Spatiotemporal Variations in Satellite-Based Formaldehyde (HCHO) in the Beijing-Tianjin-Hebei Region in China from 2005 to 2015
Abstract
1. Introduction
2. Data and Research Region
2.1. Aura OMI HCHO Data and Ancillary Data
2.2. Research Region and City Samples
3. Results and Discussion
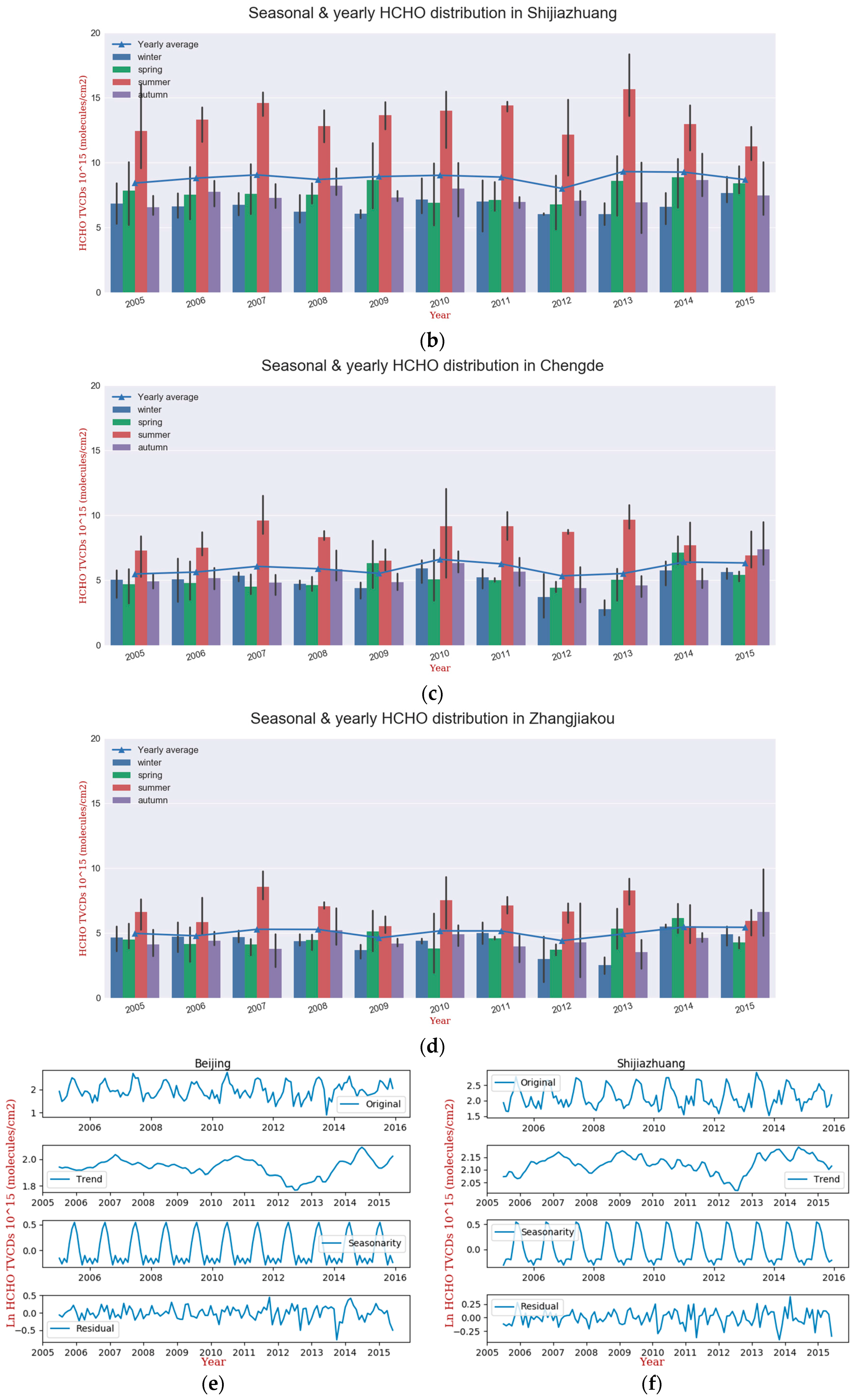
3.1. Spatiotemporal Distribution Features of HCHO throughout Beijing-Tianjin-Hebei
3.2. Analyses of Potential Factors for the HCHO Summertime Concentrations
4. Conclusions
Acknowledgments
Author Contributions
Conflicts of Interest
References
- Wang, Y.; Zhang, Y.; Hao, J.; Luo, M. Seasonal and spatial variability of surface ozone over China: Contributions from background and domestic pollution. Atmos. Chem. Phys. Discuss. 2010, 10, 3511–3525. [Google Scholar] [CrossRef]
- Duncan, B.N.; Yoshida, Y.; Olson, J.R.; Sillman, S.; Martin, R.V.; Lamsal, L.; Hu, Y.; Pickering, K.E.; Retscher, C.; Allen, D.J.; et al. Application of OMI observations to a space-based indicator of NOx, and VOC controls on surface ozone formation. Atmos. Environ. 2010, 44, 2213–2223. [Google Scholar] [CrossRef]
- Sillman, S. The use of NOy, H2O2, and HNO3 as indicators for ozone-NOx-hydrocarbon sensitivity in urban locations. J. Geophys. Res. 1995, 100, 14175–14188. [Google Scholar] [CrossRef]
- Fu, T.M.; Jacob, D.J.; Palmer, P.I.; Chance, K.; Wang, Y.X.; Barletta, B.; Blake, D.R.; Stanton, J.C.; Pilling, M.J. Space-based formaldehyde measurements as constraints on volatile organic compound emissions in east and south Asia and implications for ozone. J. Geophys. Res. Atmos. 2007, 112, 382–388. [Google Scholar] [CrossRef]
- Choi, Y.; Kim, H.; Tong, D.; Lee, P. Summertime weekly cycles of observed and modeled NOx and O3 concentrations as a function of satellite-derived ozone production sensitivity and land use types over the Continental United States. Atmos. Chem. Phys. Discuss. 2012, 12, 6291–6307. [Google Scholar] [CrossRef]
- Jin, X.; Holloway, T. Spatial and temporal variability of ozone sensitivity over China observed from the Ozone Monitoring Instrument. J. Geophys. Res. Atmos. 2015, 120, 7229–7246. [Google Scholar] [CrossRef]
- González Abad, G.; Liu, X.; Chance, K.; Wang, H.; Kurosu, T.P.; Suleiman, R. Updated Smithsonian Astrophysical Observatory Ozone Monitoring Instrument (SAO OMI) formaldehyde retrieval. Atmos. Meas. Tech. 2015, 8, 19–32. [Google Scholar] [CrossRef]
- Guenther, A.B.; Jiang, X.; Heald, C.L.; Sakulyanontvittaya, T.; Duhl, T.; Emmons, L.K.; Wang, X. The Model of Emissions of Gases and Aerosols from Nature version 2.1 (MEGAN2.1): An extended and updated framework for modeling biogenic emissions. Geosci. Model Dev. Discuss. 2012, 5, 1–58. [Google Scholar] [CrossRef]
- Gao, W.; Tang, G.; Xin, J.; Wang, L.; Wang, Y. Spatial-Temporal Variations of Ozone during Severe Photochemical Pollution over the Beijing-Tianjin-Hebei Region. Res. Environ. Sci. 2016, 29, 654–663. [Google Scholar]
- Hao, J.; He, D.; Wu, Y.; Fu, L.; He, K. A study of the emission and concentration distribution of vehicular pollutants in the urban area of Beijing. Atmos. Environ. 2000, 34, 453–465. [Google Scholar] [CrossRef]
- Kaiser, J.; Wolfe, G.M.; Bohn, B.; Broch, S.; Fuchs, H.; Ganzeveld, L.N.; Gomm, S.; Häseler, R.; Hofzumahaus, A.; Holland, F.; et al. Evidence for an unidentified non-photochemical ground-level source of formaldehyde in the Po Valley with potential implications for ozone production. Atmos. Chem. Phys. 2014, 15, 1289–1298. [Google Scholar] [CrossRef]
- Luecken, D.J.; Hutzell, W.T.; Strum, M.L.; Pouliot, G.A. Regional sources of atmospheric formaldehyde and acetaldehyde, and implications for atmospheric modeling. Atmos. Environ. 2012, 47, 477–490. [Google Scholar] [CrossRef]
- Zhu, L.; Jacob, D.J.; Kim, P.S.; Fisher, J.A.; Yu, K.; Travis, K.R.; Mickley, L.J.; Yantosca, R.M.; Sulprizio, M.P.; De Smedt, I.; et al. Observing atmospheric formaldehyde (HCHO) from space: Validation and intercomparison of six retrievals from four satellites (OMI, GOME2A, GOME2B, OMPS) with SEAC4RS aircraft observations over the Southeast US. Atmos. Chem. Phys. 2016, 16, 1–24. [Google Scholar] [CrossRef]
- Barkley, M.P.; De Smedt, I.; Van Roozendael, M.; Kurosu, T.P.; Chance, K.; Arneth, A.; Hagberg, D.; Guenther, A.; Paulot, F.; Marais, E.; et al. Top-down isoprene emissions over tropical South America inferred from SCIAMACHY and OMI formaldehyde columns. J. Geophys. Res. Atmos. 2013, 118, 6849–6868. [Google Scholar] [CrossRef]
- De Smedt, I.; Müller, J.F.; Stavrakou, T.; Van Der A, R.; Eskes, H.; Van Roozendael, M. Twelve years of global observation of formaldehyde in the troposphere using GOME and SCIAMACHY sensors. Atmos. Chem. Phys. 2008, 8, 4947–4963. [Google Scholar] [CrossRef]
- De Smedt, I.; Stavrakou, T.; Hendrick, F.; Danckaert, T.; Vlemmix, T.; Pinardi, G.; Theys, N.; Lerot, C.; Gielen, C.; Vigouroux, C.; et al. Diurnal, seasonal and long-term variations of global formaldehyde columns inferred from combined OMI and GOME-2 observations. Atmos. Chem. Phys. 2015, 15, 12241–12300. [Google Scholar] [CrossRef]
- De Smedt, I.; Stavrakou, T.; Müller, J.F.; Van Der A, R.; Roozendael, M.V. Trend detection in satellite observations of formaldehyde tropospheric columns. Geophys. Res. Lett. 2010, 37, L18808. [Google Scholar] [CrossRef]
- Pang, X.; Mu, Y. Seasonal and diurnal variations of carbonyl compounds in Beijing ambient air. Atmos. Environ. 2006, 40, 6313–6320. [Google Scholar] [CrossRef]
- Friedfeld, S.; Fraser, M.; Ensor, K.; Tribble, S.; Rehle, D.; Leleux, D.; Tittel, F. Statistical analysis of primary and secondary atmospheric formaldehyde. Atmos. Environ. 2002, 36, 4767–4775. [Google Scholar] [CrossRef]
- Souri, A.H.; Choi, Y.; Jeon, W.; Woo, J.H.; Zhang, Q.; Kurokawa, J.I. Remote sensing evidence of decadal changes in major tropospheric ozone precursors over East Asia. J. Geophys. Res. Atmos. 2017, 122, 2474–2492. [Google Scholar] [CrossRef]
- Zhang, Q.; Shao, M.; Li, Y.; Lu, S.H.; Yuan, B.; Chen, W.T. Increase of ambient formaldehyde in Beijing and its implication for VOC reactivity. Chin. Chem. Lett. 2012, 23, 1059–1062. [Google Scholar] [CrossRef]
- Kaczorowski, J.; Perelli, A. Inversion of CO and NOx emissions using the adjoint of the IMAGES model. Atmos. Chem. Phys. Discuss. 2004, 4, 7985–8068. [Google Scholar]
- De Smedt, I.; Roozendael, M.V.; Stavrakou, T.; Müller, J.F.; Lerot, C.; Theys, N.; Valks, P.; Hao, N.; Van Der A, R. Improved retrieval of global tropospheric formaldehyde columns from GOME-2/MetOp-A addressing noise reduction and instrumental degradation issues. Atmos. Meas. Tech. 2012, 5, 2933–2949. [Google Scholar] [CrossRef]
- Guenther, A.; Karl, T.; Harley, P.; Wiedinmyer, C.; Palmer, P.I.; Geron, C. Estimates of global terrestrial isoprene emissions using MEGAN (Model of Emissions of Gases and Aerosols from Nature). Atmos. Chem. Phys. 2006, 6, 3181–3210. [Google Scholar] [CrossRef]
- Marais, E.A.; Jacob, D.J.; Kurosu, T.P.; Chance, K.; Murphy, J.G.; Reeves, C.; Mills, G.; Casadio, S.; Millet, D.B.; Barkley, M.P.; et al. Isoprene emissions in Africa inferred from OMI observations of formaldehyde columns. Atmos. Chem. Phys. Discuss. 2012, 12, 7475–7520. [Google Scholar] [CrossRef]
- Li, M.; Zhang, Q.; Streets, D.G.; He, K.B.; Cheng, Y.F.; Emmons, L.K.; Huo, H.; Kang, S.C.; Lu, Z.; Shao, M.; et al. Mapping Asian anthropogenic emissions of non-methane volatile organic compounds to multiple chemical mechanisms. Atmos. Chem. Phys. 2014, 14, 32649–32701. [Google Scholar] [CrossRef]
- Huo, H.; Zhang, Q.; Guan, D.; Su, X.; Zhao, H.; He, K. Examining air pollution in China using production- and consumption-based emissions accounting approaches. Environ. Sci. Technol. 2014, 48, 14139–14147. [Google Scholar] [CrossRef] [PubMed]
- He, K. Multi-resolution Emission Inventory for China (MEIC): Model framework and 1990–2010 anthropogenic emissions. In AGU Fall Meeting Abstracts; American Geophysical Union: Washington, DC, USA, 2012. [Google Scholar]
- Li, M.; Zhang, Q.; Kurokawa, J.; Woo, J.H.; He, K.; Lu, Z.; Ohara, T.; Song, Y.; Streets, D.G.; Carmichael, G.R.; et al. MIX: A mosaic Asian anthropogenic emission inventory under the international collaboration framework of the MICS-Asia and HTAP. Atmos. Chem. Phys. 2017, 17, 34813–34869. [Google Scholar] [CrossRef]
- Liu, F.; Zhang, Q.; Tong, D.; Zheng, B.; Li, M.; Huo, H.; He, K.B. High-resolution inventory of technologies, activities, and emissions of coal-fired power plants in China from 1990 to 2010. Atmos. Chem. Phys. 2015, 15, 18787–18837. [Google Scholar] [CrossRef]
- Zheng, B.; Huo, H.; Zhang, Q.; Yao, Z.L.; Wang, X.T.; Yang, X.F.; Liu, H.; He, K.B. High-resolution mapping of vehicle emissions in China in 2008. Atmos. Chem. Phys. 2014, 14, 9787–9805. [Google Scholar] [CrossRef]
- Sheehan, P.; Cheng, E.; English, A.; Sun, F. China’s response to the air pollution shock. Nat. Clim. Chang. 2014, 4, 306–309. [Google Scholar] [CrossRef]
- Zhu, L.; Mickley, L.J.; Jacob, D.J.; Marais, E.A.; Sheng, J.; Hu, L.; Abad, G.G.; Chance, K. Long-term (2005–2014) trends in formaldehyde (HCHO) columns across North America as seen by the OMI satellite instrument: Evidence of changing emissions of volatile organic compounds. Geophys. Res. Lett. 2017, 44. [Google Scholar] [CrossRef]
- Peters, E.; Wittrock, F.; Großmann, K.; Frie, U.; Richter, A.; Burrows, J.P. Formaldehyde and nitrogen dioxide over the remote western Pacific Ocean: SCIAMACHY and GOME-2 validation using ship-based MAX-DOAS observations. Atmos. Chem. Phys. 2012, 12, 15977–16024. [Google Scholar] [CrossRef]
- Zhang, Q.; Streets, D.G.; Carmichael, G.R.; He, K.B.; Huo, H.; Kannari, A.; Klimont, Z.; Park, I.S.; Reddy, S.; Fu, J.S.; et al. Asian emissions in 2006 for the NASA INTEX-B mission. Atmos. Chem. Phys. Discuss. 2009, 9, 5131–5153. [Google Scholar] [CrossRef]
- Zhang, Y.J.; Pang, X.B.; Mu, Y.J. Contribution of isoprene emitted from vegetable to atmospheric formaldehyde in the ambient air of Beijing city. Environ. Sci. 2009, 30, 976–981. [Google Scholar]
- Zhang, L.; Lee, C.S.; Zhang, R.; Chen, L. Spatial and temporal evaluation of long term trend (2005–2014) of OMI retrieved NO2, and SO2, concentrations in Henan Province, China. Atmos. Environ. 2017, 154, 151–166. [Google Scholar] [CrossRef]
- West, M. Time Series Decomposition. Biometrika 1997, 84, 489–494. [Google Scholar] [CrossRef]
- De Smedt, I.; Roozendael, M.V.; Stavrakou, T.; Müller, J.F.; Chance, K.; Kurosu, T. Intercomparison of 4 Years of Global Formaldehyde Observations from the GOME-2 and OMI sensors. In Proceedings of the Advances in Atmospheric Science and Applications, Bruges, Belgium, 18–22 June 2012. [Google Scholar]
- Barkley, M.; Abad, G.G.; Kurosu, T.P.; Spurr, R.; Torbatian, S.; Lerot, C. OMI air-quality monitoring over the Middle East. Atmos. Chem. Phys. 2016, 17, 1–38. [Google Scholar] [CrossRef]
- Vrekoussis, M.; Wittrock, F.; Richter, A.; Burrows, J.P. GOME-2 observations of oxygenated VOCs: What can we learn from the ratio glyoxal to formaldehyde on a global scale? Atmos. Chem. Phys. Discuss. 2010, 10, 10145–10160. [Google Scholar] [CrossRef]
- Li, H.; Calder, C.A.; Cressie, N. Beyond Moran’s I: Testing for Spatial Dependence Based on the Spatial Autoregressive Model. Geogr. Anal. 2007, 39, 357–375. [Google Scholar] [CrossRef]
- Bartlett, M.S. Notes on Continuous Stochastic Phenomena. Biometrika 1950, 37, 17–23. [Google Scholar]
- Stavrakou, T.; Müller, J.F.; Bauwens, M.; De Smedt, I.; Van Roozendael, M.; Guenther, A.; Wild, M.; Xia, X. Isoprene emissions over Asia 1979–2012: Impact of climate and land use changes. Atmos. Chem. Phys. Discuss. 2014, 13, 29551–29592. [Google Scholar] [CrossRef]
- Zhang, X.; Mu, Y.; Song, W.; Zhuang, Y. Seasonal variations of isoprene emissions from deciduous trees. Atmos. Environ. 2000, 34, 3027–3032. [Google Scholar]
- Wei, X.L.; Li, Y.S.; Lam, K.S.; Wang, A.Y.; Wang, T.J. Impact of biogenic VOC emissions on a tropical cyclone-related ozone episode in the Pearl River Delta region, China. Atmos. Environ. 2007, 41, 7851–7864. [Google Scholar] [CrossRef]
- Müller, J.F.; Stavrakou, T.; Wallens, S.; De Smedt, I. Global isoprene emissions estimated using MEGAN, ECMWF analyses and a detailed canopy environment model. Atmos. Chem. Phys. 2007, 8, 1329–1341. [Google Scholar] [CrossRef]
- Duncan, B.N.; Yoshida, Y.; Damon, M.R.; Douglass, A.R.; Witte, J.C. Temperature dependence of factors controlling isoprene emissions. Geophys. Res. Lett. 2009, 36, L05813. [Google Scholar] [CrossRef]
- Wang, Z.; Bai, Y.; Zhang, S. A biogenic volatile organic compounds emission inventory for Beijing. Atmos. Environ. 2003, 37, 3771–3782. [Google Scholar]
- Wei, W.; Wang, S.X.; Chatani, S.; Klimont, Z.; Cofala, J.; Hao, J.M. Emission and speciation of non-methane volatile organic compounds from anthropogenic sources in China. Atmos. Environ. 2008, 42, 4976–4988. [Google Scholar] [CrossRef]
- Bo, Y.; Cai, H.; Xie, S.D. Spatial and temporal variation of historical anthropogenic NMVOCs emission inventories in China. Atmos. Chem. Phys. 2008, 8, 11519–11566. [Google Scholar] [CrossRef]
- Stavrakou, T.; Müller, J.F.; Bauwens, M.; De Smedt, I.; Lerot, C.; Van Roozendael, M.; Coheur, P.F.; Clerbaux, C.; Boersma, K.F.; Song, Y. Substantial Underestimation of Post-Harvest Burning Emissions in the North China Plain Revealed by Multi-Species Space Observations. Sci. Rep. 2016, 6, 32307. [Google Scholar] [CrossRef] [PubMed]
- Bauwens, M.; Stavrakou, T.; Müller, J.F.; De Smedt, I.; Roozendael, M.V.; Werf, G.R.; Wiedinmyer, C.; Kaiser, J.W.; Sindelarova, K.; Guenther, A. Nine years of global hydrocarbon emissions based on source inversion of OMI formaldehyde observations. Atmos. Chem. Phys. 2016, 16, 1–45. [Google Scholar] [CrossRef]













| Year | Beijing | Cangzhou | Chengde | Hengshui | Langfang |
| 2005 | 0.10 | 0.10 | 3.80 | 0.10 | 0.10 |
| 2006 | 0.15 | 0.10 | 1.30 | 0.10 | 0.10 |
| 2007 | 0.10 | 0.10 | 1.70 | 0.10 | 0.10 |
| 2008 | 0.20 | 0.10 | 1.30 | 0.10 | 0.10 |
| 2009 | 0.35 | 0.10 | 4.20 | 0.10 | 0.10 |
| 2010 | 0.10 | 0.10 | 1.00 | 0.10 | 0.10 |
| 2011 | 0.15 | 0.10 | 0.90 | 0.10 | 0.10 |
| 2012 | 0.15 | 0.10 | 1.80 | 0.10 | 0.10 |
| 2013 | 0.25 | 0.10 | 0.80 | 0.10 | 0.10 |
| 2014 | 0.15 | 0.10 | 2.10 | 0.15 | 0.10 |
| 2015 | 0.20 | 0.10 | 2.20 | 0.10 | 0.10 |
| Year | Qinhuangdao | Shijiazhuang | Tangshan | Tianjin | Zhangjiakou |
| 2005 | 0.20 | 0.30 | 0.10 | 0.10 | 11.00 |
| 2006 | 0.30 | 0.20 | 0.10 | 0.10 | 14.30 |
| 2007 | 0.20 | 0.10 | 0.10 | 0.10 | 3.40 |
| 2008 | 0.30 | 0.20 | 0.10 | 0.10 | 7.00 |
| 2009 | 0.10 | 0.30 | 0.10 | 0.10 | 18.20 |
| 2010 | 0.10 | 0.20 | 0.10 | 0.10 | 4.00 |
| 2011 | 0.10 | 0.10 | 0.10 | 0.10 | 6.90 |
| 2012 | 0.30 | 0.80 | 0.10 | 0.10 | 15.20 |
| 2013 | 0.10 | 0.20 | 0.10 | 0.10 | 5.10 |
| 2014 | 0.20 | 0.20 | 0.10 | 0.10 | 28.30 |
| 2015 | 0.40 | 0.30 | 0.10 | 0.10 | 5.20 |
| Longitude | Latitude | PCC |
|---|---|---|
| 118.35 | 39.65 | 0.77 |
| 115.27 | 36.93 | 0.72 |
| 114.09 | 36.91 | 0.640 |
| Type | Beijing | Cangzhou | Chengde | Hengshui | Langfang |
| P.L.C. | 0.47 | 0.57 | 0.38 | 0.56 | 0.65 |
| U.A. | 0.60 | 0.62 | 0.52 | 0.54 | 0.71 |
| Type | Qinhuangdao | Shijiazhuang | Tangshan | Tianjin | Zhangjiakou |
| P.L.C. | 0.68 | 0.51 | 0.70 | 0.69 | 0.28 |
| U.A. | 0.72 | 0.63 | 0.73 | 0.68 | 0.37 |
| Type | 2008 | 2010 | 2012 | 2008 | 2010 | 2012 |
|---|---|---|---|---|---|---|
| PCC | p-Value | |||||
| Industrial | 0.33 | 0.30 | 0.28 | 1.17 × 10−5 | 5.70 × 10−5 | 1.58 × 10−4 |
| Power | 0.14 | 0.11 | 0.09 | 0.07 | 0.16 | 0.22 |
| Residential | 0.54 | 0.48 | 0.42 | 4.25 × 10−14 | 4.90 × 10−11 | 8.32 × 10−9 |
| Transportation | 0.33 | 0.37 | 0.35 | 9.37 × 10−6 | 5.28 × 10−7 | 1.94 × 10−6 |
| Year | Beijing | Cangzhou | Chengde | Hengshui | Langfang | Type |
| 2008 | 24.09 | 24.78 | 3.82 | 18.37 | 61.93 | Industrial |
| 2010 | 33.06 | 27.46 | 4.12 | 19.66 | 81.30 | |
| 2012 | 35.60 | 34.63 | 5.11 | 23.63 | 85.33 | |
| 2008 | 9.75 × 10−2 | 6.28 × 10−2 | 5.21 × 10−3 | 3.31 × 10−2 | 1.79 × 10−1 | Power |
| 2010 | 1.02 × 10−1 | 6.28 × 10−2 | 9.09 × 10−3 | 3.39 × 10−2 | 1.85 × 10−1 | |
| 2012 | 9.75 × 10−2 | 6.20 × 10−2 | 9.92 × 10−3 | 3.06 × 10−2 | 1.66 × 10−1 | |
| 2008 | 4.73 | 6.45 | 1.12 | 6.62 | 10.66 | Residential |
| 2010 | 5.27 | 6.75 | 1.18 | 6.87 | 11.71 | |
| 2012 | 5.29 | 7.08 | 1.21 | 7.13 | 11.84 | |
| 2008 | 8.74 | 5.65 | 0.78 | 4.69 | 20.37 | Transportation |
| 2010 | 6.22 | 5.03 | 0.68 | 4.57 | 15.00 | |
| 2012 | 4.39 | 4.55 | 0.58 | 4.21 | 11.25 | |
| Year | Qinhuangdao | Shijiazhuang | Tangshan | Tianjin | Zhangjiakou | Type |
| 2008 | 23.61 | 27.45 | 43.76 | 42.22 | 12.12 | Industrial |
| 2010 | 25.02 | 30.64 | 50.65 | 59.41 | 16.15 | |
| 2012 | 31.83 | 35.29 | 65.26 | 59.52 | 17.18 | |
| 2008 | 1.40 × 10−2 | 1.41 × 10−1 | 7.85 × 10−2 | 1.89 × 10−1 | 5.87 × 10−2 | Power |
| 2010 | 1.40 × 10−2 | 1.72 × 10−1 | 1.13 × 10−1 | 2.23 × 10−1 | 7.11 × 10−2 | |
| 2012 | 2.23 × 10−2 | 1.85 × 10−1 | 1.36 × 10−1 | 2.34 × 10−1 | 6.61 × 10−2 | |
| 2008 | 3.65 | 7.38 | 5.30 | 8.35 | 2.48 | Residential |
| 2010 | 3.75 | 7.87 | 5.55 | 8.82 | 2.77 | |
| 2012 | 3.86 | 8.28 | 5.79 | 8.79 | 2.83 | |
| 2008 | 3.12 | 6.73 | 6.61 | 11.21 | 4.63 | Transportation |
| 2010 | 2.72 | 5.56 | 4.79 | 9.19 | 3.30 | |
| 2012 | 2.52 | 5.11 | 4.36 | 7.42 | 2.35 |
| Year | Beijing | Cangzhou | Chengde | Hengshui | Langfang | Type |
| 2008 | 68.77 | 43.21 | 0.87 | 15.31 | 54.42 | Industrial |
| 2010 | 87.65 | 70.64 | 0.84 | 17.42 | 75.43 | |
| 2012 | 164.39 | 160.12 | 0.98 | 22.64 | 48.29 | |
| 2008 | 9.17 × 10−2 | 5.62 × 10−1 | 3.33 × 10−6 | 3.89 × 10−1 | 6.69 × 10−2 | Power |
| 2010 | 1.09 × 10−1 | 4.77 × 10−1 | 1.93 × 10−5 | 4.03 × 10−1 | 8.51 × 10−2 | |
| 2012 | 2.07 × 10−1 | 4.69 × 10−1 | 2.21 × 10−5 | 3.84 × 10−1 | 4.46 × 10−2 | |
| 2008 | 10.03 | 13.96 | 0.72 | 5.20 | 9.05 | Residential |
| 2010 | 11.39 | 16.23 | 0.67 | 5.36 | 10.03 | |
| 2012 | 12.57 | 18.07 | 0.68 | 5.53 | 9.73 | |
| 2008 | 36.17 | 16.42 | 0.72 | 5.62 | 15.17 | Transportation |
| 2010 | 22.44 | 11.80 | 0.48 | 5.70 | 8.68 | |
| 2012 | 14.96 | 10.97 | 0.43 | 5.20 | 6.85 | |
| Year | Qinhuangdao | Shijiazhuang | Tangshan | Tianjin | Zhangjiakou | Type |
| 2008 | 13.85 | 164.17 | 36.44 | 328.93 | 62.15 | Industrial |
| 2010 | 12.85 | 180.50 | 40.18 | 451.86 | 67.95 | |
| 2012 | 13.05 | 190.41 | 53.17 | 372.06 | 68.00 | |
| 2008 | 4.63 × 10−2 | 1.15 × 10−1 | 7.69 × 10−1 | 1.70 | 4.05 × 10−2 | Power |
| 2010 | 4.79 × 10−2 | 1.51 × 10−1 | 8.28 × 10−1 | 1.82 | 6.69 × 10−2 | |
| 2012 | 7.86 × 10−5 | 5.98 × 10−1 | 9.33 × 10−1 | 1.49 | 2.40 × 10−2 | |
| 2008 | 2.65 | 32.16 | 5.81 | 31.33 | 10.58 | Residential |
| 2010 | 2.82 | 37.82 | 6.09 | 33.86 | 12.37 | |
| 2012 | 2.88 | 41.92 | 6.40 | 33.12 | 13.36 | |
| 2008 | 2.76 | 36.96 | 10.55 | 79.11 | 6.41 | Transportation |
| 2010 | 2.23 | 24.54 | 7.67 | 76.53 | 4.52 | |
| 2012 | 2.03 | 22.64 | 7.01 | 60.92 | 4.19 |
© 2018 by the authors. Licensee MDPI, Basel, Switzerland. This article is an open access article distributed under the terms and conditions of the Creative Commons Attribution (CC BY) license (http://creativecommons.org/licenses/by/4.0/).
Share and Cite
Zhu, S.; Li, X.; Yu, C.; Wang, H.; Wang, Y.; Miao, J. Spatiotemporal Variations in Satellite-Based Formaldehyde (HCHO) in the Beijing-Tianjin-Hebei Region in China from 2005 to 2015. Atmosphere 2018, 9, 5. https://doi.org/10.3390/atmos9010005
Zhu S, Li X, Yu C, Wang H, Wang Y, Miao J. Spatiotemporal Variations in Satellite-Based Formaldehyde (HCHO) in the Beijing-Tianjin-Hebei Region in China from 2005 to 2015. Atmosphere. 2018; 9(1):5. https://doi.org/10.3390/atmos9010005
Chicago/Turabian StyleZhu, Songyan, Xiaoying Li, Chao Yu, Hongmei Wang, Yapeng Wang, and Jing Miao. 2018. "Spatiotemporal Variations in Satellite-Based Formaldehyde (HCHO) in the Beijing-Tianjin-Hebei Region in China from 2005 to 2015" Atmosphere 9, no. 1: 5. https://doi.org/10.3390/atmos9010005
APA StyleZhu, S., Li, X., Yu, C., Wang, H., Wang, Y., & Miao, J. (2018). Spatiotemporal Variations in Satellite-Based Formaldehyde (HCHO) in the Beijing-Tianjin-Hebei Region in China from 2005 to 2015. Atmosphere, 9(1), 5. https://doi.org/10.3390/atmos9010005
