Effects of Secondary Currents on Turbulence Characteristics of Supercritical Open Channel Flows at Low Aspect Ratios
Abstract
1. Introduction
2. Experimental Setup
2.1. Laboratory Model Flume
2.2. Test Conditions
3. Experimental Results and Discussion
3.1. Mean Flow Characteristics
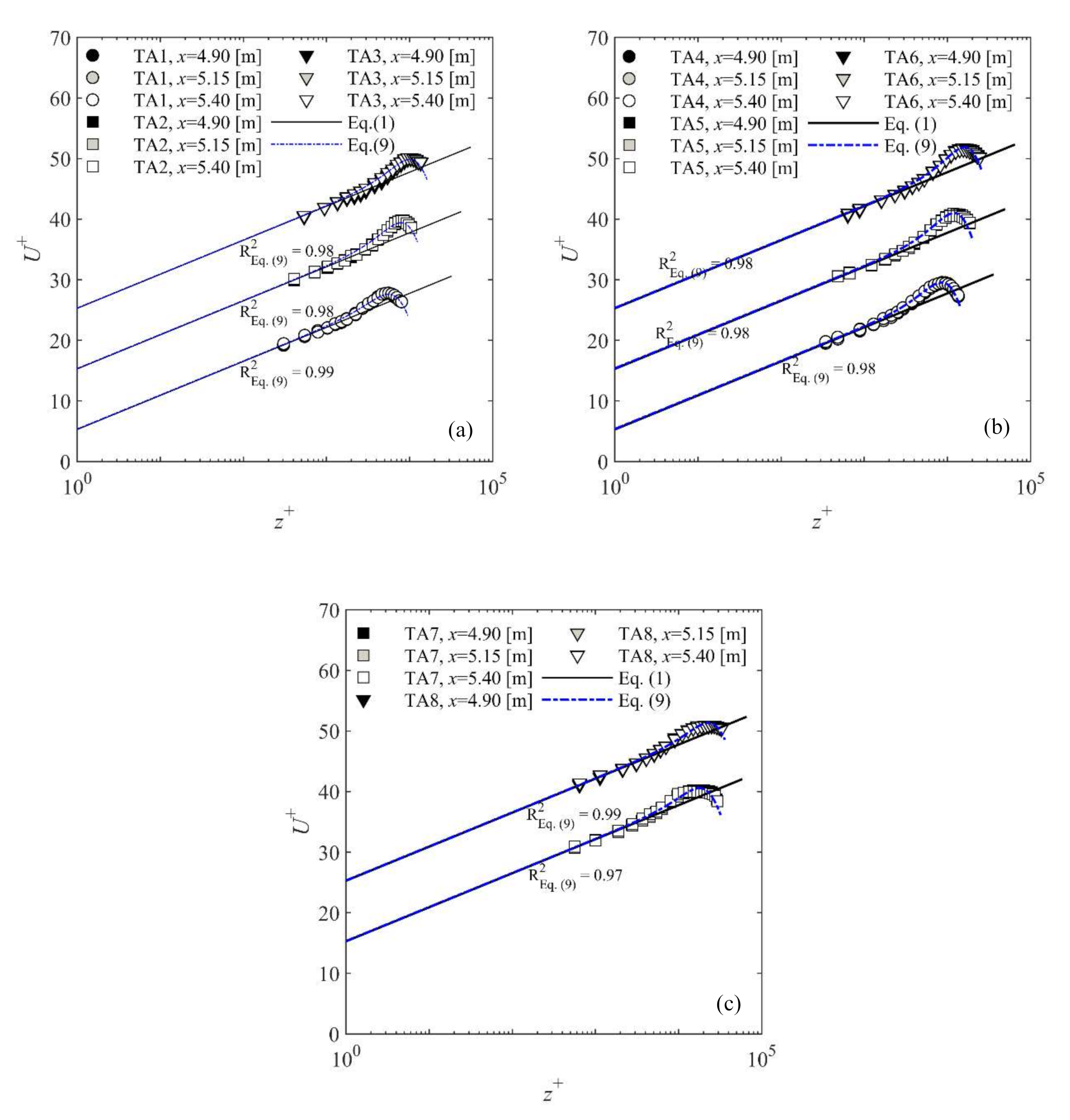
3.2. Logarithmic Law & Friction Velocities
3.3. Turbulent Flow Characteristics
3.3.1. Cross-Sectional Turbulence Intensity Distributions
3.3.2. Vertical Distributions of Turbulence Intensities
3.3.3. Reynolds and Bed Shear Stress Distributions
3.4. Engineering Example
4. Comparison with Literature
5. Conclusions
Author Contributions
Funding
Acknowledgments
Conflicts of Interest
Nomenclature
| A | integral constant (-) |
| B | integral constant (-) |
| b | flume width (m) |
| F | Froude number (-) |
| Fo | approach flow Froude number (-) |
| H | flow depth (m) |
| ho | approach flow depth ((m)) |
| Q | discharge (m3/s) |
| R | Reynolds number (-) |
| Rh | hydraulic radius (m) |
| Sb | bed slope (-) |
| Se | energy line slope (-) |
| U | time averaged streamwise flow velocity (m/s) |
| spatial and time averaged streamwise flow velocity (m/s) | |
| Umax | maximum time averaged streamwise flow velocity (m/s) |
| U | instantaneous streamwise flow velocity (m/s) |
| u’ | streamwise velocity fluctuation (m/s) |
| urms | streamwise turbulence intensity (m/s) |
| u*l | local friction (shear) velocity calculated by log fits (m/s) |
| U*b | average friction velocity determined using bed slope (m/s) |
| U*e | averaged friction velocity determined using energy line slope (m/s) |
| U*l | spatial averaged friction velocity determined from local friction velocities (u*l) (m/s) |
| W | time averaged vertical flow velocity (m/s) |
| w | instantaneous vertical flow velocity (m/s) |
| w′ | vertical velocity fluctuation (m/s) |
| wrms | vertical turbulence intensity (m/s) |
| x | streamwise coordinate (m) |
| y | transverse coordinate (m) |
| z | vertical distance from the flume bed (m) |
| zo | zero velocity level from the flume bed (m) |
| α | ratio of apparent shear stress at the water surface to the bed shear stress (-) |
| β | flow unsteadiness parameter (-) |
| δ | position of maximum streamwise flow velocity (m) |
| η | relative velocity dip position from the flume bed (η = δ/h) (-) |
| κ | von Kármán constant (-) |
| ν | kinematic viscosity of water (m2/s) |
| Π | wake parameter (-) |
| ρ | water density (kg/m3) |
| τ | bed shear stress (N/m2) |
| spatial averaged bed shear stress along the transverse direction (N/m2) |
References
- Boes, R.M.; Hagmann, M. Sedimentation countermeasures—Examples from Switzerland. In Proceedings of the First International Workshop on Sediment Bypass Tunnels, Zurich, Switzerland, 27–29 April 2015. [Google Scholar]
- Micheletti, N.; Lane, S.N. Water yield and sediment export in small, partially glaciated Alpine watersheds in a warming climate. Water Resour. Res. 2016, 52, 4924–4943. [Google Scholar] [CrossRef]
- Delaney, I.; Bauder, A.; Huss, M.; Weidmann, Y. Proglacial erosion rates and processes in a glacierized catchment in the Swiss Alps. Earth Surf. Process. Landf. 2018, 43, 765–778. [Google Scholar] [CrossRef]
- Sklar, L.S.; Dietrich, W.E. A mechanistic model for river incision into bedrock by saltating bed load. Water Resour. Res. 2004, 40. [Google Scholar] [CrossRef]
- Turowski, J.M. Stochastic modeling of the cover effect and bedrock erosion. Water Resour. Res. 2009, 45. [Google Scholar] [CrossRef]
- Auel, C. Flow Characteristics, Particle Motion and Invert Abrasion in Sediment Bypass Tunnels. Ph.D. Thesis, ETH Zurich, Zürich, Switzerland, 2014. [Google Scholar]
- Auel, C.; Albayrak, I.; Sumi, T.; Boes, R.M. Sediment transport in high-speed flows over a fixed bed: 1. Particle dynamics. Earth Surf. Process. Landf. 2017, 42, 1365–1383. [Google Scholar] [CrossRef]
- Auel, C.; Albayrak, I.; Sumi, T.; Boes, R.M. Sediment transport in high-speed flows over a fixed bed: 2. Particle impacts and abrasion prediction. Earth Surf. Process. Landf. 2017, 42, 1384–1396. [Google Scholar] [CrossRef]
- Müller-Hagmann, M.; Albayrak, I.; Auel, C.; Boes, R.M. Field investigation on hydroabrasion in high-speed sediment-laden flows at sediment bypass tunnels. Water 2020, 12, 469. [Google Scholar] [CrossRef]
- Naot, D.; Rodi, W. Calculation of secondary currents in channel flow. J. Hydraul. Div. 1982, 108, 948–968. [Google Scholar]
- Tominaga, A. Nezu, lehisa Velocity profiles in steep open-channel flows. J. Hydraul. Eng. 1992, 118, 73–90. [Google Scholar] [CrossRef]
- Nezu, I.; Nakagawa, H. Turbulence in Open-Channel Flows; IAHR-AIRH monograph series; Balkema: Rotterdam, The Netherlands, 1993; ISBN 978-90-5410-118-5. [Google Scholar]
- Albayrak, I.; Auel, C.; Boes, R.M. Supercritical flow in sediment bypass tunnels. In Proceedings of the 12th International Symposium on River Sedimentation, Kyoto, Japan, 2–5 September 2013; pp. 1867–1875. [Google Scholar]
- Auel, C.; Albayrak, I.; Boes, R.M. Turbulence characteristics in supercritical open channel flows: Effects of Froude number and aspect ratio. J. Hydraul. Eng. 2014, 140, 4014004. [Google Scholar] [CrossRef]
- Nikuradse, J. Strömungsgesetze in Rauhen Rohren [Flow Laws in Rough Pipes]; VDI-Verlag: Dusseldorf, Germany, 1933. [Google Scholar]
- Nezu, I.; Rodi, W. Open-channel flow measurements with a laser Doppler anemometer. J. Hydraul. Eng. 1986, 112, 335–355. [Google Scholar] [CrossRef]
- Cardoso, A.; Graf, W.H.; Gust, G. Uniform flow in a smooth open channel. J. Hydraul. Res. 1989, 27, 603–616. [Google Scholar] [CrossRef]
- Lyn, D. Resistance in flat-bed sediment-laden flows. J. Hydraul. Eng. 1991, 117, 94–114. [Google Scholar] [CrossRef]
- Kironoto, B.; Graf, W.H. Reynolds. Turbulence characteristics in rough non-uniform open-channel flow. Proc. Inst. Civ. Eng. Water Marit. Energy 1995, 112, 336–348. [Google Scholar] [CrossRef]
- Von Kármán, T. Mechanische Ähnlichkeit und Turbulenz [Mechanical similarity and turbulence]. Math Phys. Kl. 1930, 5, 58–76. [Google Scholar]
- Prandtl, L. Zur turbulenten Strömung in Rohren und längs Platten [On turbulent flows in ducts and along plates]. Ergeb. Aerodyn. Vers. Zu Gött. 1932, 4, 18–29. [Google Scholar]
- Coles, D. The law of the wake in the turbulent boundary layer. J. Fluid Mech. 1956, 1, 191–226. [Google Scholar] [CrossRef]
- Schlichting, H.; Gersten, K. Boundary-Layer Theory; Springer: Berlin/Heidelberg, Germany, 1979. [Google Scholar]
- Bradshaw, P.; Huang, G.P. The law of the wall in turbulent flow. Proc. R. Soc. Lond. Ser. Math. Phys. Sci. 1995, 451, 165–188. [Google Scholar]
- Prinos, P.; Zeris, A. Uniform flow in open channels with steep slopes. J. Hydraul. Res. 1995, 33, 705–719. [Google Scholar] [CrossRef]
- Kırkgöz, M.S.; Ardıçlıoğlu, M. Velocity profiles of developing and developed open channel flow. J. Hydraul. Eng. 1997, 123, 1099–1105. [Google Scholar] [CrossRef]
- Keramaris, E.; Pechlivanidis, G. Effects of different porous beds on turbulent characteristics in an open channel above the porous bed. Flow Meas. Instrum. 2017, 54, 20–26. [Google Scholar] [CrossRef]
- Nikuradse, J. Gesetzmäßigkeiten der turbulenten Strömung in glatten Rohren Forsch [Laws of turbulent flows in smooth ducts]. Ing. Wesen. Bd 1932, 356, 1–36. [Google Scholar]
- Shockling, M.; Allen, J.; Smits, A. Roughness effects in turbulent pipe flow. J. Fluid Mech. 2006, 564, 267. [Google Scholar] [CrossRef]
- Langelandsvik, L.; Kunkel, G.; Smits, A.J. Flow in a commercial steel pipe. J. Fluid Mech. 2008, 595, 323. [Google Scholar] [CrossRef]
- Bailey, S.C.; Vallikivi, M.; Hultmark, M.; Smits, A. Estimating the value of von Kármán’s constant in turbulent pipe flow. J. Fluid Mech. 2014, 749, 79. [Google Scholar] [CrossRef]
- Hama, F.R. Boundary layer characteristics for smooth and rough surfaces. Trans. Soc. Nav. Arch. Mar. Engrs. 1954, 62, 333–358. [Google Scholar]
- Colebrook, C.F.; Blench, T.; Chatley, H.; Essex, E.; Finniecome, J.; Lacey, G.; Williamson, J.; Macdonald, G. Turbulent flow in pipes, with particular reference to the transition region between the smooth and rough pipe laws (includes plates). J. Inst. Civ. Eng. 1939, 12, 393–422. [Google Scholar] [CrossRef]
- Busse, A.; Thakkar, M.; Sandham, N.D. Reynolds-number dependence of the near-wall flow over irregular rough surfaces. J. Fluid Mech. 2017, 810, 196–224. [Google Scholar] [CrossRef]
- Duan, J.G. Simulation of flow and mass dispersion in meandering channels. J. Hydraul. Eng. 2004, 130, 964–976. [Google Scholar] [CrossRef]
- Pu, J.H. Universal velocity distribution for smooth and rough open channel flows. J. Appl. Fluid Mech. 2013, 6, 413–423. [Google Scholar]
- Guo, J. Modified log-wake-law for smooth rectangular open channel flow. J. Hydraul. Res. 2014, 52, 121–128. [Google Scholar] [CrossRef]
- Tominaga, A.; Nezu, I.; Ezaki, K.; Nakagawa, H. Three-dimensional turbulent structure in straight open channel flows. J. Hydraul. Res. 1989, 27, 149–173. [Google Scholar] [CrossRef]
- Nezu, I. Open-channel flow turbulence and its research prospect in the 21st century. J. Hydraul. Eng. 2005, 131, 229–246. [Google Scholar] [CrossRef]
- Einstein, H.A.; Li, H. Secondary currents in straight channels. Eos Trans. Am. Geophys. Union 1958, 39, 1085–1088. [Google Scholar] [CrossRef]
- Nezu, I.; Nakagawa, H.; Tominaga, A. Secondary Currents in a Straight Channel Flow and the Relation to Its Aspect Ratio; Springer: Berlin/Heidelberg, Germany, 1985; pp. 246–260. [Google Scholar]
- Nezu, I.; Azuma, R. Turbulence characteristics and interaction between particles and fluid in particle-laden open channel flows. J. Hydraul. Eng. 2004, 130, 988–1001. [Google Scholar] [CrossRef]
- Rodríguez, J.F.; García, M.H. Laboratory measurements of 3-D flow patterns and turbulence in straight open channel with rough bed. J. Hydraul. Res. 2008, 46, 454–465. [Google Scholar] [CrossRef]
- Albayrak, I.; Lemmin, U. Secondary currents and corresponding surface velocity patterns in a turbulent open-channel flow over a rough bed. J. Hydraul. Eng. 2011, 137, 1318–1334. [Google Scholar] [CrossRef]
- Wohl, E.E.; Merritt, D.M. Bedrock channel morphology. Geol. Soc. Am. Bull. 2001, 113, 1205–1212. [Google Scholar] [CrossRef]
- Müller-Hagmann, M. Hydroabrasion by High-Speed Sediment-Laden Lows in Sediment Bypass Tunnels. Ph.D. Thesis, ETH Zurich, Zürich, Switzerland, 2017. [Google Scholar]
- Nikuradse, J. Turbulente Stromung im Innern des rechteckigen offenen Kanals [Turbulent flow inside the rectangular open channels]. Forsch. Heft 1926, 281, 36–44. [Google Scholar]
- Reece, G.J. A Generalized Reynolds-Stress Model of Turbulence. Ph.D. Thesis, University of London, London, UK, 1977. [Google Scholar]
- Launder, B.E.; Reece, G.J.; Rodi, W. Progress in the development of a Reynolds-stress turbulence closure. J. Fluid Mech. 1975, 68, 537–566. [Google Scholar] [CrossRef]
- Xinyu, L.; Changzhi, C.; Zengnan, D. Turbulent flows in smooth-wall open channels with different slope. J. Hydraul. Res. 1995, 33, 333–347. [Google Scholar] [CrossRef]
- Chatanantavet, P.; Whipple, K.X.; Adams, M.A.; Lamb, M.P. Experimental study on coarse grain saltation dynamics in bedrock channels. J. Geophys. Res. Earth Surf. 2013, 118, 1161–1176. [Google Scholar] [CrossRef]
- Schwalt, M.; Hager, W. Die Strahlbox [The jetbox]. Schweiz. Ing. Archit. 1992, 110, 547–549. [Google Scholar]
- Song, T.; Chiew, Y.M. Turbulence measurement in nonuniform open-channel flow using Acoustic Doppler Velocimeter (ADV). J. Eng. Mech. 2001, 127, 219–232. [Google Scholar] [CrossRef]
- Samie, M.; Marusic, I.; Hutchins, N.; Fu, M.K.; Fan, Y.; Hultmark, M.; Smits, A.J. Fully resolved measurements of turbulent boundary layer flows up to Reτ = 20000. J. Fluid Mech. 2018, 851, 391–415. [Google Scholar] [CrossRef]
- Yang, S.-Q.; Tan, S.-K.; Lim, S.-Y. Velocity distribution and dip-phenomenon in smooth uniform open channel flows. J. Hydraul. Eng. 2004, 130, 1179–1186. [Google Scholar] [CrossRef]
- Stoesser, T.; McSherry, R.; Fraga, B. Secondary currents and turbulence over a non-uniformly roughened open-channel bed. Water 2015, 7, 4896–4913. [Google Scholar] [CrossRef]
- Knight, D.W.; Demetriou, J.D.; Hamed, M.E. Boundary shear in smooth rectangular channels. J. Hydraul. Eng. 1984, 110, 405–422. [Google Scholar] [CrossRef]
- Tamburrino, A.; Gulliver, J.S. Large flow structures in a turbulent open channel flow. J. Hydraul. Res. 1999, 37, 363–380. [Google Scholar] [CrossRef]
- Melling, A.; Whitelaw, J.H. Turbulent flow in a rectangular duct. J. Fluid Mech. 1976, 78, 289–315. [Google Scholar] [CrossRef]
- Knight, D.W.; Patel, H.S. Boundary shear in smooth rectangular ducts. J. Hydraul. Eng. 1985, 111, 29–47. [Google Scholar] [CrossRef]















| Test | Fo | F | ho | h | b/ho | b/h | R | β | |||
|---|---|---|---|---|---|---|---|---|---|---|---|
| (-) | (-) | (cm) | (cm) | (-) | (-) | (105) | (m/s) | (m/s) | (-) | (-) | |
| TA1 | 2.0 | 1.9 | 10 | 10.5 | 2 | 1.91 | 4.0 | 1.95 | 1.96 | 1.01 | −0.80 |
| TA2 | 3.0 | 2.5 | 10 | 11.2 | 2 | 1.79 | 5.6 | 2.66 | 2.68 | 1.01 | −0.43 |
| TA3 | 4.0 | 3.3 | 10 | 11.4 | 2 | 1.75 | 7.5 | 3.52 | 3.52 | 1.00 | −0.26 |
| TA4 | 2.0 | 1.9 | 15 | 16.0 | 1.33 | 1.25 | 5.7 | 2.31 | 2.31 | 1.00 | −0.69 |
| TA5 | 3.0 | 2.6 | 15 | 16.6 | 1.33 | 1.21 | 8.3 | 3.31 | 3.30 | 1.00 | −0.35 |
| TA6 | 4.0 | 3.3 | 15 | 17.0 | 1.33 | 1.17 | 10.8 | 4.30 | 4.42 | 1.03 | −0.21 |
| TA7 | 3.0 | 2.6 | 20 | 22.3 | 1 | 0.90 | 10.5 | 3.79 | 3.85 | 1.02 | −0.30 |
| TA8 | 3.5 | 3.0 | 20 | 22.4 | 1 | 0.89 | 12.1 | 4.39 | 4.47 | 1.02 | −0.23 |
| Test | α | Π | U*b (m/s) | U*e (m/s) | U*l (m/s) | β (-) |
|---|---|---|---|---|---|---|
| TA1 | 0.513 | 0.241 | 0.071 | 0.077 | 0.080 | −0.80 |
| TA2 | 0.492 | 0.355 | 0.072 | 0.104 | 0.104 | −0.43 |
| TA3 | 0.518 | 0.332 | 0.073 | 0.136 | 0.134 | −0.26 |
| TA4 | 0.686 | 0.325 | 0.078 | 0.089 | 0.090 | −0.69 |
| TA5 | 0.751 | 0.399 | 0.078 | 0.124 | 0.124 | −0.35 |
| TA6 | 0.802 | 0.415 | 0.079 | 0.165 | 0.161 | −0.21 |
| TA7 | 0.614 | 0.185 | 0.082 | 0.144 | 0.144 | −0.30 |
| TA8 | 0.622 | 0.262 | 0.082 | 0.166 | 0.162 | −0.23 |
| Foam Type | ρf (kg/m3) | fst (MPa) | fc (MPa) | YM (MPa) |
|---|---|---|---|---|
| low-strength foam | 64 | 0.32 | 0.36 | 3.92 |
| medium-strength foam | 96 | 0.50 | 0.60 | 5.38 |
| high-strength foam | 128 | 0.84 | 0.92 | 10.33 |
Publisher’s Note: MDPI stays neutral with regard to jurisdictional claims in published maps and institutional affiliations. |
© 2020 by the authors. Licensee MDPI, Basel, Switzerland. This article is an open access article distributed under the terms and conditions of the Creative Commons Attribution (CC BY) license (http://creativecommons.org/licenses/by/4.0/).
Share and Cite
Demiral, D.; Boes, R.M.; Albayrak, I. Effects of Secondary Currents on Turbulence Characteristics of Supercritical Open Channel Flows at Low Aspect Ratios. Water 2020, 12, 3233. https://doi.org/10.3390/w12113233
Demiral D, Boes RM, Albayrak I. Effects of Secondary Currents on Turbulence Characteristics of Supercritical Open Channel Flows at Low Aspect Ratios. Water. 2020; 12(11):3233. https://doi.org/10.3390/w12113233
Chicago/Turabian StyleDemiral, Dila, Robert M. Boes, and Ismail Albayrak. 2020. "Effects of Secondary Currents on Turbulence Characteristics of Supercritical Open Channel Flows at Low Aspect Ratios" Water 12, no. 11: 3233. https://doi.org/10.3390/w12113233
APA StyleDemiral, D., Boes, R. M., & Albayrak, I. (2020). Effects of Secondary Currents on Turbulence Characteristics of Supercritical Open Channel Flows at Low Aspect Ratios. Water, 12(11), 3233. https://doi.org/10.3390/w12113233
