Severe Typhoon Danas (2025)—A Tropical Cyclone with Erratic Track over the Northern Part of the South China Sea and Adjacent Sea of Taiwan
Abstract
1. Introduction
2. Life of Severe Typhoon Danas
3. Past “Similar” TC Tracks for Comparison
4. Observational Aspect
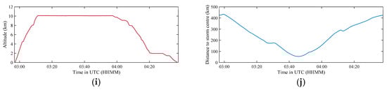
4.1. Dropsonde and Aircraft Probe Data
4.2. Surface Observations During Landfall on Taiwan
4.3. Vertical Wind Profile Analysis
4.4. Occurrence of Another Cyclone in the Northeastern Part of Taiwan
5. Forecasting Aspect
5.1. Area of Development of a TC
5.2. Track Forecast
5.3. Intensity Forecast
6. Conclusions
Author Contributions
Funding
Institutional Review Board Statement
Informed Consent Statement
Data Availability Statement
Acknowledgments
Conflicts of Interest
References
- Hong Kong Observatory. Classification of Tropical Cyclones. 2025. Available online: https://www.hko.gov.hk/en/informtc/class.htm (accessed on 30 August 2025).
- Jian, G.J.; Teng, J.H.; Wang, S.T.; Cheng, M.D.; Chen, J.H.; Chu, Y.J. An overview of the tropical cyclone database at the Central Weather Bureau of Taiwan. Terr. Atmos. Ocean. Sci. 2022, 33, 26. [Google Scholar] [CrossRef]
- Focus Taiwan. Two Dead, Over 300 Injured as Storm Danas Sweeps Taiwan. 2025. Available online: https://focustaiwan.tw/society/202507070008 (accessed on 16 July 2025).
- Bi, K.; Xie, L.; Zhang, H.; Chen, X.; Gu, X.; Tian, Q. Accurate medium-range global weather forecasting with 3D neural networks. Nature 2023, 619, 533–538. [Google Scholar] [CrossRef] [PubMed]
- Bodnar, C.; Bruinsma, W.P.; Lucic, A.; Stanley, M.; Allen, A.; Brandstetter, J.; Garvan, P.; Riechert, M.; Weyn, J.A.; Dong, H.; et al. A foundation model for the Earth system. Nature 2025, 641, 1180–1187. [Google Scholar] [CrossRef] [PubMed]
- Chen, K.; Han, T.; Gong, J.; Bai, L.; Ling, F.; Luo, J.-J.; Chen, X.; Ma, L.; Zhang, T.; Su, R.; et al. FengWu: Pushing the skillful global medium-range weather forecast beyond 10 days lead. arXiv 2023, arXiv:2304.02948. [Google Scholar] [CrossRef]
- Chen, L.; Zhong, X.; Zhang, F.; Cheng, Y.; Xu, Y.; Qi, Y.; Li, H. FuXi: A cascade machine learning forecasting system for 15-day global weather forecast. Npj Clim. Atmos. Sci. 2023, 6, 190. [Google Scholar] [CrossRef]
- Lam, R.; Sanchez-Gonzalez, A.; Willson, M.; Wirnsberger, P.; Fortunato, M.; Alet, F.; Ravuri, S.; Ewalds, T.; Eaton-Rosen, Z.; Hu, W.; et al. GraphCast: Learning skillful medium-range global weather forecasting. arXiv 2023, arXiv:2212.12794. [Google Scholar] [CrossRef]
- Lang, S.; Alexe, M.; Chantry, M.; Dramsch, J.; Pinault, F.; Raoult, B.; Clare, M.C.A.; Lessig, C.; Maier-Gerber, M.; Magnusson, L.; et al. AIFS—ECMWF’s data-driven forecasting system. arXiv 2024, arXiv:2406.01465. [Google Scholar] [CrossRef]
- Royal Observatory: Monthly Meteorological Bulletin in 1920; Royal Observatory: Hong Kong, 1920; p. 24.
- Hon, K.K.; Chan, P.W. A decade (2011–2020) of tropical cyclone reconnaissance flights over the South China Sea. Weather 2022, 77, 308–314. [Google Scholar] [CrossRef]
- He, J.; Li, Q.; Chan, P.-W.; Choy, C.-W.; Mak, B.; Lam, C.-C.; Luo, H.-Y. An observational study of Typhoon Talim over the northern part of the South China Sea in July 2023. Atmosphere 2023, 14, 1340. [Google Scholar] [CrossRef]
- Chen, L.-S. Research progress on the structure and intensity change for the landfalling tropical cyclones. J. Trop. Meteorol. 2012, 18, 113–118. [Google Scholar] [CrossRef]
- Gong, Y.; Ying, L.; Zhang, D. A Statistical Study of Unusual Tracks of Tropical Cyclones near Taiwan Island. J. Appl. Meteorol. Climatol. 2018, 57, 193–206. [Google Scholar] [CrossRef]
- NOAA. Microwave Integrated Retrieval System (MIRS) System Description Document, Version 1.11, 83 Pages. 2014. Available online: https://www.star.nesdis.noaa.gov/mirs/documents/documentation/doc_v11r3/MIRS_System_Description_Document.pdf (accessed on 22 July 2025).
- Xu, D.; Liang, J.; Lu, Z.; Zhang, Y.; Huang, F.; Feng, Y.; Zhang, B. Improved Tropical Cyclone Forecasts with Increased Vertical Resolution in the TRAMS Model. J. Trop. Meteorol. 2022, 28, 377–387. [Google Scholar]
- Han, T.; Guo, S.; Ling, F.; Chen, K.; Gong, J.; Luo, J.; Gu, J.; Dai, K.; Ouyang, W.; Bai, L. FengWu-GHR: Learning the Kilometer-scale Medium-range Global Weather Forecasting. arXiv 2024, arXiv:2402.00059. [Google Scholar]
- Lai, S.K.; Chan, P.W.; He, Y.; Chen, S.S.; Kerns, B.W.; Su, H.; Mo, H. Real-time operational trial of atmosphere–ocean–wave coupled model for selected tropical cyclones in 2024. Atmosphere 2024, 15, 1509. [Google Scholar] [CrossRef]
- Chan, P.-W.; Lam, C.-C.; Hui, T.-W.; Gao, Z.; Fu, H.; Sun, C.; Su, H. The effects of upper-ocean sea temperatures and salinity on the intensity change of tropical cyclones over the Western North Pacific and the South China Sea: An Observational Study. Atmosphere 2024, 15, 674. [Google Scholar] [CrossRef]





















Disclaimer/Publisher’s Note: The statements, opinions and data contained in all publications are solely those of the individual author(s) and contributor(s) and not of MDPI and/or the editor(s). MDPI and/or the editor(s) disclaim responsibility for any injury to people or property resulting from any ideas, methods, instructions or products referred to in the content. |
© 2025 by the authors. Licensee MDPI, Basel, Switzerland. This article is an open access article distributed under the terms and conditions of the Creative Commons Attribution (CC BY) license (https://creativecommons.org/licenses/by/4.0/).
Share and Cite
Choy, C.-W.; Chan, P.-W.; Cheung, P.; Lam, C.-C.; Ho, C.-K.; He, Y.-H.; He, J.-Y. Severe Typhoon Danas (2025)—A Tropical Cyclone with Erratic Track over the Northern Part of the South China Sea and Adjacent Sea of Taiwan. Atmosphere 2025, 16, 1099. https://doi.org/10.3390/atmos16091099
Choy C-W, Chan P-W, Cheung P, Lam C-C, Ho C-K, He Y-H, He J-Y. Severe Typhoon Danas (2025)—A Tropical Cyclone with Erratic Track over the Northern Part of the South China Sea and Adjacent Sea of Taiwan. Atmosphere. 2025; 16(9):1099. https://doi.org/10.3390/atmos16091099
Chicago/Turabian StyleChoy, Chun-Wing, Pak-Wai Chan, Ping Cheung, Ching-Chi Lam, Chun-Kit Ho, Yu-Heng He, and Jun-Yi He. 2025. "Severe Typhoon Danas (2025)—A Tropical Cyclone with Erratic Track over the Northern Part of the South China Sea and Adjacent Sea of Taiwan" Atmosphere 16, no. 9: 1099. https://doi.org/10.3390/atmos16091099
APA StyleChoy, C.-W., Chan, P.-W., Cheung, P., Lam, C.-C., Ho, C.-K., He, Y.-H., & He, J.-Y. (2025). Severe Typhoon Danas (2025)—A Tropical Cyclone with Erratic Track over the Northern Part of the South China Sea and Adjacent Sea of Taiwan. Atmosphere, 16(9), 1099. https://doi.org/10.3390/atmos16091099

