Efficiency of Private Household Sand Filters in Removing Nutrients and Microbes from Wastewater in Finland
Abstract
1. Introduction
2. Materials and Methods
2.1. Sand Filters
2.2. Wastewater Sampling
2.3. Physico-Chemical Analyses
2.4. Bacteriological Analyses
2.5. Virus Analyses
2.6. Data Analyses
3. Results
3.1. Influent Water Quality
3.2. Effluent Quality
3.2.1. Phosphorus
3.2.2. Total Nitrogen, Ammonium-N, Nitrate-N, and Nitrite-N
3.2.3. BOD7 and CODCr
3.2.4. SS, O2 and PH
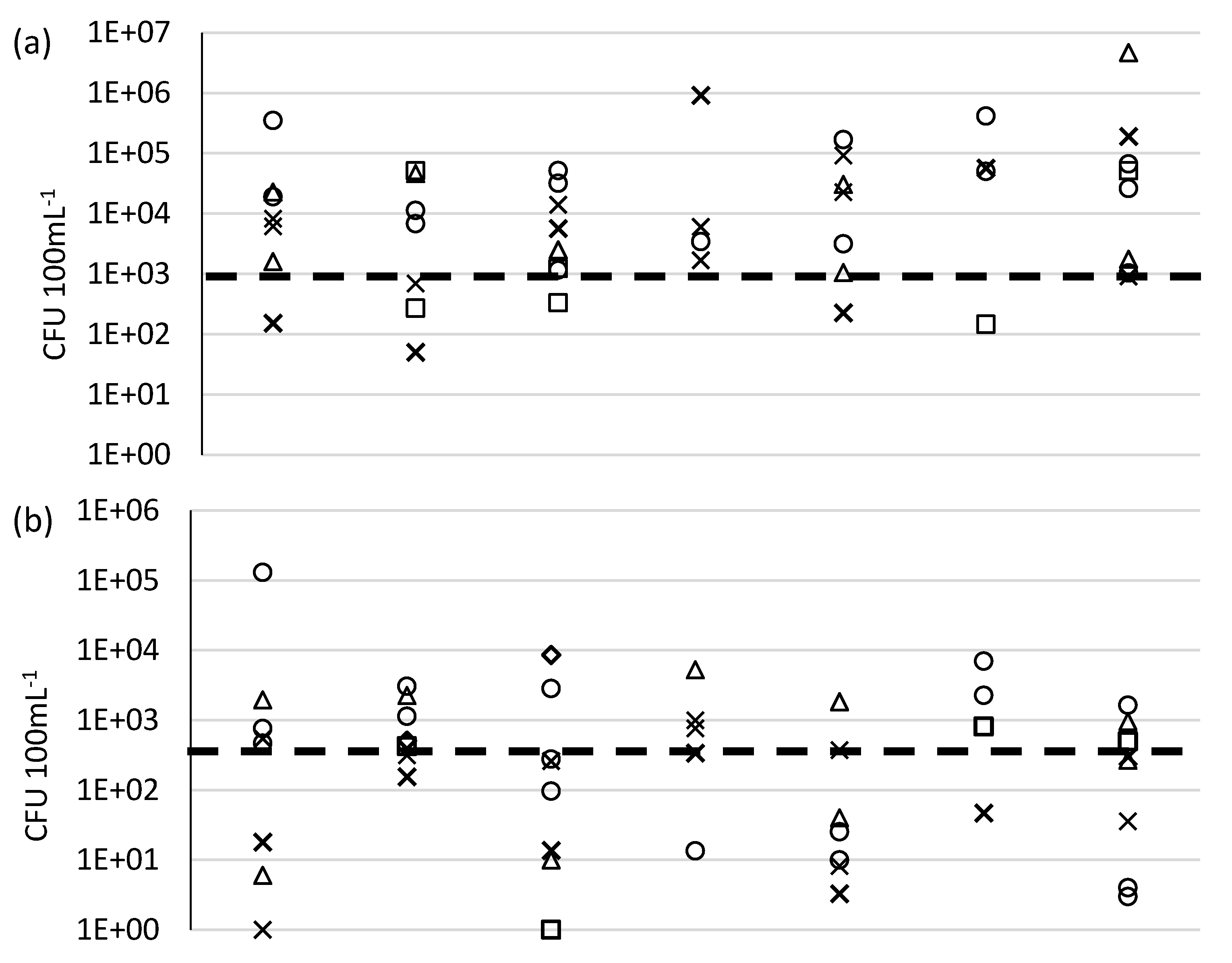
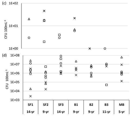
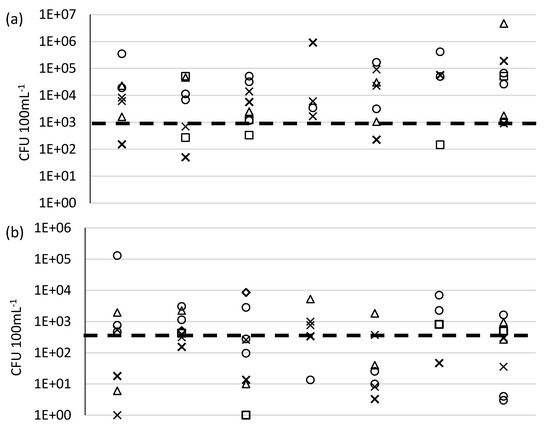
3.2.5. Bacteria
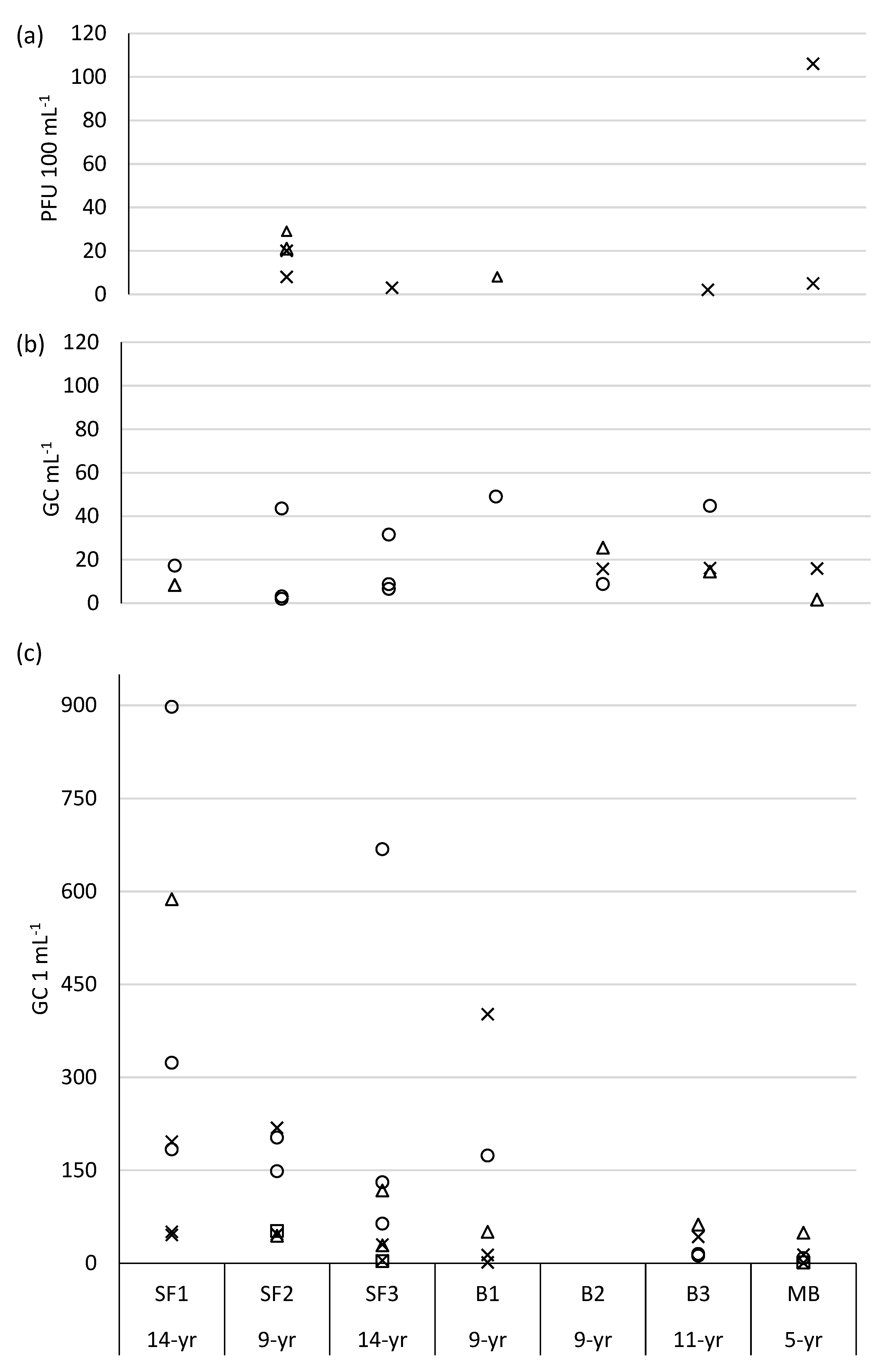
3.2.6. Viruses
4. Discussion
5. Conclusions
Author Contributions
Funding
Acknowledgments
Conflicts of Interest
References
- Ministry of the Environment, Finland. The Finnish Government Decree on Treating Domestic Wastewaters in Areas outside Sewer Networks, 517/2017. Available online: https://www.finlex.fi/fi/laki/alkup/2017/20170157 (accessed on 1 June 2018).
- Baker, M.J.; Blowes, D.W.; Ptacek, C.J. Laboratory Development of Permeable Reactive Mixtures for the Removal of Phosphorus from Onsite Wastewater Disposal Systems. Environ. Sci. Technol. 1998, 32, 2308–2316. [Google Scholar] [CrossRef]
- Weiss, P.; Eveborn, D.; Kärrman, E.; Gustafsson, J.P. Environmental systems analysis of four on-site wastewater treatment options. Resour. Conserv. Recycl. 2008, 52, 1153–1161. [Google Scholar] [CrossRef]
- Li, W.-W.; Yu, H.-Q.; He, Z. Towards sustainable wastewater treatment by using microbial fuel cells-centered technologies. Energ. Environ. Sci. 2014, 7, 911–924. [Google Scholar] [CrossRef]
- Razali, M.; Kim, J.F.; Attfield, M.; Budd, M.; Drioli, E.; Lee, Y.M.; Szekely, G. Sustainable wastewater treatment and recycling in membrane manufacturing. Green Chem. 2015, 17, 5196–5205. [Google Scholar] [CrossRef]
- Colla, V.; Annunziata Branca, T.; Rosito, F.; Lucca, C.; Vivas, B.P.V.; Delmiro, V.M. Sustainable Reverse Osmosis application for wastewater treatment in the steel industry. J. Clean. Prod. 2016, 130, 103–115. [Google Scholar] [CrossRef]
- Abdel-Shafy, H.I.; El-Khateeb, M.A.; Shehata, M. Greywater treatment using different designs of sand filters. Desalin. Water Treat. 2014, 52, 5237–5242. [Google Scholar] [CrossRef]
- Heinonen-Tanski, H.; Matikka, V. Chemical and Microbiological Quality of Effluents from Different On-Site Wastewater Treatment Systems across Finland and Sweden. Water 2017, 9, 47. [Google Scholar] [CrossRef]
- Kujala-Räty, K.; Santala, E. Improvement of Wastewater Treatment in Rural Areas-Final Report of the Hajasampo Project; The publication serie of Finnish Environment Institute: Helsinki, Finland, 2001. [Google Scholar]
- Vilpas, R.; Santala, E. Comparison of the nutrient removal efficiency of one-site wastewater treatments systems: Applications of conventional sand filters and sequencing batch reactors (SBR). Water Sci. Technol. 2007, 55, 109–117. [Google Scholar] [CrossRef] [PubMed]
- USEPA. Guidelines for Wastewater Reuse; US Environmental Protection Agency: Washington, DC, USA, 2012.
- Hagedorn, C.; Hansen, D.T.; Simonson, G.H. Survival and Movement of Fecal Indicator Bacteria in Soil under Conditions of Saturated Flow 1. J. Environ. Qual. 1978, 7, 55–59. [Google Scholar] [CrossRef]
- Pitkänen, T.; Juselius, T.; Isomäki, E.; Miettinen, I.T.; Valve, M.; Kivimäki, A.-L.; Lahti, K.; Hänninen, M.-L. Drinking water quality and occurrence of Giardia in Finnish small groundwater supplies. Resources 2015, 4, 637–654. [Google Scholar] [CrossRef]
- Kauppinen, A.; Pitkänen, T.; Miettinen, I.T. Persistent Norovirus Contamination of Groundwater Supplies in Two Waterborne Outbreaks. Food. Environ. Virol. 2018, 10, 39–50. [Google Scholar] [CrossRef] [PubMed]
- Abegglen, C.; Ospelt, M.; Siegrist, H. Biological nutrient removal in a small-scale MBR treating household wastewater. Water Res. 2008, 42, 338–346. [Google Scholar] [CrossRef] [PubMed]
- Finnish Meteorological Institute Home pages. Available online: http://www.fmi.fi/il/index.html (accessed on 5 June 2018).
- Water Quality e Detection and Enumeration of Intestinal Enterococci e Part 2, Method by Membrane Filtration; SFS-EN ISO 7899-2; Finnish Standards Association (SFS): Helsinki, Finland, 2000.
- Water Quality e Detection and Enumeration of the Spores of Sulfite-reducing Anaerobes (Clostridia); SFS-EN 26461-2; Finnish Standards Association (SFS): Helsinki, Finland, 1993.
- Hokajärvi, A.M.; Pitkänen, T.; Siljanen, H.M.; Nakari, U.M.; Torvinen, E.; Siitonen, A.; Miettinen, I.T. Occurrence of thermotolerant Campylobacter spp. and adenoviruses in Finnish bathing waters and purified sewage effluents. J. Water Health 2013, 11, 120–134. [Google Scholar] [CrossRef] [PubMed]
- Reasoner, D.J.; Geldreich, E.E. A new medium for the enumeration and subculture of bacteria from potable water. Appl. Environ. Microbiol. 1985, 49, 1–7. [Google Scholar] [PubMed]
- Grabow, W.O.K.; Coubrough, P. Practical direct plaque assay for detection of coliphages in 100 mL samples of drinking water. Appl. Environ. Microbiol. 1986, 52, 430–433. [Google Scholar] [PubMed]
- Kauppinen, A.; Martikainen, K.; Matikka, V.; Veijalainen, A.M.; Pitkänen, T.; Heinonen-Tanski, H.; Miettinen, I.T. Sand filters for removal of microbes and nutrients from wastewater during a one-year pilot study. J. Environ. Manag. 2014, 133, 206–213. [Google Scholar] [CrossRef] [PubMed]
- EU Publications. Directive 2006/7/EC of the European Parliament and of the Council, the EU Bathing Water Directive. Available online: https://publications.europa.eu/en/publication-detail/-/publication/c137dbd0-21c5-492f-81ad-736a1295fc68/language-en (accessed on 4 June 2018).
- Matikka, V.; Heinonen-Tanski, H. Reduction of phosphorus, nitrogen and microorganisms in pilot scale sand filter bed containing biotite, treating primary wastewater. Environ. Technol. 2016, 37, 46–54. [Google Scholar] [CrossRef] [PubMed]
- Kujala-Räty, K. Onsite Wastewater Treatment Plants Functionality Study, Hajasampo Project; Suomen ympäristö: Helsinki, Finland, 2004. [Google Scholar]
- Wetzel, R.G. Limnology: Lake and River Ecosystems, 3rd ed.; Gulf Professional Publishing: London, UK, 2001; p. 236. [Google Scholar]
- Arvola, L.; Järvinen, M.; Tulonen, T. Long-term trends and regional differences of phytoplankton in large Finnish lakes. Hydrobiologia 2011, 660, 125–134. [Google Scholar] [CrossRef]
- Naturvårdsverket. Naturvårdsverkets Allmänna Råd [Till 2 och 26 Kap. Miljöbalken och 12–14 och 19 §§ Förordningen (1998:899) om Miljöfarlig Verksamhet och Hälsoskydd] om Små Avloppsanordningar för Hushållsspillvatten. (General Claims over Small Scale Domestic Wastewater Effluent). 2006. Available online: http://www.naturvardsverket.se/Stod-i-miljoarbetet/Rattsinformation/Foreskrifter-allmanna-rad/NFS/2006/NFS-20067---Avloppsanordningar-for-hushallsspillvatten/# (accessed on 19 April 2016). (In Swedish).
- Lehtoranta, S.; Vilpas, R.; Mattila, T.J. Comparison of carbon footprints and eutrophication impacts of rural on-site wastewater treatment plants in Finland. J. Clean. Prod. 2014, 65, 439–446. [Google Scholar] [CrossRef]
- Laaksonen, P.; Sinkkonen, A.; Zaitsev, G.; Mäkinen, E.; Grönroos, T.; Romantschuk, M. Treatment of municipal wastewater in full-scale on-site sand filter reduces BOD but does not reach requirements for nitrogen and phosphorus removal. Environ. Sci. Pollut. Res. 2017, 24, 11446–11458. [Google Scholar] [CrossRef] [PubMed]
- Matikka, V.; Veijalainen, A.-M.; Vilpas, R. Haja-Asutuksen Jätevesien Niukkaresurssiset Käsittelykonseptit. 2012. Available online: http://portal.savonia.fi/pdf/julkaisutoiminta/MASU_raportti.pdf (accessed on 1 January 2018).
- WHO. Guidelines for the Safe Use of Wastewater, Excreta and Greywater. Volume 2 Wastewater use in agriculture. 2006. Available online: http://www.who.int/water_sanitation_health/wastewater/wwuvol2intro.pdf (accessed on 1 June 2018).
- Kauppinen, A.; Pitkänen, T.; Miettinen, I.T. Persistent Norovirus Contamination of Groundwater Supplies in Two Waterborne Outbreaks. Food Environ. Virol. 2017, 10, 39–50. [Google Scholar] [CrossRef] [PubMed]
- Kauppinen, A.; Miettinen, I.T. Persistence of Norovirus GII Genome in Drinking Water and Wastewater at Different Temperatures. Pathogens 2017, 6, 48. [Google Scholar] [CrossRef] [PubMed]
- Kløve, B.; Lund Kvitsand, H.M.; Pitkänen, T.; Gunnarsdottir, M.J.; Gaut, S.; Gardarsson, S.M.; Rossi, P.M.; Miettinen, I. Overview of groundwater sources and water-supply systems, and associated microbial pollution, in Finland, Norway and Iceland. Invited review. J. Hydrol. 2017, 25, 1033–1044. [Google Scholar] [CrossRef]
- Huang, J.; Huang, G.; An, C.; He, Y.; Yao, Y.; Zhang, P. Performance of ceramic filter coated with nano ZnO for removing Escherichia coli from water in small rural and remote communities of developing regions. Environ. Pollut. 2018, 238, 52–62. [Google Scholar] [CrossRef] [PubMed]
- Schifman, L.A.; Kasaraneni, V.K.; Sullivan, R.K.; Oyanedel-Craver, V.; Boving, T.B. Bacteria Removal from Stormwater Runoff Using Tree Filters: A Comparison of a Conventional and an Innovative System. Water 2016, 8, 76. [Google Scholar] [CrossRef]




| Code | Sand Filter | Surface Area of Sand Filter (m2) | Age (Years) | Persons, n (Adults + Children) | Total Daily Water Load (L) | Total Daily Water Load (L)/(Persons × 1000) |
|---|---|---|---|---|---|---|
| SF1 | Three-chamber septic tank (3 m3) + sand filter | N. k. | 14 | 2 + 4 | 660* | 0.11 |
| SF2 | Three-chamber septic tank (3 m3) + sand filter | 40 | 9 | 2 + 3 | 367 | 0.07 |
| SF3 | Three-chamber septic tank (2 m3) + sand filter | 30 | 14 | 3 + 1 | 500 | 0.13 |
| B1 | Two-chamber septic tank (3 m3) + biotite sand filter | N. k. | 9 | 2 + 1 | 267 | 0.09 |
| B2 | Two-chamber septic tank (2 m3) + biotite sand filter | 40 | 9 | 2 | 300 | 0.15 |
| B3 | Three-chamber septic tank (2 m3) + biotite sand filter | 40 | 11 | 2 + 9 | 560 | 0.05 |
| MB | Three-chamber septic tank (3 m3) + module and biotite sand filter | 8 | 5 | 2 | 367 | 0.18 |
| Filter Types | Influents | Effluents | ||||
|---|---|---|---|---|---|---|
| SF (n = 4) | B (n = 5) | MB (n = 2) | SF (n = 9–23) | B (n = 7–17) | MB (n = 3–8) | |
| Total phosphorus (mg L−1) | 13 ± 6.5 | 15 ± 3.3 | 17 ± 0.3 | 3.1 ± 2.2 | 3.7 ± 2.9 | 9.7 ± 3.0 |
| (7.4–22) | (12–21) | (16.6–17) | (0.40–10) | (0.40–12) | (6.0–15) | |
| Total nitrogen (mg L−1) | 120 ± 31 | 110 ± 38 | 97 ± 5.7 | 71 ± 44 | 27 ± 16 | 72 ± 19 |
| (90–160) | (86–180) | (93–100) | (11–170) | (8–58) | (50–100) | |
| NH4-N (mg L−1) | 110 ± 20 | 97 ± 26 | 87 ± 4.6 | 26 ± 27 | 3.2 ± 3.5 | 11 ± 24 |
| (90–130) | (76–140) | (84–90) | (4–77) | (0.10–10) | (1.2–31) | |
| NO3-N (mg L−1) | 8.0 ± 5.3 | 17 ± 8.8 | 12 ± 1.8 | 30 ± 22 | 23 ± 26 | 34 ± 42 |
| (2.5–15) | (9.5–13.5) | (11–14) | (1–130) | (3.0–100) | (15–61) | |
| Biological oxygen demand7 (mg L−1) | 330 ± 103 | 420 ± 230 | 470 ± 96 | 72 ± 202 | 9.4 ± 8.9 | 28 ± 45 |
| (230–460) | (240–820) | (400–530) | (2.4–900) | (2.6–28) | (5.6–130) | |
| Chemical oxygen demandCr (mg L−1) | 690 ± 150 | 720 ± 320 | 740 ± 130 | 53 ± 28 | 63 ± 130 | 130 ± 190 |
| (470–810) | (460–1200) | (650–830) | (19–130) | (9–550) | (26–560) | |
| pH | 7.6 ± 0.1 | 7.8 ± 0.5 | 7.6 ± 0.0 | 6.6 ± 0.7 | 7.3 ± 0.6 | 7.0 ± 0.3 |
| (7.5–7.7) | (7.3–8.4) | (7.62–7.63) | (4.7–7.8) | (6.5–8.5) | (6.5–7.4) | |
| Oxygen (mg L−1) | 1.3 ± 0.8 | 0.40 ± 0.40 | 0.80 ± 0.30 | 6.0 ± 1.3 | 7.2 ± 0.8 | 5.7 ± 1.0 |
| (0.40–2.4) | (0.20–0.90) | (0.70–1.0) | (3.3–7.9) | (6.4–8.3) | (2.4–7.5) | |
| Influents | SF | B | MB |
|---|---|---|---|
| Heterotrophic bacteria (CFU 100 mL−1) | 1.9 × 107 (1.4 × 106–4.8 × 108) | 3.6 × 108 (6.1 × 106–2.2 × 109) | 2.0 × 107 (5.4 × 105–7.3 × 108) |
| Escherichia coli (CFU 100 mL−1) | 1.4 × 106 (8.5 × 105–1.8 × 106) | 8.7 × 106 (4.5 × 105–9 × 107) | 7.3 × 107 (3.6 × 107–1.5 × 108) |
| Intestinal enterococci (CFU 100 mL−1) | 2.5 × 105 (5.9 × 104–8.7 × 105) | 1.2 × 105 (5 × 103–2.1 × 106) | 7.2 × 104 (5.4 × 104–9.6 × 104) |
| Somatic coliphages (PFU 100 mL−1) | 200 (udl–6500) | 2 (1–79) | udl |
| F-specific coliphages (PFU 100 mL−1) | udl | 1 (udl–3) | udl |
| Spores of Clostridium (CFU 100 mL−1) | 4 (0.5–40) | 22 (0.5–290) | 5 (2–11) |
| Adenoviruses (GC 1 mL−1) | udl | 4 (0.3–200) | 29 (12–68) |
| Noroviruses GI (GC 1 mL−1) | 1.4 (udl–32) | 1 (udl–15) | udl |
| Noroviruses GII (GC 1 mL−1) | 45 (udl–3.0 × 103) | 23 (udl–480) | 11 (7–20) |
© 2018 by the authors. Licensee MDPI, Basel, Switzerland. This article is an open access article distributed under the terms and conditions of the Creative Commons Attribution (CC BY) license (http://creativecommons.org/licenses/by/4.0/).
Share and Cite
Martikainen, K.; Kauppinen, A.; Matikka, V.; Veijalainen, A.-M.; Torvinen, E.; Pitkänen, T.; Miettinen, I.T.; Heinonen-Tanski, H. Efficiency of Private Household Sand Filters in Removing Nutrients and Microbes from Wastewater in Finland. Water 2018, 10, 1000. https://doi.org/10.3390/w10081000
Martikainen K, Kauppinen A, Matikka V, Veijalainen A-M, Torvinen E, Pitkänen T, Miettinen IT, Heinonen-Tanski H. Efficiency of Private Household Sand Filters in Removing Nutrients and Microbes from Wastewater in Finland. Water. 2018; 10(8):1000. https://doi.org/10.3390/w10081000
Chicago/Turabian StyleMartikainen, Kati, Ari Kauppinen, Ville Matikka, Anna-Maria Veijalainen, Eila Torvinen, Tarja Pitkänen, Ilkka T. Miettinen, and Helvi Heinonen-Tanski. 2018. "Efficiency of Private Household Sand Filters in Removing Nutrients and Microbes from Wastewater in Finland" Water 10, no. 8: 1000. https://doi.org/10.3390/w10081000
APA StyleMartikainen, K., Kauppinen, A., Matikka, V., Veijalainen, A.-M., Torvinen, E., Pitkänen, T., Miettinen, I. T., & Heinonen-Tanski, H. (2018). Efficiency of Private Household Sand Filters in Removing Nutrients and Microbes from Wastewater in Finland. Water, 10(8), 1000. https://doi.org/10.3390/w10081000

