Quantifying the Influence of Cloud Seeding on Ice Particle Growth and Snowfall Through Idealized Microphysical Modeling
Abstract
1. Introduction
2. Data and Methodology
2.1. Datasets
2.2. Snow Growth Model for Rimed Snowfall
3. Results and Discussion
3.1. Atmospheric Condition
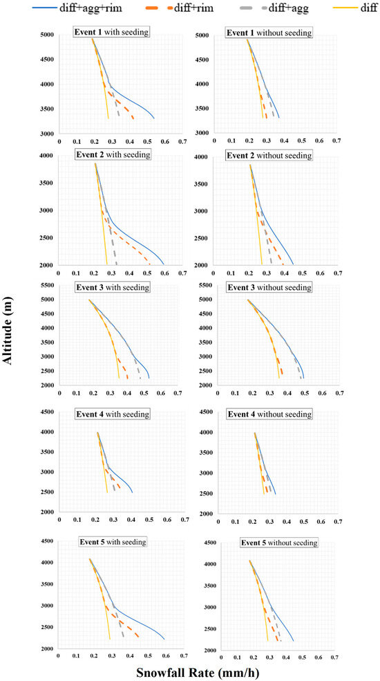
3.2. Model Results
4. Conclusions
Author Contributions
Funding
Institutional Review Board Statement
Informed Consent Statement
Data Availability Statement
Acknowledgments
Conflicts of Interest
References
- Essien, M. Evaluation of Cloud Seeding Techniques for Precipitation Enhancement. Glob. J. Clim. Stud. 2023, 1, 53–64. [Google Scholar]
- Li, D.; Zhao, C.; Yue, Z.; Liu, C.; Sun, Y.; Cohen, J.B. Response of cloud and precipitation properties to seeding at a supercooled cloud-top layer. Earth Space Sci. 2022, 9, e2021EA001791. [Google Scholar] [CrossRef]
- Manton, M.J.; Warren, L.; Kenyon, S.L.; Peace, A.D.; Bilish, S.P.; Kemsley, K. A confirmatory snowfall enhancement project in the Snowy Mountains of Australia. Part I: Project design and response variables. J. Appl. Meteor. Climatol. 2011, 50, 1432–1447. [Google Scholar] [CrossRef]
- Manton, M.J.; Peace, A.D.; Kemsley, K.; Kenyon, S.; Speirs, J.C.; Warren, L.; Denholm, J. Further analysis of a snowfall enhancement project in the Snowy Mountains of Australia. Atmos. Res. 2017, 193, 192–203. [Google Scholar] [CrossRef]
- Rasmussen, R.M.; Tessendorf, S.A.; Xue, L.; Weeks, C.; Ikeda, K.; Landolt, S.; Breed, D.; Deshler, T.; Lawrence, B. Evaluation of the Wyoming Weather Modification Pilot Project (WWMPP) Using Two Approaches: Traditional Statistics and Ensemble Modeling. J. Appl. Meteorol. Climatol. 2018, 57, 2639–2660. [Google Scholar] [CrossRef]
- Ritzman, J.M.; Deshler, T.; Ikeda, K.; Rasmussen, R. Estimating the Fraction of Winter Orographic Precipitation Produced under Conditions Meeting the Seeding Criteria for the Wyoming Weather Modification Pilot Project. J. Appl. Meteorol. Climatol. 2015, 54, 1202–1215. [Google Scholar] [CrossRef]
- Friedrich, K.; Ikeda, K.; Tessendorf, S.A.; French, J.R.; Rauber, R.M.; Geerts, B.; Xue, L.; Rasmussen, R.M.; Blestrud, D.R.; Kunkel, M.L.; et al. Quantifying snowfall from orographic cloud seeding. Proc. Natl. Acad. Sci. USA 2020, 117, 5190–5195. [Google Scholar] [CrossRef]
- Xue, L.L.; Chu, X.; Rasmussen, R.; Breed, D.; Boe, B.; Geerts, B. The dispersion of silver iodide particles from ground-based generators over complex terrain. Part II: WRF large-eddy simulations versus observations. J. Appl. Meteorol. Climatol. 2014, 53, 1342–1361. [Google Scholar] [CrossRef]
- French, J.R.; Friedrich, K.; Tessendorf, S.A.; Rauber, R.M.; Geerts, B.; Rasmussen, R.M.; Xue, L.; Kunkel, M.L.; Blestrud, D.R. Precipitation formation from orographic cloud seeding. Proc. Natl. Acad. Sci. USA 2018, 115, 1168–1173. [Google Scholar] [CrossRef]
- Zhao, C.; Yang, Y.; Fan, H.; Huang, J.; Fu, Y.; Zhang, X.; Kang, S.; Cong, Z.; Letu, H.; Menenti, M. Aerosol characteristics and impacts on weather and climate over Tibetan Plateau. Natl. Sci. Rev. 2020, 7, 492–495. [Google Scholar] [CrossRef]
- U.S. Census Bureau. 2010 Census: Apportionment Data. U.S. Census Bureau. 2010. Available online: https://www.census.gov/data/tables/2010/dec/apportionment-data-text.html (accessed on 26 April 2021).
- Rauber, R.M.; Geerts, B.; Xue, L.; French, J.; Friedrich, K.; Rasmussen, R.M.; Tessendorf, S.A.; Blestrud, D.R.; Kunkel, M.L.; Parkinson, S. Wintertime orographic cloud seeding—A review. J. Appl. Meteorol. Climatol. 2019, 58, 2117–2140. [Google Scholar] [CrossRef]
- Rasmussen, R.; Liu, C.; Ikeda, K.; Gochis, D.; Yates, D.; Chen, F.; Tewari, M.; Barlage, M.; Dudhia, J.; Yu, W.; et al. High-Resolution Coupled Climate Runoff Simulations of Seasonal Snowfall over Colorado: A Process Study of Current and Warmer Climate. J. Clim. 2011, 24, 3015–3048. [Google Scholar] [CrossRef]
- Segal, Y.; Khain, A.; Pinsky, M.; Rosenfeld, D. Effects of hygroscopic seeding on raindrop formation as seen from simulations using a 2000-bin spectral cloud parcel model. Atmos. Res. 2004, 71, 3–34. [Google Scholar] [CrossRef]
- Flossmann, A.I.; Manton, M.; Abshaev, A.; Bruintjes, R.; Murakami, M.; Prabhakaran, T.; Yao, Z. Review of advances in precipitation enhancement research. Bull. Am. Meteorol. Soc. 2019, 100, 1465–1480. [Google Scholar] [CrossRef]
- Laaksonen, A.; Malila, J. Nucleation of Water: From Fundamental Science to Atmospheric and Additional Applications; Elsevier: Amsterdam, The Netherlands, 2021. [Google Scholar]
- Woodley, W.L.; Rosenfeld, D.; Silverman, B.A. Results of on-top glaciogenic cloud seeding in Thailand. Part I: The demonstration experiment. J. Appl. Meteorol. Climatol. 2003, 42, 920–938. [Google Scholar] [CrossRef]
- Maryadi, A.; Tomine, K.; Nishiyama, K. Some aspects of a numerical glaciogenic artificial cloud seeding experiment using liquid carbon dioxide over Kupang, Indonesia. J. Agric. Meteorol. 2015, 71, 1–14. [Google Scholar] [CrossRef]
- Tessendorf, S.A.; French, J.R.; Friedrich, K.; Geerts, B.; Rauber, R.M.; Rasmussen, R.M.; Xue, L.; Ikeda, K.; Blestrud, D.R.; Kunkel, M.L.; et al. A transformational approach to winter orographic weather modification research: The SNOWIE Project. Bull. Am. Meteorol. Soc. 2019, 100, 71–92. [Google Scholar] [CrossRef]
- Geerts, B.; Miao, Q.; Yang, Y.; Rasmussen, R.; Breed, D. An airborne profiling radar study of the impact of glaciogenic cloud seeding on snowfall from winter orographic clouds. J. Atmos. Sci. 2010, 67, 3286–3302. [Google Scholar] [CrossRef]
- Breed, D.; Rasmussen, R.; Weeks, C.; Boe, B.; Deshler, T. Evaluating winter orographic cloud seeding: Design of the Wyoming Weather Modification Pilot Project (WWMPP). J. Appl. Meteorol. Climatol. 2014, 53, 282–299. [Google Scholar] [CrossRef]
- Abshaev, M.T.; Abshaev, A.M.; Sulakvelidze, G.K.; Burtsev, I.I.; Malkarova, A.M.; Nesmeyanov, P.A. Development of rocket and artillery technology for hail suppression. Achiev. Weather. Modif. 2006, 109–127. [Google Scholar]
- Bruintjes, R.T.; Clark, T.L.; Hall, W.D. The dispersion of tracer plumes in mountainous regions in central Arizona: Comparisons between observations and modeling results. J. Appl. Meteorol. Climatol. 1995, 34, 971–988. [Google Scholar] [CrossRef]
- Xue, L.; Hashimoto, A.; Murakami, M.; Rasmussen, R.; Tessendorf, S.A.; Breed, D.; Parkinson, S.; Holbrook, P.; Blestrud, D. Implementation of a silver iodide cloud-seeding parameterization in WRF. Part I: Model description and idealized 2D sensitivity tests. J. Appl. Meteorol. Climatol. 2013, 52, 1433–1457. [Google Scholar] [CrossRef]
- Dessens, J.; Sánchez, J.L.; Berthet, C.; Hermida, L.; Merino, A. Hail prevention by ground-based silver iodide generators: Results of historical and modern field projects. Atmos. Res. 2016, 170, 98–111. [Google Scholar] [CrossRef]
- Haupt, S.E.; Rauber, R.M.; Carmichael, B.; Knievel, J.C.; Cogan, J.L. 100 years of progress in applied meteorology. Part I: Basic applications. Meteorol. Monogr. 2018, 59, 22.1–22.33. [Google Scholar] [CrossRef]
- Gabriel, K.R. Ratio statistics for randomized experiments in precipitation stimulation. J. Appl. Meteor. 1999, 38, 290–301. [Google Scholar] [CrossRef]
- Flossmann, A.I.; Manton, M.; Abshaev, A.; Bruintjes, R.; Murakami, M.; Prabhakaran, T.; Yao, Z. Peer Review Report on Global Precipitation Enhancement Activities (Research Report); World Meteorological Organization: Geneva, Switzerland, 2018; Available online: https://hal.uca.fr/hal-01917801 (accessed on 20 March 2023).
- Wang, J.; Yue, Z.; Rosenfeld, D.; Zhang, L.; Zhu, Y.; Dai, J.; Yu, X.; Li, J. The Evolution of an AgI Cloud-Seeding Track in Central China as Seen by a Combination of Radar, Satellite, and Disdrometer Observations. J. Geophys. Res. Atmos. 2021, 126, e2020JD033914. [Google Scholar] [CrossRef]
- Xue, L.; Edwards, R.; Huggins, A.; Lou, X.; Rasmussen, R.; Tessendorf, S.; Holbrook, P.; Blestrud, D.; Kunkel, M.; Glenn, B.; et al. WRF Large-eddy Simulations of chemical tracer deposition and seeding effect over complex terrain from ground-and aircraft-based AgI generators. Atmos. Res. 2017, 190, 89–103. [Google Scholar] [CrossRef]
- Xue, L.; Chu, X.; Rasmussen, R.; Breed, D.; Geerts, B. A Case Study of Radar Observations and WRF LES Simulations of the Impact of Ground-Based Glaciogenic Seeding on Orographic Clouds and Precipitation. Part II: AgI Dispersion and Seeding Signals Simulated by WRF. J. Appl. Meteorol. Climatol. 2016, 55, 445–464. [Google Scholar] [CrossRef]
- Chu, X.; Geerts, B.; Xue, L.; Pokharel, B. A Case Study of Cloud Radar Observations and Large-Eddy Simulations of a Shallow Stratiform Orographic Cloud, and the Impact of Glaciogenic Seeding. J. Appl. Meteorol. Climatol. 2017, 56, 1285–1304. [Google Scholar] [CrossRef]
- Jing, X.; Geerts, B.; Wang, Y.; Liu, C. Evaluating Seasonal Orographic Precipitation in the Interior Western United States Using Gauge Data, Gridded Precipitation Estimates, and a Regional Climate Simulation. J. Hydrometeorol. 2017, 18, 2541–2558. [Google Scholar] [CrossRef]
- Liu, C.; Ikeda, K.; Rasmussen, R.; Barlage, M.; Newman, A.J.; Prein, A.F.; Chen, F.; Chen, L.; Clark, M.; Dai, A.; et al. Continental-scale convection-permitting modeling of the current and future climate of North America. Clim. Dyn. 2017, 49, 71–95. [Google Scholar] [CrossRef]
- Levy, G.; Cotton, W.R. A numerical investigation of mechanisms linking glaciation of the ice-phase to the boundary layer. J. Clim. Appl. Meteorol. 1984, 23, 1505–1519. [Google Scholar] [CrossRef]
- Farley, R.D.; Nguyen, P.; Orville, H.D. Numerical simulation of cloud seeding using a three-dimensional cloud model. J. Weather Modif. 1994, 26, 113–124. [Google Scholar]
- Guo, X.; Zheng, G.; Jin, D. A numerical comparison study of cloud seeding by silver iodide and liquid carbon dioxide. Atmos. Res. 2006, 79, 183–226. [Google Scholar] [CrossRef]
- Guo, X.; Fu, D.; Zheng, G. Modeling study on optimal convective cloud seeding in rain augmentation. Asia-Pac. J. Atmos. Sci. 2007, 43, 273–284. [Google Scholar]
- Javanmard, S.; Pirhayati, M.K. A Numerical Study of the Role of Cold Convective Cloud Parameterization in Precipitation Pattern at Ground Surface. J. Geogr. Geol. 2012, 4, 269. [Google Scholar] [CrossRef][Green Version]
- Passarelli, R.E., Jr. Approximate analytical model of the vapor deposition and aggregation growth of snowflakes. J. Atmos. Sci. 1978, 35, 118–124. [Google Scholar] [CrossRef]
- Mitchell, D.L.; Huggins, A.; Grubisic, V. A new snow growth model with application to radar precipitation estimates. Atmos. Res. 2006, 82, 2–18. [Google Scholar] [CrossRef]
- Erfani, E. A Mechanistic Understanding of North American Monsoon and Microphysical Properties of Ice Particles; University of Nevada, Reno: Reno, NV, USA, 2016. [Google Scholar]
- Rienecker, M.M.; Suarez, M.J.; Gelaro, R.; Todling, R.; Bacmeister, J.; Liu, E.; Bosilovich, M.G.; Schubert, S.D.; Takacs, L.; Kim, G.-K.; et al. MERRA: NASA’s modern-era retrospective analysis for research and applications. J. Clim. 2011, 24, 3624–3648. [Google Scholar] [CrossRef]
- Greenwald, T.J.; Pierce, R.B.; Schaack, T.K.; Otkin, J.A.; Rogal, M.; Bah, K.; Lenzen, A.J.; Nelson, J.P.; Li, J.; Huang, H.L. Real-time simulation of the GOES-R ABI for user readiness and product evaluation. Bull. Am. Meteorol. Soc. 2016, 97, 245–261. [Google Scholar] [CrossRef]
- Gelaro, R.; McCarty, W.; Suárez, M.J.; Todling, R.; Molod, A.; Takacs, L.; Randles, C.A.; Darmenov, A.; Bosilovich, M.G.; Reichle, R.; et al. The modern-era retrospective analysis for research and applications, version 2 (MERRA-2). J. Clim. 2017, 30, 5419–5454. [Google Scholar] [CrossRef] [PubMed]
- Doelling, D.R.; Sun, M.; Nordeen, M.L.; Haney, C.O.; Keyes, D.F.; Mlynczak, P.E. Advances in geostationary-derived longwave fluxes for the CERES synoptic (SYN1deg) product. J. Atmos. Ocean. Technol. 2016, 33, 503–521. [Google Scholar] [CrossRef]
- Wielicki, B.A.; Barkstrom, B.R.; Harrison, E.F.; Lee III, R.B.; Smith, G.L.; Cooper, J.E. Clouds and the Earth’s Radiant Energy System (CERES): An earth observing system experiment. Bull. Am. Meteorol. Soc. 1996, 77, 853–868. [Google Scholar] [CrossRef]
- Loeb, N.G.; Su, W.; Doelling, D.R.; Wong, T.; Minnis, P.; Thomas, S.; Miller, W.F. Earth’s top-of-atmosphere radiation budget. Reference Module in Earth Systems and Environmental Sciences. Compr. Remote Sens. 2018, 5, 67–84. [Google Scholar] [CrossRef]
- Payra, S.; Sharma, A.; Verma, S. Application of remote sensing to study forest fires. In Atmospheric Remote Sensing; Elsevier: Amsterdam, The Netherlands, 2023; pp. 239–260. [Google Scholar]
- Justice, C.; Townshend, J.; Vermote, E.; Masuoka, E.; Wolfe, R.; Saleous, N.; Roy, D.; Morisette, J. An overview of MODIS Land data processing and product status. Remote Sens. Environ. 2002, 83, 3–15. [Google Scholar] [CrossRef]
- Erfani, E.; Mitchell, D.L. Growth of ice particle mass and projected area during riming. Atmos. Chem. Phys. 2017, 17, 1241–1257. [Google Scholar] [CrossRef]
- Liu, X.; Penner, J.E.; Ghan, S.J.; Wang, M. Inclusion of ice microphysics in the NCAR Community Atmospheric Model version 3 (CAM3). J. Clim. 2007, 20, 4526–4547. [Google Scholar] [CrossRef]
- Marcolli, C.; Nagare, B.; Welti, A.; Lohmann, U. Ice nucleation efficiency of AgI: Review and new insights. Atmos. Chem. Phys. 2016, 16, 8915–8937. [Google Scholar] [CrossRef]
- Achtert, P.; O’Connor, E.J.; Brooks, I.M.; Sotiropoulou, G.; Shupe, M.D.; Pospichal, B.; Brooks, B.J.; Tjernström, M. Properties of Arctic liquid and mixed-phase clouds from shipborne Cloudnet observations during ACSE 2014. Atmos. Chem. Phys. 2020, 20, 14983–15002. [Google Scholar] [CrossRef]
- Järvinen, E.; Nehlert, F.; Xu, G.; Waitz, F.; Mioche, G.; Dupuy, R.; Jourdan, O.; Schnaiter, M. Vertical distribution of ice optical and microphysical properties in Arctic low-level mixed-phase clouds during ACLOUD. Atmos. Chem. Phys. Discuss. 2023, 2023, 1–30. [Google Scholar]
- Western Regional Climate Center. Available online: https://wrcc.dri.edu/ (accessed on 2 April 2023).
- Morrison, B.J. A Characterization of Dry Ice as a Glaciogenic Seeding Agent. Atmospheric Science Paper No. 441; Department of Atmospheric Science, Colorado State University: Fort Collins, CO, USA, 1989. [Google Scholar]








| Event | Date | Cloud Top Height (km) | Cloud Base Height (km) | Cloud Top Temperature (°C) | Cloud Base Temperature (°C) | LWC (g/m3) | IWC (g/m3) |
|---|---|---|---|---|---|---|---|
| 1 | 6 March 2021 | 4.9 | 3.3 | −19 | −9 | 0.16 | 0.05 |
| 2 | 16 December 2021 | 3.9 | 2.0 | −13 | −3 | 0.25 | 0.05 |
| 3 | 5 March 2022 | 5.0 | 2.2 | −23 | −8 | 0.10 | 0.05 |
| 4 | 16 April 2022 | 4.0 | 2.5 | −11 | −4 | 0.16 | 0.05 |
| 5 | 9 March 2021 | 4.1 | 2.2 | −21 | −6 | 0.20 | 0.05 |
Disclaimer/Publisher’s Note: The statements, opinions and data contained in all publications are solely those of the individual author(s) and contributor(s) and not of MDPI and/or the editor(s). MDPI and/or the editor(s) disclaim responsibility for any injury to people or property resulting from any ideas, methods, instructions or products referred to in the content. |
© 2024 by the authors. Licensee MDPI, Basel, Switzerland. This article is an open access article distributed under the terms and conditions of the Creative Commons Attribution (CC BY) license (https://creativecommons.org/licenses/by/4.0/).
Share and Cite
Mehdizadeh, G.; Erfani, E.; McDonough, F.; Hosseinpour, F. Quantifying the Influence of Cloud Seeding on Ice Particle Growth and Snowfall Through Idealized Microphysical Modeling. Atmosphere 2024, 15, 1460. https://doi.org/10.3390/atmos15121460
Mehdizadeh G, Erfani E, McDonough F, Hosseinpour F. Quantifying the Influence of Cloud Seeding on Ice Particle Growth and Snowfall Through Idealized Microphysical Modeling. Atmosphere. 2024; 15(12):1460. https://doi.org/10.3390/atmos15121460
Chicago/Turabian StyleMehdizadeh, Ghazal, Ehsan Erfani, Frank McDonough, and Farnaz Hosseinpour. 2024. "Quantifying the Influence of Cloud Seeding on Ice Particle Growth and Snowfall Through Idealized Microphysical Modeling" Atmosphere 15, no. 12: 1460. https://doi.org/10.3390/atmos15121460
APA StyleMehdizadeh, G., Erfani, E., McDonough, F., & Hosseinpour, F. (2024). Quantifying the Influence of Cloud Seeding on Ice Particle Growth and Snowfall Through Idealized Microphysical Modeling. Atmosphere, 15(12), 1460. https://doi.org/10.3390/atmos15121460

