Research on the Characteristics of Agricultural Drought Disaster in China Based on Three-Dimensional Copula Function
Abstract
1. Introduction
2. Data and Methodology
2.1. Data
2.2. Methodology
2.2.1. Definition of Indicators
2.2.2. Derive Distribution Function Based on Maximum Entropy Principle
2.2.3. Copula Function
2.2.4. Joint Distribution
3. Results
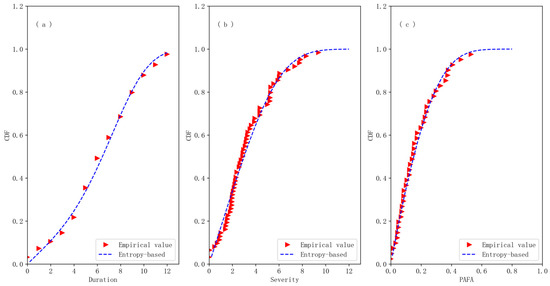
3.1. The Drought Characteristics and Distribution Function Fitting Effect
3.2. Joint Probability Analysis
4. Conclusions and Discussion
Author Contributions
Funding
Institutional Review Board Statement
Informed Consent Statement
Data Availability Statement
Conflicts of Interest
References
- Zhang, X.; Duan, Y.; Duan, J.; Jian, D.; Ma, Z. A daily drought index based on evapotranspiration and its application in regional drought analyses. Sci. China Earth Sci. 2022, 65, 317–336. [Google Scholar] [CrossRef]
- Zhang, Q.; Yao, Y.; Li, Y.; Huang, J.; Ma, Z.; Wang, Z.; Wang, S.; Wang, Y.; Zhang, Y. Causes and Changes of Drought in China: Research Progress and Prospects. J. Meteorol. Res. 2020, 34, 460–481. [Google Scholar] [CrossRef]
- Zhang, J.; Chen, H.; Zhang, Q. Extreme drought in the recent two decades in northern China resulting from Eurasian warming. Clim. Dyn. 2019, 52, 2885–2902. [Google Scholar] [CrossRef]
- Naumann, G.; Cammalleri, C.; Mentaschi, L.; Feyen, L. Increased economic drought impacts in Europe with anthropogenic warming. Nat. Clim. Chang. 2021, 11, 485–491. [Google Scholar] [CrossRef]
- Gong, Z.; Feng, G.; Dogar, M.M.; Huang, G. The possible physical mechanism for the EAP–SR co-action. Clim. Dyn. 2018, 51, 1499–1516. [Google Scholar] [CrossRef]
- Huang, J.; Yi, Y.; Wang, S.; Chou, J. An analogue-dynamical long-range numerical weather prediction system incorporating historical evolution. Q. J. R. Meteorol. Soc. 1993, 119, 547–565. [Google Scholar] [CrossRef]
- Chamani, R.; Monkam, D.; Djomou, Z.Y. Analysis of return periods and return levels of Yearly July-September extreme droughts in the West African Sahel. Clim. Dyn. 2019, 52, 3421–3433. [Google Scholar] [CrossRef]
- Jenkins, K.; Warren, R. Quantifying the impact of climate change on drought regimes using the Standardised Precipitation Index. Theor. Appl. Clim. 2015, 120, 41–54. [Google Scholar] [CrossRef]
- Hao, Z.C.; Hao, F.H.; Singh, V.P.; Ouyang, W. Quantitative risk assessment of the effects of drought on extreme temperature in eastern China. J. Geophys. Res.-Atmos. 2017, 122, 9050–9059. [Google Scholar] [CrossRef]
- Cancelliere, A.; Salas, J.D. Drought length properties for periodic-stochastic hydrologic data. Water Resour. Res. 2004, 40, 389–391. [Google Scholar] [CrossRef]
- Huang, S.; Li, P.; Huang, Q.; Leng, G.; Hou, B.; Ma, L. The propagation from meteorological to hydrological drought and its potential influence factors. J. Hydrol. 2017, 547, 184–195. [Google Scholar] [CrossRef]
- Hou, W.; Yan, P.C.; Feng, G.L.; Zuo, D.D. A 3D Copula Method for the Impact and Risk Assessment of Drought Disaster and an Example Application. Front. Phys. 2021, 9, 656253. [Google Scholar] [CrossRef]
- Zuo, D.D.; Hou, W.; Hu, J.G. An Entropy-Based Investigation into Bivariate Drought Analysis in China. Water 2017, 9, 632. [Google Scholar] [CrossRef]
- Mirabbasi, R.; Fakheri-Fard, A.; Dinpashoh, Y. Bivariate drought frequency analysis using the copula method. Theor. Appl. Climatol. 2012, 108, 191–206. [Google Scholar] [CrossRef]
- Naderi, K.; Moghaddasi, M.; Shokri, A. Drought occurrence probability analysis using multivariate standardized drought index and copula function under climate change. Water Resour. Manag. 2022, 36, 2865–2888. [Google Scholar] [CrossRef]
- Shiau, J.T. Fitting Drought Duration and Severity with Two-Dimensional Copulas. Water Resour. Manag. 2006, 20, 795–815. [Google Scholar] [CrossRef]
- Feng, K.; Su, X.; Zhang, G.; Javed, T.; Zhang, Z. Development of a new integrated hydrological drought index (SRGI) and its application in the Heihe River Basin, China. Theor. Appl. Clim. 2020, 141, 43–59. [Google Scholar] [CrossRef]
- Van de Vyver, H.; Van den Bergh, J. The Gaussian copula model for the joint deficit index for droughts. J. Hydrol. 2018, 561, 987–999. [Google Scholar] [CrossRef]
- Naseri, K.; Hummel, M.A. A Bayesian copula-based nonstationary framework for compound flood risk assessment along US coastlines. J. Hydrol. 2022, 610, 128005. [Google Scholar] [CrossRef]
- Yang, X.; Chen, Z.; Qin, M. Joint probability analysis of streamflow and sediment load based on hybrid copula. Environ. Sci. Pollut. Res. 2023, 30, 46489–46502. [Google Scholar] [CrossRef]
- Moradian, S.; Olbert, A.I.; Gharbia, S.; Iglesias, G. Copula-based projections of wind power: Ireland as a case study. Renew. Sustain. Energy Rev. 2023, 175, 113147. [Google Scholar] [CrossRef]
- Huang, Y.; Zhang, B.; Pang, H.; Wang, B.; Lee, K.Y.; Xie, J.; Jin, Y. Spatio-temporal wind speed prediction based on Clayton Copula function with deep learning fusion. Renew. Energy 2022, 192, 526–536. [Google Scholar] [CrossRef]
- Li, X.; Ren, G.; Wang, S.; You, Q.; Sun, Y.; Ma, Y.; Wang, D.; Zhang, W. Change in the heatwave statistical characteristics over China during the climate warming slowdown. Atmos. Res. 2021, 247, 105152. [Google Scholar] [CrossRef]
- Chen, S.; Zhao, J.; Dou, H.; Yang, Z.; Li, F.; Byun, J.; Kim, S.W. A study on the monitoring of heatwaves and bivariate frequency analysis based on mortality risk assessment in Wuhan, China. Front. Public Health 2024, 12, 1409563. [Google Scholar] [CrossRef]
- Latif, S.; Simonovic, S.P. Compounding joint impact of rainfall, storm surge and river discharge on coastal flood risk: An approach based on 3D Fully Nested Archimedean Copulas. Environ. Earth Sci. 2023, 82, 63. [Google Scholar] [CrossRef]
- Latif, S.; Simonovic, S.P. Trivariate Joint Distribution Modelling of Compound Events Using the Nonparametric D-Vine Copula Developed Based on a Bernstein and Beta Kernel Copula Density Framework. Hydrology 2022, 9, 221. [Google Scholar] [CrossRef]
- McKee, T.B.; Doesken, N.J.; Kleist, J. The relationship of drought frequency and duration to time scales Preprints. In Proceedings of the 8th Conference on Applied Climatology, Anaheim, CA, USA, 17–22 January 1993; pp. 179–183. [Google Scholar]
- Hayes, M.; Svoboda, M.; Wall, N.; Widhalm, M. The Lincoln declaration on drought indices: Universal meteorological drought index recommended. Bull. Am. Meteorol. Soc. 2011, 92, 485–488. [Google Scholar] [CrossRef]
- Hao, Z.; Yuan, X.; Xia, Y.; Hao, F.; Singh, V.P. An overview of drought monitoring and prediction systems at regional and global scales. Bull. Am. Meteorol. Soc. 2017, 98, 1879–1896. [Google Scholar] [CrossRef]
- Hong, X.; Guo, S.; Xiong, L.; Liu, Z. Spatial and temporal analysis of drought using entropy-based standardized precipitation index: A case study in Poyang Lake basin, China. Theor. Appl. Clim. 2015, 122, 543–556. [Google Scholar] [CrossRef]
- Shannon, C.E. A Mathematical Theory of Communication. Bell Syst. Tech. J. 1948, 27, 379–423. [Google Scholar] [CrossRef]
- Jaynes, E.T. Information theory and statistical mechanics, I. Phys. Rev. 1957, 106, 620–630. [Google Scholar] [CrossRef]
- Sklar, A. Fonctions de Répartition à N Dimensions et Leurs Marges; Publications de l’Institut de Statistique de l’Université de Paris: Paris, France, 1959; pp. 229–231. [Google Scholar]
- AghaKouchak, A.; Bárdossy, A.; Habib, E. Conditional simulation of remotely sensed rainfall data using a non-Gaussian v-transformed copula. Adv. Water Resour. 2010, 33, 624–634. [Google Scholar] [CrossRef]
- Serinaldi, F.; Bonaccorso, B.; Cancelliere, A.; Grimaldi, S. Probabilistic characterization of drought properties through copulas. Phys. Chem. Earth Parts A/B/C 2009, 34, 596–605. [Google Scholar] [CrossRef]
- Nelsen, R.B. An Introduction to Copulas; Springer: New York, NY, USA, 2006. [Google Scholar]
- Bezak, N.; Mikoš, M.; Šraj, M. Trivariate Frequency Analyses of Peak Discharge, Hydrograph Volume and Suspended Sediment Concentration Data Using Copulas. Water Resour. Manag. 2014, 28, 2195–2212. [Google Scholar] [CrossRef]
- Zuo, D.D.; Hou, W.; Wu, H.; Yan, P.C.; Zhang, Q. Feasibility of Calculating Standardized Precipitation Index with Short-Term Precipitation Data in China. Atmosphere 2021, 12, 603. [Google Scholar] [CrossRef]
- Zuo, D.D.; Hou, W.; Wu, H.; Zhang, Q.; Yan, P.C. Sensitivity analysis of standardized precipitation index to climate state selection in China. Adv. Clim. Chang. Res. 2022, 13, 42–50. [Google Scholar] [CrossRef]








| Name | 1 |
|---|---|
| Clayton | |
| Frank | |
| Gumbel–Hougaard |
| Drought Duration | Drought Severity | PAFA | |
|---|---|---|---|
| K-S test pass rate | 100% | 100% | 96.8% |
| RMSE | 0.035 | 0.029 | 0.034 |
| Level | Drought Duration | Drought Severity | PAFA |
|---|---|---|---|
| 1 | |||
| 2 | |||
| 3 | |||
| 4 |
Disclaimer/Publisher’s Note: The statements, opinions and data contained in all publications are solely those of the individual author(s) and contributor(s) and not of MDPI and/or the editor(s). MDPI and/or the editor(s) disclaim responsibility for any injury to people or property resulting from any ideas, methods, instructions or products referred to in the content. |
© 2024 by the authors. Licensee MDPI, Basel, Switzerland. This article is an open access article distributed under the terms and conditions of the Creative Commons Attribution (CC BY) license (https://creativecommons.org/licenses/by/4.0/).
Share and Cite
Zuo, D.; Cheng, J.; Wu, H.; Hou, W. Research on the Characteristics of Agricultural Drought Disaster in China Based on Three-Dimensional Copula Function. Atmosphere 2024, 15, 1445. https://doi.org/10.3390/atmos15121445
Zuo D, Cheng J, Wu H, Hou W. Research on the Characteristics of Agricultural Drought Disaster in China Based on Three-Dimensional Copula Function. Atmosphere. 2024; 15(12):1445. https://doi.org/10.3390/atmos15121445
Chicago/Turabian StyleZuo, Dongdong, Jianbo Cheng, Hao Wu, and Wei Hou. 2024. "Research on the Characteristics of Agricultural Drought Disaster in China Based on Three-Dimensional Copula Function" Atmosphere 15, no. 12: 1445. https://doi.org/10.3390/atmos15121445
APA StyleZuo, D., Cheng, J., Wu, H., & Hou, W. (2024). Research on the Characteristics of Agricultural Drought Disaster in China Based on Three-Dimensional Copula Function. Atmosphere, 15(12), 1445. https://doi.org/10.3390/atmos15121445
