Characteristics of Atmospheric Diabatic Heating of the Southwest China Vortex That Induces Extreme Rainstorms in Sichuan
Abstract
1. Introduction
2. Data and Methods
2.1. Data
2.2. Calculation Methods
2.3. Dynamic Synthesis Method
2.4. Case Selection
- (1)
- The daily rainfall (12–12 or 00–00 h) at one station in 156 countries is ≥250 mm, i.e., an extreme rainstorm case. When it occurs at the same time at 12–12 and 00–00 h, the maximum rainfall period is counted as an individual case, and this condition represents an extreme rainstorm case.
- (2)
- The SWCV appeared before the extreme rainstorm, and, during the period of the extreme rainstorm, the SWCV appeared more than 12 consecutive times in the reanalysis data at 1 h intervals. Moreover, at least one station with more than 250 mm of precipitation was within 200 km of the center of the SWCV.
3. Statistical Characteristics of SWCV
3.1. Analysis of Rainfall Characteristics
3.2. Analysis of Circulation Background Characteristics
4. Distribution Characteristics of Diabatic Heating
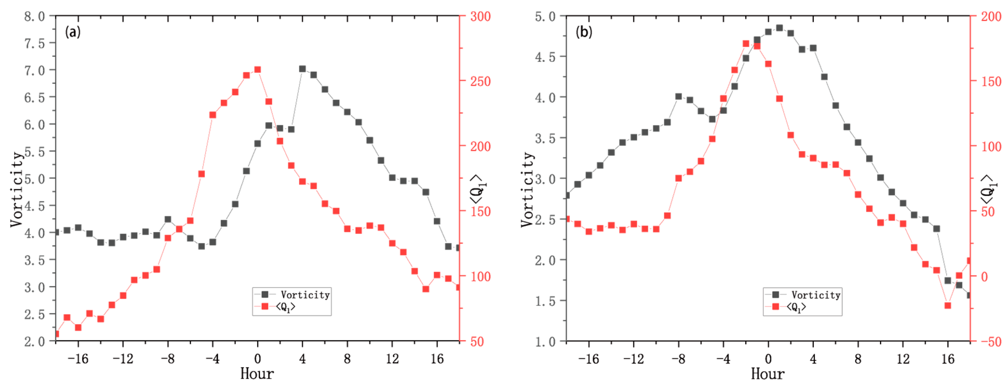
4.1. Evolution of Diabatic Heating
4.2. Horizontal Distribution of Diabatic Heating
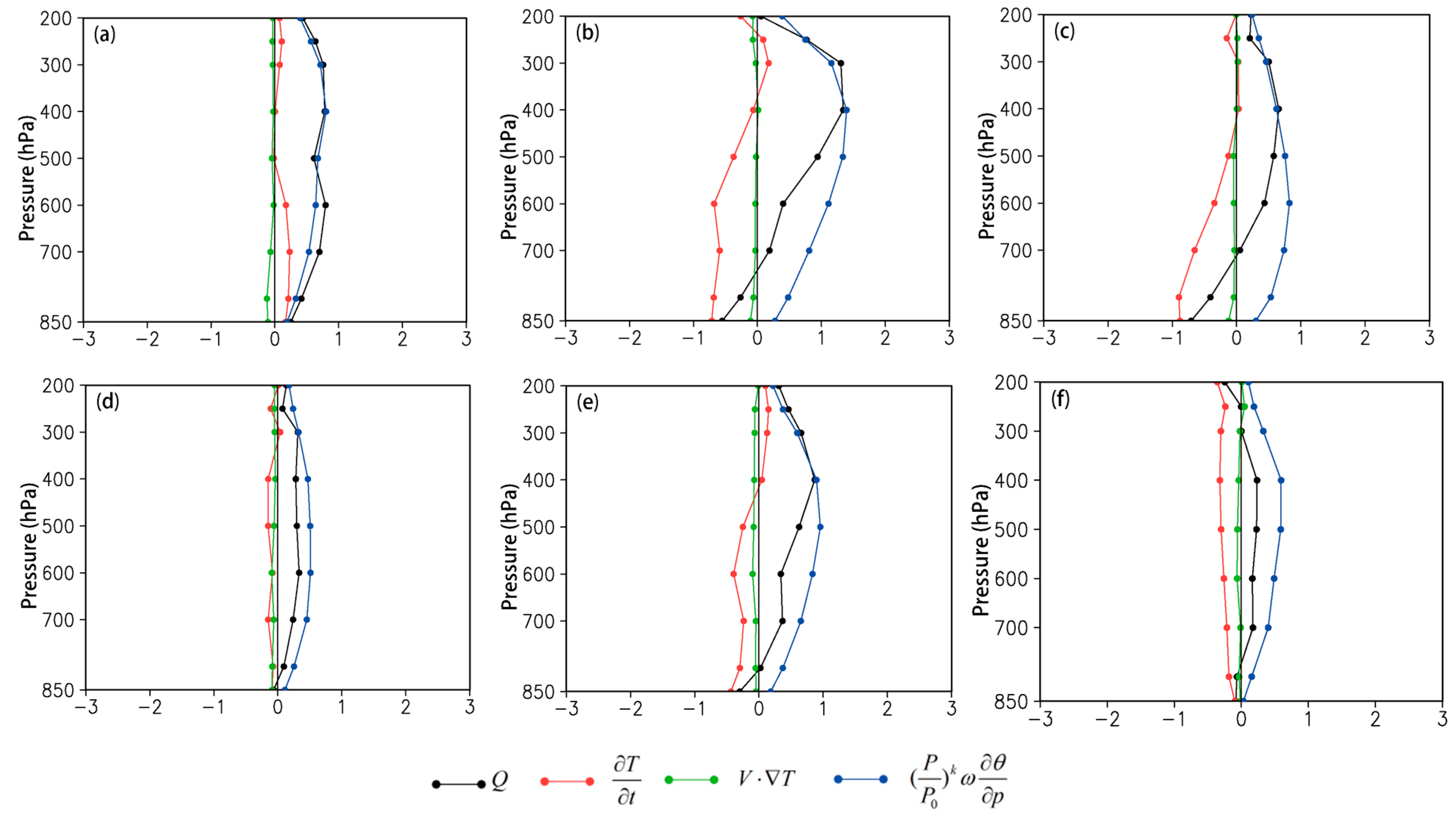
4.3. Vertical Distribution of Diabatic Heating Rate
4.4. Diabatic Heating Rate Components
5. Effect of Non-Uniform Heating for the SWCV
5.1. Effect of Spatially Non-Uniform Heating
5.2. Effect of Vertically Non-Uniform Heating
5.3. Effect of Horizontally Non-Uniform Heating
6. Conclusions and Discussion
- (1)
- The maximum precipitation centers were all within 150 km of the SWCV’s center; 50% were located in the southeastern quadrant and 31% were located in the northeastern quadrant. The eastern half of the SWCV was the primary area of maximum precipitation in terms of the extreme rainstorm weather caused by the SWCV; this demonstrates the asymmetry in the distribution of the extreme precipitation caused by the SWCV.
- (2)
- The variation in atmospheric diabatic heating was consistent with the intensity of the SWCV and precipitation; however, the sharp increase (decrease) in diabatic heating was faster than the increase (decrease) in the positive vorticity. The vertically integrated diabatic heating was the strongest in the vital stage of the extreme rainstorms caused by the SWCV. The large-value area of the “western type” was located in the center and northeast of the SWCV, and the large-value area of the “eastern type” was located in the southwestern airflow to the east of the Southwest China vortex.
- (3)
- In the vital stage, the SWCV developed vertically with the height, and its center showed a vertical structure that tilted towards the northwest with the height. The diabatic heating rates above the two types of SWCV were positive, with the highest heating rate in the vital stage. The range, intensity, and height of the heating rate of the “western type” were greater than those of the “eastern type”. The variation in the diabatic heating rate was mainly due to vertical transportation.
- (4)
- The spatially non-uniform heating effects had similarities and were the strongest heating effects in the vital stage. The heating effect resulted in a high-value area in the “western type” located to the southeast of the SWCV, showing an asymmetric distribution on both the southeastern and northwestern sides. The heating effect resulted in a high-value area in the “eastern type” located to the northeast of the SWCV, showing an asymmetric distribution on both the northeastern and southwestern sides. The heating effect’s positive value area corresponded to the heavy precipitation area.
- (5)
- The vertically non-uniform heating term plays a decisive role in the distribution and evolution of the spatially non-uniform heating term. The vertically non-uniform heating effect affects the intensity evolution of the SWCV, the horizontally non-uniform heating effect was weaker than the vertically non-uniform heating effect, and the effect was the opposite.
Author Contributions
Funding
Institutional Review Board Statement
Informed Consent Statement
Data Availability Statement
Conflicts of Interest
References
- Zhu, Q.G.; Lin, J.R.; Shou, S.W.; Tang, D.S. Principles and Methods of Weather, 4th ed.; Meteorological Press: Beijing, China, 2000; pp. 371–374. [Google Scholar]
- Wang, Z.S.; Wang, Y.H.; Liang, Y.G. The numeric experiment research on a Southwest Vortex rainstorm. The Research on Rainstorm Science, Professional Experiment and the Theory Research on Weather Dynamics; Meteorological Press: Beijing, China, 1996; pp. 257–267. [Google Scholar]
- Wang, B.; Orlanski, I. Study of a heavy rain vortex formed over the eastern Flank of the Tibetan Plateau. Mon. Weather Rev. 1987, 115, 147–157. [Google Scholar] [CrossRef][Green Version]
- Luo, Y.L.; Wu, M.W.; Ren, F.M.; Wong, W.K. Synoptic situations of extreme hourly precipitation over China. J. Clim. 2016, 29, 8703–8719. [Google Scholar] [CrossRef]
- Jian, L.; Chen, H.M.; Rong, X.Y.; Su, J.Z.; Xin, Y.F.; Furtado, K.; Milton, S.; Li, N.N. How well can a climate model simulate an extreme precipitation event: A case study using the transpose-AMIP experiment. J. Clim. 2018, 31, 6543–6556. [Google Scholar] [CrossRef]
- Chen, Y.R.; Li, Y.Q. A thermodynamic condition affecting the movement of a southwest China vortex case. Meteorol. Atmos. Phys. 2022, 134, 36. [Google Scholar] [CrossRef]
- Li, C.; Li, Y.; Fu, S.M.; Jiang, X.W.; Wang, X.F.; Li, S.S.; Cui, C.G.; Hu, Y.; Cui, W.J. A new perspective on the orographic effect of the windward slope on the multi-scale eastward-Moving southwest vortex systems. Atmos. Res. 2022, 279, 106365. [Google Scholar] [CrossRef]
- Wang, X.M.; Liu, Y. Causes of extreme rainfall in May 2013 over Henan Province: The role of the southwest vortex and low-level jet. Theor. Appl. Clim. 2017, 129, 701–709. [Google Scholar] [CrossRef]
- Chen, Y.R.; Li, Y.Q.; Zhao, T.-L. Cause analysis on eastward movement of Southwest China Vortex and its induced heavy rainfall in South China. Adv. Meteorol. 2015, 2015, 481735. [Google Scholar] [CrossRef]
- Feng, X.Y.; Liu, C.H.; Fan, G.Z.; Liu, X.D.; Feng, C.Y. Climatology and structures of Southwest in the NCEP climate forecast system reanalysis. J. Clim. 2016, 29, 7675–7701. [Google Scholar] [CrossRef]
- Lu, P.; Zheng, W.P.; Li, Y.Q. Comparison of the movement and vertical structures of two types of the southwest vortex. Meteorol. Atmos. Phys. 2020, 132, 571–581. [Google Scholar] [CrossRef]
- Xiang, S.Y.; Li, Y.Q.; Zhai, S.X.; Peng, J. Comparative analysis of precipitation structures in two Southwest China vortex events over eastern Sichuan Basin by TRMM. J. Atmos. Terr. Phys. 2021, 221, 105691. [Google Scholar] [CrossRef]
- Xiang, J.; Wang, H.; Li, Z.; Bu, Z.C.; Yang, R.; Liu, Z.H. Case study on the evolution and precipitation characteristics of Southwest Vortex in China: Insights from FY-4A and GPM observations. Remote Sens. 2023, 15, 4114. [Google Scholar] [CrossRef]
- Zhou, W.L.; Li, Y.Q.; Liu, C.; Peng, J.K. Physical Mechanism of the Development and Extinction of the China Southwest Vortex. Atmosphere 2023, 14, 337. [Google Scholar] [CrossRef]
- Yao, X.P.; Liu, Q.H.; Zhang, S.; Ma, J.L. Mechanism of atmospheric diabatic heating effect on the intensity of zonal shear line over the Tibetan Plateau in Boreal summer. J. Geophys. Res. 2021, 126, e2021JD034840. [Google Scholar] [CrossRef]
- Zhao, Y.C.; Park, C.; Son, S.W. Importance of diabatic heating for the Eastward-moving heavy rainfall events along the Yangtze river, China. J. Atmos. Sci. 2023, 80, 151–165. [Google Scholar] [CrossRef]
- Hu, Y.; Deng, Y.; Lin, Y.L.; Zhou, Z.M.; Cui, C.G.; Li, C.; Dong, X.Q. Indirect effect of diabatic heating on Mei-yu frontogenesis. Clim. Dyn. 2022, 59, 851–868. [Google Scholar] [CrossRef]
- Li, G.P.; Wang, J.; Lu, J.H. A potential mechanism of the warm vortex genesis in Southwest China. J. Appl. Meteorol. Sci. 1991, 2, 91–99. [Google Scholar]
- Zhang, Z.T.; Lin, M.Y.; Qi, P.; Chen, S.Z.; Wang, H.C. Numerical simulation about thermal forcing effect on Southwest vortex’s developing mechanism. Arid Meteorol. 2016, 34, 533–539. [Google Scholar] [CrossRef]
- Zhai, D.H.; Kong, F.Y.; Dai, Z.J.; Gao, S.; Deng, C.Z.; Zhang, Y. Analysis of deep convective towers in a Southwest-vortex rainstorm event. J. Trop. Meteorol. 2021, 27, 177–190. [Google Scholar] [CrossRef]
- Yang, P.; Yu, R.C.; Li, J. A case study on the role of water vapor from Southwest China in downstream heavy rainfall. Adv. Atmos. Sci. 2008, 25, 563–576. [Google Scholar] [CrossRef]
- Deng, C.Z.; Zhao, Y.; Kong, F.Y.; Zhai, D.H.; Li, Q.; He, Y. A numerical simulation study of the Southwest vortex mechanism during the “6.30” heavy rain event in Sichuan and Chongqing. Plateau Meteorol. 2021, 40, 85–97. [Google Scholar] [CrossRef]
- Zhou, C.H.; Xiao, D.X.; Chen, C.P. Characteristics of Southwest Vortex during Two Consecutive Heavy Rains in Western Sichuan Basin. Plateau Mt. Meteorol. Res. 2023, 43, 26–33. [Google Scholar] [CrossRef]
- Xiao, D.X.; Yang, K.Q.; Yu, X.D.; Wang, J.J. Characteristics analyses of extreme rainstorm events in Sichuan Basin. Meteorol. Mon. 2017, 43, 1165–1175. [Google Scholar] [CrossRef]
- Zhou, C.H.; Xiao, D.X.; Yu, S.H. Circulation background and structural characteristics of the extreme rainstorm induced by the Southwest vortex in Sichuan. Meteorol. Mon. 2022, 48, 1577–1589. [Google Scholar] [CrossRef]
- Yanai, M.; Esbensen, S.; Chu, J.H. Determination of bulk properties of tropical cloud clusters from large-scale heat and moisture budgets. J. Atmos. Sci. 1973, 30, 611–627. [Google Scholar] [CrossRef]
- Liu, Y.M.; Wu, G.X.; Liu, H.; Liu, P. The effect of spatially nonuniform heating the formation and variation of subtropical high part III: Condensation heating and South Asia high and western pacific subtropical high. Acta Meteorol. Sin. 1999, 57, 525–538. [Google Scholar] [CrossRef]
- Wu, G.X.; Liu, Y.M.; Liu, P. The effect of spatially nonuniform heating on the formation and variation of subtropical high Ⅰ: Scale Analysis. Acta Meteorol. Sin. 1999, 57, 257–263. [Google Scholar] [CrossRef]
- Gray, W.M. Recent Advances in Tropical Cyclone Research from Rawinsonde Composite Analysis; WMO Programme on Research in Tropical Meteorology: Fort Collins, CO, USA, 1981; p. 407. [Google Scholar]
- Gao, L.; Li, J.P. Impacts and mechanism of diabatic heating on atmospheric perturbation potential energy. Chin. J. Geophys. 2013, 56, 3255–3269. [Google Scholar] [CrossRef]












| Initiation Stage (UTC) | Vital Stage (UTC) | End Stage (UTC) | Initiation Stage (UTC) | Vital Stage (UTC) | End Stage (UTC) | ||
|---|---|---|---|---|---|---|---|
| Western type | 1981071212 | 1981071300 | 1981071312 | Eastern type | 1989060600 | 1989060621 | 1989060700 |
| 1984062312 | 1981062318 | 1984062412 | 1989070800 | 1989070812 | 1989070900 | ||
| 1984070112 | 1984070117 | 1984070212 | 1991062912 | 1991062917 | 1991063012 | ||
| 1987070900 | 1987070906 | 1987071000 | 2004090312 | 2004090318 | 2004090412 | ||
| 1998070500 | 1998070502 | 1998070600 | 2010071612 | 2010071616 | 2010071712 | ||
| 2013070812 | 2013070819 | 2013070912 | 2014080812 | 2014080817 | 2014080612 | ||
| 2020081512 | 2020081518 | 2020081612 | 2014091212 | 2014091301 | 2014091312 | ||
| 2017070512 | 2017070517 | 2017070612 | |||||
| 2021080712 | 2021080719 | 2021080812 |
Disclaimer/Publisher’s Note: The statements, opinions and data contained in all publications are solely those of the individual author(s) and contributor(s) and not of MDPI and/or the editor(s). MDPI and/or the editor(s) disclaim responsibility for any injury to people or property resulting from any ideas, methods, instructions or products referred to in the content. |
© 2024 by the authors. Licensee MDPI, Basel, Switzerland. This article is an open access article distributed under the terms and conditions of the Creative Commons Attribution (CC BY) license (https://creativecommons.org/licenses/by/4.0/).
Share and Cite
Zhou, C.; Li, Y. Characteristics of Atmospheric Diabatic Heating of the Southwest China Vortex That Induces Extreme Rainstorms in Sichuan. Atmosphere 2024, 15, 861. https://doi.org/10.3390/atmos15070861
Zhou C, Li Y. Characteristics of Atmospheric Diabatic Heating of the Southwest China Vortex That Induces Extreme Rainstorms in Sichuan. Atmosphere. 2024; 15(7):861. https://doi.org/10.3390/atmos15070861
Chicago/Turabian StyleZhou, Chunhua, and Yueqing Li. 2024. "Characteristics of Atmospheric Diabatic Heating of the Southwest China Vortex That Induces Extreme Rainstorms in Sichuan" Atmosphere 15, no. 7: 861. https://doi.org/10.3390/atmos15070861
APA StyleZhou, C., & Li, Y. (2024). Characteristics of Atmospheric Diabatic Heating of the Southwest China Vortex That Induces Extreme Rainstorms in Sichuan. Atmosphere, 15(7), 861. https://doi.org/10.3390/atmos15070861

