can Revull–Spain. Sci. Total Environ. 2020, 704, 135389. [Google Scholar] [CrossRef] [PubMed]
- Almasi, P.; Soltani, S.; Goodarzi, M.; Modarres, R. Assessment the Impacts of Climate Change on Surface Runoff in Bazoft Watershed. JWSS-Isfahan Univ. Technol. 2017, 20, 39–52. [Google Scholar] [CrossRef][Green Version]
- Yin, J.; He, F.; Xiong, Y.J.; Qiu, G.Y. Effects of land use/land cover and climate changes on surface runoff in a semi-humid and semi-arid transition zone in northwest China. Hydrol. Earth Syst. Sci. 2017, 21, 183. [Google Scholar] [CrossRef]
- Feng, T.; Wei, W.; Chen, L.; Rodrigo-Comino, J.; Die, C.; Feng, X.; Ren, K.; Brevik, C.A.; Yu, Y. Assessment of the impact of different vegetation patterns on soil erosion processes on semiarid loess slopes. Earth Surf. Process. Landf. 2018, 43, 1860–1870. [Google Scholar] [CrossRef]
- Zuo, D.; Xu, Z.; Yao, W.; Jin, S.; Xiao, P.; Ran, D. Assessing the effects of changes in land use and climate on runoff and sediment yields from a watershed in the Loess Plateau of China. Sci. Total Environ. 2016, 544, 238–250. [Google Scholar] [CrossRef]
- Bussi, G.; Dadson, S.J.; Prudhomme, C.; Whitehead, P.G. Modelling the future impacts of climate and land-use change on suspended sediment transport in the River Thames (UK). J. Hydrol. 2016, 542, 357–372. [Google Scholar] [CrossRef]
- Farjad, B.; Gupta, A.; Razavi, S.; Faramarzi, M.; Marceau, D.J. An integrated modelling system to predict hydrological processes under climate and land-use/cover change scenarios. Water 2017, 9, 767. [Google Scholar] [CrossRef]
- Zamora-Gutierrez, V.; Pearson, R.G.; Green, R.E.; Jones, K.E. Forecasting the combined effects of climate and land use change on Mexican bats. Divers. Distrib. 2018, 24, 363–374. [Google Scholar] [CrossRef]
- Mishra, B.K.; Rafiei Emam, A.; Masago, Y.; Kumar, P.; Regmi, R.K.; Fukushi, K. Assessment of future flood inundations under climate and land use change scenarios in the Ciliwung River Basin, Jakarta. J. Flood Risk Manag. 2018, 11, S1105–S1115. [Google Scholar] [CrossRef]
- Chen, D.; Li, J.; Zhou, Z.; Liu, Y.; Li, T.; Liu, J. Simulating and mapping the spatial and seasonal effects of future climate and land-use changes on ecosystem services in the Yanhe watershed, China. Environ. Sci. Pollut. Res. 2018, 25, 1115–1131. [Google Scholar] [CrossRef] [PubMed]
- Smidt, S.J.; Tayyebi, A.; Kendall, A.D.; Pijanowski, B.C.; Hyndman, D.W. Agricultural implications of providing soil-based constraints on urban expansion: Land use forecasts to 2050. J. Environ. Manag. 2018, 217, 677–689. [Google Scholar] [CrossRef] [PubMed]
- Woldesenbet, T.A.; Elagib, N.A.; Ribbe, L.; Heinrich, J. Catchment response to climate and land use changes in the Upper Bluu Nile sub-basins, Ethiopia. Sci. Total Environ. 2018, 644, 193–206. [Google Scholar] [CrossRef] [PubMed]
- Khatri, K.B.; Strong, C.; von Stackelberg, N.; Buchert, M.; Kochanski, A.K. Impact of Climate and Land Use Change on Streamflow and Sediment Yield in a Snow-Dominated Semiarid Mountainous Watershed. JAWRA J. Am. Water Resour. Assoc. 2019, 55, 1540–1563. [Google Scholar] [CrossRef]
- Gusarov, A.V. The impact of contemporary changes in climate and land use/cover on tendencies in water flow, suspended sediment yield and erosion intensity in the northeastern part of the Don River basin, SW European Russia. Environ. Res. 2019, 175, 468–488. [Google Scholar] [CrossRef] [PubMed]
- de Hipt, F.O.; Diekkrüger, B.; Steup, G.; Yira, Y.; Hoffmann, T.; Rode, M.; Näschen, K. Modeling the effect of land use and climate change on water resources and soil erosion in a tropical West African catch-ment (Dano, Burkina Faso) using SHETRAN. Sci. Total Environ. 2019, 653, 431–445. [Google Scholar] [CrossRef]
- Giri, S.; Arbab, N.N.; Lathrop, R.G. Assessing the potential impacts of climate and land use change on water fluxes and sediment transport in a loosely coupled system. J. Hydrol. 2019, 577, 123955. [Google Scholar] [CrossRef]
- Aboelnour, M.; Gitau, M.W.; Engel, B.A. Hydrologic response in an urban watershed as affected by climate and land-use change. Water 2019, 11, 1603. [Google Scholar] [CrossRef]
- Zhang, R.; Corte-Real, J.; Moreira, M.; Kilsby, C.; Birkinshaw, S.; Burton, A.; Fowler, H.J.; Forsythe, N.; Nunes, J.P.; Sampaio, E.; et al. Downscaling climate change of water availability, sediment yield and extreme events: Application to a Mediterranean climate basin. Int. J. Clim. 2019, 39, 2947–2963. [Google Scholar] [CrossRef]
- Wawer, R.; Nowocień, E.; Podolski, B. Actual water erosion risk in Poland based upon corine land cover 2006. Electron. J. Pol. Agric. Univ. 2010, 13, 2–13. [Google Scholar]
- Korpak, J.; Lenar-Matyas, A.; Łapuszek, M.; Mączałowski, A. Effect of Riffle Sequences on Discharge and Sediment Transport in a Mountain Stream. J. Ecol. Eng. 2019, 20, 157–166. [Google Scholar] [CrossRef]
- Kozak, J.; Kaim, D. FORECOM: User’s Guide; Institute of Geography and Spatial Management—Jagiellonian University in Kraków: Kraków, Poland, 2016. [Google Scholar]
- Cegielska, K.; Noszczyk, T.; Kukulska, A.; Szylar, M.; Hernik, J.; Dixon-Gough, R.; Jombach, S.; Valánszki, I.; Kovács, K.F. Land use and land cover changes in post-socialist countries: Some observations from Hungary and Poland. Land Use Policy 2018, 78, 1–18. [Google Scholar] [CrossRef]
- Dobosz, M.; Kozak, J.; Kolecka, N. Integrating contemporary spatial forest cover data in the polish Carpathians: Does abundance of data increase knowledge or uncertainty? Geoinform. Pol. 2019, 18, 31–43. [Google Scholar] [CrossRef]
- Mazurkiewicz-Boron, G. Catchment conditions, chemistry, and water trophies. In The Dobczyce Reservoir; Sadag, T., Bandula, T., Materek, E., Mazurkiewicz-Boron, G., Slonki, R., Eds.; Attyka: Krakow, Poland, 2016; pp. 147–153. (In Polish) [Google Scholar]
- Operacz, A. The term “effective hydropower potential” based on sustainable development–an initial case study of the Raba river in Poland. Renew. Sustain. Energy 2017, 75, 1453–1463. [Google Scholar] [CrossRef]
- Partyka, A. The preliminary estimation of the load of floated rubble transported by the Raba across the water-level indicator cross-section of the river in Stróża in the period 22–28 July 2001. Gospod. Wodna 2002, 10, 422–425. [Google Scholar]
- Ryczek, M.; Kruk, E.; Boroń, K.; Klatka, S.; Stabryła, J. Comparison of methods for determination of soil erodibility factor (K-USLE) on the example of the Kasińczanka stream basin. Acta Sci. Pol.-Form. Circumiectus 2013, 12, 103–110. [Google Scholar]
- Kijowska-Strugała, M.; Wiejaczka, Ł.; Gil, E.; Bochenek, W.; Kiszka, K. The impact of extreme hydro-meteorological events on the transformation of mountain river channels (Polish Flysch Carpathians). Ann. Geomorphol. 2017, 61, 75–89. [Google Scholar] [CrossRef]
- Mularz, S.; Drzewiecki, W. Risk assessment for soil water erosion within the Dobczyce reservoir area based on numerical modeling results. Pol. Soc. Photogramm. Remote Sens. 2007, 17b, 537–541. [Google Scholar]
- Drzewiecki, W.; Mularz, S.; Twardy, S.; Kopacz, M. Calibration of RUSLE/SDR model for estimation of suspended matter load supplied to The Dobczyce Reservoir from its immediate catchment. Arch. Photogramm. Cart. Remote Sens. 2008, 18, 83–98. [Google Scholar]
- Kopacz, M.; Drzewiecki, W.; Twardy, S. Studies on the content of suspension in surface water of the Raba basin supplying the Dobczyce reservoir. Sci. Nat. Technol. 2011, 5, 36. [Google Scholar]
- Szalińska, E.; Orlińska-Woźniak, P.; Wilk, P. Sediment load variability in response to climate and land use changes in the Carpathian catchment (Raba River, Poland). J. Soils Sediments 2020. [Google Scholar] [CrossRef]
- Ostojski, M.S. Modeling Processes of Biogenic Compounds Discharge to the Baltic Sea: On the Example of Total Nitrogen and Phosphorus; PWN: Warszawa, Poland, 2012; pp. 5–111. (In Polish) [Google Scholar]
- Wilk, P.; Orlińska-Woźniak, P.; Gębala, J.; Ostojski, M. The flattening phenomenon in a seasonal variability analysis of the total nitrogen loads in river waters. Tech. Trans. 2017, 11, 137–159. [Google Scholar]
- Wilk, P.; Orlińska-Woźniak, P.; Gębala, J. The river absorption capacity determination as a tool to evaluate state of surface water. Hydrol. Earth Syst. Sci. 2018, 22, 1033–1050. [Google Scholar] [CrossRef]
- Wilk, P.; Orlińska-Woźniak, P.; Gębala, J. Mathematical description of a river absorption capacity on the example of the middle Warta catchment. Environ. Prot. Eng. 2018, 44, 99–116. [Google Scholar] [CrossRef]
- Szalińska, E.; Wilk, P. Sediment quantity management in polish catchment-river-sea systems–should we care? Econ. Environ. 2018, 3, 25–37. [Google Scholar]
- Arnold, J.G.; Moriasi, D.N.; Gassman, P.W.; Abbaspour, K.C.; White, M.J.; Srinivasan, R.; Santhi, C.; Harmel, R.D.; Van Griensven, A.; Van Liew, M.W.; et al. SWAT: Model use, calibration, and validation. Trans. ASABE 2012, 55, 1491–1508. [Google Scholar] [CrossRef]
- Abbaspour, K.C. SWAT-CUP 2012. SWAT Calibration and Uncertainty Program—A User Manual; Swiss Federal Institute of Aquatic Science and Technology: Dübendorf, Switzerland, 2013. [Google Scholar]
- Niraula, R.; Meixner, T.; Norman, L.M. Determining the importance of model calibration for forecasting absolute/relative changes in streamflow from LULC and climate changes. J. Hydrol. 2015, 522, 439–451. [Google Scholar] [CrossRef]
- Marhaento, H.; Booij, M.J.; Rientjes, T.H.M.; Hoekstra, A.Y. Attribution of changes in the water balance of a tropical catchment to land use change using the SWAT model. Hydrol. Process. 2017, 31, 2029–2040. [Google Scholar] [CrossRef]
- Williams, J.R. Sediment routing for agricultural watersheds 1. JAWRA J. Am. Water Resour. Assoc. 1975, 11, 965–974. [Google Scholar] [CrossRef]
- Lu, C.M.; Chiang, L.C. Assessment of Sediment Transport Functions with the Modified SWAT-Twn Model for a Taiwanese Small Mountainous Watershed. Water 2019, 11, 1749. [Google Scholar] [CrossRef]
- Wischmeier, W.H.; Smith, D.D. Predicting Rainfall Losses-a guide to Conservation Planning. In Agriculture Handbook; US Department of Agriculture: Washington, DC, USA, 1978; p. 537. [Google Scholar]
- Abbaspour, K.C.; Rouholahnejad, E.; Vaghefi, S.R.; Srinivasan, R.; Yang, H.; Kløve, B. A continental-scale hydrology and water quality model for Europe: Calibration and uncertainty of a high-resolution large-scale SWAT model. J. Hydrol. 2015, 524, 733–752. [Google Scholar] [CrossRef]
- Park, G.A.; Park, J.Y.; Joh, H.K.; Lee, J.W.; Ahn, S.R.; Kim, S.J. Evaluation of mixed forest evapotranspiration and soil moisture using measured and swat simulated results in a hillslope watershed. KSCE J. Civ. Eng. 2014, 18, 315–322. [Google Scholar] [CrossRef]
- Khoi, D.N.; Thom, V.T. Parameter uncertainty analysis for simulating streamflow in a river catchment of Vietnam. Glob. Ecol. Conserv. 2015, 4, 538–548. [Google Scholar] [CrossRef]
- Liu, Y.; Jiang, H. Sediment Yield Modeling Using SWAT Model: Case of Changjiang River Basin. In Proceedings of the 6th Annual 2018 International Conference on Geo-Spatial Knowledge and Intelligence, Wuhan, China, 14–16 December 2018; Volume 234, p. 012031. [Google Scholar]
- U.S. Geological Survey. Web Page for the LOADEST Software Package. Available online: https://water.usgs.gov/software/loadest/ (accessed on 21 April 2020).
- Krishnan, N.; Raj, C.; Chaubey, I.; Sudheer, K.P. Parameter estimation of SWAT and quantification of consequent confidence bands of model simulations. Environ. Earth Sci. 2018, 77, 470–486. [Google Scholar] [CrossRef]
- Lee, S.; Sadeghi, A.M.; Hively, W.D.; Lang, M.W.; Sharifi, A. Comparative analyses of hydrological responses of two adjacent watersheds to climate variability and change using the SWAT model. Hydrol. Earth Syst. Sci. 2018, 22, 689–708. [Google Scholar] [CrossRef]
- Menard, S. Coefficients of determination for multiple logistic regression analysis. Am. Stat. 2000, 54, 17–24. [Google Scholar]
- Gupta, H.V.; Kling, H. On typical range, sensitivity, and normalization of Mean Squared Error and Nash-Sutcliffe Efficiency type metrics. Water Resour. Res. 2011, 47. [Google Scholar] [CrossRef]
- Le, H.M.; Sutton, J.R.; Bui, D.D.; Bolten, J.D.; Lakshmi, V. Comparison and Bias Correction of TMPA Precipitation Products over the Lower Part of Red–Thai Binh River Basin of Vietnam. Remote Sens. 2018, 10, 1582. [Google Scholar] [CrossRef]
- Knoben, W.J.; Freer, J.E.; Woods, R.A. Inherent benchmark or not? Comparing Nash–Sutcliffe and Kling–Gupta efficiency scores. Hydrol. Earth Syst. Sci. 2019, 23, 4323–4331. [Google Scholar] [CrossRef]
- Patil, S.D.; Stieglitz, M. Comparing spatial and temporal transferability of hydrological model parameters. J. Hydrol. 2015, 525, 409–417. [Google Scholar] [CrossRef]
- Xing, L.; Zuo, J.; Liu, F.; Zhang, X.; Cao, Q. February. Simulation of agricultural non-point source pollution in Xichuan by using SWAT model. In IOP Conference Series: Earth and Environmental Science; IOP Publishing: Bristol, UK, 2018; Volume 113, p. 012167. [Google Scholar]
- Libera, D.A.; Sankarasubramanian, A. Multivariate bias corrections of mechanistic water quality model predictions. J. Hydrol. 2018, 564, 529–541. [Google Scholar] [CrossRef]
- Gorczyca, E.; Krzemień, K.; Wrońska-Wałach, D.; Sobucki, M. Channel changes due to extreme rainfalls in the Polish Carpathians. In Geomorphological Impacts of Extreme Weather; Springer Geography: Berlin, Germany, 2013; pp. 23–35. [Google Scholar]
- Cebulska, M.; Twardosz, R. Anomalously wet seasons and years inthe polish Carpathian mountains and in their foreland (1881–2010). Przegląd Geofiz. 2014, 3–4, 111–126. (In Polish) [Google Scholar]
- Bryndal, T.; Franczak, P.; Kroczak, R.; Cabaj, W.; Kołodziej, A. The impact of extreme rainfall and flash floods on the flood risk management process and geomorphological changes in small Carpathian catchments: A case study of the Kasiniczanka river (Outer Carpathians, Poland). Nat. Hazards 2017, 88, 95–120. [Google Scholar] [CrossRef]
- Wypych, A.; Ustrnul, Z.; Czekierda, D.; Palarz, A.; Sulikowska, A. Extreme precipitation events in the Polish Carpathians and their synoptic determinants. J. Hung. Meteorol. Serv. 2018, 122, 145–158. [Google Scholar] [CrossRef]
- Navratil, O.; Esteves, M.; Legout, C.; Gratiot, N.; Nemery, J.; Willmore, S.; Grangeon, T. Global uncertainty analysis of suspended sediment monitoring using turbidimeter in a small mountainous river catchment. J. Hydrol. 2011, 398, 246–259. [Google Scholar] [CrossRef]
- Gupta, H.V.; Kling, H.; Yilmaz, K.K.; Martinez, G.F. Decomposition of the mean squared error and NSE performance criteria: Implications for improving hydrological modelling. J. Hydrol. 2009, 377, 80–91. [Google Scholar] [CrossRef]
- FORECOM Project—Forest Cover Changes in Mountainous Regions—Drivers, Trajectories and Implications. Available online: http://www.gis.geo.uj.edu.pl/FORECOM/index.html (accessed on 21 April 2020).
- Mezghani, A.; Dobler, A.; Haugen, J.E.; Benestad, R.E.; Parding, K.M.; Piniewski, M.; Kardel, I.; Kundzewicz, Z.W. CHASE-PL Climate Projection dataset over Poland-bias adjustment of EURO-CORDEX simulations. J. Earth Syst. Sci. 2017, 9, 905–925. [Google Scholar] [CrossRef]
- Marcinkowski, P.; Piniewski, M.; Kardel, I.; Szcześniak, M.; Benestad, R.; Srinivasan, R.; Ignar, S.; Okruszko, T. Effect of climate change on hydrology, sediment and nutrient losses in two lowland catchments in Poland. Water 2017, 9, 156. [Google Scholar] [CrossRef]
- O’Keeffe, J.; Marcinkowski, P.; Utratna, M.; Piniewski, M.; Kardel, I.; Kundzewicz, Z.W.; Okruszko, T. Modelling Climate Change’s Impact on the Hydrology of Natura 2000 Wetland Habitats in the Vistula and Odra River Basins in Poland. Water 2019, 11, 2191. [Google Scholar] [CrossRef]
- Geoportal on Climate Change and Its Impacts in Poland. Available online: http://climateimpact.sggw.pl/map/proj/ (accessed on 21 April 2020).
- Price, B.; Kaim, D.; Szwagrzyk, M.; Ostapowicz, K.; Kolecka, N.; Schmatz, D.R.; Wypych, A.; Kozak, J. Legacies, socio-economic and biophysical processes and drivers: The case of future forest cover expansion in the Polish Carpathians and Swiss Alps. Reg. Environ. Chang. 2017, 17, 2279–2291. [Google Scholar] [CrossRef]
- Manakov, A.; Suvorkov, P. Analysis of demographic processes in Poland and the Baltic States since the end of the XVIII century and forecast up to 2096. J. Geogr. 2017, 7, 5–13. [Google Scholar]
- Kostanick, H.L. Population and Migration Trends in Eastern Europe; GREENWOOD Press: London, UK, 2019; p. 243. [Google Scholar]
- Kozak, J.; Gimmi, U.; Houet, T.; Bolliger, J. Current practices and challenges for modelling past and future land use and land cover changes in mountainous regions. Reg. Environ. Chang. 2017, 17, 2187–2191. [Google Scholar] [CrossRef]
- Szwagrzyk, M.; Kaim, D.; Price, B.; Wypych, A.; Grabska, E.; Kozak, J. Impact of forecasted land use changes on flood risk in the Polish Carpathians. Nat. Hazards 2018, 94, 227–240. [Google Scholar] [CrossRef]
- GUS 2014—Polish Central Statistical Office. Population Projection 2014–2050. Available online: https://stat.gov.pl/en/topics/population/population-projection/population-projection-2014-2050,2,5.html (accessed on 21 April 2020).
- Orlińska-Woźniak, P.; Szalińska, E.; Wilk, P. A Database for a Sediment Yield Analysis in a Raba River Basin (Carpathian Mts). Mendeley Data 2020, v1. Available online: https://data.mendeley.com/datasets/rft94c75zb/1 (accessed on 21 April 2020).
- Korpak, J.; Krzemien, K.; Radecki-Pawlik, A. Influence of anthropogenic factors on changes of Carpathian stream channels. Infrastruct. Ecol. Rural Areas 2008, 4, 249–260. [Google Scholar]
- Lenar-Matyas, A.; Korpak, J.; Maczalowski, A.; Wolanski, K. Changes in the Krzczonówka stream cross-sections after passing flood discharge. Infrastruct. Ecol. Rural Areas 2015, 4, 965–977. [Google Scholar]
- Russell, K.L.; Vietz, G.J.; Fletcher, T.D. Global sediment yields from urban and urbanizing watersheds. Earth-Sci. Rev. 2017, 168, 73–80. [Google Scholar] [CrossRef]
- Cook, T.L.; Snyder, N.P.; Oswald, W.W.; Paradis, K. Timber harvest and flood impacts on sediment yield in a postglacial, mixed-forest watershed, Maine, USA. Anthropocene 2020, 29, 100232. [Google Scholar] [CrossRef]
- Srivastava, A.; Brooks, E.S.; Dobre, M.; Elliot, W.J.; Wu, J.Q.; Flanagan, D.C.; Gravelle, J.A.; Link, T.E. Modeling forest management effects on water and sediment yield from nested, paired watersheds in the interior Pacific Northwest, USA using WEPP. Sci. Total Environ. 2020, 701, 134877. [Google Scholar] [CrossRef]
- Mohammad, A.G.; Adam, M.A. The impact of vegetative cover type on runoff and soil erosion under different land uses. Catena 2010, 81, 97–103. [Google Scholar] [CrossRef]
- Wang, Z.J.; Jiao, J.Y.; Rayburg, S.; Wang, Q.L.; Su, Y. Soil erosion resistance of “Grain for Green” vegetation types under extreme rainfall conditions on the Loess Plateau, China. Catena 2016, 141, 109–116. [Google Scholar] [CrossRef]
- Nijssen, B.; O’Donnell, G.M.; Hamlet, A.F.; Dennis, P.; Lettenmaier, D.P. Hydrologic Sensitivity of Global Rivers to Climate Change. Clim. Chang. 2001, 50, 143–175. [Google Scholar] [CrossRef]
- Ochoa, P.A.; Fries, A.; Mejia, D.; Burneo, J.I.; Ruíz-Sinoga, J.D.; Cerdà, A. Effects of climate, land cover and topography on soil erosion risk in a semiarid basin of the Andes. Catena 2016, 140, 31–42. [Google Scholar] [CrossRef]
- Li, Z.; Fang, H. Impacts of climate change on water erosion: A review. Earth-Sci. Rev. 2016, 163, 94–117. [Google Scholar] [CrossRef]











| Parameter Name | Definition | t-Stat | p-Value |
|---|---|---|---|
| Upper Raba | |||
| SURLAG.hru | Surface runoff lag coefficient | −1.04 | 0.30 |
| USLE_K(1).sol | USLE equation soil erodibility (K) factor | −0.70 | 0.48 |
| SOL_K(1).sol | Saturated hydraulic conductivity | −0.45 | 0.66 |
| PRF_BSN.bsn | Peak rate adjustment factor for sediment routing in the main channel | −0.40 | 0.69 |
| CH_K2.rte | Effective hydraulic conductivity in the main channel alluvium | −0.31 | 0.76 |
| ESCO.hru | Soil evaporation compensation factor | −0.25 | 0.81 |
| SPEXP.bsn | Exponent parameter for calculating sediment reentrained in channel sediment routing | 0.04 | 0.97 |
| CH_COV1.rte | Channel erodibility factor | 0.11 | 0.91 |
| CH_COV2.rte | Channel cover factor | 0.15 | 0.88 |
| ADJ_PKR.bsn | Peak rate adjustment factor for sediment routing in the subbasin | 0.81 | 0.42 |
| SPCON.bsn | Linear parameter for calculating the maximum amount of sediment that can be reentrained during channel sediment routing. | 0.89 | 0.37 |
| SOL_AWC(1).sol | Available water capacity of the soil layer | 1.37 | 0.17 |
| CH_N2.rte | Manning’s “n” value for the main channel | 5.51 | 0.00 |
| USLE_P.mgt | USLE equation support practice | 7.49 | 0.00 |
| CN2.mgt | Initial SCS runoff curve number for moisture condition | 16.20 | 0.00 |
| HRU_SLP.hru | Average slope steepness | 20.80 | 0.00 |
| Lower Raba | |||
| GW_DELAY.gw | Groundwater delay time | −1.47 | 0.14 |
| USLE_P.mgt | USLE equation support practice | −1.17 | 0.24 |
| SURLAG.hru | Surface runoff lag coefficient | −1.02 | 0.31 |
| USLE_K(1).sol | USLE equation soil erodibility (K) factor | −0.32 | 0.75 |
| SPEXP.bsn | Exponent parameter for calculating sediment reentrained in channel sediment routing | 0.04 | 0.97 |
| CH_COV2.rte | Channel cover factor | 0.08 | 0.94 |
| RES_SED.res | Initial sediment concentration in the reservoir | 0.62 | 0.54 |
| CN2.mgt | Initial SCS runoff curve number for moisture condition | 0.87 | 0.39 |
| SPCON.bsn | Linear parameter for calculating the maximum amount of sediment that can be reentrained during channel sediment routing | 0.89 | 0.37 |
| ADJ_PKR.bsn | Peak rate adjustment factor for sediment routing in the subbasin | 1.08 | 0.28 |
| CH_COV1.rte | Channel erodibility factor | 1.17 | 0.24 |
| RES_RR.res | average daily principal spillway release | 1.17 | 0.24 |
| PRF_BSN.bsn | Peak rate adjustment factor for sediment routing in the main channel | 1.46 | 0.15 |
| ALPHA_BF.gw | Baseflow alpha factor | 1.62 | 0.11 |
| RES_NSED.res | Normal sediment concentration in the reservoir | 2.42 | 0.02 |
| HRU_SLP.hru | Average slope steepness | 5.84 | 0.00 |
| Performance Rating | R2 | NSE | PBIAS% | KGE | |
|---|---|---|---|---|---|
| Flow/Sediments | Flow/Sediments | Sediments | Flow | Flow/Sediments | |
| very good | >0.65 | 0.75 < NSE ≤ 1 | <±25 | <±10 | >0.75 |
| good | 0.5–0.65 | 0.5 < NSE ≤ 0.75 | ≤±25 Pbias < ±40 | ≤±10 Pbias < ±15 | 0.5–0.75 |
| satisfactory | 0.2–0.5 | 0 < NSE ≤ 0.5 | ±40 ≤ Pbias < ±70 | ±15 ≤P bias < ±25 | 0–0.5 |
| nonsatisfactory | <0.2 | NSE ≤ 0 | Pbias ≥ ±70 | Pbias ≥ ±25 | <0 |
| Calculation Profile | Type | Interval | R2 | NSE | PBIAS% | KGE |
|---|---|---|---|---|---|---|
| calibration | ||||||
| Myślenice | flow | 1993–2017 | 0.62 | 0.51 | 21 | 0.7 |
| sediment | 2005–2017 | 0.34 | 0.1 | −2 | 0.58 | |
| Proszówki | flow | 1993–2017 | 0.73 | 0.73 | 4 | 0.8 |
| sediment | 2005–2017 | 0.77 | 0.71 | 27 | 0.69 | |
| validation | ||||||
| Stradomka | flow | 1993–2017 | 0.57 | 0.46 | −14 | 0.72 |
| sediment | 2005–2017 | 0.45 | 0.35 | 39 | 0.19 | |
| Min | Sub-Basin No. | Max | Sub-Basin No. | Average | Standard Deviation | ||
|---|---|---|---|---|---|---|---|
| baseline scenario | |||||||
| lower Raba | spring | 0.16 | 1 | 1.55 | 17 | 0.57 | 0.34 |
| summer | 0.13 | 10 | 1.03 | 17 | 0.41 | 0.23 | |
| autumn | 0.08 | 10 | 0.53 | 4 | 0.21 | 0.12 | |
| winter | 0.09 | 1 | 0.6 | 4 | 0.25 | 0.12 | |
| upper Raba | spring | 0.44 | 21 | 1.38 | 25 | 0.92 | 0.27 |
| summer | 0.16 | 20 | 1.07 | 31 | 0.58 | 0.3 | |
| autumn | 0.11 | 35 | 0.48 | 31 | 0.28 | 0.12 | |
| winter | 0.11 | 35 | 0.43 | 25 | 0.29 | 0.08 | |
| Average | Sd | Average | Sd | Average | Sd | Average | Sd | ||
|---|---|---|---|---|---|---|---|---|---|
| C 1.1 + LU | C 1.2 + LU | C 2.1 + LU | C 2.2 + LU | ||||||
| lower Raba | spring | 0.02 | 0.05 | 0.03 | 0.05 | −0.004 | 0.06 | 0.06 | 0.07 |
| summer | 0.01 | 0.05 | −0.01 | 0.05 | 0.01 | 0.04 | −0.08 | 0.07 | |
| autumn | −0.01 | 0.02 | −0.01 | 0.02 | 0.01 | 0.03 | 0.01 | 0.04 | |
| winter | 0.03 | 0.03 | 0.04 | 0.06 | 0.02 | 0.03 | 0.04 | 0.08 | |
| upper Raba | spring | −0.16 | 0.1 | −0.1 | 0.12 | −0.21 | 0.11 | −0.15 | 0.11 |
| summer | −0.12 | 0.19 | −0.17 | 0.17 | −0.14 | 0.18 | −0.25 | 0.19 | |
| autumn | −0.05 | 0.07 | −0.04 | 0.07 | −0.03 | 0.07 | 0.01 | 0.1 | |
| winter | 0.01 | 0.03 | 0.09 | 0.05 | 0.01 | 0.03 | 0.07 | 0.06 | |
© 2020 by the authors. Licensee MDPI, Basel, Switzerland. This article is an open access article distributed under the terms and conditions of the Creative Commons Attribution (CC BY) license (http://creativecommons.org/licenses/by/4.0/).
Share and Cite
Orlińska-Woźniak, P.; Szalińska, E.; Wilk, P. Do Land Use Changes Balance out Sediment Yields under Climate Change Predictions on the Sub-Basin Scale? The Carpathian Basin as an Example. Water 2020, 12, 1499. https://doi.org/10.3390/w12051499
Orlińska-Woźniak P, Szalińska E, Wilk P. Do Land Use Changes Balance out Sediment Yields under Climate Change Predictions on the Sub-Basin Scale? The Carpathian Basin as an Example. Water. 2020; 12(5):1499. https://doi.org/10.3390/w12051499
Chicago/Turabian StyleOrlińska-Woźniak, Paulina, Ewa Szalińska, and Paweł Wilk. 2020. "Do Land Use Changes Balance out Sediment Yields under Climate Change Predictions on the Sub-Basin Scale? The Carpathian Basin as an Example" Water 12, no. 5: 1499. https://doi.org/10.3390/w12051499
APA StyleOrlińska-Woźniak, P., Szalińska, E., & Wilk, P. (2020). Do Land Use Changes Balance out Sediment Yields under Climate Change Predictions on the Sub-Basin Scale? The Carpathian Basin as an Example. Water, 12(5), 1499. https://doi.org/10.3390/w12051499

