Application of SIM, HSPIV, BTM, and BIV Techniques for Evaluations of a Two-Phase Air–Water Chute Aerator Flow
Abstract
1. Introduction
1.1. Survey of Related Chute Flow
1.2. Survey of Measurement Items and Techniques for Other Two-Phase Flows
1.3. Key Issues Unknown or Rudimentary
2. Experimental Set-Up and Procedure
2.1. Water Flume and Aerator Model
2.2. HSPIV Measurement of Velocity Field and Profiles of Water Stream
2.3. SIM for Identifying Water–Air Interface and BTM for Measuring Velocities of Individual Air Bubbles
2.4. BIV Analysis for Velocity Profiles and Field of Air Bubbles
2.5. Experimental Conditions
3. Results and Discussions
3.1. Approach Flow as Well as Free and Sliding Jet
3.2. Removal of Noise-Like Blurred Background and Foreground with Low Gray-Levels in SIM Images
- (1)
- To input the gray-level values identified at all of the ‘pixel points’ for two arbitrary neighboring images (e.g., Figure 6a,b);
- (2)
- (3)
- To calculate the differences in the gray levels of these two ‘smoothed images’ and then acquire the corresponding ‘difference image’, from which the absolute value of the gray-level difference at each pixel point is obtained (Figure 6e);
- (4)
- To extract the preliminary outline of two-phase flow image from (3) employing the active-contour technique developed by Chen and Vese [55], in which the region-based energy model with the initial seed mask for the absolute value of the gray-level difference being greater 10 is specified. Accordingly, the preliminary segmentation for the ‘binary image’, which holds the value of either the unity or zero at each pixel point, is realized (see Figure 6f). Note that the unity (with white color)/zero (with black color) in the binary image, in fact, stands for the water–air interface and air-bubble contour/the water stream of jet and the atmosphere.
- (5)
- To apply various morphological processing skills to deal with the binary image obtained (Gonzalez et al. [40]), including the filling, dilation, erosion, closing and opening operations:
- ①
- The closing operation is performed using a disk-shaped mask with a radius of 8 pixels (Figure 6g);
- ②
- The filling operation is then executed to fill the holes in the image by using a square structural element with its center being linked to the neighboring 4 connected pixels (see Figure 6h);
- ③
- A threshold of area less than 100 pixels2 is utilized to remove the small pixel area for all the isolated objects (Figure 6i);
- ④
- The dilation operation is then carried out using a disk-shaped mask with a radius of 5 pixels (see Figure 6j);
- ⑤
- The erosion operation is done using a disk-shaped mask with a radius of 3 pixels, aiming to remove redundant pixel from the contours of air bubbles for smoothening the boundaries (Figure 6k);
- (6)
- To obtain the image with clear gray-level contours of both water–air interfaces and air bubbles, in which the noise-like blurred background eventually gets filtered out (see Figure 6l);
- (7)
- To repeat all of the steps from (1) through (6) to acquire the time series of the processed images, in which only clear gray-level contours of the water–air interfaces and air bubbles are highlighted.
- (1)
- To set the center of the focal plane 9.0 cm away from the inner surface of the front glass wall;
- (2)
- To record the relatively clear SIM images accompanied by the noise-like blurred-background images in the FOVS2;
- (3)
- To display the time series of the relatively clear images with the blurred background, e.g., as the magnified view shown in Figure 7a;
- (4)
- (5)
- To adjust the center of the focal plane on the inner surface of the front glass wall;
- (6)
- To capture the ‘blurred-foreground’ SIM images for air bubbles moving downstream between the focal plane and the inner surface of the front glass wall in the FOVS2;
- (7)
- To demonstrate the time series of the blurred-foreground images (e.g., one of the images is seen in Figure 7c);
- (8)
- To superpose the time series of the clear air-bubble images and the blurred-foreground images from the above steps (4) and (7), e.g., one of the superposed images is presented in Figure 7d;
- (9)
- To utilize again the image processing procedure (as employed in Figure 6a–l) to the superposed images;
- (10)
- To obtain the time series of the post-processing images (one of the examples is shown in Figure 7e).
3.3. Shedding Process of Air-Bubbles from Wedged Tip of Air Cavity
3.4. Characteristics of Instantaneous and Ensemble-Averaged Gray Level Distributions of SIM Images
- (1)
- Full air phase with at least 100% appearance of air from the atmosphere or zero appearance of the first water–air interface;
- (2)
- Intermittent switching between the air phase and the first water–air interface with 50% appearance of the former accompanied by 50% appearance of the latter;
- (3)
- Almost 100% appearance of the first water–air interface;
- (4)
- Intermittent switching between the first water–air interface and the water phase with 50% appearance of the former accompanied by 50% appearance of the latter;
- (5)
- Almost 100% occurrence of the water phase from the jet.
3.5. BTM for Calculating Velocity Components of Individual Air Bubbles
- (1)
- Calculate the conversion factor (in terms of cm/pixel) from the identified field of view (FOVS2) used during the SIM measurements at 7.30 cm wide × 5.70 cm high under a pixel resolution of 1024 × 800 pixels. Based on this setting, the conversion factor which in fact stands for the length-to-pixel ratio, Ls, is equal to 0.00713 cm/pixel in this study. To show the images for easy illustration and clear identification of respective air bubble in the following steps, a magnified field of view of the recorded images having 2.28 cm wide × 1.71 cm high (corresponding to 320 × 240 pixels) is used.
- (2)
- Define the abscissa and ordinate coordinates, x and y (in terms of pixel values), parallel with and normal to the chute surface with the ‘virtual origin’ (0, 0) in the (x, y) coordinates (in terms of pixel value), being located at the lower left corner in the magnified images (see Figure 13a–c). The abscissa x is parallel to the X-axis and the ordinate y is identical to the Y. Note that the virtual origin in the (x, y) coordinates corresponds to the position of (X0, Y0) = (15.75, 0) cm in the (X, Y) coordinates. Under such a situation, the coordinates for any point of interest in the images can then be identified as (x, y) and expressed asX = X0 + x × LsY = Y0 + y × Ls
- (3)
- Select a series of images (taken at a 3000 Hz sampling rate) to be targeted with coded numbers. The serial numbers marked in the images represent the temporal order of images. Then, set three specified vertical lines, which are positioned downstream of the wedged tip of the air cavity, with two equal spacings in between. For example, as seen in Figure 13a–c, the three vertical lines are located at x = 859, 880, and 900 pixel, respectively, with a spacing of about 20 pixel (equivalent to 0.143 cm) between two neighboring lines.
- (5)
- Due to the rapid motion of the monitored air bubble, the three coordinates of the centroid of the traced air bubble are sometimes not exactly located on these three original vertical lines and thus biased no more than one pixel upstream or downstream of these three lines. For obtaining the most qualified samples of the traced air bubbles, the positions of the lines are shifted simultaneously one pixel upstream or downstream. Note that simultaneous shifting with one pixel only induces a very small measuring error (corresponding to a tiny displacement of 0.00713 cm and less than 0.7%, to be stated later) in determining the coordinates of the air bubble centroid (see Figure 13a–c).
- (6)
- Determine the streamwise and transverse velocities, Ub and Vb, of the traced air bubble during the identified time interval Δt asUb = [(xc3 − xc1)/Δt] × LsNote that the calculated velocity just defines the ‘averaged’ one for the targeted air bubble moving from (xc1, yc1) to (xc3, yc3) within the time elapse Δt and with its centroid at (xc2, yc2) on the original or shifted second-line.Vb = [(yc3 − yc1)/Δt] × Ls
- (7)
- Repeat the procedure from step (3) to step (6) for distinct air bubbles passing through the three vertical lines at different heights, and then determine the velocity components of air bubbles.
- (8)
- Change the images with different serial coded numbers and then repeat the procedure from step (3) through step (7) for calculating the velocity components of air bubbles.
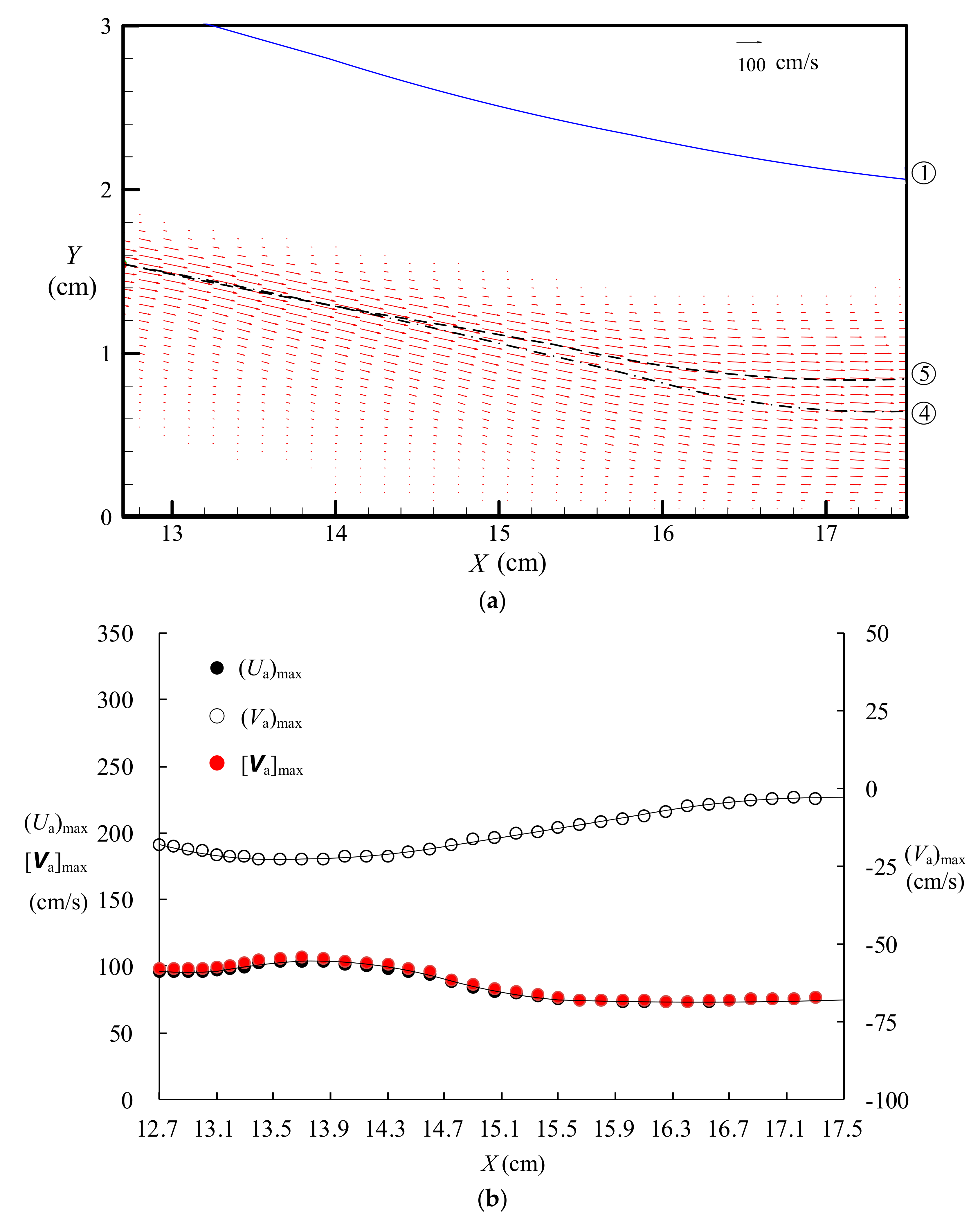
3.6. Instantaneous and Mean Velocity Fields Measured by BIV Analysis
3.7. Construction of Two-Phase Velocity Field
4. Conclusions
- The non-fully developed approach flow condition for the present aerated chute flow and the fully developed counterpart for the free overfall over a vertical drop (Rajaratnam and Chamani [51]) both witness the fairy uniform velocity distribution of the free jet, strongly highlighting its independence of these two distinct approach flow conditions.
- Successful removal of the noise-like blurred background and foreground located outside of the DOF in the SIM images not only warrants clear identification of three water–air interfaces and movements of discrete air bubbles in the instantaneous images, but also provides convincing measurement results of the instantaneous and mean air-bubble velocity profiles/fields using the BTM and BIV analysis.
- Air bubbles are produced and then shed mainly by one of the following three ways: (1) From a whole wedged tip of air cavity without branching; (2) from different finger-like branches at the wedged tip of air cavity; (3) from the formation of relatively convergent wedge-shaped tip from which the air bubbles are generated directly. For the present target experiment, the averaged time duration for the shedding process of air bubbles is estimated to be 0.0102 s, together with a maximum of 0.0323 s and a minimum of 0.001 s.
- For 12.7 cm ≤ X < 18.5 cm, almost all of the air bubbles are transported rapidly downstream by the sliding jet with prominent downward motion. However, for X > 18.5 cm, the air bubbles still move fast downstream but with evident lifting motion, which is induced by the buoyant force.
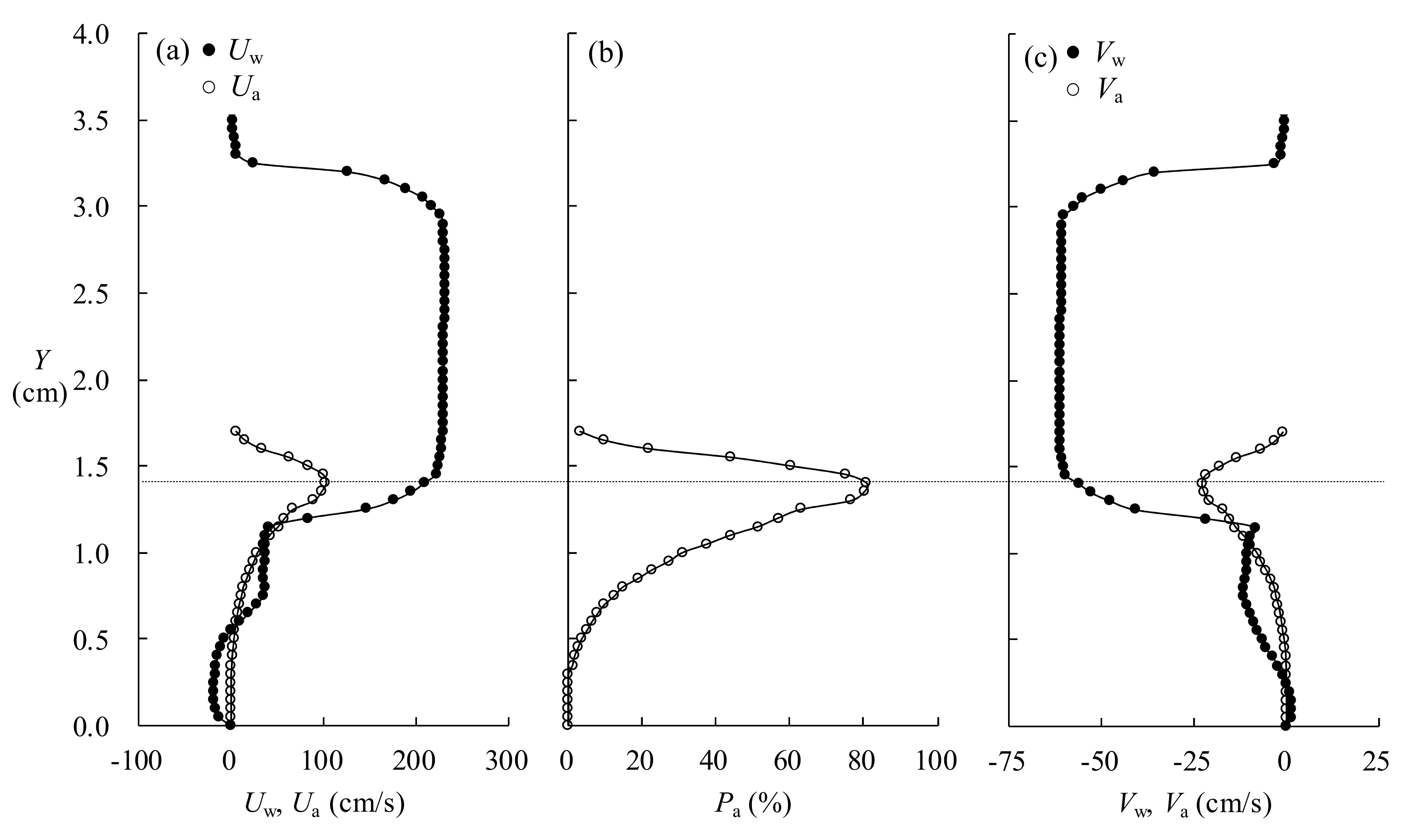
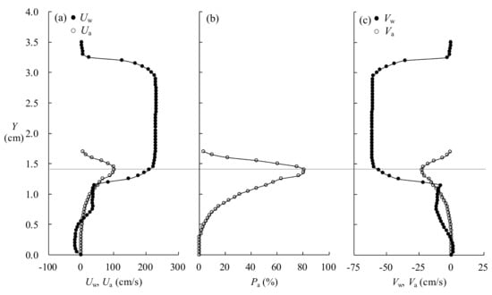
- Near the highly fluctuating free surface of the (free or sliding) jet, a uniform distribution having the maximum gray level of Gmax1 = 255/Gmax2 = 255 appears over/beneath the upper/lower gray-level gradient zone, together with each instance of the first water–air interface having a mean gray level of Gmin1. The upper gray-level gradient zone thus reflects the response of intermittent appearance of air phase from the atmosphere or the first water–air interface. Meanwhile, the lower counterpart represents the response of fitful appearance of the first water–air interface or water phase from the jet. Due to intermittent occurrence of these two phases with random phase-switching over/below the first water–air interface, the resulted gray levels take the values of [m × Gmax1 + (N − m) × Gmin1]/N and [n × Gmax2 + (N − n) × Gmin1]/N (with N = 9000) for the upper and lower gray-level gradient zones, respectively.
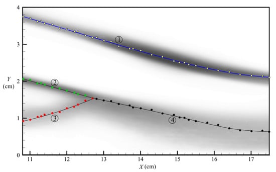
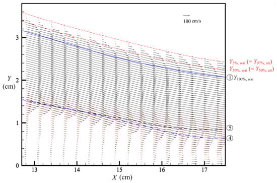
- The characteristic position for the first minimum value Gmin1, Y = Y100%, wai, represents statistically the mean one where the first water–air interface occurs with a probability of 100%. The counterpart for the second minimum value Gmin2 justifies the mean one at which the second water–air interface between the lower free surface of free jet and the upper boundary of air cavity appears with a probability of 100%. Furthermore, the representative position for the third minimum value Gmin3 identifies the mean one, where the third water–air interface exists between the lower boundary of air cavity or the (upper) surface of the recirculation flow, happens with a probability of 100%. Convergence of the averaged geometric shape of air cavity into a wedged tip takes place at Xmwt = 12.7 cm, where the second water–air interface merges with the third one. Finally, a virtual boundary, which consists of the positions having the relatively minimum gray-levels Gmin4, stands for the ones where air bubbles pass by most frequently. Streamwise descending of this virtual boundary clearly exhibits the trend of downward motion of air bubbles while they are transported downstream up to X = 18.5 cm. However, prominent lifting motion of air bubbles is witnessed for X > 18.5 cm.
- A characteristic position Y50%, wai (= Y50%, air), which is located within the highly fluctuating free surface zone between Y100%, wai and Y0%, wai (= Y100%, air), characterizes the intermittent switching of the first water–air interface with 50% appearance, which is accompanied by 50% appearance of air phase from the atmosphere. All of these characteristic positions Y50%, wai (= Y50%, air) are almost identical to the specified heights where the inflection point and half-width of both the ensemble-averaged gray-level distribution and the mean streamwise velocity profiles are located. Namely, Y50%, wai = Yin, gl = Yhw, gl = Yin, vp = Yhw, vp.
- Using the BIV analysis for the SIM images, a very detailed velocity field with many vectors has been displayed for an individual air-bubble contour, over which the BTM is also performed. The nature of variation and velocity magnitudes acquired by the former method at X = 17.0 cm are in good agreement with those obtained by the latter, pointing out the validity of velocity determination in the BIV analysis.
- A relatively large size of recirculation flow beneath the virtual boundary is observed evidently for the water phase, with the MIP located at Xmip = 15.05 cm. Such a flow bifurcation can be characterized by the slowly reversed stream moving upstream from the MIP section, the zero velocity right appearing at the MIP section, and the relatively rapid stream moving downstream from the MIP section. On the other hand, no (mean) flow bifurcation occurs for the air-bubble phase.
- For 12.7 cm ≤ X ≤ 17.5 cm, the maximum value of mean streamwise velocities of air bubbles are all smaller than those of the uniform streamwise velocity of water stream. The ratio of the maximum mean streamwise velocity of air bubbles to the uniform streamwise velocity of water stream, (Ua)max/Uwu, ranges between 0.32 and 0.44 with an average of 0.38, which is less than the counterpart of the steady hydraulic jumps having an averaged ratio of 0.67 (Lin et al. [35]).
- At the sections located a little downstream of Xmwt = 12.7 cm, the maxima of the mean streamwise and transverse velocities of air bubbles both appear not only at the characteristic height for the maximum probability of air-bubble phase; but also at the juncture between the uniform-velocity zone and the velocity-gradient zone in the mean velocity profiles of water stream. This evidence highlights the shearing effect on the entrainment of air bubbles. Nevertheless, for X ≥ Xmip = 15.05 cm, these two characteristic heights are both situated completely inside the velocity-gradient zone of the mean velocity profiles of water stream. This feature reveals obvious thickening of the velocity-gradient zone in the velocity profile of air bubbles near the MIP section, exhibiting further downward motion of air bubbles.
Author Contributions
Funding
Acknowledgments
Conflicts of Interest
References
- Pfister, M.; Hager, W.H. Chute aerators (I): Air transport characteristics. J. Hydraul. Eng. 2010, 136, 352–359. [Google Scholar] [CrossRef]
- Pfister, M.; Hager, W.H. Chute aerators (II): Hydraulic design. J. Hydraul. Eng. 2010, 136, 360–367. [Google Scholar] [CrossRef]
- Pan, S.; Shao, Y.; Shi, Q.; Dong, X. The self-aeration capacity of the water jet over the aeration ramp. J. Hydraul. Eng. 1980, 5, 13–22, (In Chinese with English Abstract). [Google Scholar]
- Pinto, N.L.; Neidert, S.H.; Ota, J.J. Aeration at high velocity flows. Water Power Dam Constr. 1982, 34, 42–44. [Google Scholar]
- Pinto, N.L.; Neidert, S.H. Evaluating entrained air flow through aerators. Water Power Dam Constr. 1983, 35, 40–42. [Google Scholar]
- Wood, I.R. Air entrainment in high speed flows. In Proceedings of the Symposium on Scale Effects in Modelling Hydraulic Structures, Esslingen am Neckar, Germany, 3–6 September 1984; Kobus, H., Ed.; Technische Akademie Esslingen: Esslingen am Neckar, Germany, 1984. [Google Scholar]
- Volkart, P.; Rutschmann, P. Rapid flow in spillway chutes with and without deflectors—A model-prototype comparison. In Proceedings of the Symposium on Scale Effects in Modelling Hydraulic Structures, Esslingen am Neckar, Germany, 3–6 September 1984; Kobus, H., Ed.; Technische Akademie Esslingen: Esslingen am Neckar, Germany, 1984. [Google Scholar]
- Marcano, A.; Castillejo, H. Model-prototype comparison of aeration devices of Guri Spillway. In Proceedings of the Symposium on Scale Effects in Modelling Hydraulic Structures, Esslingen am Neckar, Germany, 3–6 September 1984; Kobus, H., Ed.; Technische Akademie Esslingen: Esslingen am Neckar, Germany, 1984. [Google Scholar]
- Pan, S.; Shao, Y. Scale effects in modeling air demand by a ramp slot. In Proceedings of the Symposium on Scale Effects in Modelling Hydraulic Structures, Esslingen am Neckar, Germany, 3–6 September 1984; Kobus, H., Ed.; Technische Akademie Esslingen: Esslingen am Neckar, Germany, 1984. [Google Scholar]
- Falvey, H.T.; Ervine, D.A. Aeration in jets and high speed flows. In Proceedings of the International Symposium on Model-Prototype Correlation of Hydraulic Structures, Colorado Springs, CO, USA, 9–11 August 1988; Burgi, P.H., Ed.; American Society of Civil Engineers (ASCE): New York, NY, USA, 1988. [Google Scholar]
- Rutschmann, P. Calculation and optimum shape of spillway chute aerators. In Proceedings of the International Symposium on Model-Prototype Correlation of Hydraulic Structures, Colorado Springs, CO, USA, 9–11 August 1988; Burgi, P.H., Ed.; American Society of Civil Engineers (ASCE): New York, NY, USA, 1988. [Google Scholar]
- Wood, I.R. Aerators—The interaction of nappe and duct air entrainment. In Proceedings of the International Symposium on Hydraulics for High Dams; IAHR: Beijing, China, 1998; pp. 611–618. [Google Scholar]
- Rutschmann, P.; Hager, W.H. Air entrainment by spillway aerators. J. Hydraul. Eng. 1990, 116, 765–782. [Google Scholar] [CrossRef]
- Gaskin, S.; Aubel, T.; Holder, G. Air demand for a ramp-offset aerator as a function of spillway slope, ramp angle and Froude number. In Proceedings of the 30th IAHR Congress, Thessaloniki, Greece, 24–29 August 2003; Ganoulis, J.J., Prinos, P., Eds.; International Association of Hydraulic Engineering and Research (IAHR): Delft, The Netherlands, 2003. [Google Scholar]
- Kramer, K.; Hager, W.H.; Minor, H.E. New model investigations on two-phase chute flow. In Hydraulics of Dams and River Structures; CRC Press: London, UK, 2004; pp. 33–41. [Google Scholar]
- Kramer, K.; Hager, W.H. Air transport in chute flows. Int. J. Multiph. Flow 2005, 31, 1181–1197. [Google Scholar] [CrossRef]
- Kramer, K.; Hager, W.H.; Minor, H.E. Development of air concentration on chute spillways. J. Hydraul. Eng. 2006, 132, 908–915. [Google Scholar] [CrossRef]
- Jalili Ghazizadeh, M.R.; Esfandiari, S.; Ahmadi, A.; Zarrati, A.R. Hybrid model approach and combination of physical approaches with numerical simulation. In Proceedings of the IAHR Congress, Nanjing, China, 13–15 September 2010; Nanjing Hydraulic Research Institute: Nanjing, China, 2010. [Google Scholar]
- Pfister, M. Chute aerator: Steep deflectors and cavity sub-pressure. J. Hydraul. Eng. 2011, 137, 1208–1215. [Google Scholar] [CrossRef]
- Resch, F.J.; Leutheusser, H.J.; Alemu, S. Bubbly two-phase flow in hydraulic jump. J. Hydraul. Div. 1974, 100, 137–149. [Google Scholar]
- Mossa, M.; Tolve, U. Flow visualization in bubbly two-phase hydraulic jump. J. Fluid Eng. 1998, 120, 160–165. [Google Scholar] [CrossRef]
- Chanson, H.; Brattberg, T. Experimental study of the air-water shear flow in a hydraulic jump. Int. J. Multiph. Flow 2000, 26, 583–607. [Google Scholar] [CrossRef]
- Murzyn, F.; Mouaze, D.; Chaplin, J.R. Optical fiber probe measurements of bubbly flow in hydraulic jump. Int. J. Multiph. Flow 2005, 31, 141–154. [Google Scholar] [CrossRef]
- Hornung, H.G.; Willert, C.; Turner, S. The flow field downstream of a hydraulic jump. J. Fluid Mech. 1995, 287, 299–316. [Google Scholar] [CrossRef]
- Lennon, J.M.; Hill, F.D. Particle image velocity measurements of undular and hydraulic jumps. J. Hydraul. Eng. 2006, 132, 1283–1294. [Google Scholar] [CrossRef]
- Misra, S.K.; Kirby, J.T.; Brocchini, M.; Veron, F.; Thomas, M.; Kambhamettu, C. The mean and turbulent flow structure of a weak hydraulic jump. Phys. Fluids 2008, 20. [Google Scholar] [CrossRef]
- Bercovitz, Y.; Lebert, F.; Jodeau, M.; Buvat, C.; Violeau, D.; Pelaprat, L.; Hajczak, A. LS-PIV procedure applied to a plunging water jet issuing from an overflow nappe. In Proceedings of the 4th IAHR Europe Congress of Sustainable Hydraulics in the Era of Global Change, Liege, Belgium, 27–29 July 2016; Erpicum, S., Dewals, B., Archambeau, P., Pirotton, M., Eds.; Taylor & Francis Group: London, UK, 2016. ISBN 978-1-138-02977-4. [Google Scholar]
- Chang, K.A.; Lim, H.J.; Su, C.B. Fiber optic reflectometer for velocity and void fraction measurements in multiphase flows. Rev. Sci. Instrum. 2003, 74, 3559–3565. [Google Scholar] [CrossRef]
- Ryu, Y.; Chang, K.A.; Lim, H.J. Use of bubble image velocimetry for measurement of plunging wave impinging on structure and associated greenwater. Meas. Sci. Technol. 2005, 16, 1945–1953. [Google Scholar] [CrossRef]
- Ryu, Y.; Chang, K.A.; Mercier, R. Runup and green water velocities due to breaking wave impinging and overtopping. Exp. Fluids 2007, 43, 555–567. [Google Scholar] [CrossRef]
- Kashima, H.; Mori, N.; Kakuno, S. Air-bubble measurements of the surf zone breaking waves by bubble tracking velocimetry. In Proceedings of International Conference on Coastal Engineering; ASCE: San Diego, CA, USA, 2006; pp. 934–945. [Google Scholar]
- Mori, N.; Suzuki, T.; Kakuno, S. Experimental study of air bubbles and turbulence characteristics in the surf zone. J. Geophys. Res. 2007, 112. [Google Scholar] [CrossRef]
- Mori, N.; Kakuno, S. Aeration and bubble measurements of coastal breaking waves. Fluid Dyn. Res. 2008, 40, 616–626. [Google Scholar] [CrossRef]
- Lin, C.; Hsieh, S.C.; Kuo, M.J.; Chang, K.A. Periodic oscillation caused by a uniform flow over a vertical drop energy dissipater. J. Hydraul. Eng. 2008, 134, 948–960. [Google Scholar] [CrossRef]
- Lin, C.; Hsieh, S.C.; Lin, Y.R.; Chang, K.A.; Raikar, R.V. Flow property and self-similarity in steady hydraulic jumps. Exp. Fluids 2012, 53, 1591–1616. [Google Scholar] [CrossRef]
- Karn, A.; Ellis, C.; Arndt, R.; Hong, J. An integrative image measurement technique for dense bubbly flow with a wide size distribution. Chem. Eng. Sci. 2015, 122, 240–249. [Google Scholar] [CrossRef]
- Besagni, G.; Inzoli, F. Bubble size distributions and shapes in annular gap bubble column. Exp. Therm. Fluid Sci. 2016, 74, 27–48. [Google Scholar] [CrossRef]
- Lin, C.; Kao, M.J.; Yang, J.; Teng, P.H.; Raikar, R.V. Study on probabilistic mean features of lower and upper free-surface profiles and velocity fields of a highly fluctuating free jet over a chute. J. Mar. Sci. Technol. 2018, 26, 309–326. [Google Scholar]
- Gonzalez, R.C.; Woods, R.E. Digital Image Processing, 3rd ed.; Prentice Hall: Upper Saddle River, NJ, USA, 2008; pp. 104–143. ISBN 978-0131687288. [Google Scholar]
- Gonzalez, R.C.; Woods, R.E.; Eddins, S.L. Digital Image Processing Using Matlab, 2nd ed.; Gatesmark Publishing: Knoxville, TN, USA, 2009; ISBN 978-0-9820854-0-0. [Google Scholar]
- Li, Y.D. Investigation on the Two-Phase Flow Field of a Chute Flow with Bottom Aerator. Master’s Thesis, National Chung Hsing University, Taichung, Taiwan, 2014. [Google Scholar]
- Mori, N.; Chang, K.A. Introduction to MPIV—PIV Toolbox in Matlab. User Reference Manual. 2009, pp. 1–15. Available online: http://www.oceanwave.jp/softwares/mpiv/index.php?Download (accessed on 1 November 2018).
- Adrian, R.J. Particle imaging techniques for experimental fluid mechanics. Annu. Rev. Fluid Mech. 1991, 23, 261–304. [Google Scholar] [CrossRef]
- Keane, R.D.; Adrian, R.J. Theory of cross-correlation analysis of PIV images. Appl. Sci. Res. 1992, 49, 191–215. [Google Scholar] [CrossRef]
- Lin, C.; Huang, W.Y.; Hsieh, S.C.; Chang, K.A. Experimental study on mean velocity characteristics of flow over vertical drop. J. Hydraul. Res. 2007, 45, 33–42. [Google Scholar] [CrossRef]
- Lin, C.; Hsieh, W.Y.; Hsieh, S.C.; Chang, K.A. Reply to the Discussion of: Experimental study on mean velocity characteristics of flow over vertical drop. J. Hydraul. Res. 2008, 46, 424–428. [Google Scholar]
- Lin, C.; Lin, W.J.; Hsieh, S.C.; Chou, S.H.; Raikar, R.V. Velocity and turbulence characteristics of skimming flow over a vertical drop without end sill. J. Mech. 2012, 28, 607–626. [Google Scholar] [CrossRef]
- Shi, Q.S. High-Velocity Aerated Flow; China Water and Power Press: Beijing, China, 2007; pp. 273–296. ISBN 978-7-5084-5055-1. [Google Scholar]
- Bendat, J.S.; Piersol, A.G. Radom Data Analysis and Measurement Procedures, 2nd ed.; John Wiley & Sons: Singapore, 1991; pp. 109–120. ISBN 9971-51-071-5. [Google Scholar]
- Tennekes, H.; Lumley, J.L. A First Course in Turbulence, 1st ed.; MIT Press: Cambridge, UK, 1987; pp. 210–212. ISBN 9780262200196. [Google Scholar]
- Rajaratnam, N.; Chamani, M.R. Energy loss at drops. J. Hydraul. Res. 1995, 33, 373–384. [Google Scholar] [CrossRef]
- Zhou, Y.L.; Li, H.C.; Sun, B. Multiphase Flow Parameters Measurement Based on Digital Image Processing Technology; Science Publication, Inc.: Beijing, China, 2012; pp. 15–38. ISBN 978-7-03-033650-7. [Google Scholar]
- Sonka, M.; Hlavac, H.; Boyle, R. Image Processing, Analysis, and Machine Vision, 3rd ed.; Cengage Learning Publishing: Mason, OH, USA, 2007; pp. 507–542. ISBN 9780495244387. [Google Scholar]
- Catt, F.; Lions, P.L.; Morel, J.M. Image selective smoothing and edge detection by nonlinear diffusion. SIAM J. Numer. Anal. 1992, 29, 182–193. [Google Scholar] [CrossRef]
- Chen, T.F.; Vese, L.A. Active contours without edges. IEEE Trans. Image Process. 2001, 10, 266–277. [Google Scholar] [CrossRef] [PubMed]
- Lindken, R.; Merzkirch, W. A novel PIV technique for measurements in multiphase flows and its application to two-phase bubbly flows. Exp. Fluids 2002, 33, 814–825. [Google Scholar] [CrossRef]
- Shi, L.L.; Cai, J.H.; Zhou, Z.K. Gas-Liquid two phase flow pattern identification based on image processing. J. Zhejiang Univ. 2005, 39, 1128–1131. [Google Scholar]
- Adrain, R.J.; Westerweel, J. Particle Image Velocimetry; Cambridge University Press: New York, NY, USA, 2011; pp. 241–267. ISBN 978-0-521-44008-0. [Google Scholar]
- Lee, S.J.; Kawakami, K.; Arndt, R.E.A. Application of a shadow image velocimetry to a ventilated hydrofoil wake. J. Vis. 2014, 17, 327–335. [Google Scholar] [CrossRef]






























© 2018 by the authors. Licensee MDPI, Basel, Switzerland. This article is an open access article distributed under the terms and conditions of the Creative Commons Attribution (CC BY) license (http://creativecommons.org/licenses/by/4.0/).
Share and Cite
Yang, J.; Lin, C.; Kao, M.-J.; Teng, P.; Raikar, R.V. Application of SIM, HSPIV, BTM, and BIV Techniques for Evaluations of a Two-Phase Air–Water Chute Aerator Flow. Water 2018, 10, 1590. https://doi.org/10.3390/w10111590
Yang J, Lin C, Kao M-J, Teng P, Raikar RV. Application of SIM, HSPIV, BTM, and BIV Techniques for Evaluations of a Two-Phase Air–Water Chute Aerator Flow. Water. 2018; 10(11):1590. https://doi.org/10.3390/w10111590
Chicago/Turabian StyleYang, James, Chang Lin, Ming-Jer Kao, Penghua Teng, and Rajkumar V. Raikar. 2018. "Application of SIM, HSPIV, BTM, and BIV Techniques for Evaluations of a Two-Phase Air–Water Chute Aerator Flow" Water 10, no. 11: 1590. https://doi.org/10.3390/w10111590
APA StyleYang, J., Lin, C., Kao, M.-J., Teng, P., & Raikar, R. V. (2018). Application of SIM, HSPIV, BTM, and BIV Techniques for Evaluations of a Two-Phase Air–Water Chute Aerator Flow. Water, 10(11), 1590. https://doi.org/10.3390/w10111590

