The Abrupt Change in Potential Evapotranspiration and Its Climatic Attribution over the Past 50 Years in the Sichuan–Chongqing Region, China
Abstract
1. Introduction
2. Data Processing
2.1. Study Area
2.2. Materials and Methods
2.2.1. Data Sources
2.2.2. FAO Penman–Monteith Method to Quantify PET
2.2.3. Trend Analysis
2.2.4. Quantification of Factor Contribution and Sensitivity Analysis
3. Results
3.1. Trends of PET in 1970–1996 and 1997–2020
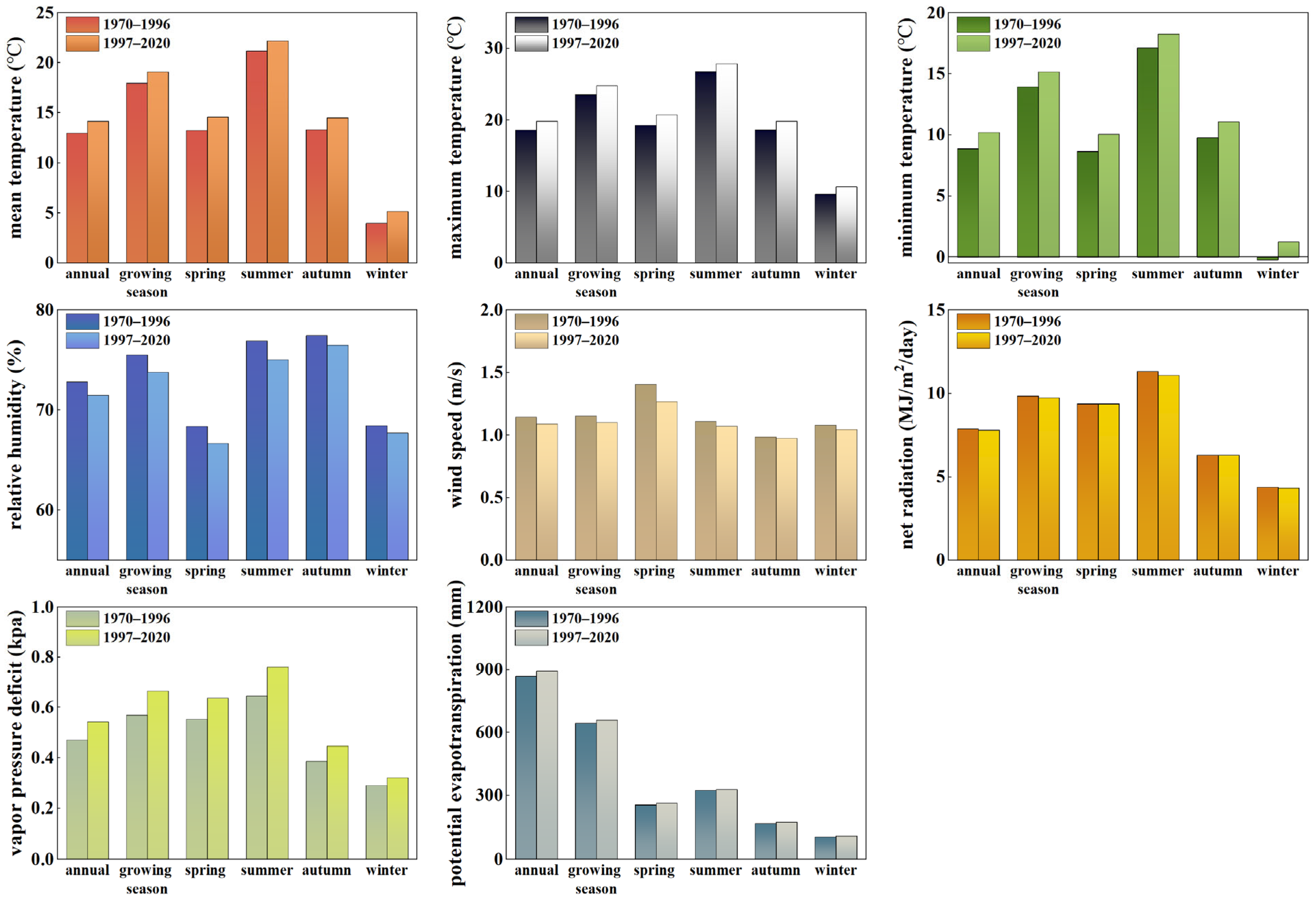
3.2. Trends of Meteorological Factors in 1970–1996 and 1997–2020
3.3. Causal Analysis
3.3.1. Original and Detrended Climate Variables at the Annual Scale
3.3.2. Contribution of Climate Elements to PET Trend at the Annual Scale
3.3.3. Influence of Climate Factors on PET at the Seasonal Scale
3.4. Sensitivity Analysis
4. Discussion
4.1. Temporal Characteristics of PET and the Abrupt Change Point
4.2. Sensitivity of PET Changes to Climate Factors
4.3. Climate Elements Influencing PET Changes and Possible Impacts from Human Activities
4.4. Potential Effects on Agricultural Water Management
5. Conclusions
Author Contributions
Funding
Institutional Review Board Statement
Informed Consent Statement
Data Availability Statement
Acknowledgments
Conflicts of Interest
References
- Hao, L.; Huang, X.; Qin, M.; Liu, Y.; Li, W.; Sun, G. Ecohydrological processes explain urban dry island effects in a wet region, southern China. Water Resour. Res. 2018, 54, 6757–6771. [Google Scholar] [CrossRef]
- Shen, Y.; Liu, C.; Min, L.; Yan, Z.; Tian, C. Change in pan evaporation over the past 50 years in the arid region of China. Hydrol. Process. 2009, 24, 225–231. [Google Scholar] [CrossRef]
- Stocker, T. Climate Change 2013: The Physical Science Basis: Working Group I Contribution to the Fifth Assessment Report of the Intergovernmental Panel on Climate Change; Cambridge University Press: Cambridge, UK, 2014. [Google Scholar]
- Tang, Y.; Tang, Q. Variations and influencing factors of potential evapotranspiration in large Siberian river basins during 1975–2014. J. Hydrol. 2021, 598, 126443. [Google Scholar] [CrossRef]
- Zheng, Q.; Hao, L.; Huang, X.; Sun, L.; Sun, G. Effects of urbanization on watershed evapotranspiration and Its components in southern China. Water 2020, 12, 645–667. [Google Scholar] [CrossRef]
- Newman, B.D.; Wilcox, B.P.; Archer, S.R.; Breshears, D.D.; Dahm, C.N.; Duffy, C.J.; McDowell, N.G.; Phillips, F.M.; Scanlon, B.R.; Vivoni, E.R. Ecohydrology of water-limited environments: A scientific vision. Water Resour. Res. 2006, 42, 6. [Google Scholar] [CrossRef]
- Chattopadhyay, N.; Hulme, M. Evaporation and potential evapotranspiration in India under conditions of recent and future climate change. Agric. For. Meteorol. 1997, 87, 55–73. [Google Scholar] [CrossRef]
- Zheng, Q.; He, J.; Qin, M.; Wu, X.; Liu, T.; Huang, X. Spatiotemporal variation of potential evapotranspiration and its dominant factors during 1970–2020 across the Sichuan-Chongqing region, China. PLoS ONE 2022, 17, e0268702. [Google Scholar] [CrossRef] [PubMed]
- Ghiami-Shomami, F.; Kawasaki, K.; Shinoda, S.; Fan, Y. Sensitivity of potential evapotranspiration to climate factors in forested mountainous watersheds. Hydrol. Res. Lett. 2019, 13, 41–48. [Google Scholar] [CrossRef]
- Han, J.; Wang, J.; Zhao, Y.; Wang, Q.; Zhang, B.; Li, H.; Zhai, J. Spatio-temporal variation of potential evapotranspiration and climatic drivers in the Jing-Jin-Ji region, North China. Agric. For. Meteorol. 2018, 256, 75–83. [Google Scholar] [CrossRef]
- Wang, Z.; Xie, P.; Lai, C.; Chen, X.; Wu, X.; Zeng, Z.; Li, J. Spatiotemporal variability of reference evapotranspiration and contributing climatic factors in China during 1961–2013. J. Hydrol. 2017, 544, 97–108. [Google Scholar] [CrossRef]
- Qin, M.; Hao, L.; Sun, L.; Liu, Y.; Sun, G. Climatic Controls on Watershed Reference Evapotranspiration Varied during 1961–2012 in Southern China. J. Am. Water Resour. Assoc. 2019, 55, 189–208. [Google Scholar] [CrossRef]
- Penman, H.L. Natural Evaporation from Open Water, Bare Soil and Grass. Proc. R. Soc. Lond. 1948, 193, 120–145. [Google Scholar]
- Tegos, A.; Stefanidis, S.; Cody, J.; Koutsoyiannis, D. On the sensitivity of standardized-precipitation-evapotranspiration and aridity indexes using alternative potential evapotranspiration models. Hydrology 2023, 10, 64. [Google Scholar] [CrossRef]
- Zarei, A.R.; Mahmoudi, M.R. Assessment of the effect of PET calculation method on the Standardized Precipitation Evapotranspiration Index (SPEI). Arab. J. Geosci. 2020, 13, 182. [Google Scholar] [CrossRef]
- Jiang, S.; Liang, C.; Cui, N.; Zhao, L.; Du, T.; Hu, X.; Feng, Y.; Guan, J.; Feng, Y. Impacts of climatic variables on reference evapotranspiration during growing season in Southwest China. Agric. Water Manag. 2019, 216, 365–378. [Google Scholar] [CrossRef]
- Mosaedi, A.; Sough, M.G.; Sadeghi, S.-H.; Mooshakhian, Y.; Bannayan, M. Sensitivity analysis of monthly reference crop evapotranspiration trends in Iran: A qualitative approach. Theor. Appl. Climatol. 2017, 128, 857–873. [Google Scholar] [CrossRef]
- Allen, R.; Pereira, L.; Raes, D.; Smith, M. Crop evapotranspiration-Guidelines for computing crop water requirements-FAO Irrigation and drainage paper 56. FAO 1998, 300, D05109. [Google Scholar]
- Mann, H.B. Nonparametric Tests Against Trend. Econometrica 1945, 13, 245–259. [Google Scholar] [CrossRef]
- Kendall, M.G. Rank correlation methods. Br. J. Psychol. 1990, 25, 86–91. [Google Scholar] [CrossRef]
- Wang, W.; Shao, Q.; Peng, S.; Xing, W.; Tao, Y.; Luo, Y.; Yong, B.; Xu, J. Reference evapotranspiration change and the causes across the Yellow River Basin during 1957–2008 and their spatial and seasonal differences. Water Resour. Res. 2012, 48, 113–122. [Google Scholar] [CrossRef]
- Zuo, D.; Xu, Z.; Yang, H.; Liu, X. Spatiotemporal variations and abrupt changes of potential evapotranspiration and its sensitivity to key meteorological variables in the Wei River basin, China. Hydrol. Process. 2012, 26, 1149–1160. [Google Scholar] [CrossRef]
- Liu, Q.; Yang, Z.; Cui, B.; Sun, T. The temporal trends of reference evapotranspiration and its sensitivity to key meteorological variables in the Yellow River Basin, China. Hydrol. Process. 2010, 24, 2171–2181. [Google Scholar] [CrossRef]
- Qin, M.; Zhang, Y.; Wan, S.; Yue, Y.; Zhang, B. Impact of climate change on “evaporation paradox” in province of Jiangsu in southeastern China. PLoS ONE 2021, 16, e0247278. [Google Scholar] [CrossRef] [PubMed]
- Xu, C.; Gong, L.; Jiang, T.; Chen, D.; Singh, V. Analysis of spatial distribution and temporal trend of reference evapotranspiration and pan evaporation in Changjiang (Yangtze River) catchment. J. Hydrol. 2006, 327, 81–93. [Google Scholar] [CrossRef]
- Zhang, Q.; Xu, C.-Y.; Chen, X. Reference evapotranspiration changes in China: Natural processes or human influences? Theor. Appl. Climatol. 2011, 103, 479–488. [Google Scholar] [CrossRef]
- Burn, D.H.; Hesch, N.M. Trends in evaporation for the Canadian Prairies. J. Hydrol. 2007, 336, 61–73. [Google Scholar] [CrossRef]
- Cohen, S.; Ianetz, A.; Stanhill, G. Evaporative climate changes at bet Dagan, Israel, 1964–1998. Agric. For. Meteorol. 2002, 111, 83–91. [Google Scholar] [CrossRef]
- Tabari, H.; Marofi, S.; Aeini, A.; Talaee, P.H.; Mohammadi, K. Trend analysis of reference evapotranspiration in the western half of Iran. Agric. For. Meteorol. 2011, 151, 128–136. [Google Scholar] [CrossRef]
- Maček, U.; Bezak, N.; Šraj, M. Reference evapotranspiration changes in Slovenia, Europe. Agric. For. Meteorol. 2018, 260, 183–192. [Google Scholar] [CrossRef]
- Yang, L.; Li, C.; Wang, S.; Yang, W. Sensitive analysis of potential evapotranspiration to key climatic factors in Taohe River Basin. Trans. Chin. Soc. Agric. Eng. 2014, 30, 102–109. [Google Scholar]
- Darshana; Pandey, A.; Pandey, R.P. Analysing trends in reference evapotranspiration and weather variables in the Tons River Basin in Central India. Stoch. Environ. Res. Risk Assess. 2013, 27, 1407–1421. [Google Scholar] [CrossRef]
- Roderick; Michael, L.; Farquhar; Graham, D. The Cause of Decreased Pan Evaporation over the Past 50 Years. Science 2002, 298, 1410–1411. [Google Scholar] [CrossRef] [PubMed]
- Peterson, T.C.; Golubev, V.S.; Groisman, P.Y. Evaporation losing its strength. Nature 1995, 377, 687–688. [Google Scholar] [CrossRef]
- Zhao, N.; Zeng, X.; Sun, H. Impact of global dimming on reference evapotranspiration in Hai River basin, China. Proc. Int. Assoc. Hydrol. Sci. 2015, 368, 287–292. [Google Scholar] [CrossRef]
- Bandyopadhyay, A.; Bhadra, A.; Raghuwanshi, N.; Singh, R. Temporal trends in estimates of reference evapotranspiration over India. J. Hydrol. Eng. 2009, 14, 508–515. [Google Scholar] [CrossRef]
- Xu, L.; Shi, Z.; Wang, Y.; Zhang, S.; Chu, X.; Yu, P.; Xiong, W.; Zuo, H.; Wang, Y. Spatiotemporal variation and driving forces of reference evapotranspiration in Jing River Basin, northwest China. Hydrol. Process. 2015, 29, 4846–4862. [Google Scholar] [CrossRef]
- Yang, C.; Zeng, W.; Yang, X. Coupling coordination evaluation and sustainable development pattern of geo-ecological environment and urbanization in Chongqing municipality, China. Sustain. Cities Soc. 2020, 61, 102271. [Google Scholar] [CrossRef]
- Yang, Y.; Ni, C.; Jiang, M.; Chen, Q. Effects of aerosols on the atmospheric boundary layer temperature inversion over the Sichuan Basin, China. Atmos. Environ. 2021, 262, 118647. [Google Scholar] [CrossRef]
- Feng, X.; Wei, S.; Wang, S. Temperature inversions in the atmospheric boundary layer and lower troposphere over the Sichuan Basin, China: Climatology and impacts on air pollution. Sci. Total Environ. 2020, 726, 138579. [Google Scholar] [CrossRef]
- Yu, X.; Yin, X.; Liu, Y.; Li, D. Do agricultural machinery services facilitate land transfer? Evidence from rice farmers in Sichuan Province, China. Land 2021, 10, 466. [Google Scholar] [CrossRef]
- Wu, H.a.; Zeng, B.; Zhou, M. Forecasting the water demand in Chongqing, China using a grey prediction model and recommendations for the sustainable development of urban water consumption. Int. J. Environ. Res. Public Health 2017, 14, 1386. [Google Scholar] [CrossRef]
- Gang, Y.; Gangcai, C.; Yongguan, C. The econometric assessment of losses caused by water pollution in Chongqing, southwest China. Chin. J. Geochem. 2004, 23, 94–100. [Google Scholar] [CrossRef]
- Shao, J.a.; Li, Y.; Ni, J. The characteristics of temperature variability with terrain, latitude and longitude in Sichuan-Chongqing Region. J. Geogr. Sci. 2012, 22, 223–244. [Google Scholar] [CrossRef]
- Jhajharia, D.; Dinpashoh, Y.; Kahya, E.; Singh, V.P.; Fakheri-Fard, A. Trends in reference evapotranspiration in the humid region of northeast India. Hydrol. Process. 2012, 26, 421–435. [Google Scholar] [CrossRef]
- Guedes, J.d.A. Millets, rice, social complexity, and the spread of agriculture to the Chengdu Plain and Southwest China. Rice 2011, 4, 104–113. [Google Scholar] [CrossRef]
- Wang, P.; Wu, X.; Hao, Y.; Wu, C.; Zhang, J. Is Southwest China drying or wetting? Spatiotemporal patterns and potential causes. Theor. Appl. Climatol. 2020, 139, 1–15. [Google Scholar] [CrossRef]
- Zhang, C.; Tang, Q.; Chen, D.; Li, L.; Liu, X.; Cui, H. Tracing changes in atmospheric moisture supply to the drying Southwest China. Atmos. Chem. Phys. 2017, 17, 10383–10393. [Google Scholar] [CrossRef]
- Thornthwaite, C.W. An approach toward a rational classification of climate. Geogr. Rev. 1948, 38, 55–94. [Google Scholar] [CrossRef]
- Hargreaves, G.H.; Samani, Z.A. Reference crop evapotranspiration from temperature. Appl. Eng. Agric. 1985, 1, 96–99. [Google Scholar] [CrossRef]
- Priestley, C.H.B.; Taylor, R.J. On the assessment of surface heat flux and evaporation using large-scale parameters. Mon. Weather Rev. 1972, 100, 81–92. [Google Scholar] [CrossRef]
- Li, Z.; Chen, Y.; Yang, J.; Wang, Y. Potential evapotranspiration and its attribution over the past 50 years in the arid region of Northwest China. Hydrol. Process. 2014, 28, 1025–1031. [Google Scholar] [CrossRef]
- Pettitt, A.N. A non-parametric approach to the change-point problem. J. R. Stat. Soc. 1979, 28, 126–135. [Google Scholar] [CrossRef]
- Li, Z.; Li, Z.; Xu, Z.; Zhou, X. Temporal variations of reference evapotranspiration in Heihe River basin of China. Hydrol. Res. 2013, 44, 904–916. [Google Scholar] [CrossRef]
- Dong, Q.; Wang, W.; Shao, Q.; Xing, W.; Ding, Y.; Fu, J. The response of reference evapotranspiration to climate change in Xinjiang, China: Historical changes, driving forces, and future projections. Int. J. Climatol. 2020, 40, 235–254. [Google Scholar] [CrossRef]
- Jhajharia, D.; Shrivastava, S.; Sarkar, D.; Sarkar, S. Temporal characteristics of pan evaporation trends under the humid conditions of northeast India. Agric. For. Meteorol. 2009, 149, 763–770. [Google Scholar] [CrossRef]
- Shan, N.; Shi, Z.; Yang, X.; Gao, J.; Cai, D. Spatiotemporal trends of reference evapotranspiration and its driving factors in the Beijing–Tianjin Sand Source Control Project Region, China. Agric. For. Meteorol. 2015, 200, 322–333. [Google Scholar] [CrossRef]
- Tao, H.; Fischer, T.; Su, B.; Mao, W.; Jiang, T.; Fraedrich, K. Observed changes in maximum and minimum temperatures in Xinjiang autonomous region, China. Int. J. Climatol. 2017, 37, 5120–5128. [Google Scholar] [CrossRef]
- Türkeş, M.; Sümer, U. Spatial and temporal patterns of trends and variability in diurnal temperature ranges of Turkey. Theor. Appl. Climatol. 2004, 77, 195–227. [Google Scholar] [CrossRef]
- Hao, L.; Sun, G.; Liu, Y.; Wan, J.; Qin, M.; Qian, H.; Liu, C.; Zheng, J.; John, R.; Fan, P. Urbanization dramatically altered the water balances of a paddy field dominated basin in Southern China. Hydro. Earth Syst. Sci. 2015, 12, 3319–3331. [Google Scholar] [CrossRef]
- Yang, X.; Li, Z.; Feng, Q.; He, Y.; An, W. The decreasing wind speed in southwestern China during 1969–2009, and possible causes. Quatern. Int. 2012, 263, 71–84. [Google Scholar]
- Huang, X.; Hao, L.; Sun, G.; Yang, Z.L.; Li, W.; Chen, D. Urbanization Aggravates Effects of Global Warming on Local Atmospheric Drying. Geophys. Res. Lett. 2021, 49, e2021GL095709. [Google Scholar] [CrossRef]
- Jiang, S.; Chen, X.; Smettem, K.; Wang, T. Climate and land use influences on changing spatiotemporal patterns of mountain vegetation cover in southwest China. Ecol. Indic. 2021, 121, 107193. [Google Scholar] [CrossRef]
- Liu, C.; Liu, X.; Zheng, H.; Zeng, Y. Change of the solar radiation and its causes in the Haihe River Basin and surrounding areas. J. Geogr. Sci. 2010, 20, 569–580. [Google Scholar] [CrossRef]
- Zheng, X.; Kang, W.; Zhao, T.; Luo, Y.; Duan, C.; Chen, J. Long-term trends in sunshine duration over Yunnan-Guizhou Plateau in Southwest China for 1961–2005. Geophys. Res. Lett. 2008, 35, 15. [Google Scholar] [CrossRef]
- Zhu, B.; Zhang, Q.; Yang, J.-H.; Li, C.-H. Response of potential evapotranspiration to warming and wetting in Northwest China. Atmosphere 2022, 13, 353. [Google Scholar] [CrossRef]
- Liu, Y.; Gui, D.; Yin, C.; Zhang, L.; Xue, D.; Liu, Y.; Ahmed, Z.; Zeng, F. Effects of Human Activities on Evapotranspiration and Its Components in Arid Areas. Int. J. Environ. Res. Public Health 2023, 20, 2795. [Google Scholar] [CrossRef] [PubMed]
- Nouri, M.; Homaee, M.; Bannayan, M. Quantitative trend, sensitivity and contribution analyses of reference evapotranspiration in some arid environments under climate change. Water Resour. Manag. 2017, 31, 2207–2224. [Google Scholar] [CrossRef]
- Wanniarachchi, S.; Sarukkalige, R.J.H. A review on evapotranspiration estimation in agricultural water management: Past, present, and future. Hydrology 2022, 9, 123. [Google Scholar] [CrossRef]
- Zhang, S.; Tao, F.; Zhang, Z. Spatial and temporal changes in vapor pressure deficit and their impacts on crop yields in China during 1980–2008. J. Meteorol. Res. 2017, 31, 800–808. [Google Scholar] [CrossRef]







| Region | Period | PET Trend | Dominant Factors | Reference |
|---|---|---|---|---|
| Jiangsu, China | 1960–2019 | Increase in 1960–1989 | Increased vapor pressure deficit and decreased relative humidity | [24] |
| Decrease in 1990–2019 | Decreased wind speed | |||
| Yangtze River Basin, China | 1960–2000 | Decrease | Decreased net radiation | [25] |
| East, south and northwest China | 1960–2005 | Decrease | Decreased net radiation in east and south China; Increased relative humidity in northwest China | [26] |
| Canadian Prairies | 1971–2000 | Decrease | Decreased wind speed | [27] |
| Bet Dagan, Israel | 1964–1998 | Stable | Increased vapor pressure deficit and wind speed were offset by decreased solar radiation | [28] |
| West Iran | 1966–2005 | Increase | Increased air temperature | [29] |
| Slovenia, Europe | 1961–2016 | Increase | Increased solar radiation | [30] |
| Period | Variables | Spring | Summer | Autumn | Winter | Growing Season | Annual |
|---|---|---|---|---|---|---|---|
| 1970–1996 | Tmean (°C) | –0.0021 | –0.0009 | 0.0178 | 0.0139 | 0.0037 | 0.0071 |
| Tmax (°C) | –0.0152 | –0.0108 | 0.0095 | 0.0036 | –0.0061 | –0.0033 | |
| Tmin (°C) | 0.0120 | 0.0134 * | 0.0261 ** | 0.0262 * | 0.0153 *** | 0.0194 *** | |
| RH (%) | 0.0500 | 0.0718 * | 0.0407 | 0.0863 ** | 0.0399 ** | 0.0621 *** | |
| Ws (m/s) | –0.0114 *** | –0.0094 *** | –0.0093 *** | –0.0105 *** | –0.0094 *** | –0.0101 *** | |
| Rn (MJ/m2/day) | –0.0138 ** | –0.0295 *** | –0.0062 * | –0.0024 *** | –0.0187 *** | –0.0131 *** | |
| VPD (kPa) | –0.0006 | –0.0021 | –0.0003 | –0.0006 | –0.0009 | –0.0009 * | |
| PET (mm) | –0.6033 *** | –1.0290 *** | –0.2816 * | –0.3200 *** | –1.513 *** | –2.2734 *** | |
| 1997–2020 | Tmean (°C) | 0.0839 ** | 0.1231 *** | 0.0780 ** | 0.0675 * | 0.0962 *** | 0.0882 *** |
| Tmax (°C) | 0.0734 *** | 0.1360 *** | 0.0289 | 0.0215 | 0.0860 *** | 0.0653 *** | |
| Tmin (°C) | 0.1074 *** | 0.1216 *** | 0.1206 *** | 0.1115 ** | 0.1141 *** | 0.1153 *** | |
| RH (%) | 0.0734 | –0.1933 ** | 0.1287 | 0.1142 | –0.0242 | 0.0300 | |
| Ws (m/s) | 0.0089 *** | 0.0169 *** | 0.0143 *** | 0.0136 *** | 0.0139 *** | 0.0134 *** | |
| Rn (MJ/m2/day) | –0.0062 | 0.0350 * | –0.0189 *** | –0.0061 | 0.0058 | 0.0010 | |
| VPD (kPa) | 0.0017 | 0.0128 *** | –0.0004 | –0.0002 | 0.0058 *** | 0.0035 *** | |
| PET (mm) | 0.3937 | 2.3290 *** | –0.1292 | 0.2047 ** | 2.3479 *** | 2.8285 *** |
Disclaimer/Publisher’s Note: The statements, opinions and data contained in all publications are solely those of the individual author(s) and contributor(s) and not of MDPI and/or the editor(s). MDPI and/or the editor(s) disclaim responsibility for any injury to people or property resulting from any ideas, methods, instructions or products referred to in the content. |
© 2024 by the authors. Licensee MDPI, Basel, Switzerland. This article is an open access article distributed under the terms and conditions of the Creative Commons Attribution (CC BY) license (https://creativecommons.org/licenses/by/4.0/).
Share and Cite
Zheng, Q.; Huang, X.; Zheng, T.; He, J.; Xiang, M.; Qin, M.; Jin, K. The Abrupt Change in Potential Evapotranspiration and Its Climatic Attribution over the Past 50 Years in the Sichuan–Chongqing Region, China. Atmosphere 2024, 15, 829. https://doi.org/10.3390/atmos15070829
Zheng Q, Huang X, Zheng T, He J, Xiang M, Qin M, Jin K. The Abrupt Change in Potential Evapotranspiration and Its Climatic Attribution over the Past 50 Years in the Sichuan–Chongqing Region, China. Atmosphere. 2024; 15(7):829. https://doi.org/10.3390/atmos15070829
Chicago/Turabian StyleZheng, Qingzhou, Xiaolin Huang, Tianxiong Zheng, Jun He, Ming Xiang, Mengsheng Qin, and Kailun Jin. 2024. "The Abrupt Change in Potential Evapotranspiration and Its Climatic Attribution over the Past 50 Years in the Sichuan–Chongqing Region, China" Atmosphere 15, no. 7: 829. https://doi.org/10.3390/atmos15070829
APA StyleZheng, Q., Huang, X., Zheng, T., He, J., Xiang, M., Qin, M., & Jin, K. (2024). The Abrupt Change in Potential Evapotranspiration and Its Climatic Attribution over the Past 50 Years in the Sichuan–Chongqing Region, China. Atmosphere, 15(7), 829. https://doi.org/10.3390/atmos15070829

