Air PM10,2.5 Removal by Urban Green Space Under Urban Realistic Stressors
Abstract
1. Introduction
2. Materials and Methods
2.1. Study Area
2.2. Urbanization Stressor Identification and Sampling Design
2.3. Data Collections
2.4. Correlation Analysis
3. Results
3.1. Correlation Between Urban Stressors and Air PM Within Green Space and Street Tree and Their PM Differences with the Square Underlying Surface
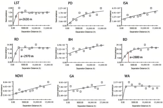
3.2. Spatial Scale Relationship Between Urban Stressors and Air PM Within Green Space and Street Tree and Their PM Differences Between GS–S, GS–ST, and ST–S
3.3. Combined Urban Stressors on Air PM Within Green Space and Street Tree and Their PM Differences of GS–S, GS–ST, and ST–S
4. Discussion
4.1. Individual Stressor Impact on Air PM Within Green Space and Street Tree and Their PM Differences with the Square Underlying Surface
4.2. Scale Effect of Green Spaces on Air PM Mitigation
4.3. The Impact of Combined Urban Stressors on Air PM Mitigation
4.4. Limitation
5. Conclusions
Author Contributions
Funding
Institutional Review Board Statement
Informed Consent Statement
Data Availability Statement
Conflicts of Interest
References
- Chan, C.K.; Yao, X.H. Air pollution in mega cities in China. Atmos. Environ. 2008, 42, 1–42. [Google Scholar] [CrossRef]
- Han, L.; Zhou, W.; Li, W.; Li, L. Impact of urbanization level on urban air quality: A case of fine particles (PM2.5) in Chinese cities. Environ. Pollut. 2014, 194, 5099–5140. [Google Scholar] [CrossRef] [PubMed]
- Lu, F.; Xu, D.; Cheng, Y.; Dong, S.; Guo, C.; Jiang, X.; Zheng, X. Systematic review and meta-analysis of the adverse health effects of ambient PM2.5 and PM10 pollution in the Chinese population. Environ. Res. 2015, 136, 196–204. [Google Scholar] [CrossRef]
- Morelli, X.; Rieux, C.; Cyrys, J.; Forsberg, B.; Slama, R. Air pollution, health and social deprivation: A fine-scale risk assessment. Environ. Res. 2016, 147, 59–70. [Google Scholar] [CrossRef] [PubMed]
- Lavigne, E.; Yasseen, A.S.; Stieb, D.M.; Hystad, P.; van Donkelaar, A.; Martin, R.V.; Brook, J.R.; Crouse, D.L.; Burnett, R.T.; Chen, H.; et al. Ambient air pollution and adverse birth outcomes: Differences by maternal comorbidities. Environ. Res. 2016, 148, 457–466. [Google Scholar] [CrossRef]
- Wu, J.S.; Xie, W.D.; Li, W.F.; Li, J.C. Effects of Urban Landscape Pattern on PM2.5 Pollution—A Beijing Case Study. PLoS ONE 2015, 10, e0142449. [Google Scholar] [CrossRef] [PubMed]
- Zhu, C.Y.; Zeng, Y.Z.; Chen, Y.R.; Guo, H.J. Effects of Urban Lake Wetland on Air PM10 and PM2.5 Concentration—A case Study of Wuhan. Chin. Landsc. Archit. 2016, 11, 88–93. [Google Scholar]
- Prusty, B.A.K.; Mishra, P.C.; Azeez, P.A. Dust accumulation and leaf pigment content in vegetation near the national highway at Sambalpur, Orissa, India. Ecotoxicol. Environ. Saf. 2005, 60, 228–235. [Google Scholar] [CrossRef]
- Nowak, D.J.; Crane, D.E.; Stevens, J.C. Air pollution removal by urban trees and shrubs in the United States. Urban For. Urban Green. 2006, 4, 115–123. [Google Scholar] [CrossRef]
- Liu, J.; Zhu, L.; Wang, H.; Yang, Y.; Liu, J.; Qiu, D.; Ma, W.; Zhang, Z.; Liu, J. Dry deposition of particulate matter at an urban forest, wetland and lake surface in Beijing. Atmos. Environ. 2016, 125, 178–187. [Google Scholar] [CrossRef]
- Li, C.Y.; Huang, Y.L.; Guo, H.H.; Wu, G.J.; Wang, Y.F.; Li, W.; Cui, L.J. The Concentrations and Removal Effects of PM10 and PM2.5 on a Wetland in Beijing. Sustainability 2019, 11, 1312. [Google Scholar] [CrossRef]
- McDonald, A.G.; Bealey, W.J.; Fowler, D.; Dragosits, U.; Skiba, U.; Smith, R.I.; Donovan, R.G.; Brett, H.E.; Hewitt, C.N.; Nemitz, E. Quantifying the effect of urban tree planting on concentrations and depositions of PM10 in two UK conurbations. Atmos. Environ. 2007, 41, 8455–8467. [Google Scholar] [CrossRef]
- Chen, M.; Hu, Y.; Dai, F. Influence of Urban Green Space Forms on PM2.5 Reduction:A Case Study of Wuhan. Landsc. Archit. 2019, 12, 74–78. [Google Scholar]
- Li, Y.B.; Myint, S.W. Fine resolution air quality dynamics related to socioeconomic and land use factors in the most polluted desert metropolitan in the American Southwest. Sci. Total Environ. 2021, 788, 147713. [Google Scholar] [CrossRef] [PubMed]
- Li, Y.; Li, Z.Y.; Jiang, Y.L.; Liu, H. International experience study: Explored the strategy of mitigation of traffic pollution. Environ. Prot. Z 2014, 1, 75–77. [Google Scholar]
- Lou, C.R.; Liu, H.Y.; Li, Y.F.; Li, Y.L. Socioeconomic Drivers of PM2.5 in the Accumulation Phase of Air Pollution Episodes in the Yangtze River Delta of China. Int. J. Environ. Res. Public Health 2016, 13, 928. [Google Scholar] [CrossRef] [PubMed]
- Martuzevicius, D.; Grinshpun, S.A.; Reponen, T.; Gorny, R.L.; Shukla, R.; Lockey, J.; Hu, S.H.; McDonald, R.; Biswas, P.; Kliucininkas, L.; et al. Spatial and temporal variations of PM2.5 concentration and composition throughout an urban area with high freeway density—The Greater Cincinnati study. Atmos. Environ. 2004, 38, 1091–1105. [Google Scholar] [CrossRef]
- Tai, A.P.K.; Mickley, L.J.; Jacob, D.J. Correlations between fine particulate matter PM2.5 and meteorological variables in the United States: Implications for the sensitivity of PM2.5 to climate change. Atmos. Environ. 2010, 44, 3976–3984. [Google Scholar] [CrossRef]
- Wise, E.K.; Comrie, A.C. Meteorologically adjusted urban air quality trends in the Southwestern United States. Atmos. Environ. 2005, 39, 2969–2980. [Google Scholar] [CrossRef]
- Cheng, T.; Zhu, S.Y.; Zhang, X.G.; Zhang, H.L.; Li, J.M. Seasonal Variation of PM in the Beijing-Tianjin-Hebei Region in 2018 and Its Relationship with Land Surface Temperature. Remote Sens. Technol. Appl. 2020, 6, 1457–1466. [Google Scholar]
- Zhao, C.X.; Wang, Y.Q.; Wang, Y.J.; Zhang, H.L.; Zhao, B.Q. Temporal and Spatial Distribution of PM2.5 and PM10 Pollution Status and the Correlation of Particulate Matters and Meteorological Factors During Winter and Spring in Beijing. Environ. Sci. 2014, 2, 418–427. [Google Scholar]
- Wu, H.T.; Yang, C.; Chen, J.; Yang, S.; Lu, T.; Lin, X.T. Effects of Green space landscape patterns on particulate matter in Zhejiang Province, China. Atmos. Pollut. Res. 2018, 9, 923–933. [Google Scholar] [CrossRef]
- Jeanjean, A.P.R.; Monks, P.S.; Leigh, R.J. Modelling the effectiveness of urban trees and grass on PM2.5 reduction via dispersion and deposition at a city scale. Atmos. Environ. 2016, 147, 1–10. [Google Scholar] [CrossRef]
- Vranckx, S.; Vos, P.; Maiheu, B.; Janssen, S. Impact of trees on pollutant dispersion in street canyons: A numerical study of the annual average effects in Antwerp, Belgium. Sci. Total Environ. 2015, 532, 474–483. [Google Scholar] [CrossRef] [PubMed]
- Cai, L.Y.; Zhuang, M.Z.; Ren, Y. A landscape scale study in Southeast China investigating the effects of varied green space types on atmospheric PM2.5 in mid-winter. Urban For. Urban Green. 2020, 49, 126607. [Google Scholar] [CrossRef]
- Lee, C. Impacts of multi-scale urban form on PM2.5 concentrations using continuous surface estimates with high-resolution in US metropolitan areas. Landsc. Urban Plan. 2020, 204, 103935. [Google Scholar] [CrossRef]
- Dai, F.; Chen, M.; Zhu, S.W.; Chen, H.; Fu, F. Effects of Different Green Coverage in Block Scale on PM10 and PM2.5 Removal—A Case Study of the Main City of Wuhan. Chin. Landsc. Archit. 2018, 3, 105–110. [Google Scholar]
- Cheng, H.R.; Wang, Z.W.; Feng, J.L.; Cheng, H.L.; Zhang, F.; Liu, J. Carbonaceous species composition and source apportionment of PM2.5 in urban atmosphere of Wuhan. Ecol. Environ. Sci. 2012, 21, 1574–1579. [Google Scholar]
- Gao, Y.; Wang, Z.; Liu, C.; Peng, Z.-R. Assessing neighborhood air pollution exposure and its relationship with the urban form. Build. Environ. 2019, 155, 15–24. [Google Scholar] [CrossRef]
- Marshall, J.D. Environmental inequality: Air pollution exposures in California’s South Coast Air Basin. Atmos. Environ. 2008, 42, 5499–5503. [Google Scholar] [CrossRef]
- Li, F.; Zhou, T.; Lan, F. Relationships between urban form and air quality at different spatial scales: A case study from northern China. Ecol. Indic. 2021, 121, 107029. [Google Scholar] [CrossRef]
- Sehmel, G.A. Particle and gas dry deposition: A review. Atmos. Environ. 1980, 14, 983–1011. [Google Scholar] [CrossRef]
- Wang, Y.Y.; Guo, Z.; Han, J. The relationship between urban heat island and air pollutants and them with influencing factors in the Yangtze River Delta, China. Ecol. Indic. 2021, 129, 107976. [Google Scholar] [CrossRef]
- Fan, S.H.; Chloe, Y.; Gao, B.; Wang, L.L.; Yang, Y.J.; Liu, Z.R.; Hu, B.; Wang, Y.S.; Wang, J.J.; Gao, Z.Q. Elucidating roles of near-surface vertical layer structure in different stages of PM2.5 pollution episodes over urban Beijing during 2004–2016. Atmos. Environ. 2021, 246, 118157. [Google Scholar] [CrossRef]
- Li, Z.; Wu, W.; Chen, S.F.; Zhang, Y.L.; Tian, S.Q.; Li, L.J.; Zhao, X.G. A multi-scale analysis of the relationship between land surface temperature and PM2.5 in different land use types. J. Clean. Prod. 2024, 467, 142980. [Google Scholar] [CrossRef]
- Guo, L.; Liu, R.; Men, C.; Wang, Q.; Miao, Y.; Zhang, Y. Quantifying and simulating landscape composition and pattern impacts on land surface temperature: A decadal study of the rapidly urbanizing city of Beijing, China. Sci. Total Environ. 2019, 654, 430–440. [Google Scholar] [CrossRef]
- Zhang, Z.; Shan, B.; Lin, Q.; Chen, Y.; Yu, X. Influence of the spatial distribution pattern of buildings on the distribution of PM2.5 concentration. Stoch. Environ. Res. Risk Assess. 2022, 36, 985–997. [Google Scholar] [CrossRef]
- Luan, Q.; Jiang, W.; Liu, S.; Guo, H. Impact of Urban 3D Morphology on Particulate Matter 2.5 (PM2.5) Concentrations: Case Study of Beijing, China. Chin. Geogr. 2020, 30, 294–308. [Google Scholar] [CrossRef]
- Chen, Y.Y.; Wang, J.; Zhao, L.Y.; Zhu, C.Y. Effects of urban park green space on air PM10 and PM2.5 and its effect field characteristics: A case of Wuhan Zhongshan Park. Chin. J. Ecol. 2021, 7, 2263–2276. [Google Scholar]
- Lei, Y.; Davies, G.M.; Jin, H.; Tian, G.; Kim, G. Scale-Dependent Effects of Urban Greenspace on Particulate Matter Air Pollution. Urban For. Urban Green. 2021, 61, 127089. [Google Scholar] [CrossRef]
- Beckett, K.P.; Freer-Smith, P.H.; Taylor, G. The capture of particulate pollution by trees at five contrasting urban sites. Arboric. J. 2000, 24, 209–230. [Google Scholar] [CrossRef]
- Petroff, A.; Mailliat, A.; Amielh, M.; Anselmet, F. Aerosol dry deposition on vegetative canopies. Part I: Review of present knowledge. Atmos. Environ. 2008, 42, 3625–3653. [Google Scholar] [CrossRef]
- Beckett, K.P.; Freer-Smith, P.H.; Taylor, G. Urban woodlands: Their role in reducing the effects of particulate pollution. Environ. Pollut. 1998, 99, 347–360. [Google Scholar] [CrossRef] [PubMed]
- Matsuda, K.; Fujimura, Y.; Hayashi, K.; Takahashi, A.; Nakaya, K. Deposition velocity of PM2.5 sulfate in the summer above a deciduous forest in central Japan. Atmos. Environ. 2010, 44, 4582–4587. [Google Scholar] [CrossRef]
- Chen, J.G.; Bi, H.X.; Xu, H.S.; Fu, Y.L.; Gao, L.B. Correlation analysis between PM2.5 mass concentration characteristics and meteorological elements inside and outside the shelterbelts for typical roads in Beijing. Sci. Soil Water Conserv. 2014, 12, 1–8. [Google Scholar]
- Dai, F.; Bi, S.B.; Sun, P.Y. Urban Green Infrastructure Network Optimization Guided by PM2.5 Reduction Effect: A Case Study of Jianghan District, Wuhan City, Hubei Province. Landsc. Archit. 2020, 27, 51–56. [Google Scholar]
- Hagler, G.S.W.; Lin, M.-Y.; Khlystov, A.; Baldauf, R.W.; Isakov, V.; Faircloth, J.; Jackson, L.E. Field investigation of roadside vegetative and structural barrier impact on near-road ultrafine particle concentrations under a variety of wind conditions. Sci. Total Environ. 2012, 419, 7–15. [Google Scholar] [CrossRef] [PubMed]
- Nowak, D.J.; Hirabayashi, S.; Bodine, A.; Hoehn, R. Modeled PM2.5 removal by trees in ten US cities and associated health effects. Environ. Pollut. 2013, 178, 395–402. [Google Scholar] [CrossRef]
- Bowker, G.E.; Baldauf, R.; Isakov, V.; Khlystov, A.; Petersen, W. The effects of roadside structures on the transport and dispersion of ultrafine particles from highways. Atmos. Environ. 2007, 41, 8128–8139. [Google Scholar] [CrossRef]
- Wania, A.; Bruse, M.; Blond, N.; Weber, C. Analysing the influence of different street vegetation on traffic-induced particle dispersion using microscale simulations. J. Environ. Manag. 2021, 94, 91–101. [Google Scholar] [CrossRef]
- Wang, C.H.; Li, Q.; Wang, Z.H. Quantifying the impact of urban trees on passive pollutant dispersion using a coupled large-eddy simulation-Lagrangian stochastic model. Build. Environ. 2018, 145, 33–49. [Google Scholar] [CrossRef]
- Huang, X.G.; Zhao, J.B.; Xin, W.D. Factors and Their Interaction Effects on the Distribution of PM2.5 in the Yangtze River Delta Based on Grids. Environ. Sci. 2021, 7, 3107–3117. [Google Scholar]
- Zhang, Y.; Ni, C.-J.; Feng, X.-Y.; Wang, S.-G.; Zhang, X.-L.; Zhang, J.-X.; Li, Y.-C. Interactive Effects of the Influencing Factors on the Changes of O3 Concentrations Based on GAMs Model in Chengdu. Environ. Sci. 2021, 11, 5228–5238. [Google Scholar]
- He, X.; Lin, Z.S. Interactive Effects of the Influencing Factors on the Changes of PM2.5 Concentration Based on GAM Model. Environ. Sci. 2017, 38, 22–32. [Google Scholar]
- Zhao, L.; Li, T.; Przybysz, A.; Guan, Y.; Ji, P.; Ren, B.; Zhu, C. Effect of urban lake wetlands and neighboring urban greenery on air PM10 and PM2.5 mitigation. Build. Environ. 2021, 206, 108291. [Google Scholar] [CrossRef]








| Stressor Variables | Descriptions | |
|---|---|---|
| LST | Land surface temperature | Mean land surface temperature in the grid. |
| PD | Population density | Population density in the grid. |
| ISA | Impervious underlying surface area | Area of impervious underlying surface area in the grid. |
| RD | Road density | Traffic road density in the grid. |
| BH | Average building height | Average of building height in the grid. |
| BD | Building density | Building area in the grid. |
| NDVI | Normalized difference vegetation index | Normalized difference vegetation index in the grid. |
| GA | Green space area | Area of green space in the grid. |
| WA | Water area | Area of water body in the grid. |
| Stressor Variables | Coefficient | |
|---|---|---|
| Urbanization indicators | LST | −0.133 |
| PD | 0.250 | |
| ISA | 0.337 | |
| RD | 0.338 | |
| BH | 0.244 | |
| BD | 0.350 | |
| Potential environmental factors | NDVI | −0.208 |
| GA | 0.000 | |
| WA | −0.294 | |
| GS | ST | GS–S | ST–S | GS–ST | |
|---|---|---|---|---|---|
| PM10 | 0.951 ** | 0.990 ** | - | - | - |
| PM2.5 | 0.880 ** | 0.923 ** | - | - | - |
| Model | Variables | Unstandardized Coefficients | Standardized Coefficients | t | Sig. | VIF | R2 | Adjusted R2 | |
|---|---|---|---|---|---|---|---|---|---|
| B | Standard Error | Beta | |||||||
| GS PM10 model 1 | (constant) | 41.098 | 8.03 | 5.118 | 0.008 | 0.970 | 0.955 | ||
| ISA150 | 0.008 | 0.001 | 0.906 | 10.48 | 0.001 | 1.001 | |||
| BD60 | 965.544 | 201.9 | 0.413 | 4.783 | 0.009 | 1.001 | |||
| GS PM10 model 2 | (constant) | 98.954 | 7.659 | 12.92 | 0 | 0.985 | 0.978 | ||
| WA450 | −0.009 | 0.001 | −0.607 | −7.534 | 0.002 | 1.772 | |||
| ISA1200 | 0.005 | 0 | 0.481 | 5.972 | 0.004 | 1772 | |||
| GS PM2.5 model 1 | —— | ||||||||
| GS PM2.5 model 2 | (constant) | 96.121 | 4.808 | 19.994 | 0 | 0.933 | 0.900 | ||
| WA450 | −0.007 | 0.001 | −0.866 | −6.685 | 0.003 | 1.010 | |||
| RD90 | −0.917 | 0.228 | −0.522 | −4.026 | 0.016 | 1.010 | |||
| ST PM10 model 1 | (constant) | 35.051 | 7.563 | 4.634 | 0.010 | 0.974 | 0.962 | ||
| ISA150 | 0.007 | 0.001 | 0.946 | 11.837 | 0 | 1.001 | |||
| BD60 | 736.1 | 190.161 | 0.309 | 3.871 | 0.018 | 1.001 | |||
| ST PM10 model 2 | (constant) | 198.65 | 5.012 | 39.633 | 0 | 0.989 | 0.984 | ||
| GA150 | −0.007 | 0 | −0.955 | −18.607 | 0 | 1.002 | |||
| BD60 | 771.539 | 122.047 | 0.324 | 6.322 | 0.003 | 1.002 | |||
| ST PM2.5 model 1 | —— | ||||||||
| ST PM2.5 model 2 | (constant) | 74.65 | 3.129 | 23.854 | 0 | 0.953 | 0.930 | ||
| WA450 | −0.007 | 0.001 | −0.72 | −6.483 | 0.003 | 1.055 | |||
| BD60 | 709.343 | 152.672 | 0.516 | 4.646 | 0.01 | 1.055 | |||
| Model | Variables | Unstandardized Coefficients | Standardized Coefficients | t | Sig. | VIF | R2 | Adjusted R2 | |
|---|---|---|---|---|---|---|---|---|---|
| B | Standard Error | Beta | |||||||
| GS–S PM10 model 1 | (constant) | 5.315 | 1.594 | 3.334 | 0.021 | 0.950 | 0.940 | ||
| BD60 | 858.832 | 88.367 | 0.975 | 9.719 | 0 | 1.000 | |||
| ST–S PM2.5 model 1 | (constant) | 19.769 | 3.185 | 6.207 | 0.003 | 0.887 | 0.831 | ||
| RD1200 | −0.774 | 0.228 | −0.611 | −3.394 | 0.027 | 1.150 | |||
| RD300 | −0.69 | 0.235 | −0.529 | −2.941 | 0.042 | 1.150 | |||
Disclaimer/Publisher’s Note: The statements, opinions and data contained in all publications are solely those of the individual author(s) and contributor(s) and not of MDPI and/or the editor(s). MDPI and/or the editor(s) disclaim responsibility for any injury to people or property resulting from any ideas, methods, instructions or products referred to in the content. |
© 2024 by the authors. Licensee MDPI, Basel, Switzerland. This article is an open access article distributed under the terms and conditions of the Creative Commons Attribution (CC BY) license (https://creativecommons.org/licenses/by/4.0/).
Share and Cite
Sun, Y.; Guan, Y.; Zhang, B.; Zhou, Y.; Du, L.; Zhu, C. Air PM10,2.5 Removal by Urban Green Space Under Urban Realistic Stressors. Atmosphere 2024, 15, 1443. https://doi.org/10.3390/atmos15121443
Sun Y, Guan Y, Zhang B, Zhou Y, Du L, Zhu C. Air PM10,2.5 Removal by Urban Green Space Under Urban Realistic Stressors. Atmosphere. 2024; 15(12):1443. https://doi.org/10.3390/atmos15121443
Chicago/Turabian StyleSun, Yimei, Yilei Guan, Bingjie Zhang, Yi Zhou, Linghan Du, and Chunyang Zhu. 2024. "Air PM10,2.5 Removal by Urban Green Space Under Urban Realistic Stressors" Atmosphere 15, no. 12: 1443. https://doi.org/10.3390/atmos15121443
APA StyleSun, Y., Guan, Y., Zhang, B., Zhou, Y., Du, L., & Zhu, C. (2024). Air PM10,2.5 Removal by Urban Green Space Under Urban Realistic Stressors. Atmosphere, 15(12), 1443. https://doi.org/10.3390/atmos15121443

