Comparative Analysis of Four Baseflow Separation Methods in the South Atlantic-Gulf Region of the U.S.
Abstract
1. Introduction
2. Materials and Methods
2.1. HYSEP
2.2. WHAT
2.3. BFLOW
2.4. PART
2.5. CMB Method
2.6. Baseflow Index
2.7. Calibration and Validation of Four Baseflow Separation Methods with the CMB Method
3. Study Domain and Data
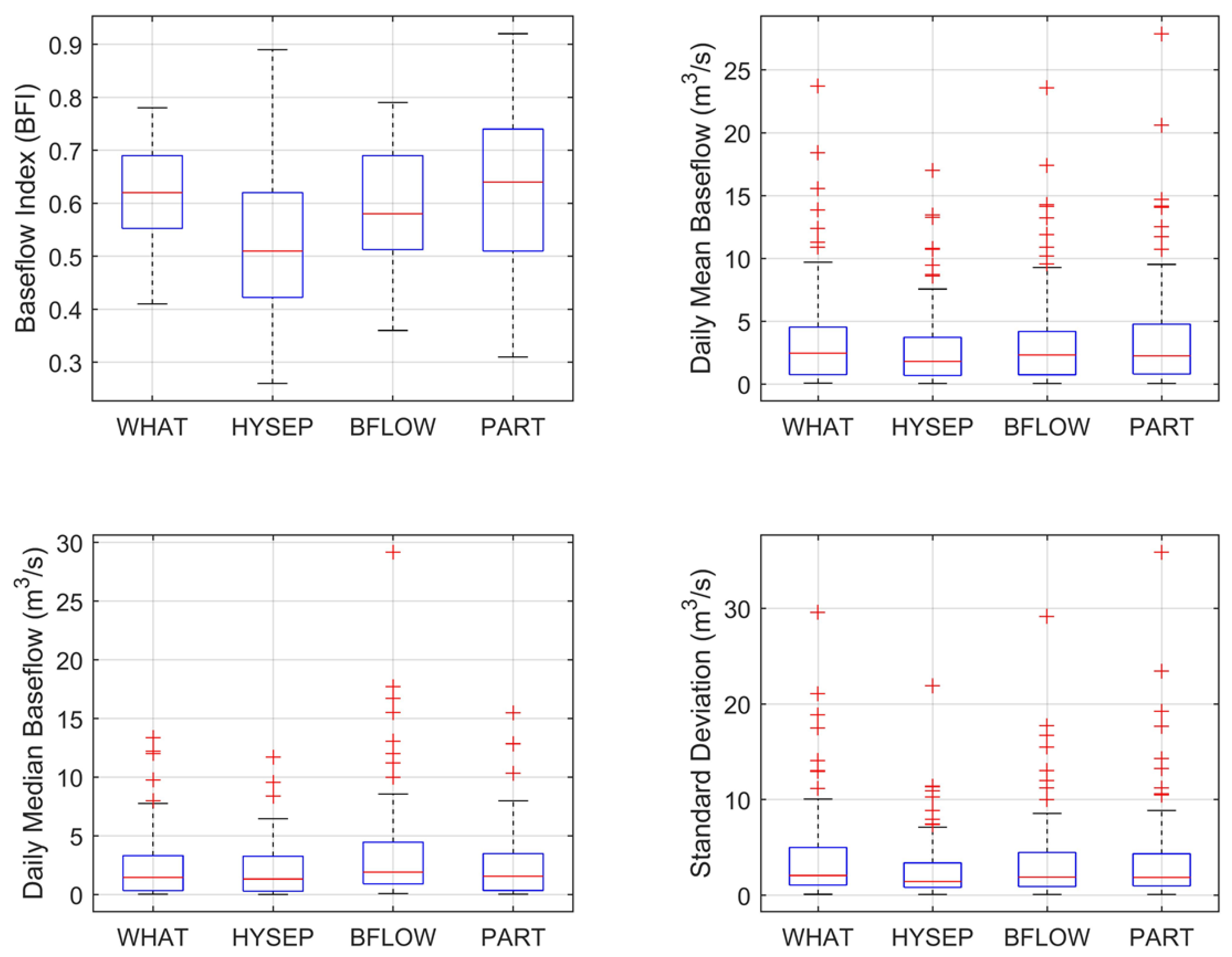
4. Results and Discussion
5. Conclusions
Author Contributions
Funding
Acknowledgments
Conflicts of Interest
References
- Nerem, R.S.; Beckley, B.D.; Fasullo, J.T.; Hamlington, B.D.; Masters, D.; Mitchum, G.T. Climate-change-driven accelerated sea-level rise detected in the altimeter era. Proc. Natl. Acad. Sci. USA 2018, 115, 2022–2025. [Google Scholar] [CrossRef]
- Arnell, N.W.; Gosling, S.N. The impacts of climate change on river flood risk at the global scale. Clim. Chang. 2016, 134, 387–401. [Google Scholar] [CrossRef]
- Alfieri, L.; Feyen, L.; Dottori, F.; Bianchi, A. Ensemble flood risk assessment in Europe under high end climate scenarios. Glob. Environ. Chang. 2015, 35, 199–212. [Google Scholar] [CrossRef]
- AghaKouchak, A.; Nakhjiri, N. A near real-time satellite-based global drought climate data record. Environ. Res. Lett. 2012, 7, 044037. [Google Scholar] [CrossRef]
- Dai, Z.J.; Chu, A.; Du, J.Z.; Stive, M.; Hong, Y. Assessment of extreme drought and human interference on baseflow of the Yangtze River. Hydrol. Process. 2010, 24, 749–757. [Google Scholar] [CrossRef]
- Li, S.; Xiong, L.; Dong, L.; Zhang, J. Effects of the three gorges reservoir on the hydrological droughts at the downstream yichang station during 2003–2011. Hydrol. Process. 2013, 27, 3981–3993. [Google Scholar] [CrossRef]
- Abtew, W.; Trimble, P. El Niño-Southern Oscillation link to south Florida hydrology and water management applications. Water Resour. Manag. 2010, 24, 4255–4271. [Google Scholar] [CrossRef]
- Hwang, S.; Graham, W.D.; Adams, A.; Geurink, J. Assessment of the utility of dynamically-downscaled regional reanalysis data to predict streamflow in west central Florida using an integrated hydrologic model. Reg. Environ. Chang. 2013, 13, 69–80. [Google Scholar] [CrossRef]
- Patterson, L.A.; Lutz, B.; Doyle, M.W. Streamflow changes in the south Atlantic, United States during the mid- and late 20th century. J. Am. Water Resour. Assoc. 2012, 48, 1126–1138. [Google Scholar] [CrossRef]
- Dai, Z.; Amatya, D.; Sun, G.; Trettin, C.; Li, C.; Li, H. Climate variability and its impact on forest hydrology on South Carolina Coastal Plain, USA. Atmosphere 2011, 2, 330–357. [Google Scholar] [CrossRef]
- Loperfido, J.V.; Noe, G.B.; Jarnagin, S.T.; Hogan, D.M. Effects of distributed and centralized stormwater best management practices and land cover on urban stream hydrology at the catchment scale. J. Hydrol. 2014, 519, 2584–2595. [Google Scholar] [CrossRef]
- Conner, W.H.; Duberstein, J.A.; Day, J.W.; Hutchinson, S. Impacts of Changing Hydrology and Hurricanes on Forest Structure and Growth Along a Flooding/Elevation Gradient in a South Louisiana Forested Wetland from 1986 to 2009. Wetlands 2014, 34, 803–814. [Google Scholar] [CrossRef]
- Panagopoulos, Y.; Gassman, P.W.; Arritt, R.W.; Herzmann, D.E.; Campbell, T.D.; Valcu, A.; Jha, M.K.; Kling, C.L.; Srinivasan, R.; White, M.; et al. Impacts of climate change on hydrology, water quality and crop productivity in the Ohio-Tennessee River Basin. Int. J. Agric. Biol. Eng. 2015, 8, 36–53. [Google Scholar] [CrossRef]
- Laseter, S.H.; Ford, C.R.; Vose, J.M.; Swift, L.W. Long-term temperature and precipitation trends at the Coweeta Hydrologic Laboratory, Otto, North Carolina, USA. Hydrol. Res. 2012, 43, 890–901. [Google Scholar] [CrossRef]
- Wang, R.Y.; Kalin, L.; Kuang, W.H.; Tian, H.Q. Individual and combined effects of land use/cover and climate change on wolf bay watershed streamflow in southern Alabama. Hydrol. Process. 2014, 28, 5530–5546. [Google Scholar] [CrossRef]
- Reay, W.G.; Gallagher, D.L.; Simmons, G.M. Groundwater discharge and its impact on surface water quality in a Chesapeake Bay inlet. Water Resour. Bull. 1992, 28, 1121–1134. [Google Scholar] [CrossRef]
- Ahiablame, L.; Chaubey, I.; Engel, B.; Cherkauer, K.; Merwade, V. Estimation of annual baseflow at ungauged sites in Indiana USA. J. Hydrol. 2013, 476, 13–27. [Google Scholar] [CrossRef]
- Gebert, W.A.; Mandy, J.R.; Ellen, J.C.; Kennedy, J.L. Use of streamflow data to estimate baseflow/ground-water recharge for Wisconsin. J. Am. Water Resour. Assoc. 2007, 43, 220–236. [Google Scholar] [CrossRef]
- Santhi, C.; Allen, P.M.; Muttiah, R.S.; Arnold, J.G.; Tuppad, P. Regional estimation of base flow for the conterminous United States by hydrologic landscape regions. J. Hydrol. 2008, 351, 139–153. [Google Scholar] [CrossRef]
- Rumsey, C.A.; Miller, M.P.; Susong, D.D.; Tillman, F.D.; Anning, D.W. Regional scale estimates of baseflow and factors influencing baseflow in the Upper Colorado River Basin. J. Hydrol. Reg. Stud. 2015, 4, 91–107. [Google Scholar] [CrossRef]
- Zhang, Y.-K.; Schilling, K. Increasing streamflow and baseflow in Mississippi River since the 1940s: Effect of land use change. J. Hydrol. 2006, 324, 412–422. [Google Scholar] [CrossRef]
- Ficklin, D.L.; Robeson, S.M.; Knouft, J.H. Impacts of recent climate change on trends in baseflow and stormflow in United States watersheds. Geophys. Res. Lett. 2016, 43, 5079–5088. [Google Scholar] [CrossRef]
- Bosch, D.D.; Arnold, J.G.; Allen, P.G.; Lim, K.-J.; Park, Y.S. Temporal variations in baseflow for the Little River experimental watershed in South Georgia, USA. J. Hydrol. Reg. Stud. 2017, 10, 110–121. [Google Scholar] [CrossRef]
- Zhang, J.; Song, J.; Cheng, L.; Zheng, H.; Wang, Y.; Huai, B.; Sun, W.; Qi, S.; Zhao, P.; Wang, Y.; et al. Baseflow estimation for catchments in the Loess Plateau, China. J. Environ. Manag. 2019, 233, 264–270. [Google Scholar] [CrossRef]
- Buttle, J.M. Mediating stream baseflow response to climate change: The role of basin storage. Hydrol. Process. 2018, 32, 363–378. [Google Scholar] [CrossRef]
- Kahsay, K.D.; Pingale, S.M.; Hatiye, S.D. Impact of climate change on groundwater recharge and base flow in the sub-catchment of Tekeze basin, Ethiopia. Groundw. Sustain. Dev. 2018, 6, 121–133. [Google Scholar] [CrossRef]
- Sloto, R.A.; Crouse, M.Y. HYSEP: A Computer Program for Streamflow Hydrograph Separation and Analysis; U.S. Geological Survey Water-Resources Investigations Report No. 96-4040; U.S. Geological Survey: Reston, VA, USA, 1996; pp. 1–54.
- Eckhardt, K. A comparison of baseflow indices, which were calculated with seven different baseflow separation methods. J. Hydrol. 2008, 352, 168–173. [Google Scholar] [CrossRef]
- Meyer, S.C. Analysis of base flow trends in urban streams, Northeastern Illinois, USA. Hydrogeol. J. 2005, 13, 871–885. [Google Scholar] [CrossRef]
- Stadnyk, T.A.; Gibson, J.J.; Longstaffe, F.J. Basin-scale assessment of operational base flow separation methods. J. Hydrol. Eng. 2014, 20, 04014074. [Google Scholar] [CrossRef]
- Hodgkins, G.A.; Dudley, R.W. Historical summer base flow and stormflow trends for New England rivers. Water Resour. Res. 2011, 47. [Google Scholar] [CrossRef]
- Arnold, J.G.; Allen, P.M. Automated methods for estimating baseflow and ground water recharge from streamflow records. J. Am. Water Resour. Assoc. 1999, 35, 411–424. [Google Scholar] [CrossRef]
- Datta, A.R.; Bolisetti, T.; Balachandar, R. Automated linear and nonlinear reservoir approaches for estimating annual baseflow. J. Hydrol. Eng. 2011, 17, 554–564. [Google Scholar] [CrossRef]
- Rouhani, H.; Malekian, A. Automated methods for estimating baseflow from streamflow records in a semi arid watershed. Desert 2013, 17, 203–209. [Google Scholar] [CrossRef]
- Duki, S.R.H.; Seyedian, S.M.; Rouhani, H.; Farasati, M. Evaluation of base flow separation methods for determining water extraction (case study: Gorganroud River Basin). Water Harvest. Res. J. 2017, 2, 57–70. [Google Scholar] [CrossRef]
- Rutledge, A.T. Computer Programs for Describing the Recession of Ground-Water Discharge and for Estimating Mean Ground-Water Recharge and Discharge from Streamflow Records: Update; US Department of the Interior: Washington, DC, USA; US Geological Survey: Reston, VA, USA, 1998.
- Partington, D.; Brunner, P.; Simmons, C.T.; Werner, A.D.; Therrien, R.; Maier, H.R.; Dandy, G.C. Evaluation of outputs from automated baseflow separation methods against simulated baseflow from a physically based, surface water-groundwater flow model. J. Hydrol. 2012, 458, 28–39. [Google Scholar] [CrossRef]
- Villarini, G.; Jones, C.S.; Schilling, K.E. Soybean area and baseflow driving nitrate in Iowa’s Raccoon river. J. Environ. Qual. 2016, 45, 1949–1959. [Google Scholar] [CrossRef]
- Lim, K.J.; Engel, B.A.; Tang, Z.; Choi, J.; Kim, K.-S.; Muthukrishnan, S.; Tripathy, D. Automated web GIS based hydrograph analysis tool (WHAT). JAWRA J. Am. Water Resour. Assoc. 2005, 41, 1407–1416. [Google Scholar] [CrossRef]
- Lott, D.A.; Stewart, M.T. Base flow separation: A comparison of analytical and mass balance methods. J. Hydrol. 2016, 535, 525–533. [Google Scholar] [CrossRef]
- Combalicer, E.A.; Lee, S.H.; Ahn, S.; Kim, D.Y.; Im, S. Comparing groundwater recharge and base flow in the Bukmoongol small-forested watershed, Korea. J. Earth Syst. Sci. 2008, 117, 553–566. [Google Scholar] [CrossRef]
- Zhang, Y.; Ahiablame, L.; Engel, B.; Liu, J. Regression modeling of baseflow and baseflow index for Michigan USA. Water 2013, 5, 1797–1815. [Google Scholar] [CrossRef]
- Zomlot, Z.; Verbeiren, B.; Huysmans, M.; Batelaan, O. Spatial distribution of groundwater recharge and base flow: Assessment of controlling factors. J. Hydrol. 2015, 4, 349–368. [Google Scholar] [CrossRef]
- Stewart, M.; Cimino, J.; Ross, M. Calibration of Base Flow Separation Methods with Streamflow Conductivity. Ground Water 2007, 45, 17–27. [Google Scholar] [CrossRef]
- Zhang, R.; Li, Q.; Chow, T.L.; Li, S.; Danielescu, S. Base-flow separation in a small watershed in New Brunswick, Canada, using a recursive digital filter calibrated with the conductivity mass balance method. Hydrol. Process. 2013, 27, 2659–2665. [Google Scholar] [CrossRef]
- Teegavarapu, R.S.V. Floods in Changing Climate; Cambridge University Press: New York, NY, USA, 2012. [Google Scholar]
- Lnsley, R.K.J.; Kohler, M.A.; Paulhus, J.L.H. Hydrology for Engineers, 3rd ed.; McGraw-Hill: New York, NY, USA, 1982; p. 237. [Google Scholar]
- Lyne, V.D.; Hollick, M. Stochastic Time-Variable Rainfall-Runoff Modeling. In Proceedings of the Hydrology and Water Resources, Symposium Institution of Engineers Australia, Perth, Australia, 10–12 September 1979; pp. 89–92. [Google Scholar]
- Lee, J.; Kim, J.; Jang, W.S.; Lim, K.J.; Engel, B.A. Assessment of baseflow estimates considering recession characteristics in SWAT. Water 2018, 10, 371. [Google Scholar] [CrossRef]
- Slack, J.R.; Landwehr, J.M. Hydro-Climatic Data Network (HCDN): A U.S. Geological Survey Streamflow Data Set of the United States for the Study of Climate Variations,1874–1988; USGS Open-File Report 92-129; U.S. Geological Survey (USGS): Reston, VA, USA, 1992; p. 193.
- Bastola, S.; Seong, Y.; Lee, D.; Youn, I.; Oh, S.; Jung, Y.; Choi, G.; Jang, D. Contribution of baseflow to river streamflow: Study on Nepal’s Bagmati and Koshi basins. KSCE J. Civ. Eng. 2018, 22, 4710–4718. [Google Scholar] [CrossRef]












| HUC 4 Number | Sub-Region Name | Location State(s) | |
|---|---|---|---|
| 0301 | Chowan-Roanoke | Virginia and North Carolina | 49,370 |
| 0302 | Neuse-Pamlico | North Carolina | 37,050 |
| 0303 | Cape Fear | North Carolina | 23,890 |
| 0304 | Pee Dee | North Carolina, South Carolina, and Virginia | 48,860 |
| 0305 | Edisto-Santee | Georgia, North Carolina, and South Carolina | 61,790 |
| 0306 | Ogeechee-Savannah | Georgia, North Carolina, and South Carolina | 43,840 |
| 0307 | Altamaha-St. Marys | Florida and Georgia | 53,830 |
| 0308 | St. Johns | Florida | 29,490 |
| 0309 | Southern Florida | Florida | 46,110 |
| 0310 | Peace-Tampa | Florida | 25,250 |
| 0311 | Suwannee | Florida and Georgia | 35,000 |
| 0312 | Ochlockonee | Florida and Georgia | 9490 |
| 0313 | Apalachicola | Alabama, Florida, and Georgia | 52,720 |
| 0314 | Choctawhatchee-Escambia | Alabama and Florida | 38,700 |
| 0315 | Alabama | Alabama, Georgia, and Tennessee | 58,890 |
| 0316 | Mobile-Tombigbee | Alabama and Mississippi | 56,550 |
| 0317 | Pascagoula | Alabama and Mississippi | 30,990 |
| 0318 | Peart | Louisiana and Mississippi | 22,500 |
| Baseflow | Method | Eastern | Central | Southern | Western |
|---|---|---|---|---|---|
| Mean Value | WHAT | 0.65 | 0.60 | 0.61 | 0.60 |
| HYSEP | 0.56 | 0.49 | 0.49 | 0.50 | |
| BFLOW | 0.62 | 0.57 | 0.57 | 0.57 | |
| PART | 0.64 | 0.59 | 0.68 | 0.58 | |
| Median Value | WHAT | 0.67 | 0.61 | 0.60 | 0.60 |
| HYSEP | 0.59 | 0.46 | 0.45 | 0.51 | |
| BFLOW | 0.66 | 0.58 | 0.55 | 0.58 | |
| PART | 0.69 | 0.58 | 0.66 | 0.61 | |
| Standard Deviation | WHAT | 0.10 | 0.06 | 0.05 | 0.06 |
| HYSEP | 0.16 | 0.11 | 0.08 | 0.10 | |
| BFLOW | 0.13 | 0.09 | 0.06 | 0.08 | |
| PART | 0.16 | 0.11 | 0.08 | 0.10 | |
| Skewness | WHAT | −0.95 | 0.73 | 0.13 | −0.38 |
| HYSEP | −0.17 | 0.93 | 1.07 | 0.08 | |
| BFLOW | −0.73 | 0.85 | 0.40 | −0.19 | |
| PART | −0.71 | 0.72 | −0.18 | −0.35 | |
| Kurtosis | WHAT | 0.05 | −0.36 | −0.63 | −0.71 |
| HYSEP | −0.72 | −0.20 | 1.12 | −0.91 | |
| BFLOW | −0.67 | −0.28 | −0.38 | −0.71 | |
| PART | −0.64 | −0.33 | −1.27 | −0.80 |
© 2019 by the authors. Licensee MDPI, Basel, Switzerland. This article is an open access article distributed under the terms and conditions of the Creative Commons Attribution (CC BY) license (http://creativecommons.org/licenses/by/4.0/).
Share and Cite
Chen, H.; Teegavarapu, R.S.V. Comparative Analysis of Four Baseflow Separation Methods in the South Atlantic-Gulf Region of the U.S. Water 2020, 12, 120. https://doi.org/10.3390/w12010120
Chen H, Teegavarapu RSV. Comparative Analysis of Four Baseflow Separation Methods in the South Atlantic-Gulf Region of the U.S. Water. 2020; 12(1):120. https://doi.org/10.3390/w12010120
Chicago/Turabian StyleChen, Hao, and Ramesh S. V. Teegavarapu. 2020. "Comparative Analysis of Four Baseflow Separation Methods in the South Atlantic-Gulf Region of the U.S." Water 12, no. 1: 120. https://doi.org/10.3390/w12010120
APA StyleChen, H., & Teegavarapu, R. S. V. (2020). Comparative Analysis of Four Baseflow Separation Methods in the South Atlantic-Gulf Region of the U.S. Water, 12(1), 120. https://doi.org/10.3390/w12010120

