Addressing Climate Change Impacts on Streamflow in the Jinsha River Basin Based on CMIP5 Climate Models
Abstract
1. Introduction
2. Materials and Methods
2.1. Study Area
2.2. A Brief Review of ArcSWAT Model
2.3. Data
2.3.1. Observed Hydro-Meteorological Data
2.3.2. Future Climate Scenarios
2.3.3. Digital Elevation Model, Land Use/Land Cover Map and Soil Map
2.4. Sensitivity Analysis of Runoff to Climate Change
2.5. Selection of Global Climate Model
3. Results and Discussion
3.1. Calibration and Verification
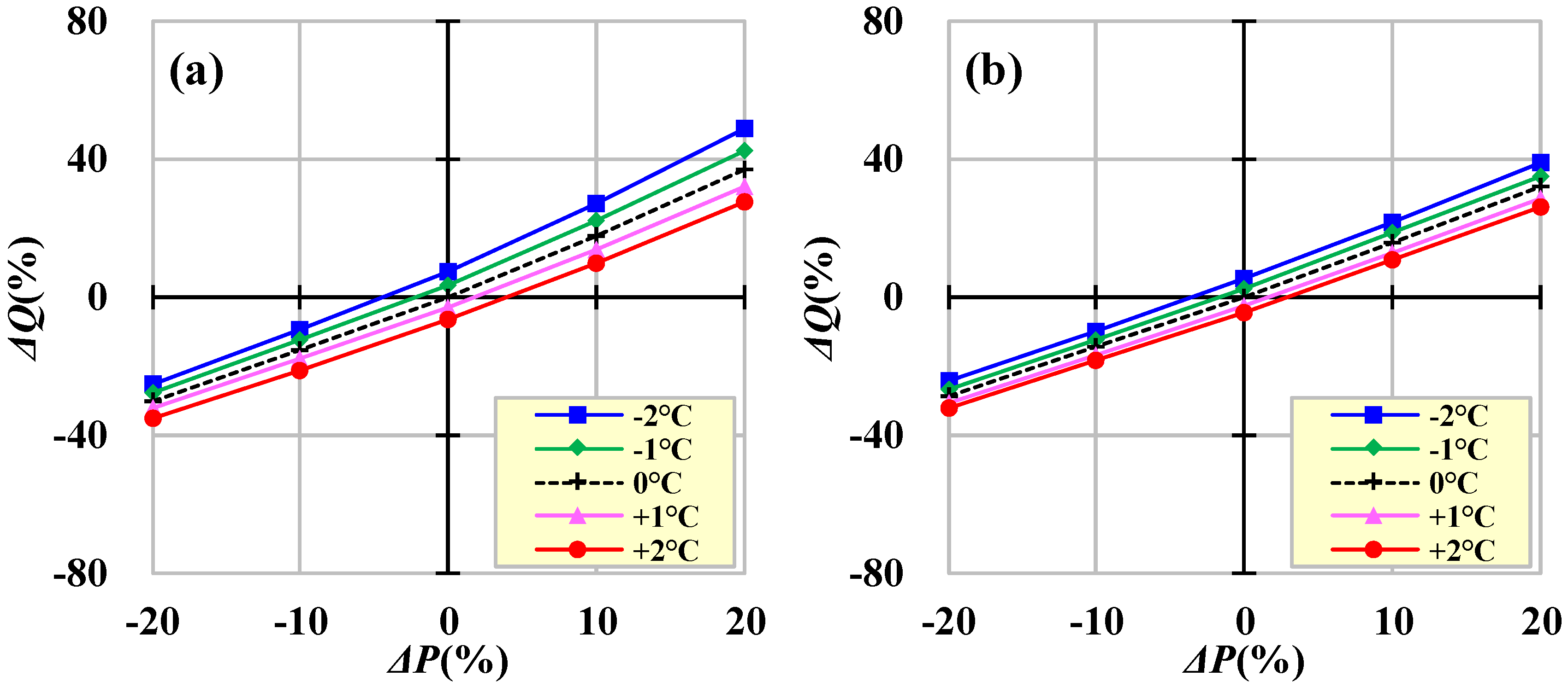
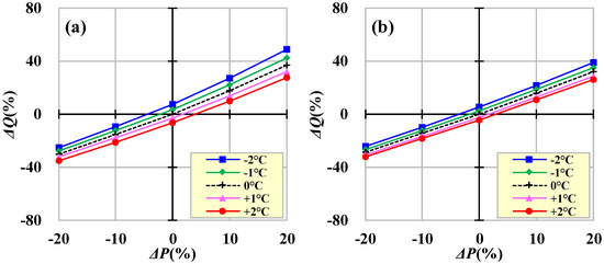
3.2. Sensitivity of Streamflow to Climate Change
3.3. Assessment of Skill Score from GCMs’ Outputs and Changes in Precipitation and Temperature for 2020 to 2050 with the Output of the SWAT Using Hypothetical Climate Scenarios, the Sensitivity of Runoff to Climate Change
3.4. Changes in Streamflow for 2020 to 2050
4. Discussion and Conclusions
Author Contributions
Funding
Conflicts of Interest
References
- IPCC. Climate Change 2013: The Physical Science Basis; Cambridge University Press: Cambridge, UK, 2013. [Google Scholar]
- Arnell, N.W. Climate change and global water resources. Glob. Environ. Chang. 1999, 9, 31–49. [Google Scholar] [CrossRef]
- Huntington, J.; Mcgwire, K.; Morton, C.; Snyder, K.; Peterson, S.; Erickson, T.; Niswonger, R.; Carroll, R.; Smith, G.; Allen, R. Assessing the role of climate and resource management on groundwater dependent ecosystem changes in arid environments with the Landsat archive. Remote Sens. Environ. 2016, 185, 186–197. [Google Scholar] [CrossRef]
- Thodsen, H. The influence of climate change on stream flow in Danish rivers. J. Hydrol. 2007, 333, 226–238. [Google Scholar] [CrossRef]
- Githui, F.; Gitau, W.; Mutua, F.; Bauwens, W. Climate change impact on SWAT simulated streamflow in western Kenya. Int. J. Climatol. 2009, 29, 1823–1834. [Google Scholar] [CrossRef]
- Chien, H.; Yeh, P.J.F.; Knouft, J.H. Modeling the potential impacts of climate change on streamflow in agricultural watersheds of the Midwestern United States. J. Hydrol. 2013, 491, 73–88. [Google Scholar] [CrossRef]
- Eisner, S.; Flörke, M.; Chamorro, A.; Daggupati, P.; Donnelly, C.; Huang, J.; Hundecha, Y.; Koch, H.; Kalugin, A.; Krylenko, I.; et al. An ensemble analysis of climate change impacts on streamflow seasonality across 11 large river basins. Clim. Chang. 2017, 141, 401–417. [Google Scholar] [CrossRef]
- Yuan, Z.; Yan, D.; Yang, Z.; Yin, J.; Zhang, C.; Yuan, Y. Projection of surface water resources in the context of climate change in typical regions of China. Hydrol. Sci. J. 2017, 62, 283–293. [Google Scholar] [CrossRef]
- Bollasina, M.; Nigam, S. Indian Ocean SST, evaporation, and precipitation during the South Asian summer monsoon in IPCC-AR4 coupled simulations. Clim. Dyn. 2009, 33, 1017–1032. [Google Scholar] [CrossRef]
- Anandhi, A.; Nanjundiah, R.S. Performance evaluation of AR4 Climate Models in simulating daily precipitation over the Indian region using skill scores. Theor. Appl. Climatol. 2015, 119, 551–566. [Google Scholar] [CrossRef]
- Yin, J.; Yan, D.; Yang, Z.; Yuan, Z.; Yuan, Y.; Zhang, C. Projection of extreme precipitation in the context of climate change in Huang-Huai-Hai region, China. J. Earth Syst. Sci. 2016, 125, 417–429. [Google Scholar] [CrossRef]
- Perkins, S.E.; Pitman, A.J.; Holbrook, N.J.; McAneney, J. Evaluation of the AR4 climate models’ simulated daily maximum temperature, minimum temperature, and precipitation over Australia using probability density functions. J. Clim. 2007, 20, 4356–4376. [Google Scholar] [CrossRef]
- Wang, H. The Future Situation of Water Resources in China and its Management Requirements. World Environ. 2011, 2, 16–17. [Google Scholar]
- Liu, H.; Lan, H.; Liu, Y.; Zhou, Y. Characteristics of spatial distribution of debris flow and the effect of their sediment yield in main downstream of Jinsha River, China. Environ. Earth Sci. 2011, 64, 1653–1666. [Google Scholar] [CrossRef]
- Chen, Y.; Wang, W.; Wang, G.; Wang, S. Characteristics analysis on temperature and precipitation variation in Jinsha River Basin. Plateau Mt. Meteorol. Res. 2010, 30, 51–56. [Google Scholar]
- Uniyal, B.; Jha, M.K.; Verma, A.K. Assessing climate change impact on water balance components of a river basin using SWAT model. Water Resour. Manag. 2015, 29, 4767–4785. [Google Scholar] [CrossRef]
- Nash, J.E.; Sutclife, J.V. River low forecasting through conceptual models—Part I: A discussion of principles. J. Hydrol. 1970, 10, 282–290. [Google Scholar] [CrossRef]
- Motovilov, Y.G.; Gottschalk, L.; Engeland, K.; Rodhe, A. Validation of a distributed hydrological model against spatial observations. Agric. For. Meteorol. 1999, 98, 257–277. [Google Scholar] [CrossRef]
- NMIC (National Meteorological Information Center). Assessment Report of China’s Ground Precipitation 0.5° × 0.5° Gridded Dataset (V2.0); National Meteorological Information Center of China: Beijing, China, 2012. [Google Scholar]
- The Inter-Sectoral Impact Model Intercomparison Project. Available online: https://isimip.org/ (accessed on 5 June 2018).
- Warszawski, L.; Frieler, K.; Huber, V.; Piontek, F.; Serdeczny, O.; Schewe, J. The Inter-Sectoral Impact Model Intercomparison Project (ISI–MIP): Project framework. Proc. Natl. Acad. Sci. USA 2014, 111, 3228–3232. [Google Scholar] [CrossRef] [PubMed]
- The CGIAR Consortium for Spatial Information. Available online: http://srtm.csi.cgiar.org/ (accessed on 5 June 2018).
- China Soil Information Service Platform. Available online: http://www.soil.csdb.cn (accessed on 5 June 2018).
- Bao, Z.; Zhang, J.; Liu, J.; Wang, G.; Yan, X.; Wang, X.; Zhang, L. Sensitivity of hydrological variables to climate change in the Haihe River basin, China. Hydrol. Process. 2012, 26, 2294–2306. [Google Scholar] [CrossRef]
- Chiew, F.H.S. Estimation of rainfall elasticity of streamflow in Australia. Hydrol. Sci. J. 2006, 51, 613–625. [Google Scholar] [CrossRef]
- Coron, L.; Andréassian, V.; Perrin, C.; Lerat, J.; Vaze, J.; Bourqui, M.; Hendrickx, F. Crash testing hydrological models in contrasted climate conditions: An experiment on 216 Australian catchments. Water Resour. Res. 2012, 48, 213–223. [Google Scholar] [CrossRef]
- Guerreiro, S.B.; Birkinshaw, S.; Kilsby, C.; Fowler, H.J.; Lewis, E. Dry getting drier—The future of transnational river basins in Iberia. J. Hydrol. Reg. Stud. 2017, 12, 238–252. [Google Scholar] [CrossRef]



















| Hydrological Station | River | Lon. (E°) | Lat. (N°) | Catchment Area (103 km2) | Area Percent (%) | Data Period |
|---|---|---|---|---|---|---|
| Zhimenda | Tongtian River | 97.24 | 33.01 | 159.8 | 32.4 | 1957–2012 |
| Shigu | Jinsha River | 99.96 | 26.87 | 234.1 | 47.4 | 1956–2010 |
| Panzhihua | Jinsha River | 101.72 | 26.58 | 280.9 | 56.9 | 1966–2000 |
| Huatan | Jinsha River | 102.88 | 26.88 | 447.7 | 90.7 | 1977–2000 |
| Centre | Country | Name |
|---|---|---|
| Geophysical Fluid Dynamics Laboratory (GFDL) | United States | GFDL-ESM2M |
| Hadley Centre for Climate Prediction and Research, Met Office | United Kingdom | HADGEM2-ES |
| L’Institut Pierre-Simon Laplace (IPSL) | France | IPSL-CM5A-LR |
| Technology, Atmosphere and Ocean Research Institute, and National Institute for Environmental Studies | Japan | MIROC-ESM-CHEM |
| Norwegian Climate Centre | Norway | NORESM1-M |
| Catchment | Period | Year | ENS | R2 |
|---|---|---|---|---|
| Zhimenda | Calibration period | 1959–1990 | 0.80 | 0.84 |
| Verification period | 1991–2012 | 0.88 | 0.91 | |
| Shigu | Calibration period | 1959–1990 | 0.82 | 0.91 |
| Verification period | 1991–2010 | 0.80 | 0.93 | |
| Panzhihua | Calibration period | 1966–1990 | 0.85 | 0.92 |
| Verification period | 1991–2000 | 0.88 | 0.93 | |
| Huatan | Calibration period | 1977–1990 | 0.90 | 0.95 |
| Verification period | 1991–2000 | 0.93 | 0.96 |
| Frequency | Scenario | Zhimenda | Shigu | Panzhihua | Huatan | |
|---|---|---|---|---|---|---|
| P = 90% | RCP2.6 | GFDL-ESM2M | −3.0 | −1.0 | 1.6 | 0.0 |
| NORESM1-M | −17.4 | −6.0 | 2.5 | 6.6 | ||
| RCP4.5 | GFDL-ESM2M | −10.8 | −7.0 | −6.0 | −8.1 | |
| NORESM1-M | −23.5 | −11.2 | −3.1 | 2.1 | ||
| RCP8.5 | GFDL-ESM2M | −10.6 | −5.4 | −2.1 | −4.3 | |
| NORESM1-M | −16.0 | −13.4 | −6.8 | −4.2 | ||
| P = 50% | RCP2.6 | GFDL-ESM2M | −5.8 | 2.4 | 3.8 | 3.2 |
| NORESM1-M | −14.1 | −3.3 | 2.2 | 4.8 | ||
| RCP4.5 | GFDL-ESM2M | −9.8 | −2.3 | −3.3 | −4.7 | |
| NORESM1-M | −23.2 | −8.6 | −0.8 | 4.0 | ||
| RCP8.5 | GFDL-ESM2M | −8.6 | −2.7 | −2.2 | −4.1 | |
| NORESM1-M | −18.2 | −10.5 | −4.3 | −2.1 | ||
| P = 10% | RCP2.6 | GFDL-ESM2M | −6.2 | 5.7 | 7.4 | 6.7 |
| NORESM1-M | −11.9 | −0.5 | 4.1 | 7.3 | ||
| RCP4.5 | GFDL-ESM2M | −6.1 | 1.2 | 0.7 | −0.8 | |
| NORESM1-M | −23.1 | −5.6 | 1.4 | 5.7 | ||
| RCP8.5 | GFDL-ESM2M | −5.7 | −0.6 | −1.4 | −4.8 | |
| NORESM1-M | −14.5 | −5.8 | −1.7 | −0.4 | ||
© 2018 by the authors. Licensee MDPI, Basel, Switzerland. This article is an open access article distributed under the terms and conditions of the Creative Commons Attribution (CC BY) license (http://creativecommons.org/licenses/by/4.0/).
Share and Cite
Yin, J.; Yuan, Z.; Yan, D.; Yang, Z.; Wang, Y. Addressing Climate Change Impacts on Streamflow in the Jinsha River Basin Based on CMIP5 Climate Models. Water 2018, 10, 910. https://doi.org/10.3390/w10070910
Yin J, Yuan Z, Yan D, Yang Z, Wang Y. Addressing Climate Change Impacts on Streamflow in the Jinsha River Basin Based on CMIP5 Climate Models. Water. 2018; 10(7):910. https://doi.org/10.3390/w10070910
Chicago/Turabian StyleYin, Jun, Zhe Yuan, Denghua Yan, Zhiyong Yang, and Yongqiang Wang. 2018. "Addressing Climate Change Impacts on Streamflow in the Jinsha River Basin Based on CMIP5 Climate Models" Water 10, no. 7: 910. https://doi.org/10.3390/w10070910
APA StyleYin, J., Yuan, Z., Yan, D., Yang, Z., & Wang, Y. (2018). Addressing Climate Change Impacts on Streamflow in the Jinsha River Basin Based on CMIP5 Climate Models. Water, 10(7), 910. https://doi.org/10.3390/w10070910
