CO2 Absorption by Solvents Consisting of TMG Protic Ionic Liquids and Ethylene Glycol: The Influence of Hydrogen Bonds
Abstract
1. Introduction
2. Materials and Methods
2.1. Materials and Characterizations
2.2. Synthesis of ILs and IL-EG Mixtures
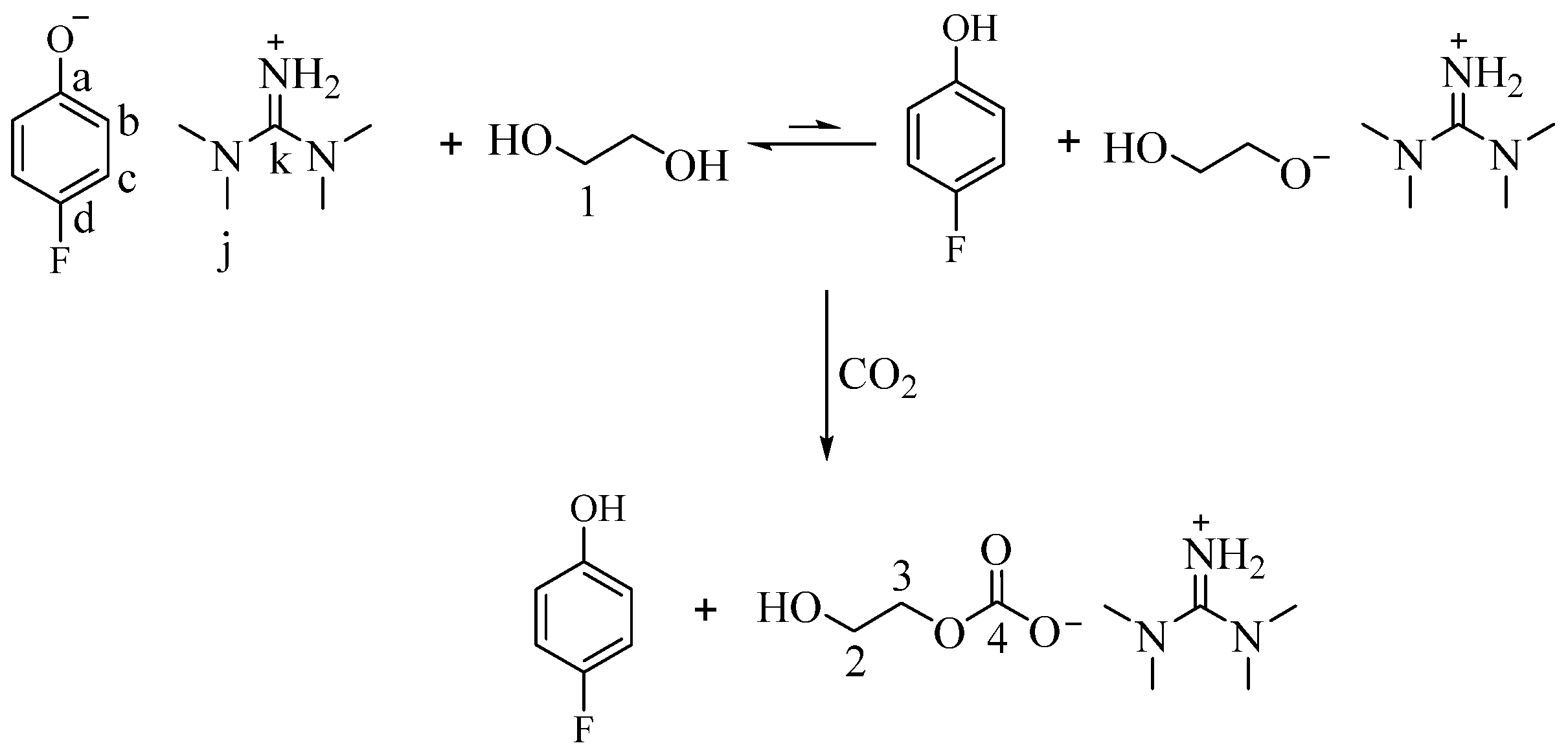
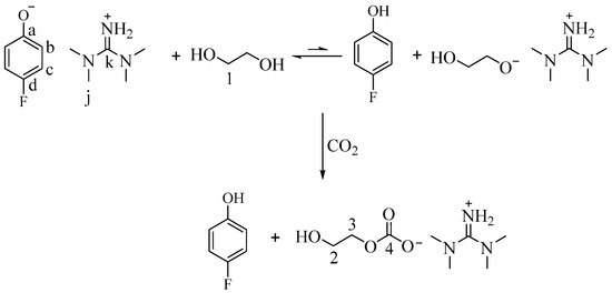
2.3. Absorption of CO2
2.4. Computational Methodology
3. Results and Discussion
4. Conclusions
Supplementary Materials
Author Contributions
Funding
Data Availability Statement
Conflicts of Interest
References
- Zhang, Z.; Zheng, Y.; Qian, L.; Luo, D.; Dou, H.; Wen, G.; Yu, A.; Chen, Z. Emerging Trends in Sustainable CO2-Management Materials. Adv. Mater. 2022, 34, 2201547. [Google Scholar] [CrossRef] [PubMed]
- Madejski, P.; Chmiel, K.; Subramanian, N.; Kuś, T. Methods and Techniques for CO2 Capture: Review of Potential Solutions and Applications in Modern Energy Technologies. Energies 2022, 15, 887. [Google Scholar] [CrossRef]
- Aghel, B.; Janati, S.; Wongwises, S.; Shadloo, M.S. Review on CO2 capture by blended amine solutions. Int. J. Greenh. Gas Control 2022, 119, 103715. [Google Scholar] [CrossRef]
- Sun, S.; Sun, H.; Williams, P.T.; Wu, C. Recent advances in integrated CO2 capture and utilization: A review. Sustain. Energy Fuels 2021, 5, 4546–4559. [Google Scholar] [CrossRef]
- Wang, Y.; He, H.; Wang, C.; Lu, Y.; Dong, K.; Huo, F.; Zhang, S. Insights into Ionic Liquids: From Z-Bonds to Quasi-Liquids. JACS Au 2022, 2, 543–561. [Google Scholar] [CrossRef] [PubMed]
- Kaur, G.; Kumar, H.; Singla, M. Diverse applications of ionic liquids: A comprehensive review. J. Mol. Liq. 2022, 351, 118556. [Google Scholar] [CrossRef]
- Pei, Y.; Zhang, Y.; Ma, J.; Fan, M.; Zhang, S.; Wang, J. Ionic liquids for advanced materials. Mater. Today Nano 2022, 17, 100159. [Google Scholar] [CrossRef]
- Piatti, E.; Guglielmero, L.; Tofani, G.; Mezzetta, A.; Guazzelli, L.; D’Andrea, F.; Roddaro, S.; Pomelli, C.S. Ionic liquids for electrochemical applications: Correlation between molecular structure and electrochemical stability window. J. Mol. Liq. 2022, 364, 120001. [Google Scholar] [CrossRef]
- Zhang, R.; Ke, Q.; Zhang, Z.; Zhou, B.; Cui, G.; Lu, H. Tuning Functionalized Ionic Liquids for CO2 Capture. Int. J. Mol. Sci. 2022, 23, 11401. [Google Scholar] [CrossRef]
- Suo, X.; Fu, Y.; Do-Thanh, C.-L.; Qiu, L.-Q.; Jiang, D.-e.; Mahurin, S.M.; Yang, Z.; Dai, S. CO2 Chemisorption Behavior in Conjugated Carbanion-Derived Ionic Liquids via Carboxylic Acid Formation. J. Am. Chem. Soc. 2022, 144, 21658–21663. [Google Scholar] [CrossRef] [PubMed]
- Qiu, L.; Fu, Y.; Yang, Z.; Johnson, A.C.; Do-Thanh, C.-L.; Thapaliya, B.P.; Mahurin, S.M.; He, L.-N.; Jiang, D.-E.; Dai, S. Surpassing the Performance of Phenolate-derived Ionic Liquids in CO2 Chemisorption by Harnessing the Robust Nature of Pyrazolonates. ChemSusChem 2023, e202301329. [Google Scholar] [CrossRef] [PubMed]
- Yoon, B.; Voth, G.A. Elucidating the Molecular Mechanism of CO2 Capture by Amino Acid Ionic Liquids. J. Am. Chem. Soc. 2023, 145, 15663–15667. [Google Scholar] [CrossRef] [PubMed]
- Gurau, G.; Rodríguez, H.; Kelley, S.P.; Janiczek, P.; Kalb, R.S.; Rogers, R.D. Demonstration of Chemisorption of Carbon Dioxide in 1,3-Dialkylimidazolium Acetate Ionic Liquids. Angew. Chem. Int. Ed. 2011, 50, 12024–12026. [Google Scholar] [CrossRef] [PubMed]
- Wang, C.; Luo, X.; Luo, H.; Jiang, D.-e.; Li, H.; Dai, S. Tuning the Basicity of Ionic Liquids for Equimolar CO2 Capture. Angew. Chem. Int. Ed. 2011, 50, 4918–4922. [Google Scholar] [CrossRef]
- Seo, S.; Quiroz-Guzman, M.; DeSilva, M.A.; Lee, T.B.; Huang, Y.; Goodrich, B.F.; Schneider, W.F.; Brennecke, J.F. Chemically Tunable Ionic Liquids with Aprotic Heterocyclic Anion (AHA) for CO2 Capture. J. Phys. Chem. B 2014, 118, 5740–5751. [Google Scholar] [CrossRef]
- Seo, S.; DeSilva, M.A.; Xia, H.; Brennecke, J.F. Effect of Cation on Physical Properties and CO2 Solubility for Phosphonium-Based Ionic Liquids with 2-Cyanopyrrolide Anions. J. Phys. Chem. B 2015, 119, 11807–11814. [Google Scholar] [CrossRef]
- Wang, C.; Luo, H.; Li, H.; Zhu, X.; Yu, B.; Dai, S. Tuning the Physicochemical Properties of Diverse Phenolic Ionic Liquids for Equimolar CO2 Capture by the Substituent on the Anion. Chem. Eur. J. 2012, 18, 2153–2160. [Google Scholar] [CrossRef]
- Luo, X.; Guo, Y.; Ding, F.; Zhao, H.; Cui, G.; Li, H.; Wang, C. Significant Improvements in CO2 Capture by Pyridine-Containing Anion-Functionalized Ionic Liquids through Multiple-Site Cooperative Interactions. Angew. Chem. Int. Ed. 2014, 53, 7053–7057. [Google Scholar] [CrossRef]
- Huang, Y.; Cui, G.; Zhao, Y.; Wang, H.; Li, Z.; Dai, S.; Wang, J. Preorganization and Cooperation for Highly Efficient and Reversible Capture of Low-Concentration CO2 by Ionic Liquids. Angew. Chem. Int. Ed. 2017, 56, 13293–13297. [Google Scholar] [CrossRef]
- Wang, C.; Luo, H.; Jiang, D.-e.; Li, H.; Dai, S. Carbon Dioxide Capture by Superbase-Derived Protic Ionic Liquids. Angew. Chem. Int. Ed. 2010, 49, 5978–5981. [Google Scholar] [CrossRef]
- Lei, X.; Xu, Y.; Zhu, L.; Wang, X. Highly efficient and reversible CO2 capture through 1,1,3,3-tetramethylguanidinium imidazole ionic liquid. Rsc. Adv. 2014, 4, 7052–7057. [Google Scholar] [CrossRef]
- Zhu, X.; Song, M.; Xu, Y. DBU-Based Protic Ionic Liquids for CO2 Capture. ACS Sustain. Chem. Eng. 2017, 5, 8192–8198. [Google Scholar] [CrossRef]
- Gao, F.; Wang, Z.; Ji, P.; Cheng, J.-P. CO2 Absorption by DBU-Based Protic Ionic Liquids: Basicity of Anion Dictates the Absorption Capacity and Mechanism. Front. Chem. 2019, 6, 658. [Google Scholar] [CrossRef] [PubMed]
- Li, F.; Bai, Y.; Zeng, S.; Liang, X.; Wang, H.; Huo, F.; Zhang, X. Protic ionic liquids with low viscosity for efficient and reversible capture of carbon dioxide. Int. J. Greenh. Gas Control 2019, 90, 102801. [Google Scholar] [CrossRef]
- Oncsik, T.; Vijayaraghavan, R.; MacFarlane, D.R. High CO2 absorption by diamino protic ionic liquids using azolide anions. Chem. Commun. 2018, 54, 2106–2109. [Google Scholar] [CrossRef] [PubMed]
- Simons, T.J.; Verheyen, T.; Izgorodina, E.I.; Vijayaraghavan, R.; Young, S.; Pearson, A.K.; Pas, S.J.; MacFarlane, D.R. Mechanisms of low temperature capture and regeneration of CO2 using diamino protic ionic liquids. Phys. Chem. Chem. Phys. 2016, 18, 1140–1149. [Google Scholar] [CrossRef]
- Wang, X.; Wu, C.; Yang, D. CO2 Absorption Mechanism by Diamino Protic Ionic Liquids (DPILs) Containing Azolide Anions. Processes 2021, 9, 1023. [Google Scholar] [CrossRef]
- Mukesh, C.; Khokarale, S.G.; Virtanen, P.; Mikkola, J.-P. Rapid desorption of CO2 from deep eutectic solvents based on polyamines at lower temperatures: An alternative technology with industrial potential. Sustain. Energy Fuels 2019, 3, 2125–2134. [Google Scholar] [CrossRef]
- Xiong, W.; Shi, M.; Peng, L.; Zhang, X.; Hu, X.; Wu, Y. Low viscosity superbase protic ionic liquids for the highly efficient simultaneous removal of H2S and CO2 from CH4. Sep. Purif. Technol. 2021, 263, 118417. [Google Scholar] [CrossRef]
- Zailani, N.H.Z.O.; Yunus, N.M.; Ab Rahim, A.H.; Bustam, M.A. Experimental Investigation on Thermophysical Properties of Ammonium-Based Protic Ionic Liquids and Their Potential Ability towards CO2 Capture. Molecules 2022, 27, 851. [Google Scholar] [CrossRef]
- Ma, J.; Wang, Y.; Yang, X.; Zhu, M.; Wang, B. DFT Study on the Chemical Absorption Mechanism of CO2 in Diamino Protic Ionic Liquids. J. Phys. Chem. B 2021, 125, 1416–1428. [Google Scholar] [CrossRef]
- Frisch, M.T.; Trucks, G.W.; Schlegel, H.B.; Scuseria, G.; Robb, M.; Cheeseman, J.; Scalmani, G.; Barone, V.; Mennucci, B.; Petersson, G. Gaussian 09, Revision D. 01; Gaussian, Inc.: Wallingford, CT, USA, 2009. [Google Scholar]
- Zhao, Y.; Truhlar, D.G. The M06 suite of density functionals for main group thermochemistry, thermochemical kinetics, noncovalent interactions, excited states, and transition elements: Two new functionals and systematic testing of four M06-class functionals and 12 other functionals. Theor. Chem. Acc. 2008, 120, 215–241. [Google Scholar]
- Kendall, R.A.; Dunning, T.H.; Harrison, R.J., Jr. Electron affinities of the first—Row atoms revisited. Systematic basis sets and wave functions. J. Chem. Phys. 1992, 96, 6796–6806. [Google Scholar] [CrossRef]
- Bader, R.F.W. Atoms in molecules. Acc. Chem. Res. 1985, 18, 9–15. [Google Scholar] [CrossRef]
- Lu, T.; Chen, F. Atomic dipole moment corrected hirshfeld population method. J. Theor. Comput. Chem. 2012, 11, 163. [Google Scholar] [CrossRef]
- Lu, T.; Chen, F. Multiwfn: A multifunctional wavefunction analyzer. J. Comput. Chem. 2012, 33, 580–592. [Google Scholar] [CrossRef]
- Humphrey, W.; Dalke, A.; Schulten, K. VMD: Visual molecular dynamics. J. Mol. Graph. Model. 1996, 14, 33–38. [Google Scholar] [CrossRef] [PubMed]
- Lee, Y.-Y.; Penley, D.; Klemm, A.; Dean, W.; Gurkan, B. Deep Eutectic Solvent Formed by Imidazolium Cyanopyrrolide and Ethylene Glycol for Reactive CO2 Separations. ACS Sustain. Chem. Eng. 2021, 9, 1090–1098. [Google Scholar] [CrossRef]
- Wang, Z.; Wu, C.; Wang, Z.; Zhang, S.; Yang, D. CO2 capture by 1,2,3-triazole-based deep eutectic solvents: The unexpected role of hydrogen bonds. Chem. Commun. 2022, 58, 7376–7379. [Google Scholar] [CrossRef]
- Chen, M.; Xu, J. CO2 Capture Mechanism by Deep Eutectic Solvents Formed by Choline Prolinate and Ethylene Glycol. Molecules 2023, 28, 5461. [Google Scholar] [CrossRef]
- Ballinger, P.; Long, F.A. Acid Ionization Constants of Alcohols. II. Acidities of Some Substituted Methanols and Related Compounds. J. Am. Chem. Soc. 1960, 82, 795–798. [Google Scholar] [CrossRef]
- Tshepelevitsh, S.; Kütt, A.; Lõkov, M.; Kaljurand, I.; Saame, J.; Heering, A.; Plieger, P.G.; Vianello, R.; Leito, I. On the Basicity of Organic Bases in Different Media. Eur. J. Org. Chem. 2019, 2019, 6735–6748. [Google Scholar] [CrossRef]
- Bijloo, G.J.; Rekker, R.F. Some Critical Remarks Concerning the Inductive Parameter σI Part III: Parametrization of the Ortho Effect in Benzoic Acids and Phenols. Quant. Struct. Act. Relatsh. 1984, 3, 91–96. [Google Scholar] [CrossRef]
- Gilli, P.; Pretto, L.; Bertolasi, V.; Gilli, G. Predicting Hydrogen-Bond Strengths from Acid−Base Molecular Properties. The pKa Slide Rule: Toward the Solution of a Long-Lasting Problem. Acc. Chem. Res. 2009, 42, 33–44. [Google Scholar] [CrossRef] [PubMed]
- Grabowski, S.J. What is the Covalency of Hydrogen Bonding? Chem. Rev. 2011, 111, 2597–2625. [Google Scholar] [CrossRef] [PubMed]
- Espinosa, E.; Molins, E.; Lecomte, C. Hydrogen bond strengths revealed by topological analyses of experimentally observed electron densities. Chem. Phys. Lett. 1998, 285, 170–173. [Google Scholar] [CrossRef]
- Aquino, A.J.A.; Tunega, D.; Haberhauer, G.; Gerzabek, M.H.; Lischka, H. Solvent Effects on Hydrogen Bonds: A Theoretical Study. J. Phys. Chem. A 2002, 106, 1862–1871. [Google Scholar] [CrossRef]
- Zhang, N.; Huang, Z.; Zhang, H.; Ma, J.; Jiang, B.; Zhang, L. Highly Efficient and Reversible CO2 Capture by Task-Specific Deep Eutectic Solvents. Ind. Eng. Chem. Res. 2019, 58, 13321–13329. [Google Scholar] [CrossRef]
- Cui, G.; Lv, M.; Yang, D. Efficient CO2 absorption by azolide-based deep eutectic solvents. Chem. Commun. 2019, 55, 1426–1429. [Google Scholar] [CrossRef] [PubMed]
- Wang, Z.; Wang, Z.; Huang, X.; Yang, D.; Wu, C.; Chen, J. Deep eutectic solvents composed of bio-phenol-derived superbase ionic liquids and ethylene glycol for CO2 capture. Chem. Commun. 2022, 58, 2160–2163. [Google Scholar] [CrossRef]
- Wang, Z.; Wang, Z.; Chen, J.; Wu, C.; Yang, D. The Influence of Hydrogen Bond Donors on the CO2 Absorption Mechanism by the Bio-Phenol-Based Deep Eutectic Solvents. Molecules 2021, 26, 7167. [Google Scholar] [CrossRef] [PubMed]
- Fu, H.; Wang, X.; Sang, H.; Liu, J.; Lin, X.; Zhang, L. Highly efficient absorption of carbon dioxide by EG-assisted DBU-based deep eutectic solvents. J. CO2 Util. 2021, 43, 101372. [Google Scholar] [CrossRef]
- Nie, M.-N.; Wang, Z.; Niu, Q.-H.; Dai, J.-X.; Wang, Q.-Q.; Peng, J.-S.; Ji, P. Acidity Scale in a Choline Chloride- and Ethylene Glycol-Based Deep Eutectic Solvent and Its Implication on Carbon Dioxide Absorption. J. Org. Chem. 2023, 88, 5368–5376. [Google Scholar] [CrossRef] [PubMed]
- Klemm, A.; Vicchio, S.P.; Bhattacharjee, S.; Cagli, E.; Park, Y.; Zeeshan, M.; Dikki, R.; Liu, H.; Kidder, M.K.; Getman, R.B.; et al. Impact of Hydrogen Bonds on CO2 Binding in Eutectic Solvents: An Experimental and Computational Study toward Sorbent Design for CO2 Capture. ACS Sustain. Chem. Eng. 2023, 11, 3740–3749. [Google Scholar] [CrossRef]
- Jiang, B.; Ma, J.; Yang, N.; Huang, Z.; Zhang, N.; Tantai, X.; Sun, Y.; Zhang, L. Superbase/Acylamido-Based Deep Eutectic Solvents for Multiple-Site Efficient CO2 Absorption. Energy Fuels 2019, 33, 7569–7577. [Google Scholar] [CrossRef]
- Mei, K.; He, X.; Chen, K.; Zhou, X.; Li, H.; Wang, C. Highly Efficient CO2 Capture by Imidazolium Ionic Liquids through a Reduction in the Formation of the Carbene–CO2 Complex. Ind. Eng. Chem. Res. 2017, 56, 8066–8072. [Google Scholar] [CrossRef]
- Luo, X.-Y.; Chen, X.-Y.; Qiu, R.-X.; Pei, B.-Y.; Wei, Y.; Hu, M.; Lin, J.-Q.; Zhang, J.-Y.; Luo, G.-G. Enhanced CO2 capture by reducing cation–anion interactions in hydroxyl-pyridine anion-based ionic liquids. Dalton Trans. 2019, 48, 2300–2307. [Google Scholar] [CrossRef]









| Systems | a CP | HB | b dHB | c angleHB | d EHB |
|---|---|---|---|---|---|
| [TMGH][4-F-PhO] | CP1 | C-H∙∙∙O | 2.385 | 117.7 | −3.3 |
| CP2 | N-H∙∙∙O | 1.576 | 161.5 | −21.0 | |
| CP3 | C-H∙∙∙H-C | 2.304 | 137.9 | −1.0 | |
| [TMGH][4-F-PhO]-EG | CP1 | C-H∙∙∙O | 2.637 | 109.2 | −2.0 |
| CP2 | C-H∙∙∙O | 2.560 | 109.9 | −2.6 | |
| CP3 | O-H∙∙∙O | 1.677 | 172.8 | −13.1 | |
| CP4 | N-H∙∙∙O | 1.620 | 161.1 | −17.6 | |
| CP5 | C-H∙∙∙H-C | 2.394 | 137.6 | −0.8 |
Disclaimer/Publisher’s Note: The statements, opinions and data contained in all publications are solely those of the individual author(s) and contributor(s) and not of MDPI and/or the editor(s). MDPI and/or the editor(s) disclaim responsibility for any injury to people or property resulting from any ideas, methods, instructions or products referred to in the content. |
© 2024 by the authors. Licensee MDPI, Basel, Switzerland. This article is an open access article distributed under the terms and conditions of the Creative Commons Attribution (CC BY) license (https://creativecommons.org/licenses/by/4.0/).
Share and Cite
Lu, B.; Zeng, Y.; Chen, M.; Zhang, S.; Yang, D. CO2 Absorption by Solvents Consisting of TMG Protic Ionic Liquids and Ethylene Glycol: The Influence of Hydrogen Bonds. Atmosphere 2024, 15, 229. https://doi.org/10.3390/atmos15020229
Lu B, Zeng Y, Chen M, Zhang S, Yang D. CO2 Absorption by Solvents Consisting of TMG Protic Ionic Liquids and Ethylene Glycol: The Influence of Hydrogen Bonds. Atmosphere. 2024; 15(2):229. https://doi.org/10.3390/atmos15020229
Chicago/Turabian StyleLu, Bohao, Yixing Zeng, Mingzhe Chen, Shaoze Zhang, and Dezhong Yang. 2024. "CO2 Absorption by Solvents Consisting of TMG Protic Ionic Liquids and Ethylene Glycol: The Influence of Hydrogen Bonds" Atmosphere 15, no. 2: 229. https://doi.org/10.3390/atmos15020229
APA StyleLu, B., Zeng, Y., Chen, M., Zhang, S., & Yang, D. (2024). CO2 Absorption by Solvents Consisting of TMG Protic Ionic Liquids and Ethylene Glycol: The Influence of Hydrogen Bonds. Atmosphere, 15(2), 229. https://doi.org/10.3390/atmos15020229

