Next Article in Journal
Inland Concentrations of Cl2 and ClNO2 in Southeast Texas Suggest Chlorine Chemistry Significantly Contributes to Atmospheric Reactivity
Next Article in Special Issue
Optical Properties of Fine Particulate Matter in Upper Silesia, Poland
Previous Article in Journal
Ultrafine Particles in Residential Indoors and Doses Deposited in the Human Respiratory System
Previous Article in Special Issue
Estimation of the PM2.5 Pollution Levels in Beijing Based on Nighttime Light Data from the Defense Meteorological Satellite Program-Operational Linescan System
 
 
Font Type:
Arial Georgia Verdana
Font Size:
Aa Aa Aa
Line Spacing:
Column Width:
Background:
Article

Long-Term Trend and Seasonal Variability of Horizontal Visibility in Nigerian Troposphere

1
School of Physics, UniversitySains Malaysia, Pulau Pinang 11800, Malaysia
2
Hassan Usman Katsina Polytechnic, Katsina P.M.B 2052, Nigeria
*
Author to whom correspondence should be addressed.
Atmosphere 2015, 6(10), 1462-1486; https://doi.org/10.3390/atmos6101462
Submission received: 24 August 2015 / Revised: 28 September 2015 / Accepted: 28 September 2015 / Published: 2 October 2015
(This article belongs to the Special Issue Atmospheric Aerosols and Their Radiative Effects)

Abstract

:
A study of the long-term variability; trend and characteristics of visibility in four zones of Nigeria was carried out. Visibility and other meteorological data from NOAA-NCDC and aerosol index data over Nigeria during 1984–2013 are analyzed using time series and simple regression model. There are significant decreasing trends for every region and season during the 30-years period; the fluctuations exhibited nearly similar pattern. The 30-year mean visibilities for the four zones (Sahel; North Central; Southern; and Coastal) were 13.8 ± 3.9; 14.3 ± 4.2; 13.6 ± 3.5 and 12.8 ± 3.1 km with decreasing trends at the rates of 0.08; 0.06; 0.02 and 0.02 km/year. In all the zones; visibilities were better in summer while worse in Harmattan (dry season). During summer visibility was best in Sahel and North-central; however; in Harmattan visibility was best in southern and coastal zones. It was best between May and June (17.6; 18.9; 16.6 and 15.1 km) with a second peak in September. The 30-year seasonal averages were 16.2 ± 2.1; 16.8 ± 2.4; 15.4 ± 1.8 and 14.0 ± 2.2 km in summer; and 10.2 ± 2.5; 10.9 ± 2.9; 11.0 ± 3.3 and 11.4 ± 3.0 km in Harmattan for the respective zones. Sahel and North Central had the worse visibility reduction during Harmattan compared with Southern and coastal areas. An analysis based on simple regression equation reveals a strong and negative relationship between visibility on one hand; AI; and AOD on the other hand. The analysis also discusses the variability regarding the frequency of occurrence of a dust storm; dust haze; and good visibility over the period of study.

1. Introduction

Visibility becomes one of the most current discussions in climatology and air quality studies; it is the most direct way to access the level of air pollution in any region of the world. Depending on the area of interest and application, visibility in meteorology is defined as maximum distance at which a dark object can be discerned against a light sky [1,2] on the other hand, it is defined in aviation as the greatest horizontal distance at which a large object can be seen and recognized against a bright sky [3]. It is different from vertical visibility determined based on measuring aerosol optical depth from satellite images [4]. Low visibility is primarily related to significant scattering and absorption of solar radiation by suspended particles in the atmosphere [5] these particles are emitted by both natural and anthropogenic sources such as dust storm, biomass burning, digging of soil through farming and irrigation, forest fire, vegetation, secondary inorganic salts, and sea spray. The aerosols produce may include dust, smoke, organic matter, gas pollutant and airborne particles at different quantity in the atmosphere. Visibility can also be influenced by Geographical and meteorological conditions of an area.
According to other studies, dust aerosol is recognized as the principle pollutant in Nigeria that causes low visibility. This is due to the position of Nigeria in sub-Saharan West-Africa where dust aerosols are being transported regularly from Sahara desert. Dust aerosols are also emitted and circulated locally due to favorable weather conditions, especially in the northern part of Nigeria. Even though, significant economic and population growth are obvious in Nigeria [6]. It was established using aeronet data at Ilorin station (Southern zone of Nigeria) [7] that majority of the aerosol species in Ilorinoriginated from continental, desert dust and biomass burning. The authors added that contributions from industry and traffic emissions are insignificant. The emission and transportation of these particles are increasing annually and seasonally with increasing number of hazy days. Low visibility has been reported in the previous literature [8,9,10] to have adverse effects on traffic safety, economy, human health and many more in Nigeria [8,10]. For instance, in Kano state Nigeria, about 183 people died in air crash [10] due to low visibility in 1973. Nigerian Airways had to suspend flight in 1983 as a result of frequent dust activities [8] which resulted in loss of about 15 million US Dollars revenue. Zheng et al. [9] have reported that in Beijing China, the presence of high pollutant concentrations (PM2.5) is generally associated with outbreak of different diseases that resulted to high rate of mortality. This report was based on the study by the authors using aeronet AOD as a proxy to estimate long-term PM2.5 and subsequently pre-mature mortality rate. In Sokoto state Nigeria, high admission of the hypertension-related problem was found during low solar radiation and temperature associated with the occurrence of high dust concentration [11]. Therefore, visibility degradation becomes one of the major environmental challenges in Nigeria that requires constant monitoring and evaluation.
The degree of visibility degradation in Nigeria is a function of season and region mainly due to different concentration of the aerosol at a different season and location owing to variations of climate. The climate of Nigeria is usually characterized by two distinct seasons (summer and Harmattan) [8]. During the wet season; good visibility is due to the influence of moisture-laden south-easterly wind blows from Atlantic Ocean and came with the rain accompanied by high relative humidity; Temperature and dew point temperature. High relative humidity can cause increase in aerosol hygroscopic growth to enhance its scattering ability [12] and hence affect visibility. In one of such observation [13] found a nonlinear increase in scattering across section of an ammonium sulfate particle by a factor of five or more relative to that of dry particles when relative humidity is 90%. The summer/rainy season usually last for a longer period in the southern part of Nigeria with short dry season from November to March [8,14]. In contrast; during the dry season (Harmattan) relative humidity; Temperature and dew point are generally low, in Nigeria. Poor visibility is due to the influence of dust-laden north-easterly wind blew from Sahara and transported a large quantity of dust as well as anthropogenic emission at local scale. The Northern region is commonly characterized by longer dry (Harmattan) period (6–9 months) from October to about May of the following year and short rainy season.
Previous studies [5,15,16,17,18] have revealed an increasing interest in visibility study globally. Adimula et al. [2] reported the monthly cycle of visiblity at Ilorin Nigeria. In Usman et al. [3], the authors uses meteorological data of Sokoto state, Nigeria for the estimation of visibility. Coordinated research focusing on visibility characteristics, trend and variability on a nationwide scale is lacking. As such this paper seeks to fill in this gap using the recent 30 years data obtained from National Oceanic and Atmospheric administration-National climate data center (NOAA-NCDC), Total Ozone Mapping Spectrometer (TOMS) and Ozone Monitoring Instrument (OMI) satellite, as well as Aeronet AOT. The primary objective of this study is to (1) examine the characteristics, trend, and variation of visibility due to dust and smoke aerosols taking in to account meteorology of Nigeria both annually and seasonally, (2) examine the monthly cycle of visibility in response to climate, dust and smoke aerosols in each zone of Nigeria, (3) Confirm the relationship between visibility and AI (especially OMI AI which has not been mention in any of the available literature). The information obtained in this study will enable us to gain an inside as well as scientific understanding of changing pattern and extent of visibility degradations in Nigeria which is vital in our aviation industries.It can also be use in the evaluations of the effectiveness of the control strategies unready in place as well as in model development. Even though dust and biomass burning aerosol concentration data are not available, however, aerosol index (AI) is used globally as the primary determinant of smoke and dust aerosol concentration [19]. It is important to note that relationships between visibility and TOMS AI in the sahel zone of Nigeria has unready been esterblished [13]. Even though, the authors were able to discuss intensively some of the limitations of Aerosol index (AI) to complement visibility at the ground level. However, they obtained a significant correlation (R = 0.92) between TOMS AI and visibility as well as TOMS AI and rainfall (R = 0.72) in sahel zone of Nigeria. Similarly, Kehinde et al. [8] have used the same TOMS data in 8 selected stations in Nigtheyia and they obtained a significant correlations between TOMS AI and visibility. Therefore, long-term TOMS and OMI trend could reflect the variation of dust and biomass burning aerosol pollutions to some extent as such used in this analysis to characterize visibility trend and variability. Furthermore, this research is limited to the visibility trend, variability and characteristic in Nigeria. For this reason, quantification of the impact of dust event on visibility is left open for further research in which MODIS aerosol product with 10 km × 10 km spatial resolutions may be a better choice for this investigation.

2. Data and Methodology

2.1. Description of Meteorological and Aerosol Data Sites and Sources

For the purpose of temporal analysis of monthly, interannual, seasonal, and decadal variability of visibility over Nigerian zones. We have divided the country into four climatic zones in accordance with Anuforom [20] as shown in Figure 1. These are Sahel (Latitude 11–14°N); North Central (Latitude 9–11°N); Southern (Latitude 6–8°N) and Coastal Zone (Latitude 4–6°N).
Figure 1. The distribution of meteorological stations over the study location.
Figure 1. The distribution of meteorological stations over the study location.
Atmosphere 06 01462 g001
The hourly visibilities along with 18 other meteorological observations are obtained from the National Oceanic and Atmospheric Administration-National Climatic Data Center (NOAA-NCDC) database for 30 years (1984–2013). In accordance with [21], about 8000 stations are maintained worldwide by NOAA-NCDC. In Nigeria, 33 out of about 54 operational stations are found to keep at least 75% continue observations for the period under study in accordance with [22]. The others are having a much shorter record [21], these stations are fairly distributed across Nigerian climatic zones. The file is in simplified and advanced format that can be downloaded from NCDC web server. The relative humidity of each observation was derived using temperature and dew point temperature reported in the data file. Vector wind and scalar wind speed maps were downloaded from NOAA-NCEP/NCAR (National centre for Environmental prediction/National centre for atmospheric research) reanalysis project website. This project aims at producing a retroactive record of global analysis of atmospheric fields over the past 50 years in order to support research and climate monitoring [23].
The data employed in this study also include Aerosol Index (AI) and Aerosol optical thickness (AOT). The fact that the intensity of aerosols effect on atmospheric process is more in UV band, Aerosol Index (AI) is defined as the qualitative indicator of the presences of both absorbing aerosol such as dust and smoke and non-absorbing aerosol such as sulfate and sea-salt in the UV-range [24,25]. The positive AI indicates the dominance of UV-absorbing aerosol [26] and the negative values indicates non-absorbing aerosol (Pure scattering) [27]. Even though, other features such as spectral slope of the surface albedo between the two wavelengths and elevated cloud can as well cause negative AI detections [27]. Aerosol absorption in atmospheric column in the UV range is proportional to altitude. Therefore, a greater fraction of molecular radiation will be affected when the aerosol layer are confined to a higher altitude. Note that, AI does not represent the realistic measure of dust concentration. However, the ground base study in the tropical Atlanta has shown that mineral dust concentration measured at the surface correlated well with TOMS AI [28]. It is being used increasingly to monitor soil dust propagation, transport, air quality and climatology [14]. AI has been used as a proxy of dust aerosol concentration [24], which indicates the presences of dust [19]. The consideration of TOMS AI to as a proxy of dust in this paper is also in line with [29]. The author opined that smoke particles with a significant amount of black, or organic carbon were found to have both absorbing and non-absorbing characteristics. However, dust aerosol represent the clearest absorbing signature. On the other hand, direct sun–photometer measurements of solar attenuation and sky brightness at 340, 380, 440, 500, 675, 870, 940 and 1020 nm spectral ranges (includes the 1640 nm channel in Cimel version 5) are used to compute aerosol optical thickness (AOT). The AOT is defined as a quantitative indicator of the aerosol loading in atmospheric column [30]. As in the case of AI, the magnitude of AOT depends on aerosol concentrations in atmospheric column.
Aerosol Index data was obtained from two different remote sensing satellite TOMS instrument flew in space as an orbiting satellite from November 1978 to August 2005 after which OMI continues from 2004 to the present. The Large gap in data from 1994 to 1995 represent a lack of TOMS observation for the period. Similarly, during 2001–2003 there is the calibration problem due to differences in the two hemispheres [31] as such the data is eliminated from this analysis. TOMS and OMI AI data are used because of their ability to provide a longer period aerosol record of global coverage via different satellite. The authors [27] aimed to study the UV-absorbing aerosol from biomass burning and dust as in this study. The Monthly TOMS AI is available from National aeronautics and space administration-Goddard Earth Science and Information Science Centre (NASA GES DISC) mission website [14]. While OMI daily data was downloaded from OMI wavesite. TOMS and OMI global data are presented in gridded format of 1.0 (latitude) × 1.25 (longitude) and 1.0 (latitude) × 1.0 (longitude) spatial resolution respectively. This allowed the extracted of both TOMS and OMI AI over Latitude 4–14°N and Longitude 3–15°E region using a Mat-lab program. Aerosol observation via well-calibrated AERONET sun photometer which has also been useful for atmospheric aerosol (including dust) monitoring was used. Data from AERONET stations are limited to spatial coverage as there is only one Aeronet station in Nigeria and is used in this study to establish the monthly variability of aerosol and the relationship with observed visibility. The AI data over Nigeria is available for the period of 1984–2013 while the AOD is available for the period of 1998–2013. Data on pollution index, which would have also been examined, were not available for Nigeria as at the time of this research.

2.2. Data Processing

Data files obtained from NOAA-NCDC were imported into Excel spreadsheet for further processing. Visibility data were in miles, but only daily afternoon hour’s observation was selected as the regular representative for all the stations in this study and converted to kilometers. The afternoon observations correspond to the period when most human activities in Nigeria are at peak. The visibility data was grouped in January–December, and the monthly average for each station was computed from the hourly values to obtain a series of the monthly mean over 30 years. Also, the monthly average from each station was arranged into zones, and the zonal mean was determined. For the first time, we present monthly long term (1984–2013) trend analysis of visibility measurement. Subsequently annual averages from monthly mean values were analyzed for each zone. It has been plotted as time series graphs to depict the pattern of annual variability in each of the study zones of Nigeria. The mean average of a corresponding month from each station in each region was also obtained and plotted to display the monthly variability of visibility. Since the study involved two different seasons, the data over Harmattan and summer season months were isolated. Harmattan season corresponds to November-March and summer corresponds to April-October respectively [20]. Harmattan seasonal means were obtained and plotted for each zone. The seasonal and inter-seasonal variability was determined from the seasonal mean plot. The visibility anomaly for each Harmattan season was determined for the study period.
The six five years sub-period (1984–1980, 1989–1993, 1994–1998, 1999–2003, 2004–2008, and recent 2009–2013) were also independently analyzed. The sub-period analysis is given the statically changing visibility pattern and their decreasing rate over the period of study. Consequently, seasonal averaging over 30 years for comparison between the zones are carried out.
The percentage of frequency of occurrence of the dust storm, (Vx ≤ 1 km), dust haze (1 ≤ Vx ≤ 5 km), and good visibility (Vx ≥ 17 km) was analyzed at RH<90% Where Vx is the visibility in kilometers and RH is the relative humidity. This was done annually and for each decade for all climatic zones of Nigeria.These followed the suggestion in some studies [1,32].

3. Results and Discussion

3.1. Long-Term Seasonal Visibility Trend and Variability

The long-term trend and monthly average visibility for different zones of Nigeria are shown in Figure 2. Figure 3 depicts the annual and seasonal trend of AI. Many important conclusions can be derived from these figures. First, there are significant decreasing trends of monthly mean visibility (Figure 2) with Corresponding increasing trend of seasonal AI (Figure 3b,c) for every zone and season. The fact that trends changes in all season and zones indicates that anthropogenic emission and transport of aerosol occurs continuously in all season across Nigeria. Possibly due to the position of Nigeria in sub-Saharan West Africa, about 30% of Nigeria’s total land area lies within sahel belt of West Africa [13], so dust aerosol are regularly being transported towards Atlantic ocean. The downward trend of visibility and upward trend in AI implies that for the 30-years period (1984–2013), there is a general increase in the integrated column aerosol pollutant matter that could impair visibility. This may be attributed to the fact that environmental conditions such as vegetation cover, land surface and soil moisture [13] and meteorological factors at neibouring source region and local level were increasignly favorable for dust emission and transport over the period [2,10,32,33]. For instance Zeng et al. [10] documented that after 1969/1974 drought years, the declining influence of monsoon became critical in West Africa, leading to spatial and temporal spread in drought, low precipitation, and decrease in vegetation cover in the Sahel. This had a consequences of shrinkage of lake chad, which increased the strength of dust emission in sahel [2,32]. As a result of which, the strength of dust transport towards the Atlantic ocean increases annually worsening the visibility condition of Nigeria. Interestingly, the observed decreasing trend of visibility followed a lot of other global trends [5,17]. The trends exhibited nearly similar pattern indicating that majority of the aerosol particles responsible the low visibility in every zone came from the same source.
Second, summer season (April–October) had higher visibilities and winter seasons (November–March) had lower visibilities in all the zones of Nigeria respectively. During summer, the 30-year average visibilities were 16.2 ± 1.4, 16.8 ± 1.4, 15.4 ± 0.6 and 14.0 ± 1.1 km, when the desert dust transport from Sahara becomes very active during Harmattan, the mean reduces to 10.2 ± 1.2, 10.9 ± 2.0, 11.0 ± 2.6 and 11.4 ± 2.3 km (Table 1) for the respective zones.The corresponding AI was found to increased by 12, 53, 69 and 77% (TOMS) and 13, 55, 66, and 72% (OMI) during the Harmattan season. The best visibility in summer was due to positive impact of moisture-laden (south-easterly) trade wind. Where aerosol are being remove from the atmosphere through wet deposition or scavenging by atmospheric moisture. Other meteorolgical factors that could influence better visibilities in the summer are displayed in Table 2. From the table, temperature is considerably high in each zone, with low atmospheric pressure [34]. This system of much precipitation amount, high temperature and low sea level pressure lead to a better visibility [17]. The unstability of the atmosphere as a result of high temperature and moderate wind speed lead to a better diffusion condition and strong convective mixing. The concentrations of aerosol from the atmosphere are being reduced at a significant level during summer coupled with weather condition (Table 2) of the atmosphere affect visibility level. For instance RH is generally more than 50% through out the summer except in April and May in Sahel as well as April in north central zone. The week wind speed may cause aerosol particles to be trapped in the atmosphere causing poor visibility [8].
Conversely, worst visibility in Harmattan may be due to influence of dust-laden (north-easterly) trade wind. Where aerosols are being transported from Sahara in Nigeria. Moreover, it could be partly on account of the dry weather condition [7] and Table 2. The dry weather enhances dust emission and transport at the source and regional scale. Further more, the period is characterise by increase in anthropogenic emission due to biomass burning and grazing after harvest. Figure 3b shows occurrence of high AI values in Harmattan while low values in summer indicating that, the high concentration of the aerosol in the atmosphere is the major reason for visibility degradation in Harmattan. The period of dust transport has been pointed out by [32]. The authors have showed that Saharan dust are regularly transported from its source along its main path towards West Africa from October to April of every year. During this period, the dust are transported at altitudes of about 6 km [35] over a long distance towards Atlantic Ocean which is believed to be the key factor responsible for visibility deterioration in all parts of Nigeria. Dust production and transport away from the source region during the period has also been highlighted by [33].During Harmattan season, visibility in sahel may deteriorate as low as 200–500 m [14]. Figure 4b,d display the directions of wind during Harmattanand summer seasons.
Figure 2. The monthly variation of day time visibility over 30-years period observed at four climatic zones of Nigeria. (a) sahel, (b) North central, (c) southern, (d) coastal zone.
Figure 2. The monthly variation of day time visibility over 30-years period observed at four climatic zones of Nigeria. (a) sahel, (b) North central, (c) southern, (d) coastal zone.
Atmosphere 06 01462 g002
Figure 3. The 30-years annual mean, Harmattan and Summer AI trend over Nigerian zones at four climatic zones of Nigeria. (a) Annual mean, (b) Harmattan, (c) Summer.
Figure 3. The 30-years annual mean, Harmattan and Summer AI trend over Nigerian zones at four climatic zones of Nigeria. (a) Annual mean, (b) Harmattan, (c) Summer.
Atmosphere 06 01462 g003
Table 1. Summary of 30-years annual and seasonal mean visibility and percentage change for Nigeria.
Table 1. Summary of 30-years annual and seasonal mean visibility and percentage change for Nigeria.
ZonesAnnual MeanHamattan MeanDecrease of Hamattan from Annual Mean (%)Summer MeanIncrease Summer from Annual Mean (%)Decrease of Hamattan from Summer Mean (%)
Sahel13.7710.182616.181837
North central14.3410.862416.831836
Southern13.6310.981915.371329
Coastal12.8411.381114.04919
Table 2. Variation of monthly and overall climatic condition over 30year period in different zone of Nigeria.
Table 2. Variation of monthly and overall climatic condition over 30year period in different zone of Nigeria.
MonthSahelNorth-CentralSouthernCoastal
SPDRH
(DEW)
TEMPSPDRH
(DEW)
TEMPSPDRH
(DEW)
TEMPSPDRH
(DEW)
TEMP
Jan4.4624.60
(1.13)
22.353.4528.86
(4.50)
23.652.6952.95
(16.25)
26.632.9461.35
(19.76)
27.88
Feb4.6121.80
(1.40)
24.683.2827.78
(6.64)
26.792.5362.88
(18.42)
26.052.6967.48
(22.02)
28.63
Mar4.2518.12
(2.36)
28.983.2930.72
(10.99)
30.122.8054.24
(20.33)
30.622.5371.41
(22.37)
28.02
Apr4.5329.58
(10.90)
30.673.1646.92
(16.60)
29.082.8568.07
(21.91)
28.373.5675.83
(22.71)
27.35
May4.2643.69
(17.50)
31.303.1363.93
(20.34)
27.782.6673.82
(22.49)
27.582.3284.48
(23.87)
26.70
Jun4.6160.83
(20.31)
28.612.7173.62
(20.74)
25.812.6080.32
(22.81)
26.482.2785.95
(23.62)
26.15
Jul4.1670.88
(20.50
26.192.7879.36
(20.72)
24.522.9079.99
(21.83)
25.532.6686.02
(23.16)
25.68
Aug3.4274.05
(20.81)
25.782.6081.51
(21.10
24.483.2183.31
(21.97)
24.992.0986.56
(22.67)
25.07
Sep3.1070.20
(21.04)
26.932.4373.79
(20.69)
25.722.2581.89
(22.03)
25.352.7982.94
(23.21)
26.34
Oct3.2650.57
(16.55)
27.742.9067.25
(19.93)
26.502.4680.06
(22.53)
26.252.0782.99
(23.59)
26.71
Nov3.6431.82
(7.63)
25.633.1640.81
(11.97)
26.342.1067.07
(21.25)
27.932.0278.70
(23.63)
27.67
Dec4.4929.24
(3.82)
22.643.1132.70
(6.89)
24.332.2059.24
(16.84)
25.362.0769.50
(20.31)
26.34
Overall4.0743.78
(11.99)
26.793.053.94
(15.09)
26.262.6070.32
(20.72)
26.762.5077.77
(22.58)
26.88
Notes: SPD, Wind speed (m/s); RH, Relative humidity (%); DEW, Dew point temperature (°C), TEMP, Temperature (°C).
Third, summer season visibilities at Sahel and North-central (Figure 2a,b) were better than those at South and Coastal Zones (Figure 2c,d) due to variations in meteorological condtions. Two crucial meteorological element that influences both visibility and particle mass concentration are wind speedand relative humidity. Over the 30-years period, the average summer wind speed of Sahel and north central 3.9 and 2.8 m/s were significantly higher than southern and Coastal zones 2.7 and 2.5 m/s. The higher wind speed in the north can influence diffusion of air pollutant and increase visibility. However, southern part of Nigeria is dominated by fine mode particles [20], these particles have low settling velocity and hence stay for a longer time in the atmosphere and lower visibility. This is because the rate aerosol removal from the atmosphere by turbulent mix-out is low when wind speed is low. Previous literature [5] has shown that aerosol scattering efficiency in the atmosphere begin to increase when relative humidity is greater than 50%. Table 2 has shown that, RH is above 50% in southern and coastal zones throughout the year while in Sahel and north central, RH > 50% occurs only between May to October. So the higher visibility of the northern Nigeria can be related to high wind speed and low RH and vice versa as shown by the correlations between visibility and relative humidity in Table 3. The north is also associated with high temperature which, in addition to high wind speed, provides efficient diffusion of pollutant and enhances visibility. Even though, high dew point temperature in the south may not have a direct effect on visibility, dew determines the specific humidity of air at a given pressure that in turn influences fog formation. Another reason for low visibility in the southern and coastal zones may be attributed to significant contribution of industrial air pollution due to urbanization. This is based on the conclusion from [5] who established that where there werelarge population and more air pollution, low visibility occurs.
For a better underatanding of these crucial meteorological elements, wind speed and directions maps for Harmattan and summer seasons in Nigeria are displayed in Figure 4. It is important note that Figure 4a,c represents the scaler wind speed while Figure 4b,d represents the corresponding vector wind over the study period. On the other hand, a spear man correlation between visibility and relative humidity was carried out for period of study and the results are shown in Table 3. From the Table, weak and positive correlation between visibility and relative humidity were observed in the northern zones while weak and positive correlation in the southern zones. However, during summer, the correlations are still weak but positive in the north while fairly negative during summer in the southern zones.
Fourth, Harmattan season visibilities were better in southern and coastal zones than those in the north central and sahel (Figure 2), because of the influence geographical location. Due to proximity of both sahel and noth centralto the dust sources regions, the transported dust easily reach the zones without much loss in concentration and sizes. The concetrations in the atmosphere decreases with latitude [20] as the dust are being transported and most larger particles (coarse mode) are easily removed from the atmosphere by strong wind near the source region. Therefore, during this period, the atmosphere in the northern Nigeria is highly loaded with coarse mode particles compared to the south. This will greatly influence scattering and absorption of solar radiation to reduce visibility. In addition, the weather in the north is dry (absence of rainfall) [7], along with high wind speed, low relative humidity and dew point (Table 2), thus favour local emission of dust aerosols and greatly increase dust load in the zones that affect visibility. Several research effort [14,36], has been geared towards factors responsible for dryness of sahel and Sahara. For instance [36] documented the increasing trend in drought conditions in sahel zone of Nigeria, which results to more dust being emitted and affect the visibility of the region.
Table 3. Spear man correlation coefficients between visibility and relative humidity for the four zones of Nigeria.
Table 3. Spear man correlation coefficients between visibility and relative humidity for the four zones of Nigeria.
Zones
SahelNorth CentralSouthernCoastal
HarmattanSummerHarmattanSummerHarmattanSummerHarmattanSummer
RRRRRRRR
−0.030.03−0.080.060.25−0.400.26−0.41
Figure 4. The 30-years mean speed and direction of Harmattan and Summer wind speed: (a) Harmpattan mean, (b) Harmattan direction, (c) Summer mean, (d) Summer direction.
Figure 4. The 30-years mean speed and direction of Harmattan and Summer wind speed: (a) Harmpattan mean, (b) Harmattan direction, (c) Summer mean, (d) Summer direction.
Atmosphere 06 01462 g004
Fifth, the visibility values of the recent months of are lower from 2000 to 2013 compared to the month of previous years. This is evident of increase anthropogenic activities that increased the rate of injection (aerosol emission) in Nigerian atmosphere. Some of the parameters that indicates urban and population growth in Nigeria are highlighted in [37]. Another evidence of possible increased in aerosol concentration that affects visibility in the recent years is the advancement of drought towards southern part of Nigeria characterized by high dust emission, transportation and propagation [36,38]. It is also clear that aerosol index values (qualitative indicator of dust and smoke) shows high values in the recent decades Figure 3.

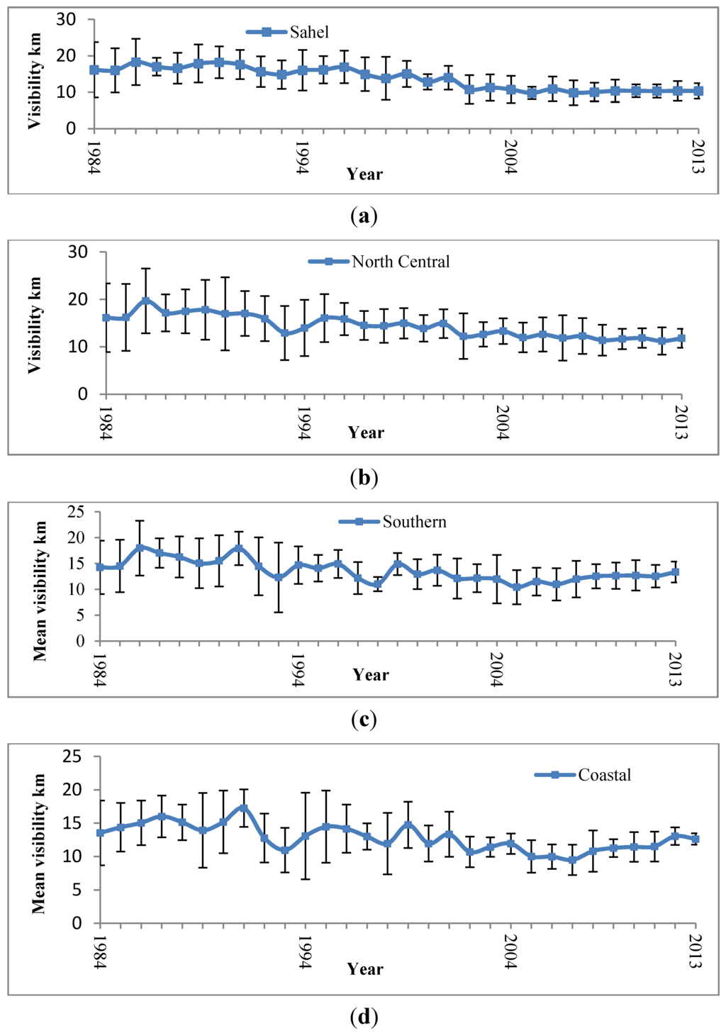
3.2. Long-Term Annual Visibility

The long-term trends of annual average visibility for all the climatic zones of Nigeria are presented in Figure 5. The vertical bars in the figure exhibit their corresponding standard deviation due to spatial aerosol inhomogeneity. According to Figure 5, it is evident that the trends of annual mean visibilities in the four zones for the entire period (1984–2013) all exhibited decline trends, with decreasing rate of −0.08, −0.06, −0.02 and −0.02 km/yr respectively.The downward trends in visibilities in the four zones suggests a sustained increased in the aerosol concentration (dust and smoke) as shown by AI plot in Figure 3a. Furthermore, the annual mean visibilities are in the range of 9.7 –18.29, 11.21–19.67, 10.43–17.99, 9.49–17.24 km, with an average value of 13.8 ± 3.9 14.3 ± 4.2, 13.6 ± 3.5 and 12.8 ± 3.1 km for the four zones. The annual mean averages are lower than that in many other countries, indicating high level of pollution in Nigeria at different zones. Even though, there could be a slight variation in the fluctuation, in general, the trend lines are highly and significantly correlated. This conclusion is similar to that of Zhao et al. [5] when the author analyzed visibility trend in the different region of China. Using the student’s t-test, the trends are found statistically significant which requires much attention in future. Comparatively speaking, the growing patterns of visibilities are more obvious between Sahel and North central on one hand and southern and coastal zones on the other hand. It may be due to their similar pattern in economic development, weather, and regional anthropogenic activities. For instance, Northern Nigeria is largely an Agricultural region with increase population and land use intensity, while industrialization in the south started as early as 1960, these may result in regional homogeneous aerosol emission. This is in line with the conclusion of Mahowald et al. [15] who suggested that anthropogenic influences can increase locally generated aerosol. Other reasons may include similar government regulations adopted for the control strategies. Apparent stability in visibility appears in the last decade, owing to government control strategy of 2008.The short fluctuations in the trend especially in the last decade may be due to increase rate at which the aerosols are been ejected (re-supply) or removed (into) from the atmosphere in the recent decades. This is shown by decrease in the visibility standard deviation represented as a vertical bar (Figure 5) for Nigeria in accordance with visibility trend. In our preliminary analysis, factors responsible for the increase emission (wind speed and temperature) (not shown here) have shown increasing trend with time. It is shown in Figure 5 that, apart from the general decreasing trend pattern from 1984 to 2013, average visibility was low in 1984 and 1985, because of high dust concentration (AI) (Figure 3) and low rainfall [14], it increases in 1986 when rainfall intensity increase while decreases 1992 in all the zones when all meteorological factors for aerosol emission are favorable (result not shown here). Within this period, visibility decreases from 18.29, 19.67, 17.99 and 15.04 to 16.82, 16.45, 15.51 and 14.46 km at the rate of 0.16, −0.35, −0.27 and −0.06 km/h respectively. After 1993, visibility fluctuated and decreased at a faster rate until 2005. It decreased continuously and exhibited nearly similar fluctuation until 2011. However, annual visibility showed increasing trend from 2011 to 2013. This may be due to government control strategy of 2008, the control strategies aim at preventing the inflow of Harmattan dust in the Sahel through reforestation and dry (Harmattan) season irrigation farming.
Figure 5. The 30 years Annual mean visibility trend over Nigerian zones at four climatic zones of Nigeria: (a) sahel, (b) North central, (c) southern, (d) coastal zone.
Figure 5. The 30 years Annual mean visibility trend over Nigerian zones at four climatic zones of Nigeria: (a) sahel, (b) North central, (c) southern, (d) coastal zone.
Atmosphere 06 01462 g005
The average visibility for five year of 1984–1980, 1989–1993, 1994–1998, 1999–2003, 2004–2008, and 2009–2013 are presented in Table 4. For all the zones, visibility was found better in the first five years with corresponding low AI values. During this time (1984–1988) visibility was best in north central may be due to its geographical location. It was best in sahel (3.99%, 11.70%, and 14.57%) higher than the other three zones between 1989 and 1998 as a result of highest wind speed and lowest relative humidity (result not shown here) through dry deposition. Between 1999 to 2008 sahel experieced the highest visibility degradation (18.62%) with corresponding highest increase in AI (29.82%). Another period of highest visibility was observed in the North central between 1999 and 2008 due to the lowest increase in AI (9.62%) compared to other zones. From Table 4, Table 5 and Table 6, the highest percentage of visibility degradations was observed between 2004 and 2008 corresponding to the highest percentage of the dust storm and haze activities and also highest percentage increased of AI (15.63, 30.47, 47.67 and 66.23%) compared to 1984–1988. These increased are found to be statistically significant at 5% significant level. It was also observed in 2005 that visibility has reduced to its lowest in sahel and coastal zones when the highest annual mean AI was detected by OMI sensor (Figure 3b and Figure 5).
Table 4. The five years interval average visibility for all the zones of Nigeria.
Table 4. The five years interval average visibility for all the zones of Nigeria.
PeriodSahel ZoneNorth Central ZoneSouthern ZoneCoastal Zone
Average Visibility (KM)Decreasing Rate/YRAverae Visibility (KM)Decreasing Rate/YRAverae Visibility (KM)Decreasing Rate/YRAverage Visibility (KM)Decreasing Rate/YR
1984–198816.86017.48015.86014.920
1989–199316.69−0.0315.97−0.3014.71−0.2314.13−0.16
1994–199815.39−0.2614.80−0.2313.59−0.2213.25−0.18
1999–200312.62−0.5513.72−0.2213.14−0.0912.41−0.17
2004–200810.27−0.4712.40−0.2611.27−0.3710.45−0.39
2009–201310.320.0111.48−0.1812.900.3312.020.31
1984–201313.71−0.0814.31−0.0613.58−0.0212.86−0.02
Table 5. Five years interval average Total Ozone Mapping Spectrometer (TOMS) and Ozone Monitoring Instrument (OMI)Aerosol Index (AI)change for all the zones of Nigeria.
Table 5. Five years interval average Total Ozone Mapping Spectrometer (TOMS) and Ozone Monitoring Instrument (OMI)Aerosol Index (AI)change for all the zones of Nigeria.
PeriodSahel ZoneNorth Central ZoneSouthern ZoneCoastal Zone
Mean AIIncrease Relative to 1984–1988 (%)Mean AIIncrease Relative to 1984–1988 (%)Mean AIIncrease Relative to 1984–1988 (%)Mean AIIncrease Relative to 1984–1988 (%)
TOMS (1984–2003)
1984–19881.2801.0500.8600.770
1989–19931.16−9.381.02−2.860.893.490.8510.39
1994–19981.366.251.148.571.0117.440.9928.57
1999–20031.4110.161.2014.291.0522.090.9928.57
OMI (2004–2013)
2004–20081.4815.631.3730.471.2747.671.2866.2
2009–20131.5218.751.3730.371.2545.351.2461.04
Apparent visibility improvement appeared after 2008 in other zones even better than Sahel at rate of 0.001, 0.33 and 0.31 km/yr during the last five years (2009–2013) except in north central. As a result of increased wind speed that influences the removal of larger particles through dry deposition. It could also be due to increased rainfall amount that favor removal of smaller particles in the atmosphere through scavenging and wet deposition. It may also be due to government reform on Agriculture that provides opportunities for drier season irrigations that control the dust transport intensity. The decrease of about 1.57 and 3.13% of AI from 2008 to 2013 has resulted in improved visibility by 14.46 and 15.02% in southern and coastal zone. Interestingly, southern becomes clearest, then coastal and north central, and finally Sahel zone. As a result of this, even though, for the entire study period, North Central and Sahel experienced the best visibility among the four zones, the difference in visibility between Northern and Southern zones had been narrowing over time. This is because, in the north, the atmosphere has been deteriorating due to increasing emission strength of the dust at the source. It may also be due to increased rainfall frequency in the south [8] that constantly deposited dust particles on the ground to enhance visibility level. Visibility was stable in the last ten years because the emission is being control step by step through government control strategies of 2008 to safeguard the Nigerian environment [39]. For this reason, the turbidity level in the atmosphere has been decreasing drastically in the last decade in Nigeria. Anuforom [20], reported that vegetation plantation that could be part of government strategy that can be used for the control of dust aerosol phenomena in West Africa. We can therefore conclude that variations in visibility is inline with changing pattern of AI and meteorological elements.
Figure 6. Comparism between (a) Harmattan and (b) summer season mean visibility anomaly among different zones of Nigeria from 1984 to 2013.
Figure 6. Comparism between (a) Harmattan and (b) summer season mean visibility anomaly among different zones of Nigeria from 1984 to 2013.
Atmosphere 06 01462 g006
Figure 6 can be used to explain clearly the degree of variability of Harmattan and summer season visibility in different zones of Nigeria. The result indicated that previous years correspond to positive visibility anomaly while recent years correspond to negative visibility anomaly. It reveals that about 19 of 30 years (1984–2002) correspond to the period of positive visibility anomaly while 11-years (2003–2013) correspond to years of negative visibility anomalies. This implies that the dust aerosol number concentration and another aerosol has been increasing over time in all the regions and seasons.

3.3. Seasonal Cycle of Visibility and Related Factors

Figure 7 represent 30-year monthly average cycle of visibilities and aerosol index for Nigeria. It is observed that the patterns of visibility in four zones of Nigeria were the same where summer season (April–October), had higher visibilities and winter seasons had lower visibilities respectively. Visibility and AI cycle start in October when dust concentration begins to build up in the atmosphere (Figure 7b,c) and visibility start to decline. From November to February, visibility decreases continuously from 12.05–9.03, 12.83–8.49, 13.13–10.41, and 13.64–10.76 while the dust concentration increases from 1.05–1.67, 1.01–1.99, 1.01–1.94 and 0.88–2.04 respectively. The minimum visibilities over Sahel and North-central (Blue and red) occur in February, while in January over Southern and coastal zone, which correspond to the period of highest AI in the two zones. By March, visibility is still low especially in the Sahel and north central, which also corresponds to their period of highest AI concentration. The disagreement between the period of peak AI and low visibility in Sahel and north central may be related to the position of ITCZ and differences in the onset and cessation period of dust activities [35]. In April even though visibility get better, there is still an evidence of suspended particles in the atmosphere as shown by moderate aerosol concentration in Figure 7. Visibility increases from April and the highest monthly mean appear in May/June with values of 17.62, 18.85, 16.58 and 15.13 km for the four zones. Visibility drops slightly in July of each year in each zone before reaching its second peak in September. After which it declined in October onward due to Harmattan season, and the cycle is repeated annually in Nigeria. The good visibility between April to October, is due to lots of aerosol particles in the atmosphere are washed out by rainfall as shown by low AI and AOT (Figure 7b,c).
Due to geographical location of sahel, good visibility during summer does not necessarily mean low aerosol concentration as indicated by reasonable AI values except in August (Figure 7). However, the significant aerosol concentration (AI) does not affect visibility at the ground level, due to aerosol being suspended at higher altitude [35] as result of high temperature and moderate wind speed. The second peak of visibility observed throughout Nigeria is similar to second peak in rainfall by [8] during August break (period of temporary cessation of rainfall between July and August). Despite in-active rainfall, relative humidity and fog [2] remain in high proportion couple with industrial emission and transported dust caused the drop in visibility value in August. In Sahel and North Central, the lowest visibility in summer occurs in October and April of every year and it correspond to a period when Harmattan has just ended and when it is about to begin. In southern and coastal zones, the lowest summer visibility occurs between July-September which can be related to high relative humidity, suspended cloud and fog in addition to the suspended dust and smoke aerosol. Good visibilities during Harmattan were also observed throughout Nigeria when the season starts in November or ends in March.
Figure 7. Display and compared annual cycle of visibility, aerosol optical thickness (AOT) and aerosol index from TOMS and OMI and AOT in Nigeria: (a) Visibility and AOT, (b) TOMS AI, (c) OMI AI.
Figure 7. Display and compared annual cycle of visibility, aerosol optical thickness (AOT) and aerosol index from TOMS and OMI and AOT in Nigeria: (a) Visibility and AOT, (b) TOMS AI, (c) OMI AI.
Atmosphere 06 01462 g007
It is important to note that the use of TOMS and OMI AI in the monthly cycle (Figure 7b,c) is to show continuation in the AI observations. Due to similarity in the pattern observed from January to December for the two sensors in each zone, TOMS AI values in Figure 7b are use for the description of AI cycle. It is also worthy of note that, even though AOD is not completely use in this study instead of AI due to short period of data record. However, the aeronet AOD data at Ilorin station used in this study support the fact that both AI (dust and smoke) and AOT (indicating the total column aerosol) revealed similar cycle annually. Which means that each can be use to describe visibility characteristics, trend and variability due to dust aerosol concentrations. It is therefore concluded that the variations in anthropogenic emissions, economic growth, transport of dust, and weather condition are the primary reason for visibility variability.

3.4. General Description of the Frequency of Visibilities

Figure 8 depict the hourly percentage frequency of visibility at different ranges in Nigeria. For 30 years under study, the hourly visibilities in Sahel, North Central, and Coastal zones are in the range of 0.1–40 km while that of the south is distributed in the range of 0.1–35 km. About 54%, 38%, 40%, and 40% of the total (8245, 7687, 20436, and 9913) hourly visibility observations were confined to 5–10 km range that represents the most frequent hourly visibility in each zone. Throughout the period of study, 2.71%, 1.24%, 1.18%, and 1.25% of the total hourly visibility observation were ≤1 km (dust storm), and those for visibility ≤5 km were 12.28%, 10.71%, 12.93%, and 13.19%, (dust haze), resulted from high aerosol concentration. In the four zones and for 30 years, very few (2.15%, 2.40%, 0.40% and 2.17%) observed visibilities exceeded 25 km. In general, this distribution of visibilities in the four zones highlights poor atmospheric condition across Nigeria. The variations from one zone to another may be attributed to differences in geographical and climatic factors that are peculiar to each zone.
Figure 8. The distribution of frequency of visibility over 30 years period observed at four climatic zones of Nigeria.
Figure 8. The distribution of frequency of visibility over 30 years period observed at four climatic zones of Nigeria.
Atmosphere 06 01462 g008
Table 6 revealed the distributions of hourly visibility at different range of values over three decades in each zone of Nigeria. From Table 6, between first to the second decade, the average frequency of dust storm decreased by 56.63%, and 66.67% in Sahel and coastal while increased by 18.92% and 32.89% in North central and southern zones when calculated. The corresponding dust haze increased by 22.51%, 46.40%, 79.31% and 21.57% across the four zones respectively. Between second and third-decade dust storm frequency increased by 87.83%, 70.16%, 84.80% and 68.89% while dust haze increased by 84.11%, 82.53%, 89.97%, and 82.88% for the four zones respectively.Comparatively speaking, the frequency of occurrence of dust storm and haze were 87.83%, 70.16%, 65.88% and 36% and 71.83%, 71.82%, 77.04% and 69.69% greater from second to third than from first to second decades. Variations in the frequency of occurrence of these events make it difficult for the effect of each meteorological element to be determined. This is because considering stable aerosol emission from the source at a particular time, good visibility will depends on better meteorological conditions. Wind speed and relative humidity are found to be decreasing with time (not shown here). Other classes of visibility were also analyzed, and the result showed that visibility 5 ≤ Vx ≤ 25 km depict increasing pattern while visibility >25 km displays a decrease from one decade to another in each zone. For example, the percentage of frequency of occurrence of visibility 30.1–35 km decrease by 97.05% between first and second decade and 37.5% from second to the third decade in Sahel. For north central, southern and coastal zones, it decreases by 84.29%, 87.39% and 40.48% between first and secondwhile 36.29%, 72.23% and 97.3% between second and third decades. Which implied an increase in the number of dusty days and declined in the number of bright days that can be associated to increase in dust aerosol particles in Nigeria. Therefore, based on this study, hourly visibility above 25 km may likely to varnish in future and the atmosphere will be polluted heavily at all time. It is evident from this result that, the increase in the dust storm is more pronounce in the dust dominated zones. These suggest the stronger influence of dust aerosol during the dust storm period which can be justified by the Aerosol Index average and the percentage increase in Table 5.
Table 6. Distribution of visibilities in 3 decades at different ranges in Nigeria.
Table 6. Distribution of visibilities in 3 decades at different ranges in Nigeria.
Classes of Visibility (km)SahelN/CentralSouthernCoastal
FirstSecondThirdFirstSecondThirdFirstSecondThirdFirstSecondThird
(Decades)(Decades)(Decades)(Decades)
0–1.032.520.75170.51518.5622029.8196352167.5
1.1–5.097.25125.579060.83113.5649.6749.672402393.5134.5171.51001.5
5.1–10110.5299.5411468.33223.52640106.831326.87086.2275.53343418.5
10.1–1523.2515699524.3373.171225.735.54396759.2272423026
15.1–20102.25172.75145.571.83199.51177.381.5113.6100291.5229268.5
20.1–2515523632188206.83578.598.5180.858471.522954
25.1–309113.75149.3354.3321.1716.334.41.8333571.54.5
30.1–35.167.7521.2546.677.334.6752.336.61.8336337.51
35.1–400.5000.1700.500002.50

3.5. Visibility, AI and AOT Correlations

In view of analyzing the trend, characteristics and variability of horizontal visibility on a long-term annual and seasonal basis, we use aerosol index data which correspond to a mixture of absorbing aerosol (dust and smoke) and aeronet data to analyze their relationshipfrom 1984 to 2013 in Nigerian zones as shown in Figure 9. The observed AI from TOMS presents a strong and negative correlation of −0.83, −0.815, −0.811, and −0.83 with visibility values. Also, AI from OMI and visibility also shows the negative correlation of −0.59, −0.55, −0.39 and −0.58 respectively. These correlations are significant at 5% significant level for all zones of Nigeria respectively. In line with AI, the monthly mean AOD at Ilorin station and visibility values correlated negatively with an accuracy −0.52 (Figure 9e). It is worth noticing that TOMS AI product yield a better correlation than OMI AI product. The reason can be related to the fact that in the recent decade (corresponding to OMI AI observations), the frequent increase in aerosol emission has lead to lower visibility values within a smaller range as shown by decrease in visibility variability in Figure 5 and from the scatter plots shown in Figure 9. According to the negative correlation between visibility and aerosol index as well as aerosol optical density, aerosol from dust and biomass burning, causes considerable visibility impairment in Nigeria. The high correlation in Sahel and coastal zones can be supported by [10]. Who explain that the frequency of thick and persistent dust in Calabar is about the same observed in Northern Nigeria, which was rare before 1983.
Figure 9. Correlation between visibility (Vx) and Aerosol Index (AI). (a) Sahel, (b) North central, (c) Southern, (d) Coastal zones of Nigeria, (e) Visibility Vx and AOT over Ilorin.
Figure 9. Correlation between visibility (Vx) and Aerosol Index (AI). (a) Sahel, (b) North central, (c) Southern, (d) Coastal zones of Nigeria, (e) Visibility Vx and AOT over Ilorin.
Atmosphere 06 01462 g009

4. Conclusions

The temporal trend, characteristics and variability of visibility over Nigeria has been investigated in this paper using a 30 years (1984–2013) period data. Significant decreasing trends in the seasonal and annual visibility for every zone during the 30-years period were found. Visibility trend lines in the four zones exhibit high and significant correlations, more obvious between sahel and north central on one hand and southern and coastal zones on the other hand. It was concluded that these zones have similar pattern in economic development, weather, and regional anthropogenic activities leading to homogeneous aerosol emission. Visibility becomes stable in the last ten years owing to government control strategy to minimize the dust outbreak. Visibility standard deviations are also found decreasing with time, implying increase in the rate at which aerosol are being re-supply or removed in the atmosphere in the recent time. Even though, visibility was generally highest in summer and worse in Harmattan throughout Nigeria, during summer it was best in Sahel and North-central; however, in Harmattan visibility was best insouthern and coastal zones due to closeness to the dust source region and climate conditions.It was also discovered that the difference in visibility between Northern and Southern zones had been narrowing over time due to advancement of Sahara towards south. Therefore, government should pose a strict standard for monitoring visibility level in Nigeria
For all the zones, visibility was found better in the first five years with corresponding low AI values. During this time (1984–1988) visibility was best in north central. It was best in sahel than the other three zones between 1989 and 1998. Another period of highest visibility was observed in the North Central between 1999 and 2008 due to the lowest increase in AI (9.62%) compared to other zones. We found the highest percentage of visibility degradations between 2004 and 2008 corresponding to the highest percentage of the dust storm and haze activities and also highest percentage increased of AI compared to 1984–1988.Apparent visibility improvement appeared after 2008 except in north central zone. Interestingly, southern zone becoming clearest followed by North Central zone. That means more initiatives need to be put in place to improve reforrestation and rainy season farming to minimise dust out break especially in sahel and north central zones.
A greater percentage of hourly visibility observations in Nigeria were confined to 5–10 km range. There were decrease in the percentage frequency of occurrence of dust storm in Sahel and coastal while increases in North central and southern zones. Dust haze generally increased in all the four zones. However, the frequency of occurrence of dust storm and dust haze increases by 87.8%, 70.2%, 84.8% and 68.9% as well as 84.1%, 82.5%, 90.0%and 82.9% between second and Third decade.
Visibility cycle begins in October when dust concentration begins to build up in the atmosphere and visibility starts to decline. Visibilities were highest between May and June throughout Nigeria when large quantity of aerosol is being washed out by rain. Low visibility over sahel and north central occurs in February while that over southern and north central occurs in January when AI was highest. Similar cycle was observed using AERONET AOT data at Ilorin station (Southern zone of Nigeria) which revealed that both AI and AOT can be used to describe monthly cycle and variability of aerosol in Nigerian atmosphere. It is also discovered that visibility undergoes a second peak in September in all the zones of Nigeria. This corresponds to double peak in rainfall in Southern and Coastal Zone reported by [8]. Visibility and AI on one hand as well as visibility and AOT on the other hand were negatively correlated; The negative and strong correlations between visibility and AI as well as visibility and AOT imply that dust aerosol cause considerable variability in visibility over Nigeria. Quantification analysis of the aerosol effect on visibility is suggested for further study.

Acknowledgments

The visibility and meteorology data were provided by the NOAA/NESDIS/NCDC, the authors, for this reason, wish to thank Stuart Hinson a Meteorologist, NOAA-NCDC for providing the data. They also wish to thanks, TOMS and OMI AI processing team and principal investigator of the Ilorin site Aeronet AOT used in this study.

Author Contributions

Mukhtar Balarabe downloaded the data, data analysis, and drafting of Manuscript; Khiruddin Abdullah and Mohd Nawawi supervised the research work.

Conflicts of Interest

The authors declare no conflict of interest.

References

  1. Huizheng, C.; Xiaoye, Z.; Yang, L.; Zijiang, Z.; John, J.Q. Horizontal visibility trend in China. Geophys. Res. Lett. 2005, 34, L24706. [Google Scholar]
  2. Adimula, I.A.; Falaiye, O.A.; Adindu, C.L. Effects of aerosols loading in the atmosphere on the visibility changes in Ilorin, Nigeria. Centre Point Sci. Edit. 2008, 16, 15–23. [Google Scholar]
  3. Usman, A.; Olaore, K.O.; Ismaila, G.S. Estimating visibility using some Meteorological data at Sokoto, Nigeria. Int. J. Basic Appli. Sci. 2013, 1, 810–815. [Google Scholar]
  4. To, W.M. Association between energy use and poor visibility in Hong Kong SAR, China. Energy 2014, 68, 12–20. [Google Scholar] [CrossRef]
  5. Zhao, P.; Zhang, X.; Xu, X.; Zhao, X. Long-term visibility trends and characteristics in the region of Beijing, Tianjin, and Hebei, China. Atmos. Res. 2011, 101, 711–718. [Google Scholar] [CrossRef]
  6. UNDP. Human development report on education in Nigeria. Available online: http://www.who.africa.org (accessed on 28 September 2015).
  7. Nwafor, J.C. Global climate change, the driver of multiple causes of flood intensity in sub-Saharan Africa. In Presented at the International Conference of Climate Change and Economic Sustainability, Nnamdi Azikiwe University, Awka, Nigeria, 25 July 2007; pp. 12–14.
  8. Kehinde, O.O.; Ayodeji, O.; Vincent, O.A. A long-term record of aerosol index from TOMS observations and horizontal visibility in sub-Saharan West Africa. Int. J. Remote Sens. 2012, 33, 6076–6093. [Google Scholar]
  9. Zheng, S.; Pozzer, A.; Cao, C.X.; Lelieveld, J. Long-term (2001–2012) concentrations of fine particulate matter (PM2.5) and the impact on human health in Beijing, China. Atmos. Chem. Phys. 2015, 15, 15–25. [Google Scholar] [CrossRef]
  10. Adefolalu, D.O. On bioclimatological aspect of Harmattan dust haze in Nigeria. Arch. Met. Geoph. Biocl. 1983, 33, 387–404. [Google Scholar] [CrossRef]
  11. Isezuo, S.A. Seasonal variation in hospitalization for hypertension-related morbidities in Sokoto, north-western Nigeria. Int. J. Circumpola Health 2003, 62, 397–409. [Google Scholar]
  12. Jung, J.; Lee, H.; Kim, Y.J.; Liu, X.; Zhang, Y.; Gu, J.; Fan, S. Aerosol chemistry and the effect of aerosol water content on visibility impairment and radiative forcing in Guangzhou during the 2006 Pearl River Delta campaign. J. Environ. Manag. 2009, 90, 3231–3244. [Google Scholar] [CrossRef] [PubMed]
  13. Malm, W.C.; Day, D.E. Estimates of aerosol species scattering characteristics as a function of relative humidity. Atmos. Environ. 2001, 35, 2845–2860. [Google Scholar] [CrossRef]
  14. Anuforom, A.C.; Akeh, L.E.; Okeke, P.N.; Opara, F.E. Inter-annual variability and long-term trend of UV-absorbing aerosols during Harmattan season in sub-Saharan West Africa. Atmos. Environ. 2007, 41, 1550–1559. [Google Scholar] [CrossRef]
  15. Mahowald, N.M.; Ballantine, J.A.; Feddema, J.; Ramankutty, N. Global trends in visibility: implications for dust sources. Atmos. Chem. Phys. 2007, 7, 3309–3339. [Google Scholar] [CrossRef]
  16. Lin, M.; Tao, J.; Chan, C.Y.; Cao, J.J.; Zhang, Z.S.; Zhu, L.H.; Zhang, R.J. Regression analysis between recent air quality and visibility changes in megacities at four haze regions in China. Aerosol Air Qual. Res. 2012, 12, 1049–1061. [Google Scholar]
  17. Deng, J.J.; Xing, Z.Y.; Zhuang, B.L.; Du, K. Comparative study on long-term visibility trend and its affecting factors on both sides of the Taiwan Strait. Atmos. Res. 2014, 143, 266–278. [Google Scholar] [CrossRef]
  18. Huang, W.; Tan, J.G.; Kan, H.D.; Zhao, N.; Song, W.M.; Song, G.X.; Chen, G.H.; Jiang, L.L.; Jiang, C.; Chen, R.J.; et al. Visibility, air quality and daily mortality in Shanghai China. Sci. Total Environ. 2009, 407, 3295–3300. [Google Scholar] [CrossRef] [PubMed]
  19. Kaskaoutis, D.G.; Kambezidis, H.D.; Nastos, P.T.; Kosmopoulos, P.G. Study on an intense dust storm over Greece. Atmos. Environ. 2008, 42, 6884–6896. [Google Scholar] [CrossRef]
  20. Anuforom, A.C. Spatial distribution and temporal variability of Harmattan dust haze in sub-Sahel West Africa. Atmos. Environ. 2007, 41, 9079–9090. [Google Scholar] [CrossRef]
  21. Husar, R.B.; Husar, J.D.; Martin, L. Distribution of continental surface aerosol extinction based on visual range data. Atmos. Environ. 2000, 34, 5067–5078. [Google Scholar] [CrossRef]
  22. Engelstaedter, S.; Kohfeld, K.E.; Tegen, I.; Harrison, S.P. Controls of dust emissions by vegetation and topographic depressions: An evaluation using dust storm frequency data. Geophys. Res. Lett. 2003, 30, 1294–1294. [Google Scholar] [CrossRef]
  23. Robert, K.; Eugenia, K.; William, C.; Suranjana, S.; Glenn, W.; John, W.; Muthuvel, C.; Wesley, E.; Masao, K.; Vernon, K.; et al. The NCEP–NCAR 50-Year Reanalysis: Monthly means CD-ROM and documentation. Am. Meteorol. Soc. 2001, 82, 247–268. [Google Scholar]
  24. Prospero, J.M.; Ginoux, P.; Torres, O.; Nicholson, S.E.; Gill, T.E. Environmental characterization of global sources of atmospheric soil dust identified with the Nimbus7 Total Ozone Mapping Spectrometer (TOMS) absorbing aerosol product. Rev. Geophys. 2002, 40, 1–31. [Google Scholar] [CrossRef]
  25. Torres, O.; Bhartia, P.K.; Herman, J.R.; Ahmad, Z.; Gleason, J. Derivation of aerosol properties from satellite measurements of backscattered ultraviolet radiation. Theoretical basis. J. Geophys. Res.-Atmos. 1998, 103, 17099–17110. [Google Scholar] [CrossRef]
  26. Salman, T.; Muhammad, A. Spatio-temporal distribution of absorbing aerosols over Pakistan retrieved from OMI onboard Aura satellite. Atmos. Poll. Res. 2015, 6, 1–12. [Google Scholar]
  27. Kaskaoutis, D.G.; Nastos, P.T.; Kosmopoulos, P.G.; Kambezidis, H.D. The Aura-OMI aerosol index distribution over Greece. Atmos. Res. 2010, 98, 28–39. [Google Scholar] [CrossRef]
  28. Chiapello, I.; Prospero, J.M.; Herman, J.R.; Hsu, N.C. Detection of mineral dust over the North Atlantic Ocean and Africa with the Nimbus 7 TOMS. J. Geophys. Res. 1999, 104, D8. [Google Scholar] [CrossRef]
  29. Israelevich, P.L.; Levin, Z.; Joseph, H.; Ganor, E. Desert aerosol transport in the Mediterranean region as inferred from the TOMS aerosol index. J. Geophys. Res. 2002, 107, D21. [Google Scholar] [CrossRef]
  30. Kambezidis, H.D.; Kaskaoutis, D.G. Aerosol climatology over four AERONET sites: An overview. Atmos. Environ. 2008, 42, 1892–1906. [Google Scholar] [CrossRef]
  31. Kiss, P.; Jánosi, M.I.; Torres, O. Early calibration problems detected in TOMS Earth-Probe aerosol signal. Geophys. Res. Lett. 2007, 34, 1–5. [Google Scholar] [CrossRef]
  32. Goudie, A.S.; Middleton, N.J. Saharan dust storms: Nature and consequences. Earth-Sci. Rev. 2001, 56, 179–204. [Google Scholar] [CrossRef]
  33. Chineke, T.C.; Chiemeka, I.U. Harmattan particulate concentration and health impacts in Sub-Sahara Africa. Afr. Phys. Rev. 2009, 3, 125–135. [Google Scholar]
  34. Oyewole, J.A.; Thompson, A.M.; Akinpelu, J.A.; Jegede, O.O. Variation of rainfall and humidity in Nigeria. J. Environ. Earth Sci. 2014, 4, 29–37. [Google Scholar]
  35. Wolfgang, S.; Brigitta, S. Meteorological causes of Harmattan dust in West Africa. Geomophology 2008, 95, 412–428. [Google Scholar]
  36. Akeh, L.E.; Nnoli, N.; Gbuyiro, S.; Ikehua, F.; Ogunbo, S. Meteorological Early Warning Systems (EWS) for drought preparedness and drought management in Nigeria. In Proceedings of the Expert Group Meeting, Lisbon, Portugal, 5–7 September 2000.
  37. Eludoyin, O.M.; Adelekan, I.O.; Webster, R.; Eludoyin, A.O. Air temperature, relative humidity, climate regionalization and thermal comfort of Nigeria. Int. J. Climatol. 2014, 34, 2000–2018. [Google Scholar] [CrossRef]
  38. Ekpoh, I.J.; Nsa, E. Extreme climatic variability in North-Western Nigeria: An analysis of rainfall trends and patterns. J. Geogr. Geol. 2011, 3, 51–62. [Google Scholar] [CrossRef]
  39. Administration, E. Energy profile of Nigeria. Available online: http://www.eoearth.org/vie (accessed on 28 September 2015).

Share and Cite

MDPI and ACS Style

Balarabe, M.; Abdullah, K.; Nawawi, M. Long-Term Trend and Seasonal Variability of Horizontal Visibility in Nigerian Troposphere. Atmosphere 2015, 6, 1462-1486. https://doi.org/10.3390/atmos6101462

AMA Style

Balarabe M, Abdullah K, Nawawi M. Long-Term Trend and Seasonal Variability of Horizontal Visibility in Nigerian Troposphere. Atmosphere. 2015; 6(10):1462-1486. https://doi.org/10.3390/atmos6101462

Chicago/Turabian Style

Balarabe, Mukhtar, Khiruddin Abdullah, and Mohd Nawawi. 2015. "Long-Term Trend and Seasonal Variability of Horizontal Visibility in Nigerian Troposphere" Atmosphere 6, no. 10: 1462-1486. https://doi.org/10.3390/atmos6101462

APA Style

Balarabe, M., Abdullah, K., & Nawawi, M. (2015). Long-Term Trend and Seasonal Variability of Horizontal Visibility in Nigerian Troposphere. Atmosphere, 6(10), 1462-1486. https://doi.org/10.3390/atmos6101462

Article Metrics

Back to TopTop