Assessing Community Resilience to Urban Flooding in Multiple Types of the Transient Population in China
Abstract
1. Introduction
2. Description of the Study Area
3. Methodology
3.1. Data Collection
3.2. Indicator Selection
3.3. Indicators’ Hierarchy Model and Initial Weight Determination
3.3.1. Establishing the Hierarchy Model
3.3.2. Applying AHP Method to Calculate the Initial Weights
3.4. Construction of the AHP–BP Combination Model and Resilience Estimation
3.4.1. Sample Collection and Processing
3.4.2. Determining the Network Parameters
3.4.3. Network Training and Estimation of the Three Communities’ Resilience
4. Results and Analysis
4.1. Calculation of Initial Weights of Indicators at All Layers
4.2. Calculation of Initial Weights of Indicators at All Layers
4.2.1. Expected Output Vector of the AHP–BP Neural Network
4.2.2. Expected Output Vector of the AHP–BP Neural Network
4.2.3. Weight Analysis of the Three Communities’ Indicators
4.2.4. Analysis of the Resilience of the Three Communities
5. Conclusions
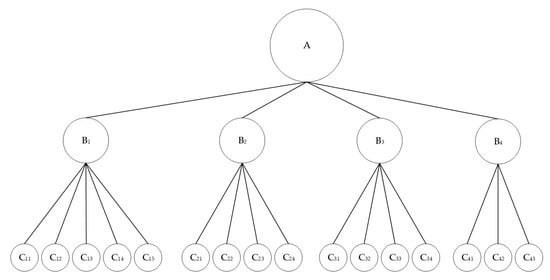
- A new framework based on the RATA framework has been developed. Indicators for the characteristics of the transient population were selected according to the BRIC model and used to quantify the community resilience of the transient population. On the strength of a large amount of literature and relevant theories, 16 indicators were confirmed and divided into four dimensions: community space construction (B1), economic development (B2), community management system (B3), and community capital (B4).
- A three-level evaluation network was constructed by using AHP. After the judgment matrix was assigned by experts, Yaahp software was used to calculate the weight directly. Thus, the initial weight was obtained as the basis for calculating the output samples of the BP neural network.
Author Contributions
Funding
Conflicts of Interest
Appendix A
| Actual Value | Expected Value | Relative Error | Actual Value | Expected Value | Relative Error | ||
|---|---|---|---|---|---|---|---|
| 1 | 3.4214 | 3.4302 | 0.0026 | 45 | 2.2020 | 2.2057 | 0.0017 |
| 2 | 3.2429 | 3.2451 | 0.0007 | 46 | 2.9380 | 2.9391 | 0.0004 |
| 3 | 3.8847 | 3.9445 | 0.0154 | 47 | 3.6868 | 3.6840 | 0.0008 |
| 4 | 3.3722 | 3.3584 | 0.0041 | 48 | 3.8246 | 3.9868 | 0.0424 |
| 5 | 2.6801 | 2.6941 | 0.0052 | 49 | 2.5801 | 2.5581 | 0.0085 |
| 6 | 2.3887 | 2.3915 | 0.0012 | 50 | 2.6227 | 2.6250 | 0.0009 |
| 7 | 1.5867 | 1.5930 | 0.0040 | 51 | 3.6390 | 3.6459 | 0.0019 |
| 8 | 2.1869 | 2.2166 | 0.0136 | 52 | 1.9420 | 1.9861 | 0.0227 |
| 9 | 2.6636 | 2.6409 | 0.0085 | 53 | 2.8374 | 2.8362 | 0.0004 |
| 10 | 3.9586 | 3.9559 | 0.0007 | 54 | 1.7727 | 1.7447 | 0.0158 |
| 11 | 3.2918 | 3.2980 | 0.0019 | 55 | 3.5769 | 3.5824 | 0.0015 |
| 12 | 2.5148 | 2.5180 | 0.0013 | 56 | 2.9398 | 2.9606 | 0.0071 |
| 13 | 2.9569 | 2.9576 | 0.0002 | 57 | 3.8062 | 3.8020 | 0.0011 |
| 14 | 1.9309 | 1.9351 | 0.0022 | 58 | 2.2792 | 2.2385 | 0.0179 |
| 15 | 2.4716 | 2.4667 | 0.0020 | 59 | 2.9588 | 2.9662 | 0.0025 |
| 16 | 3.0864 | 3.0877 | 0.0004 | 60 | 3.5683 | 3.5658 | 0.0007 |
| 17 | 3.0345 | 3.0300 | 0.0015 | 61 | 2.2631 | 2.2530 | 0.0045 |
| 18 | 3.1826 | 3.1599 | 0.0071 | 62 | 2.9783 | 2.9732 | 0.0017 |
| 19 | 3.2114 | 3.2117 | 0.0001 | 63 | 2.1596 | 2.1571 | 0.0011 |
| 20 | 3.1929 | 3.1884 | 0.0014 | 64 | 2.6753 | 2.6615 | 0.0052 |
| 21 | 3.0095 | 3.0281 | 0.0062 | 65 | 2.3528 | 2.3571 | 0.0018 |
| 22 | 3.5865 | 3.5516 | 0.0097 | 66 | 3.4753 | 3.4687 | 0.0019 |
| 23 | 3.7269 | 3.7298 | 0.0008 | 67 | 2.7685 | 2.7808 | 0.0044 |
| 24 | 3.1534 | 3.1419 | 0.0036 | 68 | 3.0236 | 3.0170 | 0.0022 |
| 25 | 3.0238 | 3.0213 | 0.0008 | 69 | 3.4598 | 3.4522 | 0.0022 |
| 26 | 2.8717 | 2.8710 | 0.0003 | 70 | 3.2862 | 3.2884 | 0.0007 |
| 27 | 2.6781 | 2.6705 | 0.0029 | 71 | 3.7371 | 3.8158 | 0.0211 |
| 28 | 3.7230 | 3.7275 | 0.0012 | 72 | 3.1358 | 3.2437 | 0.0344 |
| 29 | 3.0345 | 3.0300 | 0.0015 | 73 | 2.2744 | 2.2689 | 0.0024 |
| 30 | 3.2635 | 3.2416 | 0.0067 | 74 | 1.8827 | 1.8833 | 0.0003 |
| 31 | 2.8606 | 2.8708 | 0.0036 | 75 | 2.7024 | 2.7044 | 0.0007 |
| 32 | 3.6866 | 3.6762 | 0.0028 | 76 | 3.3696 | 3.5116 | 0.0421 |
| 33 | 2.9404 | 2.9298 | 0.0036 | 77 | 3.6349 | 3.8198 | 0.0509 |
| 34 | 3.9055 | 3.9087 | 0.0008 | 78 | 2.1482 | 2.1448 | 0.0016 |
| 35 | 2.7209 | 2.7214 | 0.0002 | 79 | 3.2961 | 3.3057 | 0.0029 |
| 36 | 3.2986 | 3.3217 | 0.0070 | 80 | 3.5409 | 3.5282 | 0.0036 |
| 37 | 1.7651 | 1.7594 | 0.0032 | 81 | 2.5552 | 2.5562 | 0.0004 |
| 38 | 2.9404 | 2.9298 | 0.0036 | 82 | 2.7177 | 2.7102 | 0.0028 |
| 39 | 2.7193 | 2.7131 | 0.0023 | 83 | 3.2244 | 3.2149 | 0.0030 |
| 40 | 2.1626 | 2.1567 | 0.0027 | 84 | 2.5181 | 2.4695 | 0.0193 |
| 41 | 3.2136 | 3.2123 | 0.0004 | 85 | 1.4663 | 1.4598 | 0.0044 |
| 42 | 3.5499 | 3.5463 | 0.0010 | ||||
| 43 | 2.1052 | 2.1146 | 0.0045 | ||||
| 44 | 2.7420 | 2.7393 | 0.0010 |
| Actual Value | Expected Value | Relative Error | Actual Value | Expected Value | Relative Error | ||
|---|---|---|---|---|---|---|---|
| 1 | 3.4541 | 3.4758 | 0.0063 | 47 | 3.3854 | 3.3827 | 0.0008 |
| 2 | 3.3614 | 3.3682 | 0.0020 | 48 | 3.6857 | 3.7541 | 0.0186 |
| 3 | 3.4234 | 3.4238 | 0.0001 | 49 | 2.5147 | 2.5191 | 0.0017 |
| 4 | 2.8415 | 2.8391 | 0.0009 | 50 | 2.5333 | 2.5312 | 0.0008 |
| 5 | 2.1198 | 2.1180 | 0.0008 | 51 | 3.0234 | 3.0197 | 0.0012 |
| 6 | 2.8598 | 2.8352 | 0.0086 | 52 | 2.2789 | 2.2802 | 0.0006 |
| 7 | 1.9119 | 1.8989 | 0.0068 | 53 | 2.8149 | 2.8153 | 0.0002 |
| 8 | 2.1983 | 2.2063 | 0.0036 | 54 | 2.2938 | 2.2928 | 0.0004 |
| 9 | 2.9145 | 2.9118 | 0.0009 | 55 | 3.0886 | 3.0896 | 0.0003 |
| 10 | 3.3972 | 3.3993 | 0.0006 | 56 | 2.8706 | 2.8585 | 0.0042 |
| 11 | 2.8554 | 2.8446 | 0.0038 | 57 | 3.1983 | 3.1919 | 0.0020 |
| 12 | 2.1632 | 2.1705 | 0.0034 | 58 | 2.4848 | 2.4920 | 0.0029 |
| 13 | 2.8317 | 2.8262 | 0.0019 | 59 | 2.9653 | 2.9593 | 0.0020 |
| 14 | 2.3345 | 2.3382 | 0.0016 | 60 | 3.5601 | 3.5658 | 0.0016 |
| 15 | 2.5351 | 2.5399 | 0.0019 | 61 | 2.6126 | 2.6301 | 0.0067 |
| 16 | 3.2169 | 3.2130 | 0.0012 | 62 | 2.6958 | 2.6930 | 0.0010 |
| 17 | 3.0402 | 3.0393 | 0.0003 | 63 | 2.4165 | 2.4193 | 0.0011 |
| 18 | 2.9466 | 2.9385 | 0.0027 | 64 | 2.8039 | 2.8112 | 0.0026 |
| 19 | 2.5968 | 2.6090 | 0.0047 | 65 | 2.5088 | 2.5091 | 0.0001 |
| 20 | 2.8389 | 2.8345 | 0.0015 | 66 | 3.3308 | 3.3308 | 0.0000 |
| 21 | 2.7337 | 2.7322 | 0.0006 | 67 | 2.5944 | 2.5977 | 0.0013 |
| 22 | 3.2974 | 3.3000 | 0.0008 | 68 | 3.0211 | 3.0075 | 0.0045 |
| 23 | 3.4465 | 3.4516 | 0.0015 | 69 | 3.1082 | 3.1001 | 0.0026 |
| 24 | 3.1411 | 3.1429 | 0.0006 | 70 | 3.1932 | 3.1905 | 0.0009 |
| 25 | 2.5904 | 2.5893 | 0.0004 | 71 | 3.3821 | 3.3932 | 0.0033 |
| 26 | 2.5782 | 2.5846 | 0.0025 | 72 | 3.1263 | 3.0997 | 0.0085 |
| 27 | 2.4908 | 2.4923 | 0.0006 | 73 | 2.4448 | 2.4528 | 0.0033 |
| 28 | 3.1711 | 3.1645 | 0.0021 | 74 | 2.1216 | 2.1037 | 0.0084 |
| 29 | 3.0093 | 3.0079 | 0.0005 | 75 | 3.0233 | 3.0096 | 0.0045 |
| 30 | 3.0882 | 3.0862 | 0.0006 | 76 | 3.2820 | 3.2625 | 0.0059 |
| 31 | 2.4454 | 2.4687 | 0.0095 | 77 | 3.1666 | 3.1573 | 0.0029 |
| 32 | 3.2538 | 3.2475 | 0.0019 | 78 | 2.2502 | 2.2522 | 0.0009 |
| 33 | 2.4649 | 2.4647 | 0.0001 | 79 | 3.0056 | 2.9851 | 0.0068 |
| 34 | 3.4236 | 3.4187 | 0.0014 | 80 | 3.0832 | 3.0643 | 0.0061 |
| 35 | 2.5732 | 2.5681 | 0.0020 | 81 | 2.3240 | 2.3303 | 0.0027 |
| 36 | 2.8946 | 2.8858 | 0.0030 | 82 | 2.3130 | 2.3120 | 0.0004 |
| 37 | 2.3181 | 2.2870 | 0.0134 | 83 | 3.1464 | 3.1494 | 0.0010 |
| 38 | 2.4665 | 2.4733 | 0.0028 | 84 | 2.5440 | 2.5464 | 0.0009 |
| 39 | 2.6593 | 2.6569 | 0.0009 | 85 | 2.0437 | 2.0068 | 0.0181 |
| 40 | 2.3299 | 2.3329 | 0.0013 | 86 | 3.1631 | 3.1607 | 0.0008 |
| 41 | 2.5993 | 2.5968 | 0.0010 | 87 | 3.4990 | 3.4979 | 0.0003 |
| 42 | 3.4283 | 3.4338 | 0.0016 | 88 | 2.3916 | 2.3915 | 0.0000 |
| 43 | 2.6221 | 2.6313 | 0.0035 | 89 | 3.0015 | 3.0029 | 0.0005 |
| 44 | 2.4927 | 2.4979 | 0.0021 | 90 | 2.2114 | 2.2048 | 0.0030 |
| 45 | 2.2727 | 2.2745 | 0.0008 | 91 | 3.1162 | 3.0791 | 0.0119 |
| 46 | 2.7947 | 2.7879 | 0.0024 | 92 | 2.3766 | 2.3826 | 0.0025 |
| ž | Actual Value | Expected Value | Relative Error | Actual Value | Expected Value | Relative Error | |
|---|---|---|---|---|---|---|---|
| 1 | 3.2530 | 3.2516 | 0.0004 | 45 | 2.4351 | 2.4379 | 0.0012 |
| 2 | 3.2138 | 3.2173 | 0.0011 | 46 | 2.6833 | 2.6835 | 0.0001 |
| 3 | 3.2778 | 3.2656 | 0.0037 | 47 | 3.2936 | 3.2952 | 0.0005 |
| 4 | 2.9064 | 2.9271 | 0.0071 | 48 | 3.4071 | 3.4222 | 0.0044 |
| 5 | 2.4358 | 2.4364 | 0.0002 | 49 | 2.5726 | 2.5852 | 0.0049 |
| 6 | 2.6098 | 2.6155 | 0.0022 | 50 | 2.4793 | 2.4730 | 0.0025 |
| 7 | 2.1079 | 2.1053 | 0.0012 | 51 | 2.8488 | 2.8435 | 0.0019 |
| 8 | 2.0064 | 2.0029 | 0.0017 | 52 | 2.2839 | 2.2838 | 0.0001 |
| 9 | 2.8102 | 2.8043 | 0.0021 | 53 | 2.7573 | 2.7653 | 0.0029 |
| 10 | 3.3394 | 3.3471 | 0.0023 | 54 | 2.4094 | 2.4066 | 0.0012 |
| 11 | 2.6960 | 2.7070 | 0.0041 | 55 | 2.8411 | 2.8778 | 0.0129 |
| 12 | 2.1600 | 2.1619 | 0.0009 | 56 | 2.8392 | 2.8382 | 0.0003 |
| 13 | 2.9032 | 2.9019 | 0.0004 | 57 | 3.1739 | 3.1722 | 0.0005 |
| 14 | 2.3165 | 2.3579 | 0.0179 | 58 | 2.2950 | 2.2968 | 0.0008 |
| 15 | 2.5893 | 2.5827 | 0.0025 | 59 | 2.9769 | 2.9752 | 0.0006 |
| 16 | 2.7030 | 2.7061 | 0.0011 | 60 | 3.4849 | 3.4970 | 0.0035 |
| 17 | 3.0035 | 3.0007 | 0.0009 | 61 | 2.2205 | 2.2169 | 0.0016 |
| 18 | 2.6707 | 2.6740 | 0.0012 | 62 | 2.6272 | 2.6263 | 0.0004 |
| 19 | 2.5695 | 2.5639 | 0.0022 | 63 | 2.4595 | 2.4585 | 0.0004 |
| 20 | 2.5913 | 2.5940 | 0.0010 | 64 | 2.7986 | 2.8009 | 0.0008 |
| 21 | 2.7725 | 2.7734 | 0.0003 | 65 | 2.6279 | 2.6207 | 0.0028 |
| 22 | 3.3780 | 3.3736 | 0.0013 | 66 | 3.2708 | 3.2704 | 0.0001 |
| 23 | 3.1550 | 3.1486 | 0.0020 | 67 | 2.5379 | 2.5289 | 0.0035 |
| 24 | 3.0771 | 3.0741 | 0.0010 | 68 | 2.8748 | 2.8757 | 0.0003 |
| 25 | 2.7935 | 2.7904 | 0.0011 | 69 | 3.2447 | 3.2360 | 0.0027 |
| 26 | 2.5302 | 2.5158 | 0.0057 | 70 | 3.2571 | 3.2552 | 0.0006 |
| 27 | 2.5602 | 2.5595 | 0.0003 | 71 | 3.0283 | 3.0330 | 0.0015 |
| 28 | 3.0204 | 3.0269 | 0.0022 | 72 | 2.7204 | 2.7246 | 0.0016 |
| 29 | 2.8139 | 2.8097 | 0.0015 | 73 | 2.5634 | 2.5737 | 0.0040 |
| 30 | 2.9959 | 2.9845 | 0.0038 | 74 | 2.2561 | 2.2518 | 0.0019 |
| 31 | 2.3407 | 2.3405 | 0.0001 | 75 | 2.8765 | 2.8778 | 0.0004 |
| 32 | 3.4145 | 3.4345 | 0.0058 | 76 | 3.0691 | 3.0673 | 0.0006 |
| 33 | 2.8866 | 2.8842 | 0.0008 | 77 | 2.9009 | 2.9080 | 0.0025 |
| 34 | 3.4261 | 3.4311 | 0.0015 | 78 | 2.3074 | 2.3067 | 0.0003 |
| 35 | 2.5748 | 2.5681 | 0.0026 | 79 | 2.6606 | 2.6771 | 0.0062 |
| 36 | 2.7824 | 2.7841 | 0.0006 | 80 | 3.0008 | 3.0015 | 0.0002 |
| 37 | 2.3592 | 2.3570 | 0.0009 | 81 | 2.5779 | 2.5799 | 0.0008 |
| 38 | 2.3509 | 2.3542 | 0.0014 | 82 | 2.4635 | 2.4290 | 0.0140 |
| 39 | 2.7688 | 2.7718 | 0.0011 | 83 | 3.0933 | 3.0866 | 0.0022 |
| 40 | 2.3956 | 2.3973 | 0.0007 | 84 | 2.4614 | 2.4655 | 0.0017 |
| 41 | 2.6346 | 2.6367 | 0.0008 | 85 | 2.0013 | 2.0068 | 0.0027 |
| 42 | 3.4012 | 3.3922 | 0.0026 | 86 | 3.2451 | 3.2436 | 0.0005 |
| 43 | 2.3932 | 2.4489 | 0.0233 | 87 | 3.2476 | 3.2095 | 0.0117 |
| 44 | 2.7406 | 2.7354 | 0.0019 | 88 | 2.6318 | 2.6366 | 0.0018 |






References
- Khalili, S.; Harre, M.; Morley, P. A temporal framework of social resilience indicators of communities to flood, case studies: Wagga wagga and kempsey, nsw, Australia. Int. J. Disast. Risk Reduct. 2015, 13, 248–254. [Google Scholar] [CrossRef]
- Zhang, H.; Liu, Y.L.; Feng, J.Y. Impact of urbanization quality and urban resilience on flood disaster risk:Based on panel data of 11 prefecture-level cities in Shanxi. Econ. Probl. 2020, 114–120. [Google Scholar]
- Hou, J.; Lv, J.; Chen, X.; Yu, S. China’s regional social vulnerability to geological disasters: Evaluation and spatial characteristics analysis. Nat. Hazards 2016, 84, 97–111. [Google Scholar] [CrossRef]
- Yu, H.L.; Jian, Z. An analysis study on derived calamities of transient population settlement and it’s preventive strategies. Archit. Cult. 2015, 97–99. [Google Scholar]
- Malhi, G.S.; Das, P.; Bell, E.; Mattingly, G.; Mannie, Z. Modelling resilience in adolescence and adversity: A novel framework to inform research and practice. Transl. Psychiatry 2019, 9, 316. [Google Scholar] [CrossRef] [PubMed]
- Lu, P.; Stead, D. Understanding the notion of resilience in spatial planning: A case study of Rotterdam, The Netherlands. Cities 2013, 35, 200–212. [Google Scholar] [CrossRef]
- Shen, J.K.; Wang, Y.C. A framework of urban community planning and design based on the characteristics of resilience. Landsc. Archit. 2017, 98–106. [Google Scholar]
- Holling, C.S. Resilience and stability of ecological systems. Annu. Rev. Ecol. Syst. 1973, 4, 1–23. [Google Scholar] [CrossRef]
- Liang, J.; Li, Y. Resilience and sustainable development goals based social-ecological indicators and assessment of coastal urban areas—A case study of dapeng new district, shenzhen, china. Watershed Ecol. Environ. 2020, 2, 6–15. [Google Scholar] [CrossRef]
- Nguyen, H.L.; Akerkar, R. Modelling, measuring, and visualising community resilience: A systematic review. Sustainability 2020, 12, 7896. [Google Scholar] [CrossRef]
- Tai, H.-S. Resilience for whom? A case study of taiwan indigenous people’s struggle in the pursuit of social-ecological resilience. Sustainability 2020, 12, 7472. [Google Scholar] [CrossRef]
- Cinner, J.E.; Barnes, M.L. Social dimensions of resilience in social-ecological systems. One Earth 2019, 1, 51–56. [Google Scholar] [CrossRef]
- Aldunce, P. Framing disaster resilience. Disaster Prev. Manag. 2014, 23, 252–270. [Google Scholar] [CrossRef]
- Kontokosta, C.E.; Malik, A. The resilience to emergencies and disasters index: Applying big data to benchmark and validate neighborhood resilience capacity. Sustain. Cities. Soc. 2018, 36, 272–285. [Google Scholar] [CrossRef]
- Linkov, I.; Palma-Oliveira, J. Resilience and Risk: Methods and Application in Environment, Cyber and Social Domains; Springer: Berlin, Germany, 2017. [Google Scholar]
- Florin, M.-V.; Linkov, I. IRGC Resource Guide on Resilience; International Risk Governance Center (IRGC): Geneva, Switzerland, 2018. [Google Scholar]
- Cutter, S.L. The changing context of hazard extremes: Events, impacts, and consequences. J. Extrem. Events 2016, 3, 1671005. [Google Scholar] [CrossRef]
- Norris, F.H.; Stevens, S.P.; Pfefferbaum, B.; Wyche, K.F.; Pfefferbaum, R.L. Community resilience as a metaphor, theory, set of capacities, and strategy for disaster readiness. Am. J. Community Psychol. 2008, 41, 127–150. [Google Scholar] [CrossRef] [PubMed]
- Bruneau, M.; Chang, E.S.; Eguchi, R.T.; Lee, G.C.; O’Rourke, D.T.; Reinhorn, A.; Shinozuka, M.; Tierney, K.; Wallace, W.; Winterfeldt, D. A framework to quantitatively assess and enhance the seismic resilience of communities. Earthq. Spectra 2003, 19, 733–752. [Google Scholar] [CrossRef]
- Cutter, S.L.; Barnes, L.; Berry, M.; Burton, C.; Evans, E. Community and regional resilience: Perspectives from hazards, disasters, and emergency management. Geography 2008, 1, 2301–2306. [Google Scholar]
- Building Urban Resilience: Principles, Tools and Practice; World Bank Group: Washington, DC, USA, 2013.
- Holz, E. Trends in Urban Resilience 2017; United Nations Human Settlements Programme: Nairobi, Kenya, 2017. [Google Scholar]
- Moghadas, M.; Asadzadeh, A.; Vafeidis, A.; Fekete, A.; Kötter, T. A multi-criteria approach for assessing urban flood resilience in Tehran, Iran. Int. J. Disast. Risk. Reduct. 2019, 35, 101069. [Google Scholar] [CrossRef]
- United Nations. Transforming Our World: The 2030 Agenda for Sustainable Development; United Nations Human Settlements Programme: Nairobi, Kenya, 2015. [Google Scholar]
- Rossano, L. Hyogo Framework for Action 2005–2015: Building the Resilience of Nations and Communities to Disasters; United Nations: New York, NY, USA, 2011. [Google Scholar]
- Tepper, F. Sendai framework for disaster risk reduction 2015–2030. Int. J. Disast. Risk. Sci. 2015, 210–233. [Google Scholar]
- Adedeji, T.; Proverbs, D.; Xiao, H.; Cobbing, P.; Oladokun, V. Making birmingham a flood resilient city: Challenges and opportunities. Water 2019, 11, 1699. [Google Scholar] [CrossRef]
- Rus, K.; Kilar, V.; Koren, D. Resilience assessment of complex urban systems to natural disasters: A new literature review. Int. J. Disast. Risk. Reduct. 2018, 31, 311–330. [Google Scholar] [CrossRef]
- Li, D.Z.; Wu, J.; Cui, P. Research on the disaster resilience evaluation index system of urban community complex ecosystem. Constr. Econ. 2018, 39, 92–96. [Google Scholar]
- Cutter, S.L.; Barnes, L.; Berry, M.; Burton, C.; Evans, E.; Tate, E.; Webb, J. A place-based model for understanding community resilience to natural disasters. Glob. Environ. Chang. 2008, 18, 598–606. [Google Scholar] [CrossRef]
- Xu, W.; Zhong, M.; Hong, Y.; Lin, K. Enhancing community resilience to urban floods with a network structuring model. Saf. Sci. 2020, 127, 104699. [Google Scholar] [CrossRef]
- Cutter, S.L.; Burton, C.G.; Emrich, C.T. Disaster resilience indicators for benchmarking baseline conditions. J. Homel. Secur. Emerg. 2010, 7, 1271–1283. [Google Scholar] [CrossRef]
- Susan, L.; Kevin, D.; Emrich, C.T. The geographies of community disaster resilience. Glob. Environ. Chang. 2014, 29, 65–77. [Google Scholar]
- Asadzadeh, A.; Kötter, T.; Salehi, P.; Birkmann, J. Operationalizing a concept: The systematic review of composite indicator building for measuring community disaster resilience. Int. J. Disast. Risk. Reduct. 2017, 25, 147–162. [Google Scholar] [CrossRef]
- Cutter, S.; Ash, K.; Emrich, C. Urban–rural differences in disaster resilience. Ann. Am. Assoc. Geogr. 2016, 106, 1236–1252. [Google Scholar] [CrossRef]
- Singh-Peterson, L.; Salmon, P.; Goode, N.; Gallina, J. Translation and evaluation of the baseline resilience indicators for communities on the sunshine coast, Queensland Australia. Int. J. Disast. Risk. Re. 2014, 10, 116–126. [Google Scholar] [CrossRef]
- Macharia, D.K.E.; Kindberg, L.; Koech, G.; Ndungu, L.; Wahome, A.; Mugo, R. Mapping climate vulnerability of river basin communities in tanzania to inform resilience interventions. Sustainability 2020, 12, 4102. [Google Scholar] [CrossRef]
- Hagenlocher, M.; Lang, S.; Hölbling, D.; Tiede, D.; Kienberger, S. Modeling hotspots of climate change in the sahel using object-based regionalization of multidimensional gridded datasets. IEEE J. Sel. Top. Appl. Earth Obs. Remote Sens. 2014, 7, 229–234. [Google Scholar] [CrossRef]
- de Sherbinin, A.; Bukvic, A.; Rohat, G.; Gall, M.; McCusker, B.; Preston, B.; Apotsos, A.; Fish, C.; Kienberger, S.; Muhonda, P.; et al. Climate vulnerability mapping: A systematic review and future prospects. Wires Clim. Chang. 2019, 10, e600. [Google Scholar] [CrossRef]
- Sritart, H.M.H.; Kanbara, S.; Hara, T. Methodology and application of spatial vulnerability assessment for evacuation shelters in disaster planning. Sustainability 2020, 12, 7355. [Google Scholar] [CrossRef]
- Schaefer, M.; Thinh, N.X.; Greiving, S. How can climate resilience be measured and visualized? Assessing a vague concept using gis-based fuzzy logic. Sustainability 2020, 12, 635. [Google Scholar] [CrossRef]
- Sung, C.-H.; Liaw, S.-C. A gis approach to analyzing the spatial pattern of baseline resilience indicators for community (bric). Water 2020, 12, 1401. [Google Scholar] [CrossRef]
- McGill, R. Urban resilience—An urban management perspective. J. Urban Manag. 2020, 9, 372–381. [Google Scholar] [CrossRef]
- Huang, W.; Ling, M. System resilience assessment method of urban lifeline system for gis. Comput. Environ. Urban. Syst. 2018, 71, 67–80. [Google Scholar] [CrossRef]
- O’Connell, D.; Walker, B.; Abel, N.; Grigg, N. The Resilience, Adaptation and Transformation Assessment Framework: From Theory to Application; CSIRO: Canberra, Australia, 2015. [Google Scholar]
- Yang, M.X.; Huang, B.; Cui, C.; Xiao, Z.P. Review and prospect: Urban disaster resilience. Urban. Plan. Forum 2016, 48–55. [Google Scholar]
- Alliance, R. Assessing Resilience in Social-Ecological Systems: Workbook for Practitioners, Version 2.0; The Resilience Alliance: Stockholm, Sweden, 2010; pp. 1–54. [Google Scholar]
- Walker, B.H.; Abel, N.; Anderies, J.M.; Ryan, P. Resilience, adaptability, and transformability in the goulburn-broken catchment, australia. Ecol. Soc. 2009, 14, 1698–1707. [Google Scholar] [CrossRef]
- Li, Y.; Zhai, G.F. China’s urban disaster resilience evaluation and promotion. Planners 2017, 5–11. [Google Scholar]
- Zhou, L.M.; Yuan, W.Q. Disaster management marching toward resilient city. Comp. Econ. Soc. Syst. 2017, 22–33. [Google Scholar]
- Li, Y.L.; Wu, C.; Zhang, X.F. An evaluator’s weight allocation considering network peer effects. J. Manag. Sci. China 2016, 19, 32–44. [Google Scholar]
- Khalil, N.; Kamaruzzaman, S.N.; Baharum, M.R. Ranking the indicators of building performance and the users’ risk via analytical hierarchy process (ahp): Case of malaysia. Ecol. Indic. 2016, 71, 567–576. [Google Scholar] [CrossRef]
- Mahtani, U.S.; Garg, C.P. An analysis of key factors of financial distress in airline companies in india using fuzzy ahp framework. Transp. Res. Part A Pol. Pract. 2018, 117, 87–102. [Google Scholar] [CrossRef]
- Basheer, I.A.; Hajmeer, M. Artificial neural networks: Fundamentals, computing, design, and application. J. Microbiol. Meth. 2000, 43, 3–31. [Google Scholar] [CrossRef]
- Liu, M.; Sun, S.D. Research on method of computing indicator weight for e-commerce development level estimaion based on ann. Soft Sci. 2006, 136–139. [Google Scholar]
- Yang, J.G.; Wang, M.P.; Li, B.Z.; Lyu, Z.-J. Comprehensive evaluation of spindle performance based on ahp and bp neural network. Mach. Des. Manuf. 2012, 272–274. [Google Scholar]
- Xia, J.G.; Shen, W.J. Study on the integrated price in a section demarcated for land expropriation based on the model of the bp neural network. Econ. Geogr. 2007, 1015–1017. [Google Scholar]
- Zhao, J.; Jiandong, P. A study on spatial distribution characteristics of floating population in large central cities based on community scale: A case study of wuhan. Urban. Archit. 2018, 32–35. [Google Scholar]
- Peng, J.D.; Jing, W.J. Analysis of the characteristics of floating population in wuhan—A survey report from 30 typical communities. Rational planning for sustainable development. In Proceedings of the China Urban Planning Annual Conference 2017 (12 Urban and Rural Governance and Policy Studies), London, UK, 5–6 May 2017. [Google Scholar]
- Yu, J.Y.; Zhou, X.J. The realization and application of meta-synthesis. Syst. Eng. Theory Pract. 2002, 22, 26–32. [Google Scholar]
- Wang, Y.; Zhui, L.; Liu, Z. Research on the evaluation of the level of economic integration of floating population in china based on the three stage grey clustering method. Popul. Econ. 2019, 42–56. [Google Scholar]
- Speculum Artium Cundill, G.; Carlos Bezerra, J.; De Vos, A.; Ntingana, N. Beyond benefit sharing: Place attachment and the importance of access to protected areas for surrounding communities. Ecosyst. Serv. 2017, 28, 140–148. [Google Scholar] [CrossRef]
- Meng, L.J.; Yun, Y.X.; Ren, L.J. An existing community disaster relief strategy based on the rata resilience evaluation system-taking the existing community of dongxing road in hedong district, tianjin as an example. Planning for 60 years: Achievements and challenges. In Proceedings of the 2016 China Urban Planning Annual Conference (01 Urban Safety and Disaster Prevention Planning), Shanghai, China, 15–21 August 2016. [Google Scholar]







| The Target Layer | The Criterion Layer (Bi) | Symbols (Cij) | The Indicator Layer | Description |
|---|---|---|---|---|
| The transient population community resilience to disaster (A) | Community space construction (B1) | C11 | Construction quality | Disaster prevention level, quality of building facilities |
| C12 | Disaster evacuation capability | The width of the evacuation road meets the demand | ||
| C13 | Emergency shelters | Whether there is a temporary shelter, and its space reasonably | ||
| C14 | Disaster prevention marking system | The completeness of the disaster prevention identification system | ||
| C15 | Lifeline system | Whether the infrastructure is comprehensive | ||
| Economic development (B2) | C21 | Disaster insurance | Household property comprehensive insurance, personal accident insurance, etc. bought by residents to prevent losses caused by natural disasters | |
| C22 | Employment situation | Employment status of transient population, economic income | ||
| C23 | Commercial scale | The number and scale of businesses in the community reflect the community economy | ||
| C24 | Material reserve system | The provision of materials prepared by the community committee in response to the disaster | ||
| Community management system (B3) | C31 | Community committee management | Number, quality, and standard of responsibility of community managers | |
| C32 | Community communication network | Construction of community communication network (Interchange and share information within community) | ||
| C33 | Emergency management | Relevant emergency management regulations, publicity and related drills | ||
| C34 | Disaster prevention publicity and education | The community’s propaganda of disasters, including mobile phone text messages, community banners, bulletin boards, leaflets and other disaster-related reminders, drills, etc. | ||
| Community capital (B4) | C41 | Disaster awareness | Level of knowledge and concern about flood | |
| C42 | Social network relationship | The form and frequency of getting along between neighbors | ||
| C43 | Community attachment | Transient population group’s sense of belonging to a community or place |
| C 11 | C 12 | C 13 | C 14 | C 15 | C 21 | C 22 | C 23 | C 24 | C 31 | C 32 | C 33 | C 34 | C 41 | C 42 | C 43 | Score | |
|---|---|---|---|---|---|---|---|---|---|---|---|---|---|---|---|---|---|
| 1 | 3 | 3 | 3 | 4 | 3 | 5 | 5 | 3 | 3 | 3 | 5 | 3 | 3 | 5 | 3 | 3 | 3.4302 |
| 2 | 3 | 5 | 3 | 3 | 3 | 3 | 3 | 3 | 3 | 3 | 3 | 3 | 3 | 3 | 4 | 3 | 3.2451 |
| 3 | 4 | 5 | 5 | 5 | 4 | 3 | 3 | 3 | 4 | 2 | 5 | 3 | 4 | 4 | 3 | 4 | 3.9445 |
| 4 | 5 | 3 | 5 | 4 | 2 | 5 | 3 | 1 | 3 | 4 | 3 | 3 | 4 | 2 | 2 | 4 | 3.3584 |
| 5 | 3 | 3 | 3 | 2 | 3 | 3 | 3 | 3 | 2 | 3 | 3 | 4 | 3 | 2 | 2 | 3 | 2.6941 |
| 6 | 3 | 3 | 3 | 4 | 2 | 5 | 3 | 1 | 3 | 3 | 1 | 1 | 2 | 1 | 4 | 3 | 2.3915 |
| 7 | 2 | 1 | 1 | 2 | 1 | 1 | 1 | 1 | 1 | 1 | 3 | 1 | 2 | 2 | 3 | 2 | 1.5930 |
| 8 | 3 | 3 | 3 | 1 | 1 | 1 | 3 | 1 | 1 | 3 | 1 | 2 | 1 | 2 | 4 | 3 | 2.2166 |
| 9 | 3 | 3 | 3 | 3 | 2 | 3 | 3 | 3 | 2 | 3 | 3 | 2 | 2 | 2 | 3 | 2 | 2.6409 |
| 10 | 5 | 5 | 3 | 5 | 4 | 5 | 5 | 3 | 3 | 4 | 3 | 4 | 4 | 3 | 3 | 3 | 3.9559 |
| 11 | 4 | 3 | 5 | 4 | 4 | 3 | 3 | 3 | 4 | 3 | 3 | 3 | 3 | 2 | 2 | 2 | 3.2980 |
| 12 | 3 | 3 | 3 | 2 | 2 | 3 | 3 | 3 | 2 | 2 | 3 | 2 | 2 | 1 | 3 | 3 | 2.5180 |
| 13 | 4 | 3 | 3 | 4 | 3 | 1 | 1 | 3 | 2 | 3 | 3 | 3 | 2 | 2 | 3 | 3 | 2.9576 |
| 14 | 3 | 1 | 3 | 2 | 1 | 1 | 1 | 1 | 1 | 3 | 3 | 1 | 1 | 1 | 4 | 3 | 1.9351 |
| … | … | … | … | … | … | … | … | … | … | … | … | … | … | … | … | … | … |
| 85 | 2 | 1 | 1 | 1 | 2 | 1 | 1 | 1 | 1 | 2 | 1 | 2 | 1 | 1 | 2 | 2 | 1.4598 |
| Index | Expert Weights | Rank | Hongxia Community | Rank | Wannian Community | Rank | Hugong Community | Rank |
|---|---|---|---|---|---|---|---|---|
| C11 | 0.1831 | 1 | 0.1103 | 1 | 0.1556 | 1 | 0.1496 | 1 |
| C12 | 0.0971 | 3 | 0.1081 | 2 | 0.0979 | 4 | 0.1187 | 2 |
| C13 | 0.0783 | 5 | 0.0931 | 4 | 0.0751 | 7 | 0.0766 | 6 |
| C14 | 0.0314 | 11 | 0.0407 | 12 | 0.0102 | 16 | 0.0297 | 13 |
| C15 | 0.0688 | 6 | 0.0898 | 5 | 0.0869 | 5 | 0.0595 | 8 |
| C21 | 0.0271 | 15 | 0.0205 | 16 | 0.0332 | 11 | 0.0381 | 11 |
| C22 | 0.0211 | 16 | 0.0277 | 14 | 0.0229 | 14 | 0.0224 | 14 |
| C23 | 0.0659 | 7 | 0.0485 | 10 | 0.0756 | 6 | 0.0835 | 5 |
| C24 | 0.0295 | 12 | 0.0574 | 9 | 0.0377 | 10 | 0.0472 | 9 |
| C31 | 0.0272 | 14 | 0.0583 | 8 | 0.0305 | 13 | 0.0211 | 15 |
| C32 | 0.0588 | 8 | 0.0709 | 7 | 0.0588 | 8 | 0.0731 | 7 |
| C33 | 0.1017 | 2 | 0.0941 | 3 | 0.1291 | 2 | 0.1057 | 3 |
| C34 | 0.0386 | 10 | 0.0412 | 11 | 0.0402 | 9 | 0.0357 | 12 |
| C41 | 0.0924 | 4 | 0.0764 | 6 | 0.1028 | 3 | 0.0840 | 4 |
| C42 | 0.0509 | 9 | 0.0373 | 13 | 0.0317 | 12 | 0.0461 | 10 |
| C43 | 0.0281 | 13 | 0.0255 | 15 | 0.0118 | 15 | 0.0080 | 16 |
© 2020 by the authors. Licensee MDPI, Basel, Switzerland. This article is an open access article distributed under the terms and conditions of the Creative Commons Attribution (CC BY) license (http://creativecommons.org/licenses/by/4.0/).
Share and Cite
Xu, W.; Xiang, L.; Proverbs, D. Assessing Community Resilience to Urban Flooding in Multiple Types of the Transient Population in China. Water 2020, 12, 2784. https://doi.org/10.3390/w12102784
Xu W, Xiang L, Proverbs D. Assessing Community Resilience to Urban Flooding in Multiple Types of the Transient Population in China. Water. 2020; 12(10):2784. https://doi.org/10.3390/w12102784
Chicago/Turabian StyleXu, Wenping, Lingli Xiang, and David Proverbs. 2020. "Assessing Community Resilience to Urban Flooding in Multiple Types of the Transient Population in China" Water 12, no. 10: 2784. https://doi.org/10.3390/w12102784
APA StyleXu, W., Xiang, L., & Proverbs, D. (2020). Assessing Community Resilience to Urban Flooding in Multiple Types of the Transient Population in China. Water, 12(10), 2784. https://doi.org/10.3390/w12102784
