Understanding the Dynamics of Source-Apportioned Black Carbon in an Urban Background Environment
Abstract
1. Introduction
2. Materials and Methods
2.1. Site Description
2.2. Black Carbon Mass Concentration and Source Apportionment
2.3. HYSPLIT Model and MODIS Satellite Data
2.4. Conditional Probability Field (CPF) Analysis
3. Results and Discussion
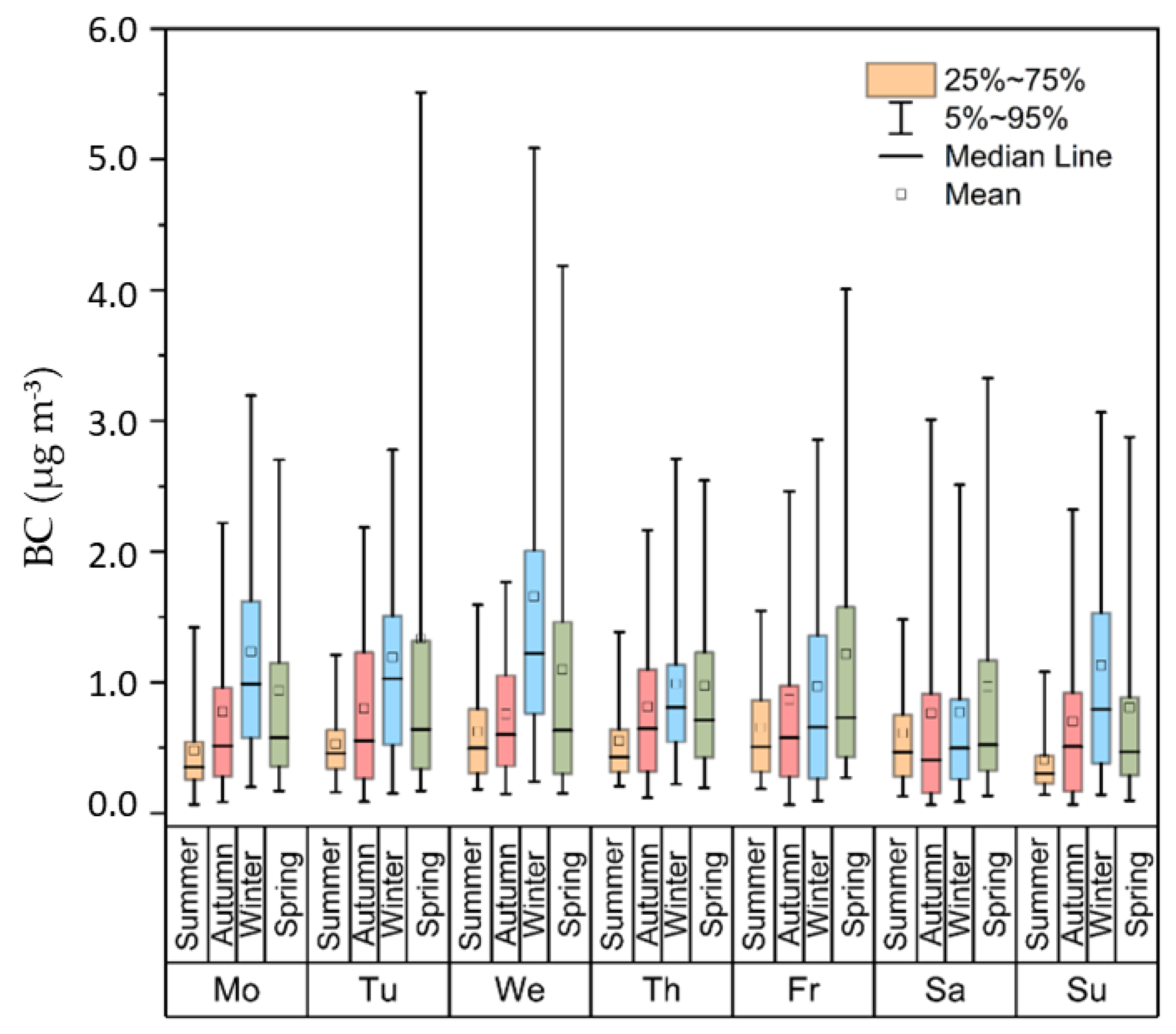
3.1. Temporal Variation of BC and Source Apportionment
| Place (Environment) | Time Period | Concentration (μg m−3) | Reference |
|---|---|---|---|
| Vilnius, Lithuania (UB) | 6/2021–5/2022 | 0.89 | This study |
| Madrid, Spain (urban site with traffic) Madrid, Spain (UB) Madrid, Spain (RB) | 2014–2015 | 3.70 2.33 2.61 | [49] |
| National Atmospheric Observatory Kosetice (NAOK), Czech Republic (RB) | 2013 | 0.99 | [27] |
| 2014 | 0.84 | ||
| 2015 | 0.64 | ||
| 2016 | 0.58 | ||
| 2017 | 0.65 | ||
| Zabrze, southern Poland (UB) | 4/2019–3/2020 | 3.22 | [11] |
| Amsterdam, Netherlands (UB) | 1–7/2013 | 1.09 | [50] |
| Rotterdam, Netherlands (UB) | 1–7/2013 | 1.10 | |
| Jinan, China (UB) | 9–11/2018 | 3.6 | [51] |
| 12/2018–1/2019 | 5.8 | ||
| Wanzhou District, China (UB) | 6/2013–2/2018 | 4.4 | [26] |
| Sofia, Bulgaria (UB) | 10/2020 | 2.4 | [28] |
| 1/2021 | 3.6 | ||
| Helsinki, Finland (UB) Helsinki, Finland (SUB) | 10/2015–5/2017 12/2015–12/2016 1/2017–5/2017 | 1.69 0.88 1.04 | [10] |
| Paris, France (UB) | 5/2012–12/2018 Autumn | 0.34 | [52] |
| Winter | 0.32 | ||
| Spring | 0.24 | ||
| Summer | 0.25 |
3.2. Analysis of Meteorological Variables
3.3. Analysis of the High BC Mass Concentration Events
4. Conclusions
Author Contributions
Funding
Institutional Review Board Statement
Informed Consent Statement
Data Availability Statement
Acknowledgments
Conflicts of Interest
References
- Hansen, A.; Rosen, H.; Novakov, T. The aethalometer—An instrument for the real-time measurement of optical absorption by aerosol particles. Sci. Total Environ. 1984, 36, 191–196. [Google Scholar] [CrossRef]
- Rosen, H.; Novakov, T. Optical transmission through aerosol deposits on diffusely reflective filters: A method for measuring the absorbing component of aerosol particles. Appl. Opt. 1983, 22, 1265–1267. [Google Scholar] [CrossRef] [PubMed]
- European Environment Agency. Air Quality in Europe 2021; EEA Report No 15/2021; No. 09. Available online: https://www.eea.europa.eu/publications/air-quality-in-europe-2021 (accessed on 7 July 2024).
- U.S. EPA. Report to Congress on Black Carbon. Department of Interior, Environment and Related Agencies Appropriations Act, 2010. No. March. 2012; p. 388. Available online: https://www3.epa.gov/airquality/blackcarbon/2012report/fullreport.pdf (accessed on 7 July 2024).
- Brehmer, C.; Norris, C.; Barkjohn, K.K.; Bergin, M.H.; Zhang, J.; Cui, X.; Teng, Y.; Zhang, Y.; Black, M.; Li, Z.; et al. The impact of household air cleaners on the oxidative potential of PM2.5 and the role of metals and sources associated with indoor and outdoor exposure. Environ. Res. 2020, 181, 108919. [Google Scholar] [CrossRef] [PubMed]
- Pani, S.K.; Wang, S.-H.; Lin, N.-H.; Chantara, S.; Lee, C.-T.; Thepnuan, D. Black carbon over an urban atmosphere in northern peninsular Southeast Asia: Characteristics, source apportionment, and associated health risks. Environ. Pollut. 2020, 259, 113871. [Google Scholar] [CrossRef] [PubMed]
- Cunha-Lopes, I.; Martins, V.; Faria, T.; Correia, C.; Almeida, S. Children’s exposure to sized-fractioned particulate matter and black carbon in an urban environment. J. Affect. Disord. 2019, 155, 187–194. [Google Scholar] [CrossRef]
- Raju, M.; Safai, P.; Sonbawne, S.; Buchunde, P.; Pandithurai, G.; Dani, K. Black carbon aerosols over a high altitude station, Mahabaleshwar: Radiative forcing and source apportionment. Atmospheric Pollut. Res. 2020, 11, 1408–1417. [Google Scholar] [CrossRef]
- Suglia, S.F.; Gryparis, A.; Schwartz, J.; Wright, R.J. Association of Black Carbon with Cognition among Children in a Prospective Birth Cohort Study. Am. J. Epidemiol. 2008, 167, 280–286. [Google Scholar] [CrossRef] [PubMed]
- Helin, A.; Niemi, J.V.; Virkkula, A.; Pirjola, L.; Teinilä, K.; Backman, J.; Aurela, M.; Saarikoski, S.; Rönkkö, T.; Asmi, E.; et al. Characteristics and source apportionment of black carbon in the Helsinki metropolitan area, Finland. Atmos. Environ. 2018, 190, 87–98. [Google Scholar] [CrossRef]
- Zioła, N.; Błaszczak, B.; Klejnowski, K. Temporal Variability of Equivalent Black Carbon Components in Atmospheric Air in Southern Poland. Atmosphere 2021, 12, 119. [Google Scholar] [CrossRef]
- Adam, M.G.; Chiang, A.W.J.; Balasubramanian, R. Insights into characteristics of light absorbing carbonaceous aerosols over an urban location in Southeast Asia. Environ. Pollut. 2020, 257, 113425. [Google Scholar] [CrossRef] [PubMed]
- Liu, X.; Hadiatullah, H.; Khedr, M.; Zhang, X.; Schnelle-Kreis, J.; Zimmermann, R.; Adam, T. Personal exposure to various size fractions of ambient particulate matter during the heating and non-heating periods using mobile monitoring approach: A case study in Augsburg, Germany. Atmos. Pollut. Res. 2022, 13, 101483. [Google Scholar] [CrossRef]
- European Environment. European Environment Agency, Air Quality in Europe—2019 Report; No. 9; 2019. Available online: https://www.eea.europa.eu/publications/air-quality-in-europe-2019 (accessed on 6 July 2024).
- Saarikoski, S.; Niemi, J.V.; Aurela, M.; Pirjola, L.; Kousa, A.; Rönkkö, T.; Timonen, H. Sources of black carbon at residential and traffic environments obtained by two source apportionment methods. Atmos. Chem. Phys. 2021, 21, 14851–14869. [Google Scholar] [CrossRef]
- Liu, H.; Wang, Q.; Xing, L.; Zhang, Y.; Zhang, T.; Ran, W.; Cao, J. Measurement report: Quantifying source contribution and radiative forcing of fossil fuel and biomass burning black carbon aerosol in the southeastern margin of Tibetan Plateau. Atmos. Chem. Phys. Discuss. 2021, 21, 973–987. [Google Scholar] [CrossRef]
- Zhao, W.; Zhang, X.; Zhai, L.; Shen, X.; Xu, J. Chemical characterization and sources of submicron aerosols in Lhasa on the Qinghai–Tibet Plateau: Insights from high-resolution mass spectrometry. Sci. Total Environ. 2022, 815, 152866. [Google Scholar] [CrossRef] [PubMed]
- An, Y.; Xu, J.; Feng, L.; Zhang, X.; Liu, Y.; Kang, S.; Jiang, B.; Liao, Y. Molecular characterization of organic aerosol in the Himalayas: Insight from ultra-high-resolution mass spectrometry. Atmos. Chem. Phys. 2019, 19, 1115–1128. [Google Scholar] [CrossRef]
- Zhang, X.; Zhu, Z.; Cao, F.; Tiwari, S.; Chen, B. Source apportionment of absorption enhancement of black carbon in different environments of China. Sci. Total Environ. 2021, 755, 142685. [Google Scholar] [CrossRef] [PubMed]
- Jiang, H.; Cai, J.; Feng, X.; Chen, Y.; Li, J.; Zhang, G. Sources and composition of elemental carbon during haze events in North China by a high time-resolved study. Sci. Total Environ. 2024, 907, 168055. [Google Scholar] [CrossRef] [PubMed]
- Ningombam, S.S.; Larson, E.; Indira, G.; Madhavan, B.; Khatri, P. Aerosol classification by application of machine learning spectral clustering algorithm. Atmos. Pollut. Res. 2024, 15, 102026. [Google Scholar] [CrossRef]
- Liu, S.; Wang, H.; Zhao, D.; Ke, Y.; Wu, Z.; Shen, L.; Zhao, T. Aircraft observations of aerosols and BC in autumn over Guangxi Province, China: Diurnal variation, vertical distribution and source appointment. Sci. Total Environ. 2024, 906, 167550. [Google Scholar] [CrossRef] [PubMed]
- Davulienė, L.; Janicka, L.; Minderytė, A.; Kalinauskaitė, A.; Poczta, P.; Karasewicz, M.; Hafiz, A.; Pashneva, D.; Dudoitis, V.; Kandrotaitė, K.; et al. Synergic use of in-situ and remote sensing techniques for comprehensive characterization of aerosol optical and microphysical properties. Sci. Total Environ. 2024, 906, 167585. [Google Scholar] [CrossRef] [PubMed]
- Krecl, P.; Cipoli, Y.A.; Targino, A.C.; Toloto, M.d.O.; Segersson, D.; Parra, A.; Polezer, G.; Godoi, R.H.M.; Gidhagen, L. Modelling urban cyclists’ exposure to black carbon particles using high spatiotemporal data: A statistical approach. Sci. Total Environ. 2019, 679, 115–125. [Google Scholar] [CrossRef] [PubMed]
- Kamińska, J.A.; Turek, T.; Van Poppel, M.; Peters, J.; Hofman, J.; Kazak, J.K. Whether cycling around the city is in fact healthy in the light of air quality—Results of black carbon. J. Environ. Manag. 2023, 337, 117694. [Google Scholar] [CrossRef] [PubMed]
- Huang, Y.; Zhang, L.; Qiu, Y.; Chen, Y.; Shi, G.; Li, T.; Zhang, L.; Yang, F. Five-year Record of Black Carbon Concentrations in Urban Wanzhou, Sichuan Basin, China. Aerosol Air Qual. Res. 2020, 20, 1282–1293. [Google Scholar] [CrossRef]
- Mbengue, S.; Serfozo, N.; Schwarz, J.; Ziková, N.; Šmejkalová, A.H.; Holoubek, I. Characterization of Equivalent Black Carbon at a regional background site in Central Europe: Variability and source apportionment☆. Environ. Pollut. 2020, 260, 113771. [Google Scholar] [CrossRef] [PubMed]
- Hristova, E.; Georgieva, E.; Veleva, B.; Neykova, N.; Naydenova, S.; Gonsalvesh-Musakova, L.; Neykova, R.; Petrov, A. Black Carbon in Bulgaria—Observed and Modelled Concentrations in Two Cities for Two Months. Atmosphere 2022, 13, 213. [Google Scholar] [CrossRef]
- Tang, R.; Zhang, X.; Li, Y.; Tan, Y. Distinct black carbon at two roadside sites in Yantai: Temporal variations and influencing factors. Urban Clim. 2022, 44, 101182. [Google Scholar] [CrossRef]
- Tesfaldet, Y.T.; Chanpiwat, P. The effects of meteorology and biomass burning on urban air quality: The case of Bangkok. Urban Clim. 2023, 49, 101441. [Google Scholar] [CrossRef]
- Mandin, C.; Trantallidi, M.; Cattaneo, A.; Canha, N.; Mihucz, V.G.; Szigeti, T.; Mabilia, R.; Perreca, E.; Spinazzè, A.; Fossati, S.; et al. Assessment of indoor air quality in office buildings across Europe—The OFFICAIR study. Sci. Total Environ. 2017, 579, 169–178. [Google Scholar] [CrossRef] [PubMed]
- Alfoldy, B.; Gregorič, A.; Ivančič, M.; Ježek, I.; Rigler, M. Source apportionment of black carbon and combustion-related CO2 for the determination of source-specific emission factors. Atmos. Meas. Tech. 2023, 16, 135–152. [Google Scholar] [CrossRef]
- Kalbarczyk, R.; Kalbarczyk, E. Meteorological conditions of the winter-time distribution of nitrogen oxides in Poznan: A proposal for a catalog of the pollutants variation. Urban Clim. 2020, 33, 100649. [Google Scholar] [CrossRef]
- World Health Organization. Review of Evidence on Health Aspects of Air Pollution—REVIHAAP Project. Technical Report. World Health Organization Regional Office for Europe 2013. Available online: https://www.who.int/europe/publications/i/item/WHO-EURO-2013-4101-43860-61757 (accessed on 6 July 2024).
- Gani, S.; Chambliss, S.E.; Messier, K.P.; Lunden, M.M.; Apte, J.S. Spatiotemporal profiles of ultrafine particles differ from other traffic-related air pollutants: Lessons from long-term measurements at fixed sites and mobile monitoring. Environ. Sci. Atmos. 2021, 1, 558–568. [Google Scholar] [CrossRef]
- Alfoldy, B.; Mahfouz, M.M.; Gregorič, A.; Ivančič, M.; Ježek, I.; Rigler, M. Atmospheric concentrations and emission ratios of black carbon and nitrogen oxides in the Arabian/Persian Gulf region. Atmos. Environ. 2021, 256, 118451. [Google Scholar] [CrossRef]
- Janssen, N.A.H.; Hoek, G.; Simic-Lawson, M.; Fischer, P.; Van Bree, L.; ten Brink, H.; Keuken, M.; Atkinson, R.W.; Anderson, H.R.; Brunekreef, B.; et al. Black Carbon as an Additional Indicator of the Adverse Health Effects of Airborne Particles Compared with PM10 and PM2.5. Environ. Health Perspect. 2011, 119, 1691–1699. [Google Scholar] [CrossRef] [PubMed]
- Perez, N.; Pey, J.; Cusack, M.; Reche, C.; Querol, X.; Alastuey, A.; Viana, M. Variability of Particle Number, Black Carbon, and PM10, PM2.5, and PM1Levels and Speciation: Influence of Road Traffic Emissions on Urban Air Quality. Aerosol Sci. Technol. 2010, 44, 487–499. [Google Scholar] [CrossRef]
- Drinovec, L.; Močnik, G.; Zotter, P.; Prévôt, A.S.H.; Ruckstuhl, C.; Coz, E.; Rupakheti, M.; Sciare, J.; Müller, T.; Wiedensohler, A.; et al. The “dual-spot” Aethalometer: An improved measurement of aerosol black carbon with real-time loading compensation. Atmos. Meas. Tech. 2015, 8, 1965–1979. [Google Scholar] [CrossRef]
- Minderytė, A.; Pauraite, J.; Dudoitis, V.; Plauškaitė, K.; Kilikevičius, A.; Matijošius, J.; Rimkus, A.; Kilikevičienė, K.; Vainorius, D.; Byčenkienė, S. Carbonaceous aerosol source apportionment and assessment of transport-related pollution. Atmos. Environ. 2022, 279, 119043. [Google Scholar] [CrossRef]
- Sandradewi, J.; Prévôt, A.S.H.; Szidat, S.; Perron, N.; Alfarra, M.R.; Lanz, V.A.; Weingartner, E.; Baltensperger, U. Using Aerosol Light Absorption Measurements for the Quantitative Determination of Wood Burning and Traffic Emission Contributions to Particulate Matter. Environ. Sci. Technol. 2008, 42, 3316–3323. [Google Scholar] [CrossRef] [PubMed]
- Aerosol, D.O.O. Magee Scientific Aethalometer ® Manual. No. March. 2016. Available online: https://www.aerosol.eu%0Awww.magescientific.com (accessed on 6 July 2024).
- Ashbaugh, L.L.; Malm, W.C.; Sadeh, W.Z. A residence time probability analysis of sulfur concentrations at Grand Canyon National Park. Atmos. Environ. 1985, 19, 1263–1270. [Google Scholar] [CrossRef]
- Ning, Z.; Chan, K.; Wong, K.; Westerdahl, D.; Močnik, G.; Zhou, J.; Cheung, C. Black carbon mass size distributions of diesel exhaust and urban aerosols measured using differential mobility analyzer in tandem with Aethalometer. Atmos. Environ. 2013, 80, 31–40. [Google Scholar] [CrossRef]
- Liu, B.; Ma, Y.; Gong, W.; Zhang, M.; Shi, Y. The relationship between black carbon and atmospheric boundary layer height. Atmos. Pollut. Res. 2018, 10, 65–72. [Google Scholar] [CrossRef]
- Minderytė, A.; Ugboma, E.A.; Montoro, F.F.M.; Stachlewska, I.S.; Byčenkienė, S. Impact of long-range transport on black carbon source contribution and optical aerosol properties in two urban environments. Heliyon 2023, 9, e19652. [Google Scholar] [CrossRef] [PubMed]
- Pauraitė, J.; Mordas, G.; Byčenkienė, S.; Ulevicius, V. Spatial and Temporal Analysis of Organic and Black Carbon Mass Concentrations in Lithuania. Atmosphere 2015, 6, 1229–1242. [Google Scholar] [CrossRef]
- Byčenkienė, S.; Pashneva, D.; Uogintė, I.; Pauraitė, J.; Minderytė, A.; Davulienė, L.; Plauškaitė, K.; Skapas, M.; Dudoitis, V.; Touqeer, G.; et al. Evaluation of the anthropogenic black carbon emissions and deposition on Norway spruce and silver birch foliage in the Baltic region. Environ. Res. 2022, 207, 112218. [Google Scholar] [CrossRef] [PubMed]
- Becerril-Valle, M.; Coz, E.; Prévôt, A.S.H.; Močnik, G.; Pandis, S.N.; Sánchez de la Campa, A.M.; Alastuey, A.; Díaz, E.; Pérez, R.M.; Artíñano, B. Characterization of atmospheric black carbon and co-pollutants in urban and rural areas of Spain. Atmos. Environ. 2017, 169, 36–53. [Google Scholar] [CrossRef]
- Klompmaker, J.O.; Montagne, D.R.; Meliefste, K.; Hoek, G.; Brunekreef, B. Spatial variation of ultrafine particles and black carbon in two cities: Results from a short-term measurement campaign. Sci. Total Environ. 2015, 508, 266–275. [Google Scholar] [CrossRef] [PubMed]
- Zhou, Y.; Shao, Y.; Yuan, Y.; Liu, J.; Zou, X.; Bai, P.; Zhan, M.; Zhang, P.; Vlaanderen, J.; Vermeulen, R.; et al. Personal black carbon and ultrafine particles exposures among high school students in urban China. Environ. Pollut. 2020, 265, 114825. [Google Scholar] [CrossRef] [PubMed]
- Farah, A.; Villani, P.; Rose, C.; Conil, S.; Langrene, L.; Laj, P.; Sellegri, K. Characterization of Aerosol Physical and Optical Properties at the Observatoire Pérenne de l’Environnement (OPE) Site. Atmosphere 2020, 11, 172. [Google Scholar] [CrossRef]
- Liu, X.; Wei, Y.; Liu, X.; Zu, L.; Wang, B.; Wang, S.; Zhang, R.; Zhu, R. Effects of Winter Heating on Urban Black Carbon: Characteristics, Sources and Its Correlation with Meteorological Factors. Atmosphere 2022, 13, 1071. [Google Scholar] [CrossRef]
- Byčenkienė, S.; Ulevicius, V.; Dudoitis, V.; Pauraitė, J. Identification and Characterization of Black Carbon Aerosol Sources in the East Baltic Region. Adv. Meteorol. 2013, 2013, 380614. [Google Scholar] [CrossRef]
- Ulevicius, V.; Byčenkienė, S.; Bozzetti, C.; Vlachou, A.; Plauškaitė, K.; Mordas, G.; Dudoitis, V.; Abbaszade, G.; Remeikis, V.; Garbaras, A.; et al. Fossil and non-fossil source contributions to atmospheric carbonaceous aerosols during extreme spring grassland fires in Eastern Europe. Atmos. Meas. Tech. 2016, 16, 5513–5529. [Google Scholar] [CrossRef]
- Pauraitė, J.; Garbarienė, I.; Minderytė, A.; Dudoitis, V.; Mainelis, G.; Davulienė, L.; Uogintė, I.; Plauškaitė, K.; Byčenkienė, S. Effect of spring grass fires on indoor air quality in air-conditioned office building. Lith. J. Phys. 2021, 61, 191–204. [Google Scholar] [CrossRef]
- Ezani, E.; Dhandapani, S.; Heal, M.R.; Praveena, S.M.; Khan, F.; Ramly, Z.T.A. Characteristics and Source Apportionment of Black Carbon (BC) in a Suburban Area of Klang Valley, Malaysia. Atmosphere 2021, 12, 784. [Google Scholar] [CrossRef]
- Kottek, M.; Grieser, J.; Beck, C.; Rudolf, B.; Rubel, F. World map of the Köppen-Geiger climate classification updated. Meteorol. Z. 2006, 15, 259–263. [Google Scholar] [CrossRef] [PubMed]










| Season | BC | BCff | BCbb | BCbb/BC, % | |
|---|---|---|---|---|---|
| Summer | Mean (SD) | 0.55 (0.41) | 0.32 (0.24) | 0.23 (0.18) | 41 (7) |
| Median | 0.42 | 0.25 | 0.17 | 41 | |
| Min; Max | 0.01; 3.43 | 0.01; 1.94 | 0.01; 1.51 | 6; 81 | |
| Autumn | Mean (SD) | 0.92 (0.83) | 0.69 (0.61) | 0.23(0.26) | 23 (10) |
| Median | 0.71 | 0.54 | 0.15 | 25 | |
| Min; Max | 0.04; 6.62 | 0.03; 5.54 | 0.01; 2.40 | 2; 51 | |
| Winter | Mean (SD) | 1.14 (1.15) | 0.78 (0.76) | 0.35 (0.42) | 30 (7) |
| Median | 0.84 | 0.59 | 0.23 | 29 | |
| Min; Max | 0.04; 12.33 | 0.03; 8.48 | 0.01; 5.64 | 3; 56 | |
| Spring | Mean (SD) | 1.05 (1.23) | 0.75 (0.82) | 0.31 (0.45) | 26 (8) |
| Median | 0.60 | 0.46 | 0.14 | 24 | |
| Min; Max | 0.05; 9.01 | 0.04; 6.85 | 0.02; 3.84 | 5; 55 | |
| Mean (SD) | 0.89 (0.99) | 0.63 (0.67) | 0.27 (0.35) | 29 (11) | |
| Annual | Median | 0.58 | 0.41 | 0.15 | 28 |
| Min; Max | 0.01; 12.33 | 0.01; 8.48 | 0.01; 5.64 | 2.00; 100.00 |
| Seasons | Temperature, °C | Relative Humidity, % | Barometric Pressure, hPa | Wind Speed, m/s | |
|---|---|---|---|---|---|
| Summer | Min | 6.0 | 25 | 979 | 0.10 |
| Mean | 19.8 | 71 | 994 | 0.50 | |
| Max | 35.0 | 97 | 1007 | 1.57 | |
| Autumn | Min | −7.2 | 34 | 965 | 0.10 |
| Mean | 6.9 | 82 | 996 | 0.82 | |
| Max | 28.3 | 97 | 1019 | 2.70 | |
| Winter | Min | −15.6 | 33 | 960 | 0.18 |
| Mean | −2.3 | 87 | 989 | 1.10 | |
| Max | 6.0 | 97 | 1018 | 3.27 | |
| Spring | Min | −10.3 | 18 | 962 | 0.12 |
| Mean | 6.3 | 61 | 996 | 0.93 | |
| Max | 25.3 | 96 | 1026 | 3.19 |
| Meteorological Factors | Summer | Autumn | Winter | Spring | ||||
|---|---|---|---|---|---|---|---|---|
| NP | HP | NP | HP | NP | HP | NP | HP | |
| WS | −0.35 | −0.45 | −0.11 | −0.54 | −0.40 | 0.56 | −0.34 | −0.43 |
| WD | −0.092 | −0.37 | −0.19 | −0.19 | −0.24 | 0.44 | −0.12 | −0.32 |
| RH | 0.25 | 0.48 | 0.025 | 0.25 | 0.067 | 0.1 | 0.072 | 0.49 |
| T | −0.20 | −0.45 | −0.19 | 0.07 | −0.23 | 0.26 | −0.27 | −0.53 |
| P | 0.099 | 0.22 | −0.037 | −0.12 | 0.27 | 0.31 | 0.40 | 0.16 |
| PM10 | 0.13 | 0.28 | 0.39 | 0.38 | 0.57 | 0.31 | 0.41 | 0.24 |
| NOx | 0.53 | 0.57 | 0.62 | 0.78 | 0.63 | 0.53 | 0.57 | 0.55 |
Disclaimer/Publisher’s Note: The statements, opinions and data contained in all publications are solely those of the individual author(s) and contributor(s) and not of MDPI and/or the editor(s). MDPI and/or the editor(s) disclaim responsibility for any injury to people or property resulting from any ideas, methods, instructions or products referred to in the content. |
© 2024 by the authors. Licensee MDPI, Basel, Switzerland. This article is an open access article distributed under the terms and conditions of the Creative Commons Attribution (CC BY) license (https://creativecommons.org/licenses/by/4.0/).
Share and Cite
Pashneva, D.; Minderytė, A.; Davulienė, L.; Dudoitis, V.; Byčenkienė, S. Understanding the Dynamics of Source-Apportioned Black Carbon in an Urban Background Environment. Atmosphere 2024, 15, 832. https://doi.org/10.3390/atmos15070832
Pashneva D, Minderytė A, Davulienė L, Dudoitis V, Byčenkienė S. Understanding the Dynamics of Source-Apportioned Black Carbon in an Urban Background Environment. Atmosphere. 2024; 15(7):832. https://doi.org/10.3390/atmos15070832
Chicago/Turabian StylePashneva, Daria, Agnė Minderytė, Lina Davulienė, Vadimas Dudoitis, and Steigvilė Byčenkienė. 2024. "Understanding the Dynamics of Source-Apportioned Black Carbon in an Urban Background Environment" Atmosphere 15, no. 7: 832. https://doi.org/10.3390/atmos15070832
APA StylePashneva, D., Minderytė, A., Davulienė, L., Dudoitis, V., & Byčenkienė, S. (2024). Understanding the Dynamics of Source-Apportioned Black Carbon in an Urban Background Environment. Atmosphere, 15(7), 832. https://doi.org/10.3390/atmos15070832

