Influence of Unsteady Flow Induced by a Large-Scale Hydropower Station on the Water Level Fluctuation of Multi-Approach Channels: A Case Study of the Three Gorges Project, China
Abstract
1. Introduction
2. Materials and Methodology
2.1. Overview of the Study Area
2.1.1. Description of the Three Gorges Project Navigation Structures
2.1.2. Characteristics of the Reach between the Three Gorges Dam (TGD) and the Gezhouba Dam (GZD)
2.2. Hydrodynamic Model
2.2.1. One-Dimensional Hydrodynamic Model
2.2.2. Two-Dimensional Depth-Averaged Shallow Water Model
2.3. Model Establishment and Validation
2.3.1. Mesh Generation
2.3.2. Boundary Conditions
2.3.3. Model Validation
1D Mathematical Model
2D Mathematical Model
3. Results
3.1. Water Level Fluctuation under the Complex Multivariate
3.1.1. Initial Water Surface Elevation
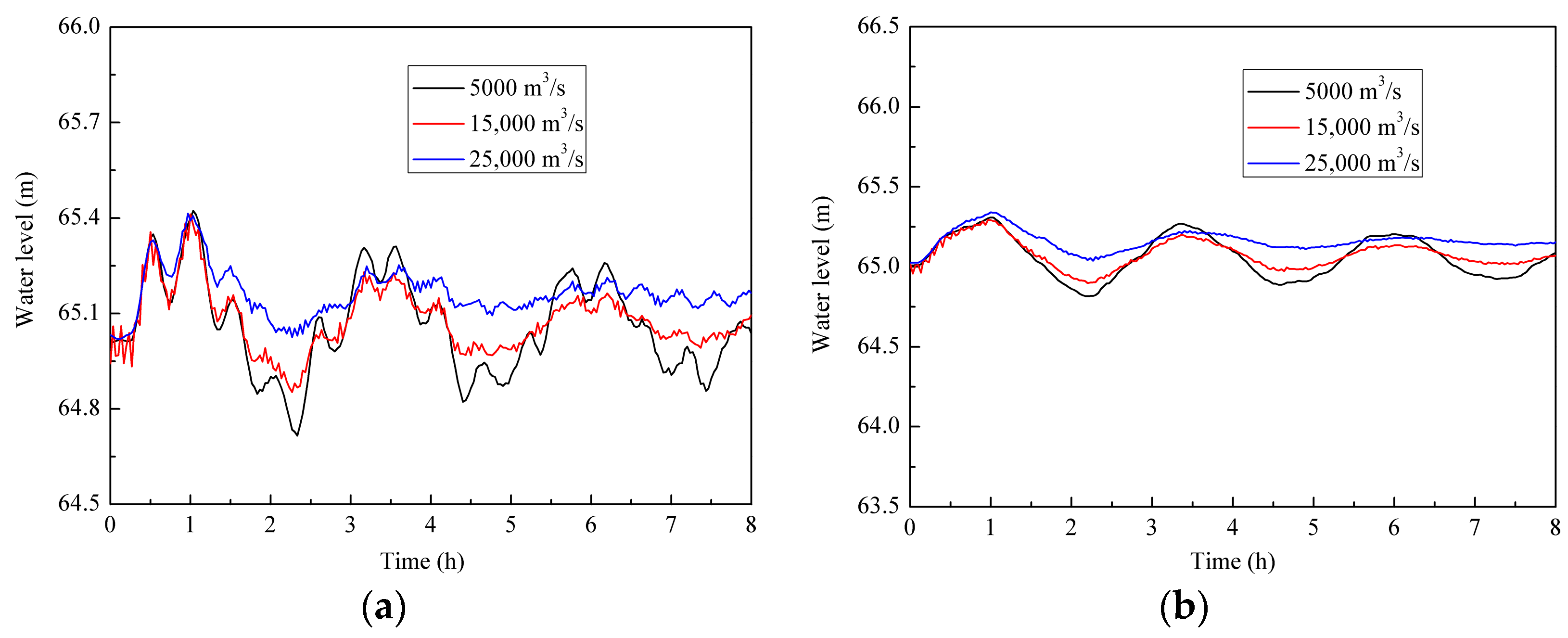
3.1.2. Base Flow
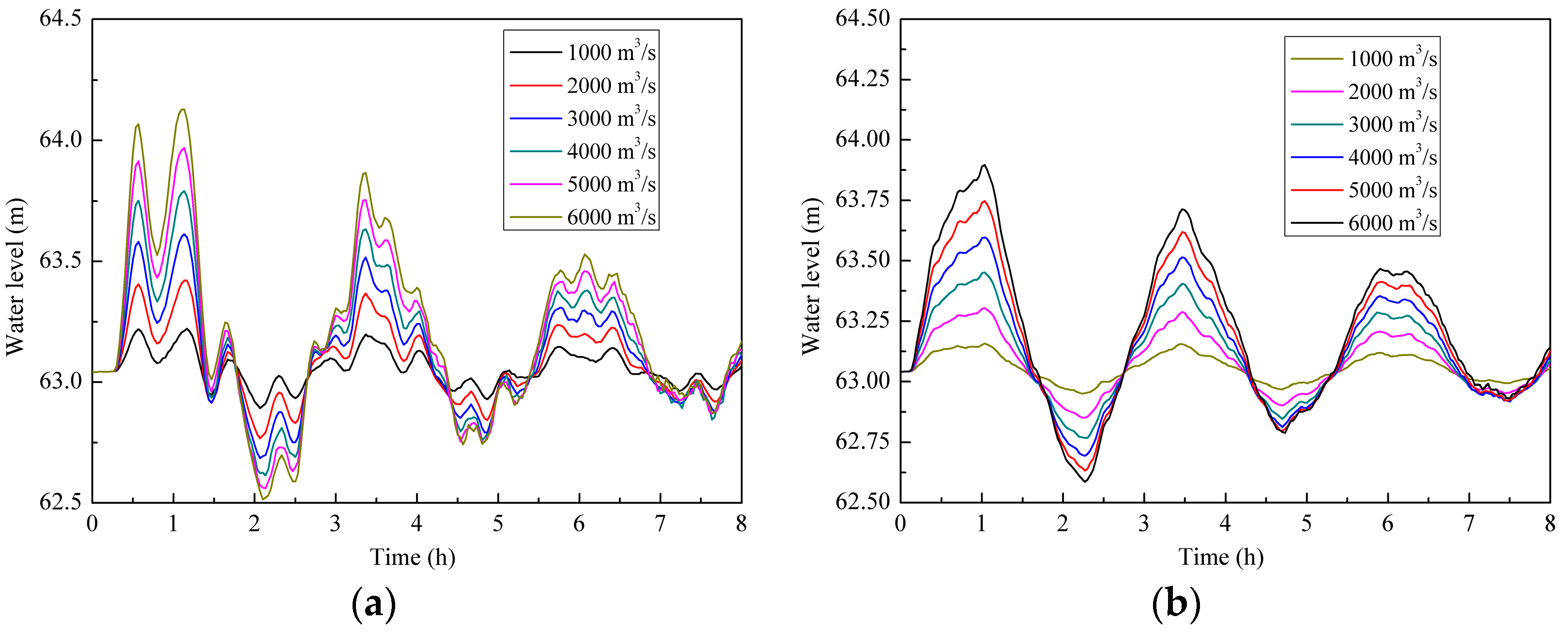
3.1.3. Flow Amplitude
3.1.4. Flow Regulation Time
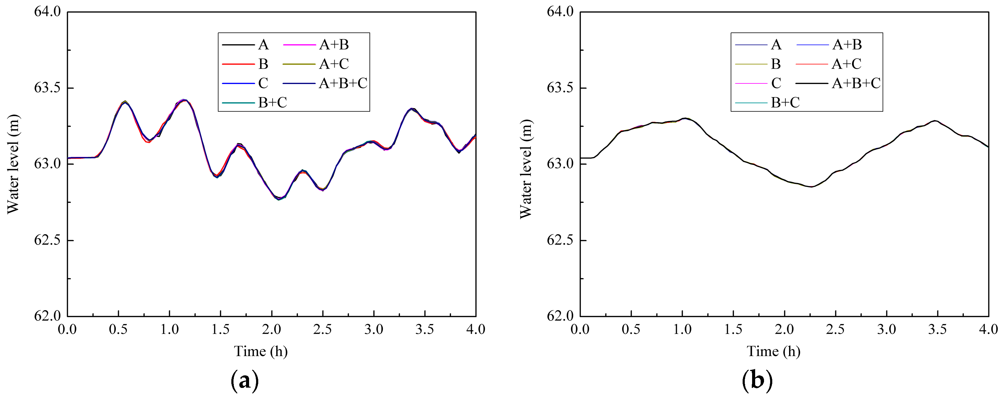
3.1.5. Locations of Hydropower Station under Operation
3.2. Peak-Shaving Mode of Hydropower Station
3.2.1. Single-Peak Regulation
Quantitative Analysis
Qualitative Analysis
3.2.2. Double-Peak Regulation
Quantitative Analysis
Qualitative Analysis
4. Discussion
- Navigation conditions in the approach channel play an indispensable role in the water transportation industry, and the unsteady flow induced by hydropower stations in the approach channel is rather complex because of the different terrain boundaries. Prior studies have focused more on water level amplitude, velocity, hydraulic gradient, and other shipping hydro impact factors in a long waterway or single approach channel instead of multi-approach channels. Although navigation conditions are investigated in many cases according to engineering background, the water level fluctuations in the multi-approach channel fail to be revealed in the context of the broader scientific literature regarding unsteady flow induced by hydropower station. Moreover, navigation conditions change based on the lock approach configuration, thus common navigation standards (e.g., the maximum hour or daily amplitude of water level, transverse velocity, and longitudinal velocity) are hard to be determined in the navigation domain.
- Velocity and hydraulic gradient are important hydraulic factors for determining navigation conditions of a waterway or approach channel. In terms of an approach channel, the transverse and longitudinal velocities, in general, are regarded to be the diagnostic indicators for the navigation according to the guidelines [5,6,38]. However, constant velocity is inappropriate for the actual unsteady physics scenarios induced by hydropower stations. Thus, it is unreasonable for engineers and decision-makers to determine navigation conditions. Furthermore, navigation standards under unsteady flow also need to be investigated. In this study, from engineering experience, it is known that the velocity is relatively small after an existing approach channel entrance area is extended, thus, in this paper, we only investigate the water level fluctuation process. Furthermore, unsteady flow in multi-approach channels is an interactive process of water level and current; the hydraulic gradient and velocity variations of key points in the multi-approach channels are further analyzed in combination with a large-scale physical model test.
- The dispatching mode of a cascade hydropower station exerts a significant impact on navigation conditions in the multi-approach channels. Currently, few studies are able to exhibit the water level fluctuation process considering the operation of a counter-regulation hydropower station, particularly in multi-approach channels (the existing approach channel, the planned approach channel, and the approach channel of the ship lift). Prior studies have focused more on navigation in long waterways instead of in multi-approach channels. In addition, there are several limitations. In the study, single-peak and double-peak regulation operations are merely considered, regardless of the peak regulation over the entire year, and reducing-load operation or even emergency shutdowns of hydropower units under abnormal operating conditions needs further study.
- Hydropower station operation undertakes the function of peak regulation and power generation efficiency and also needs to meet the requirements of navigation conditions of multi-approach channels. Additionally, considering the importance of renewable energy sources development in achieving sustainability goals, more importance should be attached to the conservation of the environmental health of a river. Thus, it is essential to comprehensively consider the connection between the peaking and the navigational flow conditions in terms of the navigation capacity of multi-approach channels, and further research should be undertaken to investigate multi-objective optimization scheduling regarding hydropower station operation, navigational hydraulic factors, and environmental flows.
- In situ tests, physics model tests, and numerical techniques are utilized to obtain accurate navigation conditions such as water level fluctuations and flow field in multi-approach channels. Notably, the smaller scale physics model may have led to unauthentic results, these kinds of limitations may have been derived from cost control and other uncontrollable factors. In addition, a higher resolution numerical model needs to be developed in the future.
5. Conclusions
- With a rise of initial water surface elevation, the maximum amplitude at the lower lock head of the ship lift decreases gradually; with the increment of base flow, wave attenuation at the lower lock head of the ship lift and the approach channel entrance is faster. The maximum wave amplitude at the multi-approach channel entrance and the lower lock head of the ship lift increases with an increase in flow amplitude. The shorter the flow regulation time, the greater the wave amplitude will be at the lower lock head of the ship lift and the approach channel entrance; and the fluctuation process of water level is unaffected when units at different positions are involved in the peak regulation. In general, one of the more significant findings to emerge from this study is that flow amplitude is the most significant factor influencing water level fluctuation at the multi-approach channels and the lower lock head of a ship lift.
- The water level in the multi-approach channels fluctuates greatly under the most adverse conditions including lower initial water surface elevation, smaller base flow, larger flow variation, and shorter regulation time of the hydropower station. Moreover, the most unfavorable conditions for water level fluctuation are when the base flow is 5000 m3/s. When the flow regulation is set to 5 min and flow amplitude reaches 3000 m3/s, the wave amplitude at the lower lock head of the ship lift exceeds the threshold value 0.5 m/h at the constant water level of the GZD.
- Considering the regulation mode of the cascade hydropower station, water level fluctuation in the multi-approach channels is primarily induced by flow amplitude and the net flow between the TGHS and GHS, and the water level fluctuation process at the lower lock head of the ship lift is manifested as inertia rising or falling as a result of the superposition of river water level fluctuation and the reciprocal wave flow in the multi-approach channels.
Author Contributions
Funding
Conflicts of Interest
References
- Martinelli, D.; Schonfeld, P. Approximating delays at interdependent locks. J. Waterw. Port Coast. Ocean Eng. 1995, 121, 300–307. [Google Scholar] [CrossRef]
- Mihic, S.; Golusin, M.; Mihajlovic, M. Policy and promotion of sustainable inland waterway transport in Europe–Danube River. Renew. Sustain. Energy Rev. 2011, 15, 1801–1809. [Google Scholar] [CrossRef]
- Liao, P. Improved analytical model for estimating the capacity of a waterway lock. J. Waterw. Port Coast. Ocean Eng. 2018, 144, 04018021. [Google Scholar] [CrossRef]
- Huang, J.; Nieh, C.; Kuo, H. Risk assessment of ships maneuvering in an approaching channel based on AIS data. Ocean Eng. 2019, 173, 399–414. [Google Scholar] [CrossRef]
- PIANC (MarCom Working Group 30). Joint PIANC-IAPH Report on Approach Channels-Preliminary Guidelines: Supplement to Bulletin No. 87; PTC2 Report of WG 30; PIANC General Secretariat: Brussels, Belgium, 1995. [Google Scholar]
- MOTC (Ministry of Transport of China). Code for Master Design of Ship Locks. JTJ 305-2001; Standardization Administration of China: Beijing, China, 2001.
- Ji, U.; Jang, E.-K.; Kim, G. Numerical modeling of sedimentation control scenarios in the approach channel of the Nakdong river estuary barrage, South Korea. Int. J. Sediment Res. 2016, 31, 257–263. [Google Scholar] [CrossRef]
- Xu, J.; Li, Y.; Xuan, G.; Melville, B.W.; Macky, G.H. Numerical simulation of turbidity current in approach channels with a closed end. J. Waterw. Port Coast. Ocean Eng. 2020, 146, 04020036. [Google Scholar] [CrossRef]
- Zheng, S. Reflections on the Three Gorges project since its operation. Engineering 2016, 2, 389–397. [Google Scholar] [CrossRef]
- Li, W.; Wang, D.; Yang, S.; Yang, W. Three Gorges project: Benefits and challenges for shipping development in the upper Yangtze river. Int. J. Water Resour. Dev. 2020, 1–14. [Google Scholar] [CrossRef]
- Briggs, M.J.; Borgman, L.E.; Bratteland, E. Probability assessment for deep-draft navigation channel design. Coast. Eng. 2003, 48, 29–50. [Google Scholar] [CrossRef]
- U.S. Army Engineer Waterways Experiment Station. Spillway and Lock Approach, Jim Woodruff Dam, Apalachicola River, Florida, Hydraulic Model Investigation; Technical Report No. 2-340; U.S. Army Engineer Waterways Experiment Station: Vicksburg, MS, USA, 1952. [Google Scholar]
- Franco, J.J.; McKellar, C.D. Navigation Conditions at Maxwell Locks and Dam, Monongahela River, Hydraulic Model Investigation; Technical Report No. 2-672; U.S. Army Engineer Waterways Experiment Station: Vicksburg, MS, USA, 1965. [Google Scholar]
- Davis, W.G.; Davidson, R.A. Melvin Price Locks and Dam Auxiliary Lock and Rotary Lock Culvert Valve, Mississippi River, Alton, Illinois, Hydraulic Model Investigation; Technical Report HL-91-5; U.S. Army Engineer Waterways Experiment Statio: Vicksburg, MS, USA, 1991. [Google Scholar]
- Stockstill, R.L.; Park, H.E.; John, E.; Hite, J.; Shelton, T.W. Design Considerations for Upper Approaches to Navigation Locks; U.S. Army Engineer Research and Development Center: Vicksburg, MS, USA, 2004. [Google Scholar]
- Maeck, A.; Lorke, A. Ship-lock-induced surges in an impounded river and their impact on subdaily flow velocity variation. River Res. Appl. 2014, 30, 494–507. [Google Scholar] [CrossRef]
- Xie, M.; Zhou, J.; Li, C.; Lu, P. Daily generation scheduling of cascade hydro plants considering peak shaving constraints. J. Water Resour. Plan. Manag. 2016, 142, 04015072. [Google Scholar] [CrossRef]
- Ardizzon, G.; Cavazzini, G.; Pavesi, G. A new generation of small hydro and pumped-hydro power plants: Advances and future challenges. Renew. Sustain. Energy Rev. 2014, 31, 746–761. [Google Scholar] [CrossRef]
- Couto, T.B.A.; Olden, J.D. Global proliferation of small hydropower plants-science and policy. Front. Ecol. Environ. 2018, 16, 91–100. [Google Scholar] [CrossRef]
- Kuriqi, A.; Pinheiro, A.N.; Sordo-Ward, A.; Garrote, L. Water-energy-ecosystem nexus: Balancing competing interests at a run-of-river hydropower plant coupling a hydrologic–ecohydraulic approach. Energy Convers. Manag. 2020, 223, 113267. [Google Scholar] [CrossRef]
- Poff, N.L.; Zimmerman, J.K.H. Ecological responses to altered flow regimes: A literature review to inform the science and management of environmental flows. Freshw. Biol. 2010, 55, 194–205. [Google Scholar] [CrossRef]
- Hayes, D.S.; Brandle, J.M.; Seliger, C.; Zeiringer, B.; Ferreira, T.; Schmutz, S. Advancing towards functional environmental flows for temperate floodplain rivers. Sci. Total Environ. 2018, 633, 1089–1104. [Google Scholar] [CrossRef] [PubMed]
- Suwal, N.; Huang, X.; Kuriqi, A.; Chen, Y.; Pandey, K.P.; Bhattarai, K.P. Optimisation of cascade reservoir operation considering environmental flows for different environmental management classes. Renew. Energy 2020, 158, 453–464. [Google Scholar] [CrossRef]
- Bravo, H.R.; Jain, S.C. Flow fields in lower lock approaches induced by hydro-plant releases. J. Waterw. Port Coast. Ocean Eng. 1991, 117, 369–389. [Google Scholar] [CrossRef]
- Li, F.; Yang, W.; Dai, H. Research on the influence of unsteady flow produced by operation of TGP on navigation Ⅲ: Lower Yichang reach of Gezhouba project. J. Hydroelectr. Eng. 2006, 25, 56–60. [Google Scholar]
- Yang, W.; Sun, E.; Rao, G.; Wang, X. Research on the influence of unsteady flow produced by operation of TGP on navigation Ⅱ: Reach between TGP and Gezhouba project. J. Hydroelectr. Eng. 2006, 25, 50–55. [Google Scholar]
- Zhao, J.; Zhao, S.; Cheng, X. Impact upon Navigation Conditions of River Reach between the Two Dams by Peak Shaving at Three Gorges Hydropower Station. In Proceedings of the 2012 International Conference on Modern Hydraulic Engineering, Nanjing, China, 9–11 March 2012; Procedia Engineering: Amsterdam, The Nederlands, 2012; pp. 152–160. [Google Scholar]
- Shang, Y.; Li, X.; Gao, X.; Guo, Y.; Ye, Y.; Shang, L. Influence of daily regulation of a reservoir on downstream navigation. J. Hydrol. Eng. 2017, 22, 05017010. [Google Scholar] [CrossRef]
- Liu, Y.; Chen, S.; Huang, W.; Ma, G. Discussion of “Influence of daily regulation of a reservoir on downstream navigation” by Yizi Shang, Xiaofei Li, Xuerui Gao, Yanxiang Guo, Yuntao Ye, and Ling Shang. J. Hydrol. Eng. 2018, 23, 07018010. [Google Scholar] [CrossRef]
- Jia, T.; Qin, H.; Yan, D.; Zhang, Z.; Liu, B.; Li, C.; Wang, J.; Zhou, J. Short-term multi-objective optimal operation of reservoirs to maximize the benefits of hydropower and navigation. Water 2019, 11, 1272. [Google Scholar] [CrossRef]
- Peng, W.; Fengshuai, C.; Xin, X. Yangtze river: China’s golden waterway. Proc. Inst. Civ. Eng. -Civ. Eng. 2010, 163, 15–18. [Google Scholar] [CrossRef]
- Chaudhry, M.H. Open-Channel Flow; Prentice-Hall: Englewood Cliffs, NJ, USA, 1991. [Google Scholar]
- Kuiry, S.N.; Pramanik, K.; Sen, D. Finite volume model for shallow water equations with improved treatment of source terms. J. Hydraul. Eng. 2008, 134, 231–242. [Google Scholar] [CrossRef]
- Erpicum, S.; Pirotton, M.; Archambeau, P.; Dewals, B.J. Two-dimensional depth-averaged finite volume model for unsteady turbulent flows. J. Hydraul. Res. 2014, 52, 148–150. [Google Scholar] [CrossRef]
- Zhao, D.H.; Shen, H.W.; Tabios, G.Q., III; Lai, J.S.; Tan, W.Y. Finite-volume two-dimensional unsteady-flow model for river basins. J. Hydraul. Eng. 1994, 120, 863–883. [Google Scholar] [CrossRef]
- Sleigh, P.A.; Gaskell, P.H.; Berzins, M.; Wright, N.G. An unstructured finite-volume algorithm for predicting flow in rivers and estuaries. Comput. Fluids 1998, 27, 479–508. [Google Scholar] [CrossRef]
- Moriasi, D.N.; Arnold, J.G.; Liew, M.W.V.; Bingner, R.L.; Harmel, R.D.; Veith, T.L. Model evaluation guidelines for systematic quantification of accuracy in watershed simulations. Trans. ASABE 2007, 50, 885–900. [Google Scholar] [CrossRef]
- MTPRC (Ministry of Transport of the People’s Republic of China). Navigation Standard of Inland Waterway; GB 50139-2014; MTPRC: Beijing, China, 2014.
- Niu, X. Key Technologies of the hydraulic structures of the Three Gorges project. Engineering 2016, 2, 340–349. [Google Scholar] [CrossRef]
- Qin, P.; Xu, H.; Liu, M.; Du, L.; Xiao, C.; Liu, L.; Tarroja, B. Climate change impacts on Three Gorges reservoir impoundment and hydropower generation. J. Hydrol. 2020, 580, 123922. [Google Scholar] [CrossRef]


















| Flow Amplitude (m3/s) | Existing Approach Channel Entrance | The Planned Approach Channel Entrance | Lower Lock Head of the Ship Lift | |||
|---|---|---|---|---|---|---|
| + | − | + | − | + | − | |
| 1000 | 0.11 | −0.10 | 0.12 | −0.09 | 0.17 | −0.16 |
| 2000 | 0.25 | −0.21 | 0.27 | −0.19 | 0.35 | −0.28 |
| 3000 | 0.38 | −0.30 | 0.42 | −0.28 | 0.52 | −0.37 |
| 4000 | 0.52 | −0.38 | 0.57 | −0.35 | 0.69 | −0.45 |
| 5000 | 0.66 | −0.45 | 0.72 | −0.42 | 0.85 | −0.50 |
| 6000 | 0.80 | −0.51 | 0.87 | −0.46 | 1.00 | −0.55 |
Publisher’s Note: MDPI stays neutral with regard to jurisdictional claims in published maps and institutional affiliations. |
© 2020 by the authors. Licensee MDPI, Basel, Switzerland. This article is an open access article distributed under the terms and conditions of the Creative Commons Attribution (CC BY) license (http://creativecommons.org/licenses/by/4.0/).
Share and Cite
Wan, Z.; Li, Y.; Wang, X.; An, J.; Dong, B.; Liao, Y. Influence of Unsteady Flow Induced by a Large-Scale Hydropower Station on the Water Level Fluctuation of Multi-Approach Channels: A Case Study of the Three Gorges Project, China. Water 2020, 12, 2922. https://doi.org/10.3390/w12102922
Wan Z, Li Y, Wang X, An J, Dong B, Liao Y. Influence of Unsteady Flow Induced by a Large-Scale Hydropower Station on the Water Level Fluctuation of Multi-Approach Channels: A Case Study of the Three Gorges Project, China. Water. 2020; 12(10):2922. https://doi.org/10.3390/w12102922
Chicago/Turabian StyleWan, Zhiyong, Yun Li, Xiaogang Wang, Jianfeng An, Bo Dong, and Yipeng Liao. 2020. "Influence of Unsteady Flow Induced by a Large-Scale Hydropower Station on the Water Level Fluctuation of Multi-Approach Channels: A Case Study of the Three Gorges Project, China" Water 12, no. 10: 2922. https://doi.org/10.3390/w12102922
APA StyleWan, Z., Li, Y., Wang, X., An, J., Dong, B., & Liao, Y. (2020). Influence of Unsteady Flow Induced by a Large-Scale Hydropower Station on the Water Level Fluctuation of Multi-Approach Channels: A Case Study of the Three Gorges Project, China. Water, 12(10), 2922. https://doi.org/10.3390/w12102922

