Abstract
Air pollution is one of the most important problems in big cities, resulting in adverse health effects. The aim of the present study was to characterize the personal exposure to indoor and outdoor pollution in the Greater Athens Area in Greece by taking measurements during a journey from suburban to mixed industrial–urban areas, encompassing walking, waiting, bus travel, and metro travel at various depths. For this reason, low-cost (LC) sensors were used, and the inhaled dose of particulate matter with an aerodynamic diameter of less than or equal to 2.5 μm (PM2.5) in different age groups of passengers was calculated. Specific bus routes and the Athens metro network were monitored throughout different hours of the day. Then, the average particulate matter (PM2.5) exposure for a metro passenger was calculated and evaluated. By considering the ventilation rate of a passenger, an estimation of the total PM2.5 inhaled dose for males and females as well as for different age groups was made. The results showed that the highest PM2.5 concentrations were observed inside the wagons with significant increases during rush hours or after rush hours. Furthermore, there should be a concern regarding older individuals using the subway network in Athens during rush hours and in general for sensitive groups (people with asthma, respiratory and cardiovascular problems, etc.).
1. Introduction
Urbanization has propelled the rapid expansion of metropolitan areas, leading to the proliferation of public transport. Complex road and rail networks exist in large metropolitan areas as well as smaller cities and offer efficient means of commuting. Many people choose public transport for their daily activities (to/from work, shopping, and leisure) since the travel time is usually reduced and traffic jams are avoided [1,2,3,4]. According to [5], people spend 8% of their time on public transport. However, the air quality in these microenvironments has raised concerns about the accumulation and impact of pollutants on both passengers and employees. Especially in the metro network, the confined spaces and complex ventilation systems within underground stations and tunnels create a microenvironment where pollutants from diverse origins converge. From vehicular emissions at entrance points to the release of particulate matter from braking and accelerating trains, the underground metro environment becomes a complex nexus of pollutants, potentially affecting air quality and posing health risks to commuters and metro personnel alike. As shown in previous studies, concentrations on the platforms are much higher than outdoor values, indicating that the generation of PM2.5 is associated with the metro operation [6,7,8,9,10]. The levels of measured particles are associated with the ventilation system [11], the frequency of routes, the train movement [12], the construction features of the trains [13], the maintenance of the lines, and the depth of the platform [14]. The chemical composition of PM is highly related to the transport mode. For example, Fe is found to be the most abundant component of metro PM, while enhanced concentrations of Zn and Cu are found in particles measured in buses [15]. Other parameters that can affect the resuspended particles are the occupancy, passengers’ movement, and number of people embarking/disembarking the wagon. Estimating personal exposure to such environments is a great challenge since it is difficult to install a heavy monitoring device in crowded metro wagons or in buses. So many researchers worldwide prefer to measure concentrations at the platform level and at bus stops [16] by using optical particle counters and beta-attenuation monitors [17]. Nowadays, the existence of portable low-cost sensors provides the opportunity for further study of indoor air quality at public transport [18] and outdoor air quality while walking or bicycling [19,20] to estimate the personal exposure in an urban environment. The measured concentrations can also provide evidence of particulate matter inhalation [21] and passenger comfort thus revealing the transportation mode that has greater health impacts on users [22,23].
This paper endeavors to shed light on the dynamics of pollution in the public transport of the Greater Athens Area, employing a multi-faceted approach that integrates air quality monitoring and inhaled dose assessment. The Greater Athens Area public transport includes both road and rail networks. Multiple buses routes, three metro lines (green, blue, and red) and trams cover the suburbs as well as the center of Athens and have a high daily occupancy. Since it is a large urban agglomeration, there is a lack of road space, and many people prefer using public transport for their movements to and from their work. A previous study [24] conducted at four stations of the Athens metro system showed that on the underground platforms, pollution concentrations were from 3 to 10 times higher, as compared to outdoor measurements, while the deeper and most crowded station of Syntagma reached the highest mean concentration (88.1 μg/m3). So, in addition to elucidating the scientific aspects, this research also intends to provide hot spots of personal exposure in different environments and ameliorate the impact of pollution within the metro network. As the demand for sustainable and healthy urban transportation grows, it becomes imperative to address the environmental consequences of public transport, ensuring that the benefits of metro and bus travel are not compromised by adverse effects on health due to poor air quality.
Focusing on guidelines for sensor-based field measurements, this article guides researchers through the intricacies of measuring PM2.5 exposure in public transport using low-cost sensors. The study examines personal PM2.5 exposure during a journey from suburban to mixed industrial–urban areas, encompassing walking, waiting, bus travel, and metro travel at various depths. The key findings highlight disparities: higher concentrations in industrial areas and deeper metro stations (Syntagma), peak exposure during rush hours (correlated with passenger volume), and brief spikes linked to door opening/closing. The study also addresses the selection of suitable sensors based on accuracy and deployment strategy, accounting for passenger movement and potential interferences. Data analysis delves into average concentrations, peak levels, and temporal trends, acknowledging sensor limitations while contextualizing findings with traffic and weather data. Finally, the article discusses ethical considerations, cost-effectiveness, and future directions for sensor technology and data analysis. It emphasizes that understanding and improving public transport air quality requires detailed investigations of commuter exposure within different microenvironments.
2. Experimental Setup
2.1. Instrumentation
In the present study, a PA-SD-II Purple Air device with PMS5003 and PMS1003 sensors was used for optical monitoring of particulates of different diameters (0.3, 0.5, 1.0, 2.5, 5.0, and 10.0 μm). Through a complex algorithm, the PM1, PM2.5, and PM10 mass concentrations in μg/m3 were finally calculated for two separate channels, Channel A and Channel B, corresponding to the two sensors. An additional BME280 sensor was used to measure meteorological parameters (pressure, temperature, and humidity). Purple Air sensors primarily use an active sampling method to measure PM. They have a built-in sample aspiration fan that draws air into the sensor chamber for analysis. Unlike pure passive methods, Purple Air sensors actively draw air into their chambers using a built-in fan. This ensures a consistent flow and a representative sample, making it an active sampling process at its core. Inside, a laser shines, and particles scatter the light based on size and concentration. Photodiodes detect the scattered light, and the sensor converts the difference in intensity into PM concentration values. However, sensor placement and passive diffusion within the chamber also play a role in influencing the final readings. So, while not completely passive, the active fan aspiration forms the heart of Purple Air’s PM sampling method [25]. The two sensors in the Purple Air device provide two separate scales of the data; the one is based on μg/m3, and the second one is an equivalent value based on the Air Quality Index (AQI) scale. The AQI is one of the most well-known and widely used indices for assessing air quality by government agencies, environmental organizations, and media outlets to inform the public about the health risks associated with different levels of air pollution. The device offers two separate reads on the AQI scale, the first one is CF, and the second one is the atm; thus, we obtained one of each for each channel. The CF values are the initial calculation of the AQI values driven by the μm/m3 readings of the sensor, and the atm represents the corrected CF values. CF values are designed for indoor values and atm for outdoors. Purple Air provides factory calibration on every single device with the smoke chamber method [26] and reports consistent results on further tests. Because of the construction of the sensor, no further calibration is possible, the Arduino processing chip is not accessible, and the device is reported to consistently maintain its performance for 3 years after the initial purchase.
Purple Air devices offer an accessible means of measuring PM2.5, a significant air pollutant that impacts health. While they are not perfect replacements for professional monitors, they provide valuable insights for personal use and community awareness. However, it is important to note that Purple Air devices may have lower accuracy compared to professional monitors, as datasheets claim an accuracy range of +/− 10 to 15 μg/m3 for PM2.5. Real-world performance, however, may vary. Several studies, including those conducted by the authors and other scientists [27,28,29,30,31] have evaluated the performance of Purple Air PA-II sensors (the model we used) in both laboratory and field settings. The majority of the results demonstrated a strong correlation between the Purple Air PA-II and reference monitors, with R-squared values ranging from 0.93 to 0.97 in the field and 0.99 in the laboratory (in similar environments such as Athens, Greece, where climate conditions play an important role). These studies provide evidence that the Purple Air PA-II sensor can be a useful tool for monitoring PM2.5 levels, especially considering its affordability and ease of use. However, in some cases, specific sensors have been found to exhibit significant bias, noise, and uncertainty for PM1.0–2.5 and PM2.5–10 fractions. This means the sensor consistently over- or underestimates actual values and adds random variations to the readings, affecting their accuracy and precision. Nevertheless, it is important to bear in mind that these are low-cost sensors, and their accuracy may not match that of professional-grade equipment. However, they can still provide adequate data in the same environmental conditions and yield comparable results, as observed in this specific paper.
2.2. Sampling Area
The monitoring campaign was conducted in the southern suburbs of the Greater Athens Area (Figure 1). The Greater Athens Area is the most populated area in Greece (approximately 4.5 million habitants), and the air quality is affected by multiple anthropogenic activities (traffic, residential heating, port of Piraeus, and industry). Primary pollutants emitted by the above-mentioned sources disperse under the effect of the prevailing meteorological conditions, transform to secondary species, and consequently lead to exceedances in PM concentrations. Measurements were carried out at two three weeks (15 March–30 May 2021), and sampling was performed along routes including walking in two suburbs with different air quality and using two means of public transport (bus and metro). While investigating PM (particulate matter) levels inside train wagons, our study carefully considered sensor placement and configuration to ensure accurate and representative data. Each Purple Air sensor was mounted on a backpack using a metal hanger, maintaining a consistent height of 1.45 m (breathing level), and ensuring a minimum distance of 1.5 m from passengers, whenever space permitted, to minimize backpack interference. Monitoring consistently took place in the same wagon for both routes, specifically the second wagon from the beginning, centrally positioned and equally distant from doors to avoid localized influences. We employed a 10-s sampling rate (the minimum option) to obtain higher resolution data, while acknowledging a potential 30-millisecond delay in some recordings.
Figure 1.
The campaign route map.
The first route was from the south suburban area of Varkiza to the University of West Attica located in Egaleo, a west central area in Athens. The second route was the way back from place B to place A.
The layout of the first route (route 1) consisted of the following:
- Walking from the starting point to the bus station “Varkiza” (walk_1). Concentrations were measured while waiting at the bus stop (bus_s1).
- The bus route from “Varkiza” station to “Argiroupoli” metro station through the Vouliagmenis Avenue (bus_r1). When arriving at the metro station, a measuring session was performed to estimate the outdoor exposure (outdoor_1); then, a 5-min measuring session was performed at the ticket’s booth (tickets_booth_1); and finally, a 5–8 min measurement was taken on the platform (platform_1).
- The red Metro line from “Argiroupoli” station to “Syntagma” station (wagon_1). A measuring session (5–8 min) was performed on the platform of “Syntagma” station (platform_2).
- The blue Metro line from “Syntagma” station to “Egaleo” station (wagon_2). At this point, two measuring sessions were performed, one at the ticket booth (tickets_booth_2) and one outside the metro station (outdoor_2).
- Walking from “Egaleo” metro station to the bus station “Egaleo”, which is on Thivon Avenue (walk_2). Concentrations were measured while waiting at the bus stop (bus_s2).
- The bus route from “Egaleo” station to “Ladopoulou” station, located at the UNIWA (final destination, bus_r2).
The layout of the second route (route 2) consisted of the following:
- The bus route from “Ladopoulou” station to “Egaleo” bus station through the Thivon Avenue (bus_r3). Before that, a measuring session was performed while waiting for the bus (bus_s3).
- Walking from “Egaleo” bus station to “Egaleo” metro station (walk_3). When arriving to the metro station, a measuring session was performed to estimate the outdoor exposure (outdoor_3); then, a 5-min measuring session was performed at the ticket’s booth (tickets_booth_3); and finally, a 5–8 min measurement was taken on the platform (platform_3).
- The blue Metro line from “Egaleo” station to “Syntagma” station (wagon_3). A measuring session (5–8 min) was performed on the platform of “Syntagma” station (platform_4).
- The red Metro line from “Syntagma” station to “Elliniko” station (wagon_4). At this point two measuring sessions were performed, one at the ticket booth (tickets_booth_4) and one outside the metro station.
- The bus route from “Elliniko” station to “Kanaria” bus station, through the Poseidonos Avenue (starting point of route 1, bus_r4). Concentrations were also measured while waiting at the bus stop (bus_s4).
Varkiza is a southern seaside suburb located around 25 km from the Athens city center. It is a resort area since a long sandy beach lies there, and it is very crowded in summer. However, in recent years, many citizens have preferred to live far from the city center, resulting in the residential development of the area, which is nowadays among the most expensive suburbs to live in Athens. Egaleo is an urban municipality located at the regional unit of West Athens. Almost a quarter of the municipality is characterized as an industrial area, while its territory is crossed by five main roads that usually exhibit traffic jams.
The monitoring plan consisted of the data collection (PM concentrations) at different levels of the metro station buildings as well as the bus stations to reveal the personal exposure based on both indoor and outdoor air quality. For this reason, a 5-min monitoring session took place on each bus station of both routes 1 and 2 and at three different points of the metro stations (ticket booth level, subway platform, and the entrance of the metro building of Egaleo and Argiroupoli). For the metro lines, all measurements were collected during operable hours. The duration of each trip ranged from one to two hours, while measurements were recorded on the SD card every 10 sec. The Purple Air sensor was connected to a power bank for energy independence. A smartphone was connected to the Wi-Fi channel of the Purple Air sensors so that real-time concentrations were recorded. Finally, a note app was used to write down the spot-on measurement, the time, and the position within the route.
The walking route at Varkiza is along the seafront traffic street, which has few to no streetlights and stops; as a result, most cars either drive at average speed or high speed, with minor to no stops. On the other hand, the walking route at Egaleo is next to a high traffic road. It should be mentioned that measurements were conducted only on weekdays.
2.3. Data Post-Processing
At the end of each day, data from the SD card of the Purple Air sensor were exported in a csv file, and a quality control was performed to exclude outliers from the database (the first 3 measurements in particular). For the needs of the statistical analysis, mean values were grouped to depict the same form of transport (bus or metro) or walking. A further study, depending on the time interval was conducted so the concentrations measured for route 1 were divided into three measurement sessions 06:00–09:00 LT (no heavy traffic, for a period of 6 days), 09:00–12:00 LT (heavy traffic conditions, characterized hereafter as “rush hour”, for a period of 6 days), and 13:00–15:00 LT (characterized hereafter as “post rush hour”, for a period of 5 days). As for route 2, measurements were recorded in the evening from 18:00 LT to 21:00 LT.
2.4. Inhaled Dose
In this work, an attempt was made to calculate the inhaled dose (ID) of PM2.5 suspended particles, for different age groups of subway users, based on the measurements during the experimental campaign. The Human Health Assessment Manual (Part A—USEPA, 1989) states the ways to calculate the dose from exposure to chemical elements and compounds, through the three routes of ingestion, inhalation, and skin [32]. In particular, the influx of suspended particles and chemical compounds in general into the human body can occur through ingestion and inhalation and through the skin. During the last decade, many scientific studies have investigated these three paths, and they have suggested different mathematical formulas and models for calculating the influx mass of pollutants into the human organism. Then, through this calculation, they can provide an estimation of the human health risk due to pollutant exposure for a certain period. In this work, it was considered that the subway user can be burdened by pollution mainly through the respiratory tract and not through ingestion (the consumption of drinks and food inside the subway is prohibited) or through the skin (it was considered that a very small percentage of the skin is uncovered inside the subway network).
Based on the above reasoning, the inhaled dose (ID) of suspended particles was calculated applying Equation (1):
where C(t) is the real-time exposure concentration of PM2.5 at the time point of (t) in μg/m3, t1 and t2 are the start and end time points of exposure in minutes, respectively, and IR(t) is the inhalation rate (IR) at the time point of (t) (m3/min) [33,34].
Furthermore, it was considered that during a short time interval of dt, the PM2.5 concentration remained almost constant (as a mean value during dt) as did the IR, so the above equation can be simplified as below:
where C is the real-time exposure mean concentration of PM2.5 during the exposure time interval dt and IR is the constant inhalation rate during the same short exposure time interval dt. Relative tables proposed by the United States Environmental Protection Agency (USEPA) were used to calculate the IR [35]. In these tables, the IR values refer to a person in sedentary and passive activities (METS ≤ 1.5) and considered average daily values in m3/day, which were modified to m3/min, for the needs of this study. Based on the above assumptions, the inhaled dose of PM2.5 suspended particles was calculated for a short time period, dt, for males and females and for different age groups.
3. Results and Discussion
3.1. Comparison of PM2.5 Concentrations for Different Transportation Modes and Walking Paths
As presented in paragraph 2.2 between routes 1 and 2, a variety of different indoor and outdoor areas were monitored; even though indoor spaces among them showcased similar characteristics in the concentration of PM2.5, outdoor spaces were more convoluted and were strongly influenced from geographical characteristics, requiring studying each case individually. In general, higher PM2.5 mean concentrations were recorded for route 1 in wagon_1 (35.68 μg/m3) and for route 2 on platform_4 (48.88 μg/m3).
Concerning route 1, the box plot concentrations for each type of monitoring area are presented in Figure 2a. Differences in measuring values were observed in outdoor and indoor environments. Specifically, the mean PM2.5 concentration (marked as x in the box plot) for the walking path, bus station, and outside the metro station at Elliniko were 12.45 μg/m3, 12.27 μg/m3, and 17.39 μg/m3, respectively. The air quality for the coastal suburban area was better in comparison to that for the urban area of Aegaleo with the concentrations at “walk_1” and “walk_2” being 12.45 μg/m3 and 19.04 μg/m3, respectively. Due to the existence of light traffic and heavy traffic for “bus_s2”, the range of measuring values increased by 9 μg/m3 compared to that for “bus_s1” (12.27 μg/m3 for “bus_s1”). It is important to mention that in the case of the first walking route, there were fewer traffic lights meaning that for most of the route, cars can maintain a stable, relatively high speed. On the contrary, for the second walking route, traffic lights are frequent, causing consistent traffic jams. Overall, the mean PM2.5 value for the outdoor environment (incl. “walk_1”, “bus_s1”, “outdoor_1”, “walk_2”, and “bus_s2”) was 16.51 μg/m3; more specifically, the average concentration in the coastal suburban area of Athens (Varkiza through Elliniko, incl. “walk_1”, “bus_s1”, and “outdoor_1”) was 14.04 μg/m3, and the average concentration in Aegaleo was 20.22 μg/m3. This is because the suburban area is close to the shore, which allows air pollutants to be scattered more easily and due to the characteristics of the two avenues; at both Poseidonos and Vouliagmenis avenues, vehicles travel at higher average speeds with fewer stops (due to less frequent traffic lights) compared to Thivon avenue, which is a heavy traffic road due to the existence of sequential traffic lights. It should also be mentioned that the area Thivon Avenue crosses is mixed industrial-urban, so during the day, many heavy-duty trucks move, usually at low speeds.
Figure 2.
Box plots of the PM2.5 concentration measured for different indoor and outdoor environments included in route 1 (a) and route 2 (b).
Concerning the indoor measurements (“bus_r1”, “tickets_booth_1”, “platform_1”, “wagon_1”, “platform_2”, “wagon_2”, “tickets_booth_2”, and “bus_r2”), higher values were recorded compared to the outdoor ones. The two bus rides showcased a lesser difference, with “bus_r1” having a mean concentration of 18.1 μg/m3 and “bus_r2” a mean concentration of 21.4 μg/m3, which might be a result of the frequent bus stops on both routes. The measurements at tickets_booths presented a similar difference to the one found between “walk_r1” and “walk_r2” as well as “bus_s1” and “bus_s2”. More specifically, the mean concentration at “tickets_booth_1” was 15.15 μg/m3, and it was 22.95 μg/m3 at “tickets_booth_2” (7.8 μg/m3 difference). The reason for such a minor increase in the concentration at the tickets_booth levels compared to the outdoor measurements is the natural recycling of air that takes place at that level. When being underground (platform_1, wagon_1, platform_2, and wagon_2), the air quality worsens significantly. The mean values at wagon_1, platform_2, and wagon_2 were 20.69 μg/m3, 31.66 μg/m3, 35.67 μg/m3, and 33.43 μg/m3, respectively. As for the two platforms, passengers’ density was much higher at platform_2 in comparison to platform_1; thus, lower concentrations were recorded on the latter. The main reason for the higher concentration for the red line was that there was more embarking and disembarking at each station in comparison to the blue line. The overall indoor mean concentration was 24.76 μg/m3.
As for route 2 (Figure 2b), a slight increase in the concentration was recorded for the indoors levels and in some cases the outdoor measurements as well. Starting from the outdoor measurements recorded in Aegaleo, the mean concentration at “bus_s4” was 15.39 μg/m3, which was lower than the concentration of the nearby station “bus_s2” (21.4 μg/m3) because the measurement was made at 18:00 LT when the traffic load was less. Very small was the difference between “walk_3” and “walk_2” (0.27 μg/m3). At the point outside of Aegaleo’s metro station (“outdoor_3”), the mean value was 21.89 μg/m3, which was higher than the concentration recorded for “walk_3” because the position was nearby to many restaurants that start operating early in the afternoon; so, this increase could be attributed to the commercial cooking emissions. Finally, the last outdoor measurement that was recorded was at Elliniko’s bus station (“bus_s4”) where the concentration was 19.62 μg/m3, which was a bit higher comparatively with the concentration that was recorded in the first route at “outdoor_1” (the two points are only a few meters away) probably because of the increased traffic on Vouliagmenis Avenue.
The indoor levels of PM2.5 for “bus_r3” and “bus_r4” were 21.51 μg/m3 and 16.3 μg/m3, respectively. “Bus_r3” crosses part of Thivon Avenue in Aegaleo and comparatively with the similar bus route in route 1 (“bus_r2”) is around the same levels with higher concentrations for route 2; considering that Thivon Avenue has less traffic, one reason that might contribute to the higher concentration is the more frequent stops of the bus (more people returning home using this bus). “Bus_r4” is a bus route that crosses a small part of Vouliagmenis Avenue and then continues to Poseidonos Avenue, a shoreside street, with fewer traffic lights than Vouliagmenis Avenue and higher vehicle average speed. For route 2, “bus_r4” had a slightly lower concentration than the route 1’s “bus_r1” by 1.79 μg/m3 because during the afternoon hours, even though Vouliagmenis Avenue is more crowded, Poseidonos Avenue is relatively less loaded and fewer people use this bus route, leading to many fewer passengers than in the case of “bus_r1”. Ticket booth levels during these hours in both stations (Aegaleo and Elliniko metro station) showcased similar concentrations, and the reason is that the outside conditions were similar; moreover, for route 1, the two stations had a considerable difference due to Aegaleo’s worse outdoor PM2.5 concentrations. Both “tickets_booth_3” and “tickets_booth_4” had a concentration of 18.53 μg/m3.
The indoor levels of the underground level (which consists of “platform_3”, “platform_4”, “wagon_3”, and “wagon_4”) were significantly higher. More precisely, the mean concentration at “platform_3” was 31.08 μg/m3, like the highest recorded concentration for route 1 on “platform_2” (Syntagma station). At Syntagma’s station (“platform_4”), the mean recorded concentration was 48.88 μg/m3, which was the highest concentration of both routes 1 and 2. It is important to mention that the part of both routes that reported the highest concentration of PM2.5 was in both cases Syntagma’s platform. Finally, the concentrations within the wagons were also significantly higher than the concentrations reported for route 1, with the ones referred to as “wagon_3” (blue metro line) being 33.03 μg/m3 and “wagon_4” (red metro line) being 40.84 μg/m3.
3.2. Temporal Variation in PM2.5 Concentrations
Red Metro Line: The monitoring hours were set at three time intervals covering different trends within the day for further comparison of the results: (a) early morning hours (06:00–09:00 LT), (b) late morning hours (09:00–12:00 LT), and (c) afternoon hours (12:00–15:00). The occupation of each wagon was noted after each stop, with the wagon’s capacity being considered at 100% when all the passengers’ seats were occupied, 28 seats in total. Thus, if the current stop had more people than the total seats, the occupation surpassed 100%. The total distance of the route was 16 km, and on average it took 31 min (around 42 min including the minimum 5 min of recording on the subway platforms). The route appeared to have some unique characteristics based on each time interval as well as some characteristics that were shared among all the time intervals. In general, higher concentrations were recorded at the first four stations during the early morning hours, while for the rest of the stations, concentrations peaked from 09:00–12:00 LT. According to the following notes, this was highly related to the number of passengers in the wagon. The higher the number of passengers, the higher the recorded concentrations. More specifically, in the first time interval (6:00–9:00 LT) from Elliniko to Syntagma stations, the number of passengers reached up to 80% occupation of the available seats (28 total seats within a wagon) of the wagon with only 2–4 people embarking on the rest of the route up to Syntagma station and 0–3 passengers disembarking at each station, with a usual surplus of +1 to +3 passengers at each station. At the metro station of Ag. Dimitrios, usually the wagon would reach up to 100% occupation and most likely would surpass it slightly (110%, 28 seated passengers and 2–3 standing passengers). Sygrou is a central area in Athens with a lot of bus lines crossing through the bus station outside of the metro station, making it an important stop for employees who work near the center. Up to Syntagma station, the wagon would usually have more than 100% total occupation with maximum occupation being recorded at 140% and an average of 122%.
For the second time interval (9:00–12:00), the number of passengers ranged from 20% to 25% occupation of the seats of the wagon (6 to 7 seated passengers) but with around 3–4 passengers embarking at each stop, reaching up to 100% occupation (28 seated passengers) at Dafni stop (5th stop of the route) and usually surpassing 100%, with the highest concentration reported throughout the route at 48.31 μg/m3. From Ag. Ioannis station onward, the number of people embarking and disembarking increased drastically, with 5 up to 13 passengers embarking and disembarking with usually 3 to 6 passengers surplus at each station. The highest rate of embarking and disembarking took place in Sygrou, Neos Kosmos, and Dafni station with the total number of people embarking and disembarking reaching from 5 up to 18 in total. Dafni is a crowded metro station mostly due to the many bus stops that are located near the metro station. Dafni’s bus lines connect with central areas of Athens that are densely populated and have no direct connection to the metro. Up to Syntagma station, the wagon would have the highest occupation comparatively with the other two time intervals with maximum occupation recorded at 180% (51 passengers in total) and average occupation around 120% (33 passengers in total). In the case of the third time interval (12:00–15:00), the number of passengers represents the pattern of the second time interval but at a significantly lower rate, with an occupation of around 60–80% (16 to 22 seated passengers) for Dafni station and 100% for either Ag. Ioannis station or Neos Kosmos.
Blue Metro Line: Similar patterns were observed. For the first time interval, the concentration of PM2.5 increased with the occupation. More specifically, the occupation started at 97.5% at Syntagma station, but the average concentration was quite low probably because people remained rather stable. For Monastiraki station, the occupation remained on average the same, with around 10 passengers embarking and disembarking, and the average concentration was 26.55 μg/m3. Similarly, for both Keramikos and Eleonas stations, the total occupation of passengers just slightly decreased, but with both significantly increasing the PM2.5 average concentration of each station with 34.32 μg/m3 and 37.88 μg/m3, respectively. The occupation throughout Eleonas’ station up to Egaleo was at around 70%.
For both time intervals 2 and 3, the same pattern was observed. The total occupation of the wagons was almost identical with no significant difference, but with less embarking and disembarking taking place in time interval 3. For Syntagma station, both time intervals had 95–100% but with a higher concentration of PM2.5 for the second group, with an average concentration of 43.62 μg/m3 for time interval 2 and 35.46 μg/m3 for time interval 3.
Comparison between the two rush hours (morning vs. evening): To examine the difference between the two main rush hours, the mean concentration at each station is presented in Figure 3. As mentioned before, there are two rush periods in Athens, one during the morning from 9:00 LT to 12:00 LT, when people go to their jobs, and another one in the afternoon from 18:00 LT to 21:00 LT, when people return home after work. As presented in Figure 4, similar concentrations were recorded at the stations of the blue line (from Argiroupoli to Acropolis) for the two periods. Slightly increased levels were found in the morning. That is probably due to the lower occupation within the wagon, which was 50–70% during the evening hours and 90–110% in the morning. The highest concentrations were recorded for the red metro line and among stations at Dafni. An increase of about 13.02 μg/m3 from the previous station (Ag. Dimitrios) was recorded, mainly due to the increased rate of passengers embarking and disembarking at the station as well as the increased rate of passengers waiting on the platform, which further influenced the concentration of the wagon, as long as the doors were open. Concerning the red line, it is noticeable that there is a greater difference between the two examined periods of time. Lower values were recorded in the evening for all stations, and this was mainly associated with the existence of fewer passengers in the wagon.
Figure 3.
The mean PM2.5 concentration at each station for two different time intervals.
Figure 4.
Box plots of the PM2.5 concentration measured at different indoor and outdoor environments included in route 2 for different stations (a) and duration (b).
3.3. Comparison at Different Levels of the Metro Stations
A further study of personal exposure at three different levels within two metro stations, Argiroupoli Metro Station (suburban area) and Egaleo Metro station (urban area), was performed. PM2.5 concentrations were measured for a minimum of 5 min at three different levels of the metro station building: (a) overground entrance (outdoor), (b) the first level of ticket booths (−1 underground), and (c) the underground subway platform, which is below the ticket booth level (−2 underground), and the results are presented in Figure 5. In general, the poorest air quality was found on the platforms for both stations, then at the entrance of the building (outdoor), and finally at the ticket booth level.
Figure 5.
PM2.5 concentrations at three different levels of Argiroupoli metro station (a) and Egaleo metro station (b).
At the entrance to the Argiroupoli station, the mean PM2.5 concentration was 17.5 μg/m3, while at the ticket booth, a slightly lower mean concentration was found (15.2 μg/m3). However, on the platform, a peak value equal to 24.2 μg/m3 was recorded, and more fluctuations compared to the other two levels were observed. The mean value was 21.5 μg/m3. The reason for the lower concentrations at the ticket booth level than the entrance is the architecture of the metro building. Two escalator exits are placed in such a way where a natural stream of air occurs, spreading the particles. Fluctuations observed at the platform level are caused by the constant movement of the passengers coming in and out of the wagons as well as the movement and the breaks of the wagons. That is why concentrations tend to be higher than the other two levels.
At Egaleo station, PM2.5 concentrations were slightly higher (strongly influenced by the geographical position of the station). Starting from the entrance level, the values varied during the period of measurement, having an average concentration of 20.7 μg/m3 and a peak value equal to 28.6 μg/m3. At the ticket booth level, values remained rather stable and similar to the ones measured at Argiroupoli (mean value: 18.5 μg/m3 and peak value: 22.2 μg/m3). Finally, increased values were measured at the platform level with an average concentration equal to 28.1 μg/m3 and 31 μg/m3 peak value. The reason for the higher values at the entrance of Egaleo station is the existence of emissions from commercial cooking activities; multiple coffee shops, restaurants, and breakfast shops operate in the area. Moreover, the municipality of Egaleo is an area characterized by poor air quality. The ticket booth level has a similar structure to the one in Argiroupoli’s station. However, we can observe how the outside environment can influence the micro-environment of the ticket booth level. A significant influence on the deterioration of the metro indoor air quality from outdoor emission sources was also reported by [36]. PM2.5 concentrations on the platform are much higher than the ones at Argiroupoli station. This is due to the structure of the metro station (split platform) as well as the more frequent schedules (approx. every 3–5 min for each route while in Argiroupoli is 6–10 min for each route).
3.4. Parameters Affecting PM2.5 Concentrations
Passenger Density: One of the most critical parameters to consider when studying indoor air quality on public transport is the passenger density on board. Dust particles being on the floor, on clothes, or in the air are resuspended because of the movement of passengers. In the present study, it was found that the number of passengers embarking and disembarking on each station in the metro, regardless of the number of passengers already on board, significantly affected the measured concentrations. At this point, it should be mentioned that the following analysis concerns a passenger density greater than or equal to 80.0%. This practically means that all passenger seats are occupied and there are standing passengers in the wagon that cover at least 80.0% of the total space of the wagon (standing and seated passengers).
More specifically, on the red metro line, the station for which the highest concentration was recorded in the morning from 06:00–09:00 LT was Ilioupoli. Usually, 5 to 8 passengers embarked, and a few people disembarked (2 to 4 passengers). For the second time interval (09:00–12:00 LT), the highest concentrations were recorded at Dafni and Sygrou stations. Particularly, Sygrou station was the most crowded among stations on this route. For the third time interval (12:00–15:00 LT), the highest concentrations were recorded at Dafni and Neos Kosmos stations. At the above-mentioned stations, many passengers embarked and disembarked from the wagon.
Concerning the blue metro line, for the second and third time intervals, the stations where the highest concentrations were recorded (Syntagma and Monastiraki) were both very crowded in the wagon, and a great number of passengers embarked and disembarked from the wagon. For the first time interval, the pattern was identical with the red metro line, where the metro station with the highest average concentration was the station with the highest movement of passengers even though it was not the station with the highest number of passengers on board, with that station being Eleonas. Findings of the present study are in accordance with [37]. PM concentrations were correlated with passenger density, and peak values appeared during busy times.
Doors opening and closing: Another important parameter that needed to be studied was the influence of the doors opening and closing. Due to hardware limitations, more specifically, the data recording delay (10 s) and the short period of time the doors were open, the effect was studied only at the Eleonas station (blue metro line) during the first route, and this was because the doors remained opened for a longer period. Additionally, the concentration was studied from the beginning of the previous metro station (Keramikos) up to the opening of the doors at Egaleo station, which is the next station after Eleonas (Figure 6). The point of the doors opening is aligned at the 14th value (marked with a dot red vertical line) for 4 different cases (4 days out of the 17 total experimental days). The measurements made during the first and third case refer to a newer generation wagon, while the second and fourth cases were made in older generation wagons. All four cases refer to the time interval 6:00–9:00 LT. As we can see from the graph, in all the cases, there is a decrease in concentration a few seconds prior to the opening of the doors. More specifically, all the cases highlighted a decrease from the 11th point onward, which is equal to half a minute prior to the opening of the doors and to the point that the wagons have decreased their speed to the point that are parking the row for the doors to open on the station. It was noticed that passengers waiting to disembark from the wagon remained rather still at that moment. After the opening of the doors, for a short period of time (approximately 20–30 s), an increase in the concentration took place, which was then followed by either an instant or gradual decline, related to the fact that passengers took their position in the wagon and then remained still.
Figure 6.
PM2.5 concentrations at the metro station Eleonas.
Wagon’s age: On the red metro line, two different types of wagons are currently in operation. The older ones (1st generation) were manufactured in 1999 and have been operational since 2001, while the second generation was manufactured in 2006 and have been operational since 2009. The equipment (windows, door opening system, air conditioning system, etc.) also differs between the two types of wagons. To examine the impact of the wagon’s type on the PM2.5 concentrations, values collected at two routes from Argiroupoli to Syntagma stations, during the second time interval (09:00–12:00 LT) were selected (Figure 7). This is because the number of passengers was similar for both routes.
Figure 7.
PM2.5 concentrations measured at two different types of metro wagons.
Both routes started from Argiroupoli station with an occupation level of 50%; for Ilioupoli station, the newer wagon reached full occupation at 100%, while the older wagon route for Ilioupoli station had 90% occupation and increased to 110% at the next station (Agios Dimitrios station). The newer wagon reported the same occupation level for Agios Dimitrios station. At Dafni station, the older wagon reported 140% occupation, while the newer wagon reported 150%. For the rest of the route, both routes reported the same occupation levels with the older wagon being lower by 10% occupation at some stations (Neos Kosmos and Sygrou). As can be seen from Figure 7, for both the routes, the mean PM2.5 concentrations were close: new generation wagon: 38.06 μg/m3, old generation: 36.7 μg/m3. However, the older wagon values tended to be more susceptible to fluctuations throughout the route and reached a peak of 56.62 μg/m3. Moreover, concentrations measured for the newer wagons tended to maintain a smooth distribution over the mean value (max value: 47 μg/m3). This difference in fluctuation could be attributed to significant disparities in ventilation systems between the older and newer wagons.
3.5. Inhaled Dose on Station Platforms
During the experimental campaign, a huge number of records took place on different stations platforms through the subway network. For practical reasons, the most representative results are presented in this paper. In particular, regarding the conditions on the station platforms, and during the passengers’ stay until the arrival of the next train, results for two stations, Argiroupoli station and Syntagma station, are presented. Argiroupoli station is a suburban station that serves only the red line of the metro. In contrast, Syntagma station is the urban central and the busiest metro station, which serves both the red and blue metro lines.
During the experimental campaign, it was observed that the average stay time for the red metro line at Argiroupoli station was about 7~8 min, while at Syntagma station for the blue metro line, the corresponding average stay time on the platform was about 4~5 min. The results for Syntagma station concern an average condition from both the red and blue metro line platforms.
Next, a series of charts is presented regarding the ID during the passengers’ stay on the stations’ docks. These charts are typical bar charts with discrete contour plots. The discrete contour plot is a variation of the contour plot. Instead of drawing isoclines, a box is drawn at each square on the grid. The average response of the four points of this box is used to determine the level for that box. Levels are distinguished by the fill color of the box. Such plots enable us to investigate which age groups are the most vulnerable during their stay on the platforms of metro network stations.
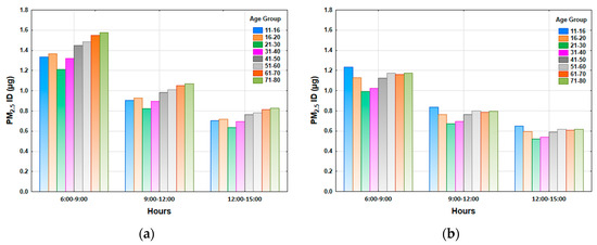
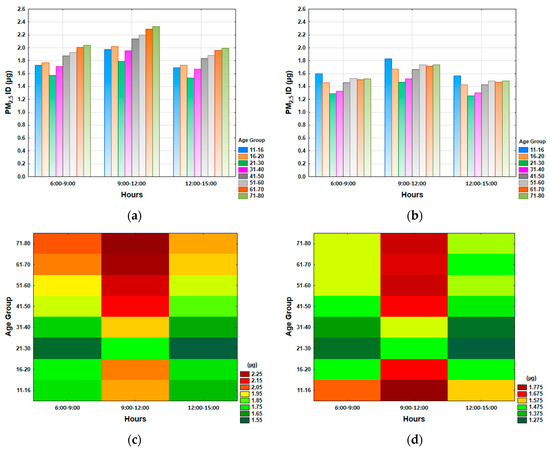
In Figure 8 and Figure 9, the ID values for different age groups on Argiroupoli and Syntagma station platforms are presented, respectively. The ID values refer to the cumulative inhaled mass of PM2.5 (μg) for exposure time interval of Δt, where Δt is the average dwell time on the platforms as mentioned above.

Figure 8.
Cumulative PM2.5 ID bar chart for males (a) and females (b) and contour/discrete chart for males (c) and females (d). Argiroupoli Station Platform.
Figure 9.
Cumulative PM2.5 ID bar chart for males (a) and females (b) and contour/discrete chart for males (c) and females (d). Syntagma Station Platform.
According to Figure 8 (Argiroupoli station) and Figure 9 (Syntagma station), the following was generally observed:
The ID and consequently passenger burden was higher at Syntagma station by about 30.0% for men and about 33.0% for women in comparison with Argiroupoli station.
In all cases, males showed higher values of ID than females.
At the Argiroupoli suburban station, the peak polluted hours and thus the greatest burden was during the time interval 06:00–09:00 LT (approximately 3 h). On the contrary, at the urban central station Syntagma, the corresponding interval time was 09:00–12:00 LT and 12:00–15:00 LT (about 6 consecutive hours).
At the Argiroupoli station, it seems that the highest burden for males was for those over the age of about 55 years old, for the interval time 09:00–12:00 LT. For the same corresponding period, it was observed for females that the most burdened age groups were over 45 years old with an emphasis on 50–60 years old as well as for girls 11–16 years old.
At Syntagma station, the most burdened age groups for males were over 55 years old for 6 consecutive hours (09:00–12:00 LT and 12:00–15:00 LT). For females, it was observed that the most burdened age group for 6 consecutive hours was girls aged 6–11 years old and adult women aged over 55, mainly for the time period 12:00–15:00 LT.
3.6. Inhaled Dose inside Train Wagons
In Figure 10 and Figure 11, the cumulative ID values for different age groups inside the wagons of the blue and the red metro line are presented, respectively. The ID values refer to the cumulative inhaled mass of PM2.5 (μg) for exposure time interval dt, where dt (approximately 15~20 min) is the corresponding average dwell time in a wagon, during the experimental measurement campaign between boarding and alighting from the blue or red line train carriage, respectively.
Figure 10.
Cumulative PM2.5 ID bar chart for males (a) and females (b) and contour/discrete chart for males (c) and females (d). Blue Metro Line wagons.
Figure 11.
Cumulative PM2.5 ID bar chart for males (a) and females (b) and contour/discrete chart for males (c) and females (d). Red Metro Line wagons.
In general terms, for both males and females, the burden was significantly higher in the wagons of the red line compared to the wagons of the blue metro line.
The cumulative ID and consequently passenger burden was higher in the red line wagons up to 90.0% for both men and women in comparison with the blue line wagons.
In all cases, males showed higher values of ID than females.
For both males and females as well as for both the blue and red line wagons, the peak polluted hours and thus the greatest burden appeared during the period 09:00–12:00 LT (approximately 3 h).
Inside the blue line wagons, it seemed that the highest burden for males was for those over the age of about 75 years old, for the interval time 09:00–12:00 LT. For the same corresponding period inside the blue line wagons, it was also observed for females that the most burdened age group was girls 11–16 years old, followed by the 51–60 and 71–80 age groups.
Inside the red line wagons, it seemed also that the highest burden for males was for those over the age of about 70 years old, for the interval time 09:00–12:00 LT. For the same corresponding period inside the red line wagons, it was also observed for females that the most burdened age group was girls 11–16 years old, followed by the age groups over the age of about 55 years old.
4. Conclusions
Many metropolitan areas continue to face persistent challenges in maintaining good air quality both in outdoor and indoor environments. In terms of public transport, it is very important to understand the parameters that define indoor air quality as well as highlight hot spots within the microenvironment. It is paramount not only for safeguarding the health of commuters but also for devising strategies to enhance the sustainability of public transport. In the present study, the personal exposure of a typical passenger to particulate pollution was examined. PM2.5 concentrations were measured while moving from a suburban to mixed industrial–urban area in the Greater Athens Area. Activities included walking, waiting at a bus stop, travelling with a bus, and being at different levels of the Athenian metro network. The main concluding remarks are as follows:
- Higher concentrations were recorded in the industrial–urban suburb (Egaleo) and in the indoor microenvironment (metro wagons).
- Air quality worsens as we go deeper into the metro station. The highest PM values were found at platform_2 (route 1) and platform_4 (route 2), both referring to the Syntagma metro station.
- As for the time interval, concentrations peaked from 09:00–12:00 LT, and this was highly related to the number of passengers in the wagon. The higher the passengers’ density, the higher the recorded concentrations.
- Doors opening and closing at the metro stations can also affect concentrations. After the opening of the doors, for a short period of time (approximately 20–30 s), an increase in the concentration takes place, which is then followed by either an instant or gradual decline related to the fact that passengers took their position in the wagon and then remained still.
- Regarding the PM2.5 ID, we found higher values for males than for females, regardless of whether they were on the platforms or inside the train cars. This is apparently due to the higher IR values of males compared to their female counterparts, due to body structure.
- The Syntagma urban central station appears to be more burdened in terms of pollution than the Argiroupoli suburban station, but during different time intervals. This is obviously because the Syntagma station is a central metro station that serves both train lines at the same time, in contrast to the Argiroupoli station, which is a peripheral station and only serves the red line.
- For males, it seems that the most vulnerable age groups were those over 55–60 years old. On the contrary, for females, it seems that the most vulnerable age group was that of 11–16 years old, followed by the age groups over 55–60 years old.
As for other research, this study is not free of limitations. Firstly, the study lacks dedicated outdoor PM2.5 concentration measurements during the sampling period. This omission prevents direct comparison of personal exposure with ambient levels, which could enrich the study’s interpretation and broaden its impact. Secondly, Purple Air sensors seem like an accessible answer to monitoring PM2.5, a major health concern, but it is crucial to understand their limitations. While these sensors offer a personal and community-driven approach, they may not deliver the same level of precision as professional equipment. Datasheets claim low accuracy, yet real-world performance can vary significantly. Studies as mentioned, have even identified instances where specific sensors exhibit bias, consistently over/underestimating values, and noise, adding random variations to readings. This can significantly impact the accuracy and precision of the data collected. Additionally, environmental factors like temperature, humidity, and climate can further influence sensor performance. It is important to remember that Purple Air sensors should not be considered replacements for professional monitoring in critical applications. However, studies, including those conducted in Athens, Greece, have shown positive correlations between Purple Air PA-II sensors and reference monitors, showcasing their potential for personal and community PM2.5 monitoring. Under similar environmental conditions, they can even yield comparable results to professional equipment, offering valuable insights when used with awareness of their limitations. Remember, cautious interpretation is key. Consulting experts and independent evaluations can offer a more nuanced understanding of their real-world performance. Overall, while Purple Air sensors offer a valuable entry point for PM2.5 monitoring, acknowledging their limitations is crucial for maximizing their benefits and achieving a clearer picture of air quality.
Finally, further research is needed inside the metro network not only to impose limits concerning the ID values aiming to protect public health but also to study additional burdens due to pollution on vulnerable population groups such as babies, adults with chronic diseases (cardiovascular health problems, respiratory health problems, asthma, etc.), smokers, metro employees, train drivers, etc.
Author Contributions
Conceptualization, K.M.; methodology, K.M., K.-M.F., and G.S.; software, K.M., K.-M.F., G.S., and D.-M.R.; formal analysis, K.M., K.-M.F., G.S., and D.-M.R.; investigation, K.M., K.-M.F., G.S., and D.-M.R.; data curation, K.M., K.-M.F., G.S., and D.-M.R.; writing—original draft preparation, K.M., K.-M.F., G.S., and D.-M.R.; visualization, K.M., K.-M.F., and D.-M.R.; and supervision, K.M. All authors have read and agreed to the published version of the manuscript.
Funding
This research received no external funding.
Institutional Review Board Statement
Not applicable.
Informed Consent Statement
Not applicable.
Data Availability Statement
Data available on request due to restrictions-privacy. The data presented in this study are available on request from the corresponding author. The data are not publicly available due to privacy.
Conflicts of Interest
The authors declare no conflicts of interest.
References
- Reche, C.; Moreno, T.; Martins, V.; Minguillón, M.C.; Jones, T.; De Miguel, E.; Capdevila, M.; Centelles, S.; Querol, X. Factors Controlling Particle Number Concentration and Size at Metro Stations. Atmos. Environ. 2017, 156, 169–181. [Google Scholar] [CrossRef]
- Yan, C.; Zheng, M.; Yang, Q.; Zhang, Q.; Qiu, X.; Zhang, Y.; Fu, H.; Li, X.; Zhu, T.; Zhu, Y. Commuter Exposure to Particulate Matter and Particle-Bound PAHs in Three Transportation Modes in Beijing, China. Environ. Pollut. 2015, 204, 199–206. [Google Scholar] [CrossRef]
- Cartenì, A.; Cascetta, F.; Campana, S. Underground and Ground-Level Particulate Matter Concentrations in an Italian Metro System. Atmos. Environ. 2015, 101, 328–337. [Google Scholar] [CrossRef]
- Midander, K.; Elihn, K.; Wallén, A.; Belova, L.; Karlsson, A.-K.B.; Wallinder, I.O. Characterisation of Nano- and Micron-Sized Airborne and Collected Subway Particles, a Multi-Analytical Approach. Sci. Total Environ. 2012, 427–428, 390–400. [Google Scholar] [CrossRef]
- Martins, V.; Moreno, T.; Minguillón, M.C.; Amato, F.; De Miguel, E.; Capdevila, M.; Querol, X. Exposure to Airborne Particulate Matter in the Subway System. Sci. Total Environ. 2015, 511, 711–722. [Google Scholar] [CrossRef]
- Martins, V.; Moreno, T.; Mendes, L.; Eleftheriadis, K.; Diapouli, E.; Alves, C.A.; Duarte, M.; De Miguel, E.; Capdevila, M.; Querol, X.; et al. Factors Controlling Air Quality in Different European Subway Systems. Environ. Res. 2016, 146, 35–46. [Google Scholar] [CrossRef] [PubMed]
- Aarnio, P.; Yli-Tuomi, T.; Kousa, A.; Mäkelä, T.; Hirsikko, A.; Hämeri, K.; Räisänen, M.; Hillamo, R.; Koskentalo, T.; Jantunen, M. The Concentrations and Composition of and Exposure to Fine Particles (PM2.5) in the Helsinki Subway System. Atmos. Environ. 2005, 39, 5059–5066. [Google Scholar] [CrossRef]
- Mugica-Álvarez, V.; Figueroa-Lara, J.; Romero-Romo, M.; Sepúlveda-Sánchez, J.; López-Moreno, T. Concentrations and Properties of Airborne Particles in the Mexico City Subway System. Atmos. Environ. 2012, 49, 284–293. [Google Scholar] [CrossRef]
- Raut, J.-C.; Chazette, P.; Fortain, A. Link between Aerosol Optical, Microphysical and Chemical Measurements in an Underground Railway Station in Paris. Atmos. Environ. 2009, 43, 860–868. [Google Scholar] [CrossRef]
- Wang, X.; Oliver Gao, H. Exposure to Fine Particle Mass and Number Concentrations in Urban Transportation Environments of New York City. Transp. Res. Part D Transp. Environ. 2011, 16, 384–391. [Google Scholar] [CrossRef]
- Kappelt, N.; Russell, H.S.; Fessa, D.; Ryswyk, K.V.; Hertel, O.; Johnson, M.S. Particulate Air Pollution in the Copenhagen Metro Part 1: Mass Concentrations and Ventilation. Environ. Int. 2023, 171, 107621. [Google Scholar] [CrossRef] [PubMed]
- Moreno, T.; Martins, V.; Querol, X.; Jones, T.; BéruBé, K.; Minguillón, M.C.; Amato, F.; Capdevila, M.; De Miguel, E.; Centelles, S.; et al. A New Look at Inhalable Metalliferous Airborne Particles on Rail Subway Platforms. Sci. Total Environ. 2015, 505, 367–375. [Google Scholar] [CrossRef] [PubMed]
- Hwang, S.H.; Park, W.M.; Park, J.B.; Nam, T. Characteristics of PM10 and CO2 Concentrations on 100 Underground Subway Station Platforms in 2014 and 2015. Atmos. Environ. 2017, 167, 143–149. [Google Scholar] [CrossRef]
- Tan, S.T.; Mohamed, N.; Ng, L.C.; Aik, J. Air Quality in Underground Metro Station Commuter Platforms in Singapore: A Cross-Sectional Analysis of Factors Influencing Commuter Exposure Levels. Atmos. Environ. 2022, 273, 118962. [Google Scholar] [CrossRef]
- Martins, V.; Correia, C.; Cunha-Lopes, I.; Faria, T.; Diapouli, E.; Manousakas, M.I.; Eleftheriadis, K.; Almeida, S.M. Chemical Characterisation of Particulate Matter in Urban Transport Modes. J. Environ. Sci. 2021, 100, 51–61. [Google Scholar] [CrossRef] [PubMed]
- Grass, D.S.; Ross, J.M.; Family, F.; Barbour, J.; James Simpson, H.; Coulibaly, D.; Hernandez, J.; Chen, Y.; Slavkovich, V.; Li, Y.; et al. Airborne Particulate Metals in the New York City Subway: A Pilot Study to Assess the Potential for Health Impacts. Environ. Res. 2010, 110, 1–11. [Google Scholar] [CrossRef] [PubMed]
- Dinh, T.-V.; Park, B.-G.; Lee, S.-W.; Park, J.-H.; Baek, D.-H.; Choi, I.-Y.; Seo, Y.-B.; Kim, J.-C. Comparison of PM2.5 Monitoring Data Using Light Scattering and Beta Attenuation Methods: A Case Study in Seoul Metro Subway. Asian J. Atmos. Environ. 2022, 16, 43–53. [Google Scholar] [CrossRef]
- Collado, J.T.; Abalos, J.G.; De Los Reyes, I.; Cruz, M.T.; Leung, G.F.; Abenojar, K.; Manalo, C.R.; Go, B.; Chan, C.L.; Gonzales, C.K.G.; et al. Spatiotemporal Assessment of PM2.5 Exposure of a High-Risk Occupational Group in a Southeast Asian Megacity. Aerosol Air Qual. Res. 2023, 23, 220134. [Google Scholar] [CrossRef]
- Wu, T.G.; Chen, Y.D.; Chen, B.H.; Harada, K.H.; Lee, K.; Deng, F.; Rood, M.J.; Chen, C.C.; Tran, C.T.; Chien, K.L.; et al. Identifying Low-PM2.5 Exposure Commuting Routes for Cyclists through Modeling with the Random Forest Algorithm Based on Low-Cost Sensor Measurements in Three Asian Cities. Environ. Pollut. 2022, 294, 118597. [Google Scholar] [CrossRef]
- Hart, R.; Liang, L.; Dong, P. Monitoring, Mapping, and Modeling Spatial–Temporal Patterns of PM2.5 for Improved Understanding of Air Pollution Dynamics Using Portable Sensing Technologies. Int. J. Environ. Res. Public Health 2020, 17, 4914. [Google Scholar] [CrossRef]
- Munir, M.M.; Adrian, M.; Saputra, C.; Lestari, P. Utilizing Low-Cost Mobile Monitoring to Estimate the PM2.5 Inhaled Dose in Urban Environment. Aerosol Air Qual. Res. 2022, 22, 220079. [Google Scholar] [CrossRef]
- Ramos, M.J.; Vasconcelos, A.; Faria, M. Comparison of Particulate Matter Inhalation for Users of Different Transport Modes in Lisbon. Transp. Res. Procedia 2015, 10, 433–442. [Google Scholar] [CrossRef]
- Lin, C.; Wu, L.; Xia, H.; Zhen, M.; Shen, C.; Zhu, J.; Li, X. Characteristics of the Thermal Environment, Air Quality, and Passenger Comfort in the Underground Transfer Space of Metro Stations in Beijing. J. Build. Eng. 2022, 59, 105093. [Google Scholar] [CrossRef]
- Barmparesos, N.; Assimakopoulos, V.D.; Niki Assimakopoulos, M.; Tsairidi, E. Particulate Matter Levels and Comfort Conditions in the Trains and Platforms of the Athens Underground Metro. AIMS Environ. Sci. 2016, 3, 199–219. [Google Scholar] [CrossRef]
- ‘Our Technology—PurpleAir Laser Particle Counters & Arduinos’. PurpleAir, Inc. Available online: https://www2.purpleair.com/pages/technology (accessed on 23 May 2022).
- ‘Performance Calibration of Low-Cost and Portable Particular Matter (PM) Sensors|Elsevier Enhanced Reader’. Available online: https://www.sciencedirect.com/science/article/abs/pii/S0021850217300848 (accessed on 20 May 2022).
- Spyropoulos, G.C.; Nastos, P.T.; Moustris, K.P. Performance of Aether Low-Cost Sensor Device for Air Pollution Measurements in Urban Environments. Accuracy Evaluation Applying the Air Quality Index (AQI). Atmosphere 2021, 12, 1246. [Google Scholar] [CrossRef]
- Molina Rueda, E.; Carter, E.; L’Orange, C.; Quinn, C.; Volckens, J. Size-Resolved Field Performance of Low-Cost Sensors for Particulate Matter Air Pollution. Environ. Sci. Technol. Lett. 2023, 10, 247–253. [Google Scholar] [CrossRef]
- Stavroulas, I.; Grivas, G.; Michalopoulos, P.; Liakakou, E.; Bougiatioti, A.; Kalkavouras, P.; Fameli, K.M.; Hatzianastassiou, N.; Mihalopoulos, N.; Gerasopoulos, E. Field Evaluation of Low-Cost PM Sensors (Purple Air PA-II) Under Variable Urban Air Quality Conditions, in Greece. Atmosphere 2020, 11, 926. [Google Scholar] [CrossRef]
- Ardon-Dryer, K.; Dryer, Y.; Williams, J.N.; Moghimi, N. Measurements of PM2.5 with PurpleAir under atmospheric conditions. Atmos. Meas. Tech. 2019, 13, 5441–5458. [Google Scholar] [CrossRef]
- Ko, K.; Cho, S.; Rao, R.R. Evaluation of Calibration Performance of a Low-Cost Particulate Matter Sensor Using Colocated and Distant NO2. EGUsphere 2023. preprint. [Google Scholar] [CrossRef]
- US EPA (U.S. Environmental Protection Agency). Risk Assessment Guidance for Superfund, Vol. I: Human Health Evaluation Manual; EPA/540/1-89/002; Office of Emergency and Remedial Response: Washington, DC, USA, 1989.
- Huang, S.; Wang, H.; Wu, D.; Ma, R.; Sun, L.; Deng, M. Influencing Factors of Particulate Matter Concentration in the Metro Carriage and the Corresponding Inhalation Intake Estimation: A Field Measurement in Chengdu. Atmosphere 2022, 13, 1821. [Google Scholar] [CrossRef]
- Yu, Q.; Lu, Y.; Xiao, S.; Shen, J.; Li, X.; Ma, W.; Chen, L. Commuters’ exposure to PM1 by common travel modes in Shanghai. Atmos. Environ. 2012, 59, 39–46. [Google Scholar] [CrossRef]
- United States Environmental Protection Agency (USEPA). Exposure Factors Handbook Chapter 6. Exposure Factors Handbook, 2011th ed.; Tables 6–17 & Tables 9–19; United States Environmental Protection Agency (USEPA): Washington, DC, USA, 2011. Available online: https://www.epa.gov/expobox/exposure-factors-handbook-chapter-6 (accessed on 23 May 2022).
- Passi, A.; Shiva Nagendra, S.M.; Maiya, M.P. Assessment of Indoor and Outdoor Exposure to Airborne Particles in Subway Metro Stations and Their Associated Health Risks. In WIT Transactions on Ecology and the Environment; WIT Press: Billerica, MA, USA, 2021; Volume 252, pp. 85–96. [Google Scholar] [CrossRef]
- Kumar, P.; Zavala-Reyes, J.C.; Kalaiarasan, G.; Abubakar-Waziri, H.; Young, G.; Mudway, I.; Dilliway, C.; Lakhdar, R.; Mumby, S.; Kłosowski, M.M.; et al. Characteristics of Fine and Ultrafine Aerosols in the London Underground. Sci. Total Environ. 2023, 858, 159315. [Google Scholar] [CrossRef] [PubMed]
Disclaimer/Publisher’s Note: The statements, opinions and data contained in all publications are solely those of the individual author(s) and contributor(s) and not of MDPI and/or the editor(s). MDPI and/or the editor(s) disclaim responsibility for any injury to people or property resulting from any ideas, methods, instructions or products referred to in the content. |
© 2024 by the authors. Licensee MDPI, Basel, Switzerland. This article is an open access article distributed under the terms and conditions of the Creative Commons Attribution (CC BY) license (https://creativecommons.org/licenses/by/4.0/).