Analysis of Precipitable Water Vapor, Liquid Water Path and Their Variations before Rainfall Event over Northeastern Tibetan Plateau
Abstract
1. Introduction
2. Materials and Methods
2.1. Study Region
2.2. Dataset
2.3. Methods
2.3.1. Definition of Rainfall Classification
2.3.2. Definition in the Turning Time
2.3.3. Process of Radiosonde Data
2.3.4. Indices of Accuracy Evaluation
3. Results and Discussion
3.1. Comparison of Variables Derived by MWR and RAOB
3.2. Temporal Patterns of Precipitable Water Vapor and Liquid Water Content
3.3. Temporal Patterns of Rainfall Events and Moisture Condition
3.4. Variations in Precipitable Water Vapor and Liquid Water Content before Rainfall Events
4. Conclusions
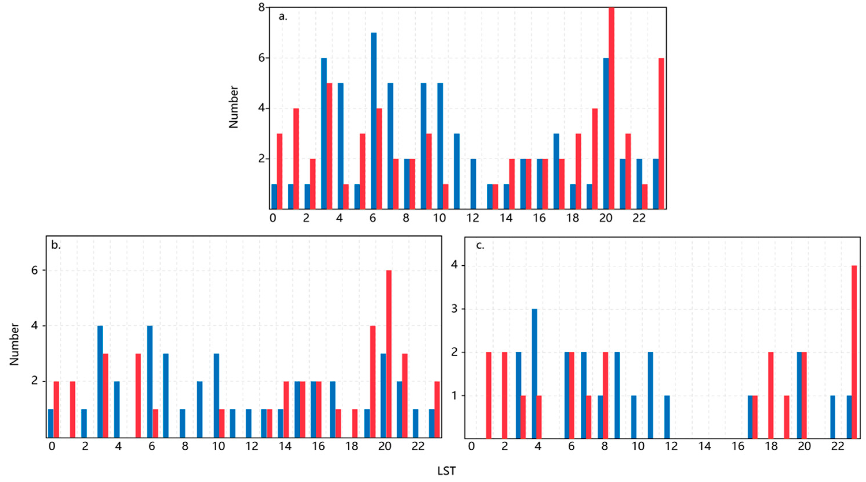
- The seasonal distributions of precipitable water vapor and liquid water content is highly uneven in the Xining area, with summer accounting for more than 70% of the annual total. Summer precipitable water vapor and liquid water content are concentrated at night (20-06 LST), another peak at 08 LST during rainy days in spring and autumn.
- A total of 65 rainfall events occurred during the study period, primarily initiating between sunset and sunrise and ending before noon. In summer, events tend to start after sunset, while in autumn, they begin before sunrise. Although higher precipitable water vapor and liquid water content at the initiating time of rainfall events are observed in summer, they only occur during the diurnal peak, corresponding to after sunset.
- Precipitable water vapor and liquid water content anomalies increases sharply 8 and 28 min before rainfall initiation, respectively, with rates of 12.7 mm/2 min and 0.09 mm/2 min. As the intensity of rainfall event is enhanced, the occurrence of the turning time for anomalies moves closer to the initiation time, especially for precipitable water vapor anomalies. The turning times are similar in convective cloud and stratiform cloud rainfall events, but convective cloud events exhibit more dramatic jumps in anomalies after reaching the turning time when compared with stratiform cloud events. Finally, we highlight again that the LWP and PWV retrievals could contain uncontrolled errors between the turning time and the initiating time in the study.
Author Contributions
Funding
Institutional Review Board Statement
Informed Consent Statement
Data Availability Statement
Conflicts of Interest
References
- Held, I.M.; Soden, B.J. Water Vapor Feedback and Global Warming1. Annu. Rev. Environ. Resour. 2000, 25, 441–475. [Google Scholar]
- Zhang, J.; Zhao, T.; Dai, A.; Zhang, W. Detection and Attribution of Atmospheric Precipitable Water Changes since the 1970s over China. Sci. Rep. 2019, 9, 17609. [Google Scholar] [CrossRef]
- Trenberth, K.E.; Fasullo, J.T.; Kiehl, J. Earth’s Global Energy Budget. Bull. Am. Meteorol. Soc. 2009, 90, 311–324. [Google Scholar] [CrossRef]
- Zhao, Q.; Yao, Y.; Yao, W.Q.; Li, Z. Near-global GPS-derived PWV and its analysis in the El Niño event of 2014–2016. J. Atmos. Sol. Terr. Phys. 2018, 179, 69–80. [Google Scholar] [CrossRef]
- Trenberth, K.E.; Fasullo, J.; Smith, L. Trends and variability in column-integrated atmospheric water vapor. Clim. Dyn. 2005, 24, 741–758. [Google Scholar] [CrossRef]
- Wang, J.; Dai, A.; Mears, C. Global Water Vapor Trend from 1988 to 2011 and Its Diurnal Asymmetry Based on GPS, Radiosonde, and Microwave Satellite Measurements. J. Clim. 2016, 29, 5205–5222. [Google Scholar] [CrossRef]
- Dai, A. Hydroclimatic trends during 1950–2018 over global land. Clim. Dyn. 2021, 56, 4027–4049. [Google Scholar] [CrossRef]
- Zhao, Q.; Ma, X.; Yao, W.; Liu, Y.; Yao, Y. Anomaly Variation of Vegetation and Its Influencing Factors in Mainland China During ENSO Period. IEEE Access 2020, 8, 721–734. [Google Scholar] [CrossRef]
- Jin, S.; Luo, O.F. Variability and Climatology of PWV from Global 13-Year GPS Observations. IEEE Trans. Geosci. Remote Sens. 2009, 47, 1918–1924. [Google Scholar] [CrossRef]
- Wood, R.; Kubar, T.L.; Hartmann, D.L. Understanding the Importance of Microphysics and Macrophysics for Warm Rain in Marine Low Clouds. Part II: Heuristic Models of Rain Formation. J. Atmos. Sci. 2009, 66, 2973–2990. [Google Scholar] [CrossRef]
- Xu, G.; Zhang, W.; Wan, X.; Wang, B. Cloud occurrence frequency and cloud liquid water path for non-precipitating clouds using ground-based measurements over central China. J. Atmos. Sol. Terr. Phys. 2021, 215, 105575. [Google Scholar] [CrossRef]
- Devasthale, A.; Thomas, M.A. Sensitivity of Cloud Liquid Water Content Estimates to the Temperature-Dependent Thermody- namic Phase. A Global Study Using CloudSat Data. J. Clim. 2012, 25, 7297–7307. [Google Scholar] [CrossRef]
- Gultepe, I.; Isaac, G.A. Liquid Water Content and Temperature Relationship from Aircraft Observations and Its Applicability to GCMs. J. Clim. 1997, 10, 446–452. [Google Scholar] [CrossRef]
- King, J.M.; Kummerow, C.D.; Van Den Heever, S.C.; Igel, M.R. Observed and Modeled Warm Rainfall Occurrence and Its Reltionships with Cloud Macrophysical Properties. J. Atmos. Sci. 2015, 72, 4075–4090. [Google Scholar] [CrossRef][Green Version]
- Huang, L.; Jiang, J.H.; Wang, Z.; Su, H.; Deng, M.; Massie, S. Climatology of cloud water content associated with different cloud types observed by A-Train satellites. J. Geophys. Res. Atmos. 2015, 120, 4196–4212. [Google Scholar] [CrossRef]
- Kraj, A.G.; Bibeau, E.L. Measurement method and results of ice adhesion force on the curved surface of a wind turbine blade. Renew. Energy 2010, 35, 741–746. [Google Scholar] [CrossRef]
- Liu, Y.; Zhao, Q.; Yao, W.; Ma, X.; Yao, Y.; Liu, L. Short-term rainfall forecast model based on the improved BP–NN algorithm. Sci. Rep. 2019, 9, 19751. [Google Scholar] [CrossRef]
- Liu, Y.; Zhao, Q.; Li, Z.; Yao, Y.; Li, X. GNSS-derived PWV and meteorological data for short-term rainfall forecast based on support vector machine. Adv. Space Res. 2022, 70, 992–1003. [Google Scholar] [CrossRef]
- Yao, Y.; Shan, L.; Zhao, Q. Establishing a method of short-term rainfall forecasting based on GNSS-derived PWV and its application. Sci. Rep. 2017, 7, 12465. [Google Scholar] [CrossRef]
- Zhang, W.; Xu, G.; Xi, B.; Ren, J.; Wan, X.; Zhou, L.; Cui, C.; Wu, D. Comparative Study of Cloud Liquid Water and Rain Liquid Water Obtained From Microwave Radiometer and Micro Rain Radar Observations Over Central China During the Monsoon. J. Geophys. Res. Atmos. 2020, 125, e2020JD032456. [Google Scholar] [CrossRef]
- Kinoshita, T.; Ogino, S.-Y.; Suzuki, J.; Shirooka, R.; Sugidachi, T.; Shimizu, K.; Hitchman, M.H. Toward Standard Radiosonde Observations of Waves and the Mean State in the 30–40-km Altitude Range Using 3-kg Balloons. J. Atmos. Ocean. Technol. 2022, 39, 849–860. [Google Scholar] [CrossRef]
- Xia, X.; Fu, D.; Shao, W.; Jiang, R.; Wu, S.; Zhang, P.; Yang, D.; Xia, X. Retrieving Precipitable Water Vapor Over Land from Satellite Passive Microwave Radiometer Measurements Using Automated Machine Learning. Geophys. Res. Lett. 2023, 50, e2023GL105197. [Google Scholar] [CrossRef]
- Dong, C.; Weng, F.; Yang, J. Assessments of Cloud Liquid Water and Total Precipitable Water Derived from FY-3E MWTS-III and NOAA-20 ATMS. Remote Sens. 2022, 14, 1853. [Google Scholar] [CrossRef]
- Billault-Roux, A.C.; Berne, A. Integrated water vapor and liquid water path retrieval using a single-channel radiometer. Atmos. Meas. Tech. 2021, 14, 2749–2769. [Google Scholar] [CrossRef]
- Isaac, G.A.; Schmidt, K.S. Cloud Properties from In-situ and Remote-sensing Measurements: Capability and Limitations, in Clouds in the Perturbed Climate System: Their Relationship to Energy Balance. In Atmospheric Dynamics, and Precipitation; Heintzenberg, J., Charlson, R.J., Eds.; MIT Press: Cambridge, MA, USA, 2009. [Google Scholar]
- Jeoung, H.; Liu, G.S.; Kim, K.; Lee, G.; Seo, E.K. Microphysical properties of three types of snow clouds: Implication for satellite snowfall retrievals. Atmos. Chem. Phys. 2020, 20, 14491–14507. [Google Scholar] [CrossRef]
- Kidd, C. Satellite rainfall climatology: A review. Int. J. Climatol. 2001, 21, 1041–1066. [Google Scholar] [CrossRef]
- Ebell, K.; Orlandi, E.; Hünerbein, A.; Löhnert, U.; Crewell, S. Combining ground-based with satellite-based measurements in the atmospheric state retrieval: Assessment of the information content. J. Geophys. Res. Atmos. 2013, 118, 6940–6956. [Google Scholar] [CrossRef]
- Wei, J.; Shi, Y.; Ren, Y.; Li, Q.; Qiao, Z.; Cao, J.; Ayantobo, O.O.; Yin, J.; Wang, G. Application of Ground-Based Microwave Radiometer in Retrieving Meteorological Characteristics of Tibet Plateau. Remote Sens. 2021, 13, 2527. [Google Scholar] [CrossRef]
- Liu, M.; Liu, Y.-A.; Shu, J. Characteristics Analysis of the Multi-Channel Ground-Based Microwave Radiometer Observations during Various Weather Conditions. Atmosphere 2022, 13, 1556. [Google Scholar] [CrossRef]
- Warner, J.; Drake, J. Field tests of an airborne remote sensing technique for measuring the distribution of liquid water in convective cloud. J. Atmos. Ocean. Technol. 1988, 5, 833–843. [Google Scholar] [CrossRef]
- Snider, J.B. Long-term observations of cloud liquid, water vapor, and cloud-base temperature in the North Atlantic Ocean. J. Atmos. Ocean. Technol. 2000, 17, 928–939. [Google Scholar] [CrossRef]
- Madhulatha, A.; Rajeevan, M.; Venkat Ratnam, M.; Bhate, J.; Naidu, C.V. Nowcasting severe convective activity over southeast India using ground-based microwave radiometer observations. J. Geophys. Res. Atmos. 2013, 118, 1–13. [Google Scholar] [CrossRef]
- Haolin, X.; Jiafeng, Z.; Jie, Z.; Keyun, Z.; Qian, L. Study on evolution characteristics of meteorlogical elements of two different thunderstorms in Kunming Airport. Torrential Rain Disasters 2021, 40, 541–548. [Google Scholar]
- Tao, Z.; Na, L.; Min, X.; Qingchuan, W.; Xianghan, Z. Water Vapor Characteristics of a Rainstorm in Warm Region Based on Multisource Data. Desert Oasis Meteorol. 2022, 16, 62–69. [Google Scholar]
- Tandong, Y.; Shilong, P.; Miaogen, S.; Jing, G.; Wei, Y.; Guoqing, Z.; Yanbin, L.; Yang, G.; Liping, Z.; Baiqing, X.; et al. Chained impacts on modern environment of interaction between Westerlies and Indian monsoon on Tibetan plateau. Bull. Chin. Acad. Sci. 2017, 32, 976–984. [Google Scholar]
- Chen, J.; Bordoni, S. Orographic effects of the Tibetan plateau on the East Asian summer monsoon: An energetic perspective. J. Clim. 2014, 27, 3052–3072. [Google Scholar] [CrossRef]
- Zhao, L.; Ma, Y.F.; Zhang, G.X.; Yang, L.M. The Principle and Error Analysis of Microwave Radiometer MP-3000A. Desert Oasis Meteorol. 2009, 3, 54–57. [Google Scholar]
- Ao, X.; Wang, Z.H.; Xu, G.R. Study on the quality control of brightness temperature data observed with ground-based microwave radiometer. J. Meteorol. Sci. 2013, 33, 130–137. [Google Scholar]
- Kostsov, V.S.; Ionov, D.V.; Biryukov, E.Y.; Zaitsev, N.A. Cross-validation of two liquid water path retrieval algorithms applied to ground-based microwave radiation measurements by the RPG-HATPRO instrument. Int. J. Remote Sens. 2018, 39, 1321–1342. [Google Scholar] [CrossRef]
- Ware, R.; Carpenter, R.; Güldner, J.; Liljegren, J.; Nehrkorn, T.; Solheim, F.; Vandenberghe, F. A multichannel radiometric profiler of temperature, humidity, and cloud liquid. Radio Sci. 2003, 38, 8079. [Google Scholar] [CrossRef]
- Battaglia, A.; Saavedra, P.; Rose, T.; Simmer, C. Characterization of precipitating clouds by ground-based measurements with the triple-frequency polarized microwave radiometer ADMIRARI. J. Appl. Meteorol. 2010, 49, 394–414. [Google Scholar] [CrossRef]
- Cadeddu, M.P.; Marchand, R.; Orlandi, E.; Turner, D.D.; Mech, M. Microwave passive ground-based retrievals of cloud and rain liquid water path in drizzling clouds: Challenges and possibilities. IEEE Trans. Geosci. Remote Sens. 2017, 55, 6468–6481. [Google Scholar] [CrossRef]
- Bai, T.; Ding, J.; Liu, Y.; Wu, Y. Application of Microwave Radiometer in Monitoring Water Vapor Characteristics and Precipitation Analysis. Meteorol. Environ. Sci. 2021, 44, 102–107. [Google Scholar]
- Zhou, Y. Retrieval of Atmospheric Temperature and Humidity Profiles by Ground Based Multi-Channel Microwave Sounders. Grad. Sch. Chin. Acad. Sci. 2010. Available online: http://dpaper.las.ac.cn/Dpaper/detail/detailNew?paperID=20103183 (accessed on 11 July 2024).
- Yujing, H.; Fei, C.; Zhen, Z.; Yunwu, Z. Assessment and Characteristics of MP-3000A Ground-Based Microwave Radiometer. Meteorol. Mon. 2015, 41, 226–233. [Google Scholar]
- Xu, G.; Zhang, W.; Wan, X.; Wang, B.; Leng, L.; Zhou, L.; Wan, R. Analysis on atmospheric profiles retrieved from microwave radiometer observation at Ganzi in the eastern Qinghai-Tibet Plateau. Torrential Rain Disasters 2019, 38, 238–248. [Google Scholar]
- Tao, R.; Jia-Feng, Z.; Li-Ping, L.; Minglong, Z.; Shaojie, C.; Jingshu, H.; Jianjie, L. Retrieval of supercooled water in convective clouds over Nagqu of the Tibetan Plateau using millimeter-wave radar measurements. J. Infrared Millim. Waves 2022, 41, 831–843. [Google Scholar]









| No. | Date | Start and Finish Time | No. | Date | Start and Finish Time |
|---|---|---|---|---|---|
| 1 | 2–3 September 2021 | 23:05–07:08 | 34 | 20 June 2022 | 09:49–11:18 |
| 2 | 4–5 September 2021 | 25:50–11:04 | 35 | 21 June 2022 | 20:10–21:59 |
| 3 | 6 September 2021 | 01:08–04:00 | 36 | 25–26 June 2022 | 13:17–08:03 |
| 4 | 8 September 2021 | 17:04–17:38 | 37 | 1 July 2022 | 01:59–06:49 |
| 5 | 13–14 September 2021 | 20:07–03:12 | 38 | 3 July 2022 | 19:37–20:52 |
| 6 | 14–15 September 2021 | 22:52–07:36 | 39 | 4 July 2022 | 09:38–14:46 |
| 7 | 16 September 2021 | 02:34–04:00 | 40 | 8–9 July 2022 | 15:18–03:57 |
| 8 | 16–17 September 2021 | 23:53–06:38 | 41 | 9 July 2022 | 21:13–21:44 |
| 9 | 18 September 2021 | 01:43–20:19 | 42 | 11 July 2022 | 03:50–06:25 |
| 10 | 22 September 2021 | 08:36–11:50 | 43 | 11–12 July 2022 | 20:08–07:31 |
| 11 | 24 September 2021 | 06:10–10:40 | 44 | 15–16 July 2022 | 00:55–10:06 |
| 12 | 26 September 2021 | 18:27–09:12 | 45 | 17 July 2022 | 16:11–19:13 |
| 13 | 3 October 2021 | 18:11–23:08 | 46 | 18–19 July 2022 | 14:40–04:43 |
| 14 | 5–6 October 2021 | 23:45–03:11 | 47 | 19 July 2022 | 15:38–15:53 |
| 15 | 7–8 October 2021 | 20:08–06:03 | 48 | 21 July 2022 | 05:03–16:06 |
| 16 | 9 October 2021 | 19:24–22:28 | 49 | 26 July 2022 | 20:18–20:39 |
| 17 | 13 October 2021 | 07:07–20:06 | 50 | 31 July 2022 | 19:03–23:13 |
| 18 | 19 October 2021 | 03:54–20:53 | 51 | 3–4 August 2022 | 18:36–13:41 |
| 19 | 20 October 2021 | 02:28–12:59 | 52 | 9 August 2022 | 09:11–09:49 |
| 20 | 22 October 2021 | 08:31–07:10 | 53 | 9–10 August 2022 | 23:18–04:15 |
| 21 | 26 October 2021 | 06:05–09:14 | 54 | 13–14 August 2022 | 20:58–16:06 |
| 22 | 1 November 2021 | 23:05–08:25 | 55 | 15 August 2022 | 05:53–10:18 |
| 23 | 15 April 2022 | 07:41–09:00 | 56 | 17–18 August 2022 | 23:34–02:11 |
| 24 | 30 April 2022 | 00:27–06:00 | 57 | 20 August 2022 | 21:34–22:57 |
| 25 | 1 May 2022 | 06:57–10:56 | 58 | 21 August 2022 | 05:21–07:00 |
| 26 | 29 May 2022 | 03:10–05:18 | 59 | 21–22 August 2022 | 19:10–03:31 |
| 27 | 3 June 2022 | 03:10–12:08 | 60 | 22–23 August 2022 | 20:30–06:28 |
| 28 | 5–6 June 2022 | 20:53–06:12 | 61 | 24 August 2022 | 10:42–17:41 |
| 29 | 7 June 2022 | 00:58–03:51 | 62 | 25 August 2022 | 01:54–03:40 |
| 30 | 8–9 June 2022 | 21:06–00:14 | 63 | 27–28 August 2022 | 19:31–04:42 |
| 31 | 9 June 2022 | 17:24–20:01 | 64 | 29 August 2022 | 06:30–10:16 |
| 32 | 11 June 2022 | 16:05–17:33 | 65 | 31 August 2022 | 03:45–09:22 |
| 33 | 12 June 2022 | 14:31–15:39 |
| PWV | LWP | |
|---|---|---|
| Annual | 30.90 (±10.43) | 2.17 (±2.12) |
| Summer | 33.47 (±10.54) | 2.54 (±2.39) |
| Autumn | 27.17 (±5.49) | 1.51 (±1.09) |
Disclaimer/Publisher’s Note: The statements, opinions and data contained in all publications are solely those of the individual author(s) and contributor(s) and not of MDPI and/or the editor(s). MDPI and/or the editor(s) disclaim responsibility for any injury to people or property resulting from any ideas, methods, instructions or products referred to in the content. |
© 2024 by the authors. Licensee MDPI, Basel, Switzerland. This article is an open access article distributed under the terms and conditions of the Creative Commons Attribution (CC BY) license (https://creativecommons.org/licenses/by/4.0/).
Share and Cite
Xue, M.; Li, Q.; Qiao, Z.; Zhu, X.; Tysa, S.K. Analysis of Precipitable Water Vapor, Liquid Water Path and Their Variations before Rainfall Event over Northeastern Tibetan Plateau. Atmosphere 2024, 15, 934. https://doi.org/10.3390/atmos15080934
Xue M, Li Q, Qiao Z, Zhu X, Tysa SK. Analysis of Precipitable Water Vapor, Liquid Water Path and Their Variations before Rainfall Event over Northeastern Tibetan Plateau. Atmosphere. 2024; 15(8):934. https://doi.org/10.3390/atmos15080934
Chicago/Turabian StyleXue, Mingxing, Qiong Li, Zhen Qiao, Xiaomei Zhu, and Suonam Kealdrup Tysa. 2024. "Analysis of Precipitable Water Vapor, Liquid Water Path and Their Variations before Rainfall Event over Northeastern Tibetan Plateau" Atmosphere 15, no. 8: 934. https://doi.org/10.3390/atmos15080934
APA StyleXue, M., Li, Q., Qiao, Z., Zhu, X., & Tysa, S. K. (2024). Analysis of Precipitable Water Vapor, Liquid Water Path and Their Variations before Rainfall Event over Northeastern Tibetan Plateau. Atmosphere, 15(8), 934. https://doi.org/10.3390/atmos15080934
