Aromatic Volatile Organic Compounds in Croatian Domestic Environments: Initial Findings
Abstract
1. Introduction
2. Materials and Methods
2.1. Sampling and Analysis of BTEX
2.2. Health Risk Assessment
2.3. Statistical Analysis
3. Results and Discussion
3.1. Outdoor and Indoor Concentrations of BTEX
3.2. The Relationship Between Indoor and Outdoor Concentrations
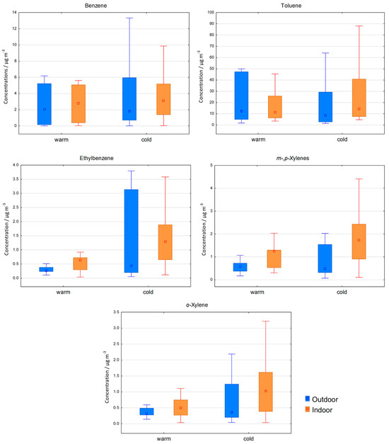
3.3. Seasonal Variations in Indoor and Outdoor BTEX Concentrations
3.4. BTEX Risk Assessment
4. Conclusions
Supplementary Materials
Author Contributions
Funding
Institutional Review Board Statement
Informed Consent Statement
Data Availability Statement
Acknowledgments
Conflicts of Interest
References
- Račić, N.; Terzić, I.; Karlović, N.; Bošnjaković, A.; Terzić, T.; Jakovljević, I.; Pehnec, G.; Horvat, T.; Gajski, G.; Gerić, M.; et al. Volatile Organic Compounds (VOCs) and Polycyclic Aromatic Hydrocarbons (PAHs) in Indoor Environments: A Review and Analysis of Measured Concentrations in Europe. Indoor Air 2025, 2025, 5945455. [Google Scholar] [CrossRef]
- Adgate, J.L.; Eberly, L.E.; Stroebel, C.; Pellizzari, E.D.; Sexton, K. Personal, Indoor, and Outdoor VOC Exposures in a Probability Sample of Children. J. Expo. Anal. Environ. Epidemiol. 2004, 14, S4–S13. [Google Scholar] [CrossRef] [PubMed]
- Yang, S.; Perret, V.; Hager Jörin, C.; Niculita-Hirzel, H.; Goyette Pernot, J.; Licina, D. Volatile Organic Compounds in 169 Energy-efficient Dwellings in Switzerland. Indoor Air 2020, 30, 481–491. [Google Scholar] [CrossRef] [PubMed]
- Madureira, J.; Paciência, I.; Ramos, E.; Barros, H.; Pereira, C.; Teixeira, J.P.; De Oliveira Fernandes, E. Childrens Health and Indoor Air Quality in Primary Schools and Homes in Portugal—Study Design. J. Toxicol. Environ. Health—Part A Curr. Issues 2015, 78, 915–930. [Google Scholar] [CrossRef]
- Park, S.; Kagi, N.; Umishio, W.; Shinohara, N.; Kim, H. Influence of Mechanical Ventilation Systems on Indoor VOC Concentrations in Residential Buildings. J. Asian Archit. Build. Eng. 2025, 1–21. [Google Scholar] [CrossRef]
- Vardoulakis, S.; Giagloglou, E.; Steinle, S.; Davis, A.; Sleeuwenhoek, A.; Galea, K.S.; Dixon, K.; Crawford, J.O. Indoor Exposure to Selected Air Pollutants in the Home Environment: A Systematic Review. Int. J. Environ. Res. Public Health 2020, 17, 1–24. [Google Scholar] [CrossRef]
- Kazensky, L.; Matković, K.; Gerić, M.; Žegura, B.; Pehnec, G.; Gajski, G. Impact of indoor air pollution on DNA damage and chromosome stability: A systematic review. Arch. Toxicol. 2024, 98, 2817–2841. [Google Scholar] [CrossRef]
- Schneider, P.; Gebefügi, I.; Richter, K.; Wölke, G.; Schnelle, J.; Wichmann, H.E.; Heinrich, J. Indoor and Outdoor BTX Levels in German Cities. Sci. Total Environ. 2001, 267, 41–51. [Google Scholar] [CrossRef]
- Lovrić, M.; Račić, N.; Pehnec, G.; Horvat, T.; Lovrić Štefiček, M.J.; Jakovljević, I. Indoor Polycyclic Aromatic Hydrocarbons—Relationship to Ambient Air, Risk Estimation, and Source Apportionment Based on Household Measurements. Atmosphere 2024, 15, 1525. [Google Scholar] [CrossRef]
- Hui, L.; Liu, X.; Tan, Q.; Feng, M.; An, J.; Qu, Y.; Zhang, Y.; Jiang, M. Characteristics, Source Apportionment and Contribution of VOCs to Ozone Formation in Wuhan, Central China. Atmos. Environ. 2018, 192, 55–71. [Google Scholar] [CrossRef]
- Sun, J.; Shen, Z.; Zhang, Y.; Zhang, Z.; Zhang, Q.; Zhang, T.; Niu, X.; Huang, Y.; Cui, L.; Xu, H.; et al. Urban VOC Profiles, Possible Sources, and Its Role in Ozone Formation for a Summer Campaign over Xi’an, China. Environ. Sci. Pollut. Res. 2019, 26, 27769–27782. [Google Scholar] [CrossRef]
- Lai, H.K.; Jantunen, M.J.; Künzli, N.; Kulinskaya, E.; Colvile, R.; Nieuwenhuijsen, M.J. Determinants of Indoor Benzene in Europe. Atmos. Environ. 2007, 41, 9128–9135. [Google Scholar] [CrossRef]
- Sarigiannis, D.A.; Karakitsios, S.P.; Gotti, A.; Liakos, I.L.; Katsoyiannis, A. Exposure to Major Volatile Organic Compounds and Carbonyls in European Indoor Environments and Associated Health Risk. Environ. Int. 2011, 37, 743–765. [Google Scholar] [CrossRef] [PubMed]
- Martins, C.; Teófilo, V.; Clemente, M.; Corda, M.; Fermoso, J.; Aguado, A.; Rodriguez, S.; Moshammer, H.; Kristian, A.; Ferri, M.; et al. Sources, levels, and determinants of indoor air pollutants in Europe: A systematic review. Sci. Total Environ. 2025, 964, 178574. [Google Scholar] [CrossRef] [PubMed]
- Symanski, E.; Stock, T.H.; Tee, P.G.; Chan, W. Demographic, Residential, and Behavioral Determinants of Elevated Exposures to Benzene, Toluene, Ethylbenzene, and Xylenes Among the U.S. Population: Results from 1999–2000 NHANES. J. Toxicol. Environ. Health Part A 2009, 72, 903–912. [Google Scholar] [CrossRef]
- Esplugues, A.; Ballester, F.; Estarlich, M.; Llop, S.; Fuentes-Leonarte, V.; Mantilla, E.; Iñiguez, C. Indoor and Outdoor Air Concentrations of BTEX and Determinants in a Cohort of One-Year Old Children in Valencia, Spain. Sci. Total Environ. 2010, 409, 63–69. [Google Scholar] [CrossRef]
- World Health Organization. WHO Development of WHO Guidelines for Indoor Air Quality—Report on a Working Group Meeting; World Health Organization: Geneva, Switzerland, 2006. [Google Scholar]
- Kotzias, D.; Koistinen, K.; Kephalopoulos, S.; Carrer, P.; Maroni, M.; Schlitt, C.; Jantunen, M.; Cochet, C.; Kirchner, S.; Lindvall, T.; et al. The INDEX Project—Critical Appraisal of the Setting and Implementation of Indoor Exposure Limits in the EU. Available online: https://szu.gov.cz/wp-content/uploads/2023/02/index_jrc_2005.pdf (accessed on 1 July 2025).
- Brčić, I. Izloženost Opće Populacije Hlapljivim Aromatskim Ugljikovodicima. Arh. Hig. Rada Toksikol. 2004, 55, 291–300. [Google Scholar]
- Ministry of Environmental Protection and Green Transition. Kvaliteta Zraka u Republici Hrvatskoj/Air Quality in Republic of Croatia. Available online: https://iszz.azo.hr/iskzl (accessed on 26 May 2025).
- Brdarić, D.; Kovač-Andrić, E.; Šapina, M.; Kramarić, K.; Lutz, N.; Perković, T.; Egorov, A. Indoor Air Pollution with Benzene, Formaldehyde, and Nitrogen Dioxide in Schools in Osijek, Croatia. Air Qual. Atmos. Health 2019, 12, 963–968. [Google Scholar] [CrossRef]
- Lovrić, M.; Gajski, G.; Fernández-Agüera, J.; Pöhlker, M.; Gursch, H.; Borg, A.; Switters, J.; Mureddu, F. Evidence Driven Indoor Air Quality Improvement: An Innovative and Interdisciplinary Approach to Improving Indoor Air Quality. BioFactors 2025, 51, e2126. [Google Scholar] [CrossRef]
- Ilgen, E.; Karfich, N.; Levsen, K.; Angerer, J.; Schneider, P.; Heinrich, J.; Wichmann, H.E.; Dunemann, L.; Begerow, J. Aromatic Hydrocarbons in the Atmospheric Environment: Part I. Indoor versus Outdoor Sources, the Influence of Traffic. Atmos. Environ. 2001, 35, 1235–1252. [Google Scholar] [CrossRef]
- United States Environmental Protection Agency. Initial List of Hazardous Air Pollutants with Modifications. Available online: https://www.epa.gov/haps/initial-list-hazardous-air-pollutants-modifications (accessed on 2 July 2025).
- Bergomi, A.; Mangia, C.; Fermo, P.; Genga, A.; Comite, V.; Guadagnini, S.; Ielpo, P. Outdoor Trends and Indoor Investigations of Volatile Organic Compounds in Two High Schools of Southern Italy. Air Qual. Atmos. Health 2024, 17, 1325–1340. [Google Scholar] [CrossRef]
- Horvat, T.; Pehnec, G.; Jakovljević, I. Volatile Organic Compounds in Indoor Air: Sampling, Determination, Sources, Health Risk, and Regulatory Insights. Toxics 2025, 13, 344. [Google Scholar] [CrossRef]
- Office of Environmental Health Hazard Assessment of California. Appendix A: Hot Spots Unit Risk and Cancer Potency Values; Office of Environmental Health Hazard Assessment of California: Sacramento, CA, USA, 2020. [Google Scholar]
- United States Environmental Protection Agency. Risk Assessment Guidance for Superfund Volume I: Human Health Evaluation Manual (Part F, Supplemental Guidance for Inhalation Risk Assessment); United States Environmental Protection Agency: Washington, DC, USA, 2009. [Google Scholar]
- Indoor Environmental Quality (IEQ) Guidelines Database. Available online: https://www.ieqguidelines.org/table?factor=iaq (accessed on 1 July 2025).
- Vera, T.; Villanueva, F.; Wimmerová, L.; Tolis, E.I. An Overview of Methodologies for the Determination of Volatile Organic Compounds in Indoor Air. Appl. Spectrosc. Rev. 2022, 57, 625–674. [Google Scholar] [CrossRef]
- Tang, R.; Sahu, R.; Su, Y.; Milsom, A.; Mishra, A.; Berkemeier, T.; Pfrang, C. Impact of Cooking Methods on Indoor Air Quality: A Comparative Study of Particulate Matter (PM) and Volatile Organic Compound (VOC) Emissions. Indoor Air 2024, 2024, 6355613. [Google Scholar] [CrossRef]
- Guo, H.; Kwok, N.H.; Cheng, H.R.; Lee, S.C.; Hung, W.T.; Li, Y.S. Formaldehyde and Volatile Organic Compounds in Hong Kong Homes: Concentrations and Impact Factors. Indoor Air 2009, 19, 206–217. [Google Scholar] [CrossRef] [PubMed]
- Akteruzzaman, M.; Rahman, M.A.; Rabbi, F.M.; Asharof, S.; Rofi, M.M.; Hasan, M.K.; Muktadir Islam, M.A.; Khan, M.A.R.; Rahman, M.M.; Rahaman, M.H. The Impacts of Cooking and Indoor Air Quality Assessment in the Southwestern Region of Bangladesh. Heliyon 2023, 9, e12852. [Google Scholar] [CrossRef] [PubMed]
- Ramadan, A.; Yassin, M.F.; Alshammari, B.Z. Health Risk Assessment Associated with Volatile Organic Compounds in a Parking Garage. Int. J. Environ. Sci. Technol. 2019, 16, 2549–2564. [Google Scholar] [CrossRef]
- Parra, M.A.; Elustondo, D.; Bermejo, R.; Santamaría, J.M. Ambient Air Levels of Volatile Organic Compounds (VOC) and Nitrogen Dioxide (NO2) in a Medium Size City in Northern Spain. Sci. Total Environ. 2009, 407, 999–1009. [Google Scholar] [CrossRef]
- Vallecillos, L.; Borrull, A.; Marcé, R.M.; Borrull, F. Passive Sampling to Control Air Quality in Schools: Uptake Rate Determination and Application. Indoor Air 2020, 30, 1005–1017. [Google Scholar] [CrossRef]
- Stranger, M.; Potgieter-Vermaak, S.S.; Van Grieken, R. Comparative Overview of Indoor Air Quality in Antwerp, Belgium. Environ. Int. 2007, 33, 789–797. [Google Scholar] [CrossRef]
- Alvarez-Vaca, D.; Duca, R.C.; Borras-Santos, A.; Hardy, E.; Creta, M.; Eicher, C.; Wurth, L.; Vergison, A.; Nieuwenhuyse, A. Van Surveillance of Indoor Air Concentration of Volatile Organic Compounds in Luxembourgish Households. Int. J. Environ. Res. Public Health 2022, 19, 5467. [Google Scholar] [CrossRef]
- Raw, G.J.; Coward, S.K.D.; Brown, V.M.; Crump, D.R. Exposure to Air Pollutants in English Homes. J. Expo. Anal. Environ. Epidemiol. 2004, 14, S85–S94. [Google Scholar] [CrossRef]
- Villanueva, F.; Tapia, A.; Amo-Salas, M.; Notario, A.; Cabañas, B.; Martínez, E. Levels and Sources of Volatile Organic Compounds Including Carbonyls in Indoor Air of Homes of Puertollano, the Most Industrialized City in Central Iberian Peninsula. Estimation of Health Risk. Int. J. Hyg. Environ. Health 2015, 218, 522–534. [Google Scholar] [CrossRef]
- Alves, C.; Vicente, A.; Oliveira, A.R.; Candeias, C.; Vicente, E.; Nunes, T.; Cerqueira, M.; Evtyugina, M.; Rocha, F.; Almeida, S.M. Fine Particulate Matter and Gaseous Compounds in Kitchens and Outdoor Air of Different Dwellings. Int. J. Environ. Res. Public Health 2020, 17, 5256. [Google Scholar] [CrossRef]
- Lagoudi, A.; Loizidou, M.; Asimakopoulos, D. Volatile Organic Compounds in Office Buildings. Indoor Built Environ. 1996, 5, 348–354. [Google Scholar] [CrossRef]
- Edwards, R.D.; Jurvelin, J.; Koistinen, K.; Saarela, K.; Jantunen, M. VOC Source Identification from Personal and Residential Indoor, Outdoor and Workplace Microenvironment Samples in EXPOLIS-Helsinki, Finland. Atmos. Environ. 2001, 35, 4829–4841. [Google Scholar] [CrossRef]
- Yu, C.W.F.; Kim, J.T. Building Pathology, Investigation of Sick Buildings—Voc Emissions. Indoor Built Environ. 2010, 19, 30–39. [Google Scholar] [CrossRef]
- World Health Organization. WHO Guidelines for Indoor Air Quality: Selected Pollutants; World Health Organization: Geneva, Switzerland, 2010. [Google Scholar]
- Ferrero, A.; Esplugues, A.; Estarlich, M.; Llop, S.; Cases, A.; Mantilla, E.; Ballester, F.; Iñiguez, C. Infants’ Indoor and Outdoor Residential Exposure to Benzene and Respiratory Health in a Spanish Cohort. Environ. Pollut. 2017, 222, 486–494. [Google Scholar] [CrossRef]
- Fuselli, S.; De Felice, M.; Morlino, R.; Turrio-Baldassarri, L. A Three Year Study on 14 VOCs at One Site in Rome: Levels, Seasonal Variations, Indoor/Outdoor Ratio and Temporal Trends. Int. J. Environ. Res. Public Health 2010, 7, 3792–3803. [Google Scholar] [CrossRef]
- Edokpolo, B.; Yu, Q.; Connell, D. Health Risk Assessment for Exposure to Benzene in Petroleum Refinery Environments. Int. J. Environ. Res. Public Health 2015, 12, 595–610. [Google Scholar] [CrossRef]
- Berg, F.; Novelli, A.; Dubus, R.; Hofzumahaus, A.; Holland, F.; Wahner, A.; Fuchs, H. Temperature-Dependent Rate Coefficients for the Reactions of OH Radicals with Selected Alkanes, Aromatic Compounds, and Monoterpenes. Atmos. Chem. Phys. 2024, 24, 13715–13731. [Google Scholar] [CrossRef]
- Weschler, C.J. Changes in Indoor Pollutants since the 1950s. Atmos. Environ. 2009, 43, 153–169. [Google Scholar] [CrossRef]
- Niaz, K.; Bahadar, H.; Maqbool, F.; Abdollahi, M. A Review of Environmental and Occupational Exposure to Xylene and Its Health Concerns. EXCLI J. 2015, 14, 1167–1186. [Google Scholar]
- Liu, C.; Huang, X.; Li, J. Outdoor Benzene Highly Impacts Indoor Concentrations Globally. Sci. Total Environ. 2020, 720, 137640. [Google Scholar] [CrossRef] [PubMed]
- Paciência, I.; Madureira, J.; Rufo, J.; Moreira, A.; Fernandes, E.d.O. A Systematic Review of Evidence and Implications of Spatial and Seasonal Variations of Volatile Organic Compounds (VOC) in Indoor Human Environments. J. Toxicol. Environ. Health Part B 2016, 19, 47–64. [Google Scholar] [CrossRef] [PubMed]
- Petrus, M.; Popa, C.; Bratu, A.-M. Temporal Variations in Urban Air Pollution during a 2021 Field Campaign: A Case Study of Ethylene, Benzene, Toluene, and Ozone Levels in Southern Romania. Sustainability 2024, 16, 3219. [Google Scholar] [CrossRef]
- Kim, K.H.; Ho, D.X.; Park, C.G.; Ma, C.J.; Pandey, S.K.; Lee, S.C.; Jeong, H.J.; Lee, S.H. Volatile Organic Compounds in Ambient Air at Four Residential Locations in Seoul, Korea. Environ. Eng. Sci. 2012, 29, 875–889. [Google Scholar] [CrossRef]
- Guo, H.; Lee, S.C.; Chan, L.Y.; Li, W.M. Risk Assessment of Exposure to Volatile Organic Compounds in Different Indoor Environments. Environ. Res. 2004, 94, 57–66. [Google Scholar] [CrossRef]








| Median | Mean | Geometric Mean | Minimum | Maximum | Standard Deviation | 25th Percentile | 75th Percentile | ||
|---|---|---|---|---|---|---|---|---|---|
| Indoor | Benzene | 2.95 | 4.35 | 2.00 | 0.02 | 24.77 | 5.243 | 1.12 | 5.15 |
| Toluene | 12.20 | 22.62 | 15.34 | 3.52 | 88.07 | 21.844 | 7.49 | 27.55 | |
| Ethylbenzene | 0.92 | 1.74 | 0.92 | 0.04 | 15.47 | 2.836 | 0.56 | 1.59 | |
| m-,p-Xylenes | 1.29 | 2.24 | 1.32 | 0.11 | 21.27 | 3.752 | 0.71 | 2.19 | |
| o-Xylene | 0.92 | 1.27 | 0.72 | 0.04 | 10.83 | 1.895 | 0.37 | 1.51 | |
| Outdoor | Benzene | 1.84 | 4.80 | 1.30 | 0.01 | 42.84 | 8.275 | 0.49 | 5.68 |
| Toluene | 8.50 | 19.63 | 10.37 | 1.51 | 64.00 | 20.016 | 3.31 | 42.04 | |
| Ethylbenzene | 0.33 | 2.85 | 0.54 | 0.05 | 48.70 | 8.846 | 0.21 | 1.12 | |
| m-,p-Xylenes | 0.53 | 1.32 | 0.61 | 0.07 | 11.40 | 2.338 | 0.32 | 1.09 | |
| o-Xylene | 0.33 | 1.97 | 0.47 | 0.04 | 36.49 | 6.448 | 0.22 | 0.78 |
| Compound | Indoor | Outdoor | Time Sampling, Type, Year | City, Country | Reference |
|---|---|---|---|---|---|
| Benzene a Toluene a Ethylbenzene a o-Xylene a m-,p-Xylene a | 2.20 4.25 0.62 0.68 1.36 | 1.05 2.27 0.57 0.27 0.80 | 24 h, active, 2001–2002 | Antwerp, Belgium | [37] |
| Benzene b Ethylbenzene b o-Xylene b m-Xylene b p-Xylene b | 2.7 2.1 2.2 3.8 1.8 | 24 h, active, 2014–2019 | Luxembourg | [38] | |
| Benzene c Toluene c Ethylbenzene c o-Xylene c m-,p-Xylene c | 1.48 20.46 0.70 0.79 2.92 | 1.13 4.46 nd nd 1.20 | 1 week, passive, November/December 1994 | Hamburg, Germany | [8] |
| Benzene c Toluene c Ethylbenzene c o-Xylene c m-,p-Xylene c | 2.17 37.29 1.67 1.20 4.17 | 1.62 4.98 nd nd 1.76 | 1 week, passive, November/December 1994 | Erfurt, Germany | |
| Benzene b Toluene b m-,p-Xylene b | 3.0 15.1 3.8 | 4 weeks, passive, October 1997–February 1999 | 1000 homes throughout the United Kingdom | [39] | |
| Benzene b | 8.2 2.2 1.7 10.1 2.8 6.5 | 2 days (non-working hours), active, 1996–2000 | Athens, Greece Basel, Switzerland Helsinki, Finland Milan, Italy Oxford, UK Prague, Czech Republic | [12] | |
| Benzene c Toluene c Ethylbenzene c o-Xylene c m-,p-Xylene c | 1.7 6.3 2.7 0.4 4.7 | 1.3 2.3 0.4 0.06 1.2 | 2 weeks, passive, May–June 2011 | Puertollano, Spain | [40] |
| Benzene a Toluene a Ethylbenzene a o-Xylene a m-,p-Xylene a | 1.6 9.4 2.4 3.1 7.6 | 10 days, passive, October–November 2017 | Aveiro, Portugal | [41] |
| Indoor | Outdoor | ||||
|---|---|---|---|---|---|
| Warm | Cold | Warm | Cold | ||
| Benzene | E | 1.116 | 1.245 | 0.322 | 0.295 |
| LCR | 3.24 × 10−5 | 3.61 × 10−5 | 9.35 × 10−6 | 8.54 × 10−6 | |
| Overall | E | 1.179 | 0.294 | ||
| LCR | 3.42 × 10−5 | 8.53 × 10−6 | |||
| Ethylbenzene | E | 0.253 | 0.516 | 0.043 | 0.069 |
| LCR | 6.32 × 10−7 | 1.29 × 10−6 | 1.09 × 10−7 | 1.72 × 10−7 | |
| Overall | E | 0.368 | 0.053 | ||
| LCR | 9.19 × 10−7 | 1.32 × 10−7 | |||
Disclaimer/Publisher’s Note: The statements, opinions and data contained in all publications are solely those of the individual author(s) and contributor(s) and not of MDPI and/or the editor(s). MDPI and/or the editor(s) disclaim responsibility for any injury to people or property resulting from any ideas, methods, instructions or products referred to in the content. |
© 2025 by the authors. Licensee MDPI, Basel, Switzerland. This article is an open access article distributed under the terms and conditions of the Creative Commons Attribution (CC BY) license (https://creativecommons.org/licenses/by/4.0/).
Share and Cite
Horvat, T.; Jakovljević, I.; Tomašić, V.; Pehnec, G.; Gajski, G.; Lovrić, M. Aromatic Volatile Organic Compounds in Croatian Domestic Environments: Initial Findings. Atmosphere 2025, 16, 893. https://doi.org/10.3390/atmos16080893
Horvat T, Jakovljević I, Tomašić V, Pehnec G, Gajski G, Lovrić M. Aromatic Volatile Organic Compounds in Croatian Domestic Environments: Initial Findings. Atmosphere. 2025; 16(8):893. https://doi.org/10.3390/atmos16080893
Chicago/Turabian StyleHorvat, Tajana, Ivana Jakovljević, Vesna Tomašić, Gordana Pehnec, Goran Gajski, and Mario Lovrić. 2025. "Aromatic Volatile Organic Compounds in Croatian Domestic Environments: Initial Findings" Atmosphere 16, no. 8: 893. https://doi.org/10.3390/atmos16080893
APA StyleHorvat, T., Jakovljević, I., Tomašić, V., Pehnec, G., Gajski, G., & Lovrić, M. (2025). Aromatic Volatile Organic Compounds in Croatian Domestic Environments: Initial Findings. Atmosphere, 16(8), 893. https://doi.org/10.3390/atmos16080893

