Next Article in Journal
Observation and Numerical Simulation of Cross-Mountain Airflow at the Hong Kong International Airport from Range Height Indicator Scans of Radar and LIDAR
Previous Article in Journal
A Reanalysis Precipitation Integration Method Utilizing the Generalized Three-Cornered Hat Approach and High-Resolution, Gauge-Based Datasets
 
 
Font Type:
Arial Georgia Verdana
Font Size:
Aa Aa Aa
Line Spacing:
Column Width:
Background:
Article

Weather Regimes in Northern Eurasia: Statistics, Predictability and Associated Weather Anomalies

by
Boris A. Babanov
1,* and
Vladimir A. Semenov
1,2,*
1
A. M. Obukhov Institute of Atmospheric Physics, Russian Academy of Sciences, 119017 Moscow, Russia
2
Institute of Geography, Russian Academy of Sciences, 119017 Moscow, Russia
*
Authors to whom correspondence should be addressed.
Atmosphere 2024, 15(11), 1392; https://doi.org/10.3390/atmos15111392
Submission received: 24 October 2024 / Revised: 15 November 2024 / Accepted: 16 November 2024 / Published: 19 November 2024
(This article belongs to the Section Climatology)

Abstract

A weather regimes approach is applied to study large-scale circulation patterns over the North Eurasian sector (NE, defined as 0–180° E and 40–80° N domain) during the 1940–2022 period using ERA5 reanalysis data. We identified four NE weather regimes (WRs) both for boreal winter and summer seasons using a k-means standard cluster analysis method for daily geopotential height fields (z500). Whereas the winter NE WRs do not have any significant long-term changes in occurrence, three summer NE WRs are found to have statistically significant linear trends of occurrence over the studied period, the most notable of which is a regime associated with anticyclonic activity centered over the Ural Mountains called Summer Ural High, which has a statistically significant trend of +2.4 days of seasonal occurrence per decade. Loops of statistically significant likely transitions are found for the NE WRs in both seasons, showing that the NE WRs evolution follows preferred paths and is not purely random. NE WRs’ seasonal occurrence is found to change depending on the phase of the El Nino oscillation and Northern Hemisphere sea-ice area anomalies in preceding seasons. El Nino events in autumn are associated with an increased occurrence of the Winter Scandinavian Blocking regime and a decreased occurrence of the Winter North Eastern High regime. Negative sea-ice area anomalies in autumn are associated with an increased occurrence of the Winter Ural High and a decreased occurrence of the Winter Scandinavian Low regime. NE WR’s are associated with considerable, up to several times, changes in probability of temperature and precipitation extremes over the NE region.

1. Introduction

Low-frequency atmospheric circulation dynamics in the extratropical Northern Hemisphere can be studied through a weather regimes perspective. Atmospheric circulation regimes or weather regimes (WRs) are recurrent quasi-stationary states of large-scale atmospheric circulation [1] which can be identified by applying cluster analysis methods to daily sea level pressure [2] or geopotential height fields [3]. It is assumed that atmospheric flow in mid-latitudes consists of WRs that persist for a prolonged amount of time (usually about 1 to 2 weeks) before a transit from one to another through less structured non-persistent transitory states. Most of the studies using a weather regimes approach focus on the Euro–Atlantic area during winter months, usually resulting in four (or sometimes six) distinct weather regimes—«NAO+», «NAO−», «Scandinavian Blocking» and «Atlantic Ridge»; some studies cover the extratropical Pacific region [4], North American region [5] or extratropical Northern Hemisphere as a whole [6]. However, other specific Northern Hemisphere regions, especially inland, are less studied.
A common approach to identify WRs is to group daily atmospheric circulation fields (i.e., sea level pressure or geopotential heights at a certain level) into several patterns that approximately represent most of the fields in a studied data set. Usually, cluster analysis methods are used for this task [7] such as hierarchical Ward’s clustering [8], Gaussian mixture models [9], self-organized maps [10] and k-means [11]. The latter method is the most common in the WRs studies [12], supposedly for its low computational costs, simplicity, and very similar results to those of more sophisticated methods as, e.g., self-organizing maps [7].
In this study, we investigate WRs and their properties in the region covering Northern Eurasia (NE), which is less studied from the weather regimes perspective; the main difference between the NE WRs and the more known Euro–Atlantic WRs is that the latter influence weather mainly over Europe, while we want to apply same approach over the larger continental area of Eurasia. WRs for the NE are identified by applying the k-means cluster analysis method to preprocessed daily geopotential height fields at 500 hPa (z500) from reanalysis data, which approximately describe atmospheric circulation features in the middle of the troposphere. We use reanalysis of the z500 fields to identify WRs in the NE for both winter and summer seasons separately to account for possible differences of WRs features in the opposite seasons. The main statistical properties of the obtained NE WRs such as occurrence and persistence and transition features are analyzed. Then, we show NE WRs’ influence on spatial distribution of temperature and precipitation extremes and investigate whether NE WR’s seasonal statistical properties are modulated by large-scale inertial climate cycles such as the Northern Hemisphere sea-ice area anomalies and the El Niño–Southern Oscillation (ENSO).

2. Data and Methods

2.1. Data Description and Preprocessing

We choose a region of 0° to 180° E and 40° to 80° N as a Northern Eurasian sector. As a variable for identifying WRs in the NE we use mean daily z500 fields with a lon–lat resolution of 1 degree for the 1940-to-2022 time period from the ERA5 reanalysis data set [13]. For winter and summer we consider the December–January–February (DJF without February 29) and June–July–August (JJA) months, correspondingly. Although extended definitions of the above-mentioned seasons which include November/March and May/September are used in some studies of WRs, e.g., [14], we consider 3-month-long seasons, since the Northern Eurasian climate is continental and the seasonal cycle here is stronger than in the Euro–Atlantic. To study NE WRs’ link with ENSO and sea-ice we use monthly mean SST and sea-ice concentration data from the ERA5 reanalysis. To show NE WRs’ influence on spatial distribution of temperature and precipitation anomalies we use daily fields of temperature at 2 m above surface (T2M) and total precipitation (TP).
Before clustering the z500 fields we apply to them a commonly used preprocessing procedure. Firstly, a seasonal cycle is computed by averaging z500 fields for the same calendar dates from all years of the data set. This seasonal cycle is smoothed by applying a 5-day running mean (as in [15]), then the calculated smoothed seasonal cycle is subtracted from the original z500 time series so that we obtain anomalous z500 fields. Secondly, a low-pass time-filtering is applied to z500 fields with a sampling period of 10 days to reduce high-frequent synoptic variability from the data, and a first-order Butterworth filter is used for this purpose. After obtaining the filtered anomalous z500 fields (here, and later in the text, filtered anomalous z500 fields are coined as dz500), we separate the winter and summer months and carry out a Principal Component (PC) analysis for the winter and summer time series of dz500 fields. Decomposition is applied to the dz500 weighted by c o s   ( l a t ) to account for difference in areas contributing to the total variance of the dz500 fields. We retain 8 leading EOFs for winter and 12 EOFs for summer dz500 fields, so that each set of retained EOFs explain > 80% of dz500 variance for its season (8 winter EOFs explain 82% for winter dz500 variance and 12 summer EOFs explain 81% of summer dz500 variance). A different number of retained EOFs for WR clustering is used in the literature, from 4 to 20 [14,16], and usually it is claimed that larger numbers of EOFs do not change the results of clustering much, compared to lower numbers [17]. For the EOF decomposition and PCA analysis we use the covariance matrix and, as a result, obtain EOFs and PCs sorted by the explained variance of the full dz500 fields.

2.2. Choosing the Number of Weather Regimes

After obtaining the time series of the principal components for the winter and summer dz500 fields, we apply the k-means clustering procedure to them. We do not normalize PCs for the k-means procedure, so that each PC contributes to the squared Euclidean distances between objects in the PC space (representing the dz500 fields), proportionally to the variance they explain. The “k-means” procedure requires a researcher to know the number “k” of clusters they would like to obtain. Finding a proper number of WRs over a researched area is always an important issue, and several studies of WRs were focused on this exact problem [17,18]. The most common number of WRs for the most studied area, the Euro–Atlantic, is usually four [10,15,19], but in some recent studies, six [17] or more [12] regimes are chosen. There are also studies of WRs in North America, where four WRs are chosen [20,21]. To estimate a plausible number of WRs in Northern Eurasia, we use two different approaches—Classifiability and Reproducibility, indexes described in [19], and Variance Ratio (VR) Criterion, also known as the Calinski–Harabasz index, which was also used, e.g., in [22]. The main difference between the two approaches is that the Classifiability and Reproducibility indexes use spatial correlation as a metrics for choosing the best K, which accounts for differences in spatial structure of different WRs, rather than amplitude. The VR Criterion is calculated using Euclidian distance, which accounts for both shape (spatial structure) and amplitude of dz500 fields in different WRs, and then we compare VR values of the original data set to VR values calculated for simulated red-noise samples, having the same mean, std and lag-1 autocorrelation as the original data. Results of the two approaches for possible K = 2:10 for both seasons are presented in Figure 1.
The Classifiability and Reproducibility tests for winter and summer NE WRs based on clustering of PCs’ time series of preprocessed z500 fields indicate that an optimal number of weather regimes for winter seasons is four, and no optimal number is found for summer seasons, although a high value for the Reproducibility index is observed for K = 3 and a nonsignificant peak of the Classifiability index is observed for K = 7. Judging by the significance levels of the VR tests (Figure 1c,d) obtained by comparing VR values of original data set versus VR values for 500 red-noise samples with the same length and standard deviations as those for the original PCs’ time series, we again see that the preferable K for winter is four, but there is no significant value for any K for the summer season, for which most red-noise samples seem to be clustered better than the original sample. Considering such results, and the fact that four is also the most frequent number of WRs in most studies of WRs in the Euro–Atlantic and North American regions, we choose K = 4 for both winter and summer seasons. Using the same K for the summer is also useful from the perspective of comparing WR characteristics in different seasons. To obtain the final results, we use the k-means modification called “simulated annealing” (described in [23]) with 1000 random seeding runs for each season. The best solutions for K = 4 with the lowest intra-cluster sums of distances are kept.

2.3. NE WRs’ Temporal Analysis

As a result of clustering, we obtain a time series of i d x t with values ranging from 1 to 4 indicating which cluster a given daily d z 500 ( l o n , l a t , t ) field is assigned to. PCA and EOF decomposition were used only for the sake of clustering, and, after obtaining the time series of cluster assignments i d x t , we work with actual, not latitude-weighted, dz500 fields (e.g., for the drawing of Figure 2), not the EOF recovered dz500 fields. The hard-clustering procedure used here (k-means) implies that each daily field t is assigned to one and only one cluster, and we associate each of the obtained clusters with its own weather regime; hence, there are four WRs for each season. The t in i d x t includes all the days of the same winter (or summer) season for the whole studied period of 1940–2022, i.e., i d x t for winter NE WRs has a length of 7470, which is 90 days per winter times 83 winter seasons, including 82 full winters and January and February of 1940 and December of 2022, and i d x t for summer NE WRs has a length of 7636, which is 92 days/summer times 83 full summer seasons. As the winter of year YYYY (e.g., 1950) we consider a set of continuous months of December YYYY-1 (December 1949), January and February YYYY (January and February 1950). The two incomplete winter seasons (1) January and February of 1940 and (2) December of 2022 were excluded later in calculations of the temporal characteristics of winter NE WRs—time series of seasonal occurrence, persistence histograms and transition matrixes.
To analyze NE WRs’ predictability transition, we look through its transitions in a form of a stochastic matrix TM. To do this, we separate i d x t by different years to i d x t s and calculate TMs by counting a total number of day-to-day transitions of i d x t s = > i d x t s + 1 , where t s and t s + 1 are days within same full season (winter or summer) of the same year for all seasons for the studied period of 1940–2022. Thus, for 82 full winters of 1941–2022, there are 7298 transitions (89 transitions per season) and for 83 summers of 1940–2022 there are 7553 transitions (91 transition per season). When i d x t s = i and i d x t s + 1 = j , the corresponding matrix element T M ( i , j ) adds a unit to its total value. When all transitions are counted, each row of the matrix is divided by its sum so that the sum of all elements equals 1 and each matrix element T M ( i , j ) represents a probability of day-to-day transition from a regime i to a regime j . The matrix elements of T M are daily probabilities, so its dimension is day−1, and diagonal elements of the matrix T M ( i , i ) indicate the probability of a regime i persisting on the next day, from which we can evaluate its persistence using the following formula:
1 T M i , i 1
We also analyze NE WRs’ persistence. To do this, we transform a set of 82 winter and 83 summer time series i d x t s to sets of event series i d x e s indicating the number of a regime event, and duration series p e r s ( s ) indicating a number of days spent in a regime event so that, e.g., a series i d x t s = «…3,3,3,3,3,1,1,4,4,4,2,2,2,2…» transforms to i d x e s = «…3,1,4,2…» and p e r s ( s ) = «…,5,2,3,4,…», where s indicates a season of a chosen year, e.g., the summer of 1950. It is worth noting that a sum of p e r s ( s ) for any s is 90 for winter seasons and 92 for summer seasons. A noticeable difference between i d x t s and i d x e s is that the neighboring numbers in the latter are always different, implying that any regime event is always followed by another, and not itself. This allows us to count the total and seasonal number of regime events and to calculate their distribution by duration (persistence).

3. NE WRs’ Structure and Statistics

Results for clustering of dz500’ PCs time series with K = 4 are presented in Figure 2. Mean dz500 fields of the winter and summer weather regimes shown in Figure 2 are placed from the left to the right, in descending order of their relative occurrence. The most frequent (27.7% days) winter WR is called the Winter Scandinavian Low (WSL), because the main feature of this regime is a negative dz500 anomaly over Scandinavia. Such a structure is expected to amplify and extend westerlies from Europe to Russia. The second frequent (25.7%) winter regime is called the Winter Ural High (WUH), owing to its positive dz500 anomaly over the Ural Mountains. The third regime (24.4% days) is called the Winter Scandinavian Blocking (WSB), since its prominent feature is a positive dz500 anomaly over Scandinavia, accompanied by a negative anomaly east of the Ural Mountains. A regime with a high geopotential height anomaly over Scandinavia is also frequently identified when four regimes are clustered over the Euro–Atlantic area, e.g., in [7,11,15]. The least frequent (22.1%) winter WR is called the Winter North Eastern High (WNEH). It is characterized by a positive dz500 anomaly at the north-eastern tip of Asia.
The most frequent (26.4%) WR in summer is Summer Barents Low (SBL), since its main feature is a negative geopotential height anomaly centered over the Barents Sea. Although it looks similar to the WSL regime and is expected to extend westerlies over the territory of Russia, the center of its negative anomaly is shifted eastwards, compared to the WSL. The second and third most frequent (25.0% and 24.3%) summer regimes are called Summer Ural High and Summer Scandinavian Blocking (SUH and SSB, respectively). Both of these regimes look like their winter counterparts, WUH and WSB, and hence should correspond to similar types of circulation, although summer z500 anomalies are about 1.5–2 times weaker by amplitude (see scales in Figure 2). The fourth summer regime (24.2%) is called Summer Arctic Blocking (SAB). Its main feature is the positive dz500 anomaly over the Kara Sea, accompanied by weaker negative anomalies to the southeast and southwest, with a structure resembling an omega blocking.
Comparing NE WRs’ relative occurrence for the whole period, we see that k-means resulted in WRs with relatively equal occurrences, with more difference for winter WRs (27.7% for WSL vs. 22.1% for WNEH) than for summer WRs (26.4% for SBL vs. 24.2% for SAB). This also indicates that WRs are «better» clustered in winter than in summer, since k-means is prone to produce evenly-sized clusters when data are uniformly distributed, i.e., do not have noticeable high-density points, or cluster, in data’s phase space (the space of values of the principal components, in our case). The mean dz500 field for each WR in summer has a maximum absolute anomaly about 1.5 times lower than that of the counterpart regimes in winter (see scales in Figure 2). This is mostly due to a weaker z500 variability during summer. Indeed, the area mean absolute anomaly of dz500 in the NE region for the 1940–2022 period is 79 m in winter, 66 m throughout the whole year and 51 m in summer.
NE WRs’ seasonal occurrence was tested for having statistically significant long-term linear trends using the Mann–Kendall test, and results are presented in Table 1. In Figure 3, time series of WRs’ seasonal occurrence for both seasons are presented. As shown in Table 1 and Figure 3, there are no statistically significant trends in winter for the obtained WRs, but there are significant trends for three of the four summer WRs, despite the fact that all the regimes’ seasonal-occurrence variability is very high (see coefficient of variation in Table 1). Since the sum of seasonal occurrence of all WRs for each season is fixed (90 in winter and 92 in summer), a positive trend for the SUH (Ural High) regime is balanced by negative trends for the SSB (Scandinavian Blocking) and SAB (Arctic Blocking) regimes. The SUH regime corresponds to a blocking activity over the European part of Russia, which is associated with summer heat waves, e.g., the record strongest Russian heat wave in 2010 [24]. The 2010 year exhibits a local peak of the SUH occurrence, though with a much smaller value for the studied period. The absolute maximum of SUH occurrence is observed in summer 1989.
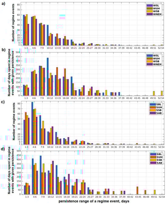
We have also analyzed persistence (i.e., duration) of NE WRs by analyzing i d x e ( s ) and p e r s ( s ) (see Section 2.3). Mean persistence values for the winter NE WRs are 8.3, 8.2, 8.2, 8.2 days for the WSL, WUH, WSB and WNEH, respectively, while for the summer regimes (SBL, SUH, SSB, and SAB) the values are 7.8, 8.3, 7.8, 8.5, respectively. The persistence probability distributions of NE WRs events are presented in Figure 4. Pictures in Figure 4 show a difference between winter and summer WRs’ distribution, e.g., a noticeable difference in distribution events with short duration—in winter there is similar number of WR events of 1–3 days’ and 4–6 days’ duration (~50 events for each regime), while in summer there are more events with longer 4–6 days’ duration than 1–3 days’ duration. For both seasons, rare occasions of regime events with very large duration (>30 days) are observed, primarily of WSB regimes in winter and SUH in summer.
Despite applying time filtering before the clustering of z500 fields, no additional constraints on regime event duration were used, and hence there are many regime events of duration < 10 days during both seasons. In fact, regime events with a duration of 10 days and more account for about 60% of time for both seasons of the studied period of 1940–2022, while regime events with a persistence of less than 10 days account for the remaining 40% of time, occupying from 33.6% of the total occurrence of the SAB regime up to 47.1% in the SBL regime (which is noticeable in Figure 4d, as the SBL columns are the highest among the four regimes for short-duration ranges). Regime events with a short duration of 1–3 days can be considered as transitory between longer events, and account for about 6% of all days, both in winter and summer.
The transition matrixes for the winter and summer NE WRs are presented in Table 2. Using Equation (1) (see Methods), we obtain an expected persistence of 9, 9, 8.9, and 8.9 days for WSL, WUH, WSB and WNEH, respectively, and 8.5, 9.0, 8.3, and 9.2 days for SBL, SUH, SSB, and SAB, respectively. This is about 1 day higher than the actual mean persistence values mentioned above, although the relative change, and the fact that persistence varies between WRs in summer more than in winter, is true both for actual mean persistence and expected persistence obtained through Equation (1).
By analyzing series of weather regime events i d x e ( s ) (described in Methods), we can obtain a transition matrix that looks the same as that for day-to-day transitions, except for its diagonal elements that become zeroes. To check if regime event transitions follow some preferred paths or are completely random, the actual set of series of regime events i d x e ( s ) was compared with a simulated series of regime events randomly generated using two rules. The first, the length of a simulated regime-event series and the total number of events for each regime, is the same as in the original event series. In the second, following an event of a particular regime (e. g., WSL), there is always an event of another regime (WUH, WSB, and WNEH, but not WSL). Using a simulated regime-event series, we can calculate simulated transition matrixes and compare them with the actual transition matrix (presented in Table 2). Regime transitions that occur more often in the actual regime-event series than in 95% of randomly simulated regime-event series (simulated i d x e ( s ) ) are considered as “likely” transitions at 5% significance level. The technique used here is similar to the one described in [25].
In Figure 5, we present a scheme of statistically significant (at 5% level) likely transitions for NE WRs. It is worth noting that a statistically significant likely transition may not be the most probable, since every regime has a different “event occurrence”, and regimes with a high number of events pull probabilities of transition towards themselves (e.g., the WSL => WNEH transition is statistically significant with regards to being likely, but it only has a 32.7% probability, due to the relatively low occurrence of WNEH). A pattern of likely transitions for both seasons can be noticed—statistically significant likely transitions form a loop of transition, so that the system of regimes is prone to go through each of its possible states in a preferred order, i.e., WSL => WNEH => WUH => WSB => … for winter and SBL => SAB => SUH => SSB => … for summer. For winter, also, a smaller loop of two regimes WUH <=> WNEH can be noticed.

4. NE WRs Links to SST and Sea-Ice

In Figure 4, it is shown that WRs can last from several days up to ~40–50 days (WSB, SSB, and SUH) covering the range of sub-seasonal time-scales. Hence, it is of a great interest to investigate their predictability. We have analyzed whether NE WRs’ occurrence change depending on phases of more inertial and predictable large-scale climate indicators, in particular, the Nino 3.4 index and the Northern Hemisphere sea ice area. There have been a lot of studies on the connection between the mid-latitude large-scale atmospheric circulation patterns and ENSO or sea ice in recent years. They provide interesting but often controversial results, e.g., [26]. One of the recent studies shows that instantaneous and year-long responses of the NAO patterns to ENSO may have different signs [27].
To investigate whether ENSO or Northern Hemisphere sea ice may tell us something about NE WRs’ predictability, and not just coincide in time, we compared the Nino 3.4 phases and Northern Hemisphere sea ice anomalies with NE WRs’ occurrence in seasons preceding the seasons of NE WRs.
To do this, we took yearly (one value per year) time series of 3-month average Nino 3.4 and Northern hemisphere sea-ice area in seasons preceding weather regimes and divided it into three percentile groups—values below the 25th percentile considered as low, values between the 25th and 75th percentile considered as neutral, and values above the 75th percentile considered as high—and compared the relative seasonal occurrence of each regime during the years within these groups. For the Nino 3.4 index, the whole studied period (1940–2022) was used. For the sea ice area, we took a period starting from the satellite observations era, 1979–2022. Data for the Nino 3.4 (SST) and the sea-ice area (sea ice-area fraction) were taken from the ERA5 Reanalysis. Results are shown in Figure 6. To obtain the quartiles and whiskers for the boxplots in Figure 6, we used bootstrapping, i.e., we took 10,000 simulated samples of seasonal regime occurrence by randomly choosing years from the original sample. In such a procedure, each simulated sample contains the same number of years, but with probability of picking each year several times, which allows us to estimate the standard deviation of the mean seasonal occurrence of WRs within each percentile group of the Nino 3.4 and sea ice (low, neutral, and high).
Although there is a high variance for each WR occurrence under any phase of ENSO, as shown by the length of whiskers in Figure 6 (and is also shown through the high coefficients of variation in Table 1), we see a notable change in mean occurrence for some of the NE WRs, depending on the ENSO phase. During El Niño years, there is a higher occurrence of WSB and a lower occurrence of WNEH in winter. A reduction in SSB occurrence is observed in summer. It is worth noting that for summer regimes, occurrence’ changes during El Niño and La Niña phases have the same signs, compared to a neutral phase, i.e., the red and blue boxes’ middle lines are on the same side, relative to the green boxes’ middle lines. This may be explained both by a low significance of ENSO influence on NE WRs and/or by a nonlinear connection between the Pacific SST and NE WRs.
Northern hemisphere sea-ice area fluctuations appear to have a greater influence than ENSO on NE WRs’ occurrence in subsequent seasons. During years with a low sea-ice area in autumn, there is a reduced occurrence of WSL and WSB and an elevated occurrence of WUH and WNEH in the following years’ winters, with the opposite case for years with a high sea-ice area. An elevated occurrence of summer SBL and SAB regimes is observed in years with a high sea-ice area in spring, while low sea ice is linked to an elevated occurrence of the SUH regime.
The time series of the NH sea-ice area was not detrended before calculating the results provided here and in Figure 6, but the general picture does not change much when detrended sea-ice area is used, even though there a significant negative trend for the Northern Hemisphere sea-ice area during the last decades.

5. Weather Anomalies Associated with NE WRs

Weather regimes correspond to specific general circulation patterns over large areas, and hence influence other atmospheric parameters such as temperature, precipitation and wind speeds [28]. It is of great interest to know how WRs influence the distribution of anomalous or extreme weather events [29] such as very hot, cold or rainy days. We analyzed how NE WRs influence the distribution of rare daily temperature and precipitation anomalies, i.e., those that occur with a 5% probability. These are temperature anomalies that exceed the 95th percentile (hot days) or fall below the 5th percentile (cold days), as well as anomalies of precipitation that exceed the 95th percentile (heavy rainfalls/snowfalls).
To analyze anomalies of temperature and precipitation, regardless of the season, we subtract seasonal cycles from the original daily T2M and TP. Seasonal cycles of T2M and TP were calculated by averaging values for the same dates of different years and, additionally, smoothing them by applying a 5-day running mean, in the same way as was done with z500 to obtain dz500 fields, excluding low-pass filtering. Next, we calculated 95th (or 5th) percentile thresholds for a chosen variable (T2M and TP) at each grid point, and counted the number of days in each regime when a given threshold at a chosen grid point was exceeded. Then, we compared the number of exceedings with an expected rate, which can be estimated as N 0.05 , where N is the total number of days for the analyzed period spent in a given regime. The described procedure was performed for all grid points within the NE area for the T2M and TP daily fields.
The occurrence of negative T2M anomalies below the 5th percentile in winter, and positive T2M and TP anomalies exceeding the 95th percentile in summer, are shown in Figure 7. We do not show the results for T2M and TP exceeding the 95th percentile in winter and for T2M < 5% in summer, since these correspond to warm winter days and snowfalls and cold summer days, which are not as hazardous as cold winter days and hot/rainy summer days. As can be seen in Figure 7, T2M and TP spatial patterns in general reflect the z500 patterns of the weather regimes. This is well illustrated by the summer WRs’ T2M > 95% distribution. The maps in Figure 7 can be read as follows. During the WSL regime, for example, there is less than 30% of a normal probability of observing a cold day in Central Siberia. An approximately 2.5–3 times increase in probability of hot days over the European territory of Russia (ETR) can be seen during the presence of the SUH regime, a regime associated with blocking activity over the ETR, which had a local maximum of occurrence, for example, during the 2010 Russian heat wave. The SUH, associated with increased number of hot days, also had a local peak in 2016 (see Figure 3), when another heat wave was observed over the ETR [30].

6. Summary

Using the k-means method, we have clustered z500 fields into four weather regimes for both winter and summer month in the Northern Eurasian sector, and presented their structures, temporal statistics, links to ENSO and Northern Hemisphere (NH) sea-ice area, and associated temperature and precipitation extremes’ spatial distribution.
No long-term trends of occurrence of any regime are observed in winter, while three of the four regimes in summer have statistically significant trends, the most notable of which is the rising occurrence of the regime called Summer Ural High, a regime associated with anticyclonic activity over the European part of Russia. The persistence statistics of NE WRs shows that NE WRs can last from several days up to 40–50 days (WSB, SSB, and SUH) occupying the range of subseasonal time-scales with mean persistence values of about 7–9 days. The transition statistics for NE WRs show that there is a closed loop of likely transitions between the regimes for both seasons, going through each of the regimes, and indicating that the system is prone to go through every one of its possible states in a certain way.
It was found that El Niño is followed by the increased occurrence of the WSB regime, while the WNEH and the SSB decrease in occurrence in the subsequent season. The NE WRs’ response to the NH sea-ice area anomalies is even more pronounced than to ENSO — a low NH sea-ice area anomaly in autumn is followed by a 40% higher occurrence of the WUH and a 40% decreased occurrence of the WSL. Low NH sea-ice area anomalies in spring are followed by an increased occurrence of the SUH and a decrease in the remaining three regimes, responses to high NH sea-ice area anomalies are opposite.
Probabilities of rare daily temperature and total precipitation anomalies exceeding the 95th or falling below the 5th percentile in the NE region were found to change by several times during the presence of the NE WRs compared to an expected rate of occurrence for such anomalies. For example, the presence of the SUH regime increases the probability of observing a daily T2M anomaly above the 95th percentile by 2–3 times in the European part of Russia and decreases the probability of observing such anomalies in the North Sea and to the west of the Urals by 2.5 times.
The weather regime approach that was used in the literature to study large-scale circulation dynamics primarily in the Euro–Atlantic and North American regions, turns out to be a useful tool for analyzing large-scale circulation over the Northern Eurasian region. Northern Eurasian weather regimes are found to have certain statistical properties, such as long-term trends in occurrence, chains of likely transitions, and modulation of regime occurrence by the ENSO and sea-ice, which fall out of a random variability range. These results can be useful for further studies of weather regimes’ predictability and its impacts on temperature and precipitation extremes’ distribution.

Author Contributions

Conceptualization, V.A.S.; methodology, B.A.B.; investigation, B.A.B.; writing—original draft, B.A.B.; visualization, B.A.B.; supervision, V.A.S. All authors have read and agreed to the published version of the manuscript.

Funding

This work was partly supported by the Russian Science Foundation (Gr. No. 24-17-00138), weather regime processing was supported by the State Assignment of the Russian Ministry of Science and Higher Education (No. FMWR-2022-0018).

Institutional Review Board Statement

Not applicable.

Informed Consent Statement

Not applicable.

Data Availability Statement

The original contributions presented in the study are included in the article, further inquiries can be directed to the corresponding author/s.

Conflicts of Interest

The authors declare no conflict of interest.

References

  1. Vautard, R. Multiple weather regimes over the North Atlantic: Analysis of precursors and successors. Mon. Weather Rev. 1990, 118, 2056–2081. [Google Scholar] [CrossRef]
  2. Fereday, D.R.; Knight, J.R.; Scaife, A.A.; Folland, C.K.; Philipp, A. Cluster analysis of North Atlantic–European circulation types and links with tropical Pacific sea surface temperatures. J. Clim. 2008, 21, 3687–3703. [Google Scholar] [CrossRef]
  3. Mo, K.; Ghil, M. Cluster analysis of multiple planetary flow regimes. J. Geophys. Res. Atmos. 1988, 93, 10927–10952. [Google Scholar] [CrossRef]
  4. Amini, S.; Straus, D.M. Control of Storminess over the Pacific and North America by Circulation Regimes: The role of large-scale dynamics in weather extremes. Clim. Dyn. 2019, 52, 4749–4770. [Google Scholar] [CrossRef]
  5. Francis, J.A.; Skific, N.; Vavrus, S.J. North American weather regimes are becoming more persistent: Is Arctic amplification a factor? Geophys. Res. Lett. 2018, 45, 11414–11422. [Google Scholar] [CrossRef]
  6. Bao, M.; Wallace, J.M. Cluster analysis of Northern Hemisphere wintertime 500-hPa flow regimes during 1920–2014. J. Atmos. Sci. 2015, 72, 3597–3608. [Google Scholar] [CrossRef]
  7. Babanov, B.A.; Semenov, V.A.; Mokhov, I.I. Comparison of Cluster Analysis Methods for Identifying Weather Regimes in the Euro-Atlantic Region for Winter and Summer Seasons. Izv. Atmos. Ocean. Phys. 2023, 59, 605–623. [Google Scholar] [CrossRef]
  8. Cheng, X.; Wallace, J.M. Cluster analysis of the Northern Hemisphere wintertime 500-hPa height field: Spatial patterns. J. Atmos. Sci. 1993, 50, 2674–2696. [Google Scholar] [CrossRef]
  9. Hannachi, A. Low-frequency variability in a GCM: Threedimensional flow regimes and their dynamics. J. Clim. 1997, 10, 1357–1379. [Google Scholar] [CrossRef]
  10. Polo, I.; Ullmann, A.; Roucou, P.; Fontaine, B. Weather regimes in the Euro-Atlantic and Mediterranean sector, and relationship with West African rainfall over the 1989–2008 period from a self-organizing maps approach. J. Clim. 2011, 24, 3423–3432. [Google Scholar] [CrossRef]
  11. Cassou, C. Intraseasonal interaction between the Madden–Julian oscillation and the North Atlantic Oscillation. Nature 2008, 455, 523–527. [Google Scholar] [CrossRef] [PubMed]
  12. Huth, R.; Beck, C.; Philipp, A.; Demuzere, M.; Ustrnul, Z.; Cahynová, M.; Kyselý, J.; Tveito, O.E. Classifications of atmospheric circulation patterns: Recent advances and applications. Ann. N. Y. Acad. Sci. 2008, 1146, 105–152. [Google Scholar] [CrossRef] [PubMed]
  13. Hersbach, H.; Bell, B.; Berrisford, P.; Hirahara, S.; Horányi, A.; Muñoz-Sabater, J.; Nicolas, J.; Peubey, C.; Radu, R.; Schepers, D.; et al. The ERA5 global reanalysis. Q. J. R. Meteorol. Soc. 2020, 146, 1999–2049. [Google Scholar] [CrossRef]
  14. Matsueda, M.; Palmer, T.N. Estimates of flow-dependent predictability of wintertime Euro-Atlantic weather regimes in medium-range forecasts. Q. J. R. Meteorol. Soc. 2018, 144, 1012–1027. [Google Scholar] [CrossRef]
  15. Dawson, A.; Palmer, T.N.; Corti, S. Simulating regime structures in weather and climate prediction models. Geophys. Res. Lett. 2012, 39, L21805. [Google Scholar] [CrossRef]
  16. Fabiano, F.; Christensen, H.M.; Strommen, K.; Athanasiadis, P.; Baker, A.; Schiemann, R.; Corti, S. Euro-Atlantic weather Regimes in the PRIMAVERA coupled climate simulations: Impact of resolution and mean state biases on model performance. Clim. Dyn. 2020, 54, 5031–5048. [Google Scholar] [CrossRef]
  17. Falkena, S.K.; de Wiljes, J.; Weisheimer, A.; Shepherd, T.G. Revisiting the identification of wintertime atmospheric circulation regimes in the Euro-Atlantic sector. Q. J. R. Meteorol. Soc. 2020, 146, 2801–2814. [Google Scholar] [CrossRef]
  18. Christiansen, B. Atmospheric circulation regimes: Can cluster analysis provide the number? J. Clim. 2007, 20, 2229–2250. [Google Scholar] [CrossRef]
  19. Michelangeli, P.A.; Vautard, R.; Legras, B. Weather regimes: Recurrence and quasi stationarity. J. Atmos. Sci. 1995, 52, 1237–1256. [Google Scholar] [CrossRef]
  20. Lee, S.H.; Furtado, J.C.; Charlton-Perez, A.J. Wintertime North American weather regimes and the Arctic stratospheric polar vortex. Geophys. Res. Lett. 2019, 46, 14892–14900. [Google Scholar] [CrossRef]
  21. Liu, Y.; Feng, S.; Qian, Y.; Huang, H.; Berg, L.K. How do North American weather regimes drive wind energy at the sub-seasonal to seasonal timescales? NPJ Clim. Atmos. Sci. 2023, 6, 100. [Google Scholar] [CrossRef]
  22. Crasemann, B.; Handorf, D.; Jaiser, R.; Dethloff, K.; Nakamura, T.; Ukita, J.; Yama-zaki, K. Can preferred atmospheric circulation patterns over the North-Atlantic-Eurasian region be associated with arctic sea ice loss? Polar Sci. 2017, 14, 9–20. [Google Scholar] [CrossRef]
  23. Philipp, A.; Della-Marta, P.M.; Jacobeit, J.; Fereday, D.R.; Jones, P.D.; Moberg, A.; Wanner, H. Long-term variability of daily North Atlantic–European pressure patterns since 1850 classified by simulated annealing clustering. J. Clim. 2007, 20, 4065–4095. [Google Scholar] [CrossRef]
  24. Dole, R.; Hoerling, M.; Perlwitz, J.; Eischeid, J.; Pegion, P.; Zhang, T.; Quan, X.W.; Xu, T.; Murray, D. Was there a basis for anticipating the 2010 Russian heat wave? Geophys. Res. Lett. 2011, 38, L06702. [Google Scholar] [CrossRef]
  25. Vautard, R.; Mo, K.C.; Ghil, M. Statistical significance test for transition matrices of atmospheric Markov chains. J. Atmos. Sci. 1990, 47, 1926–1931. [Google Scholar] [CrossRef]
  26. Barnes, E.A.; Screen, J.A. The impact of Arctic warming on the midlatitude jet-stream: Can it? Has it? Will it? Wiley Interdiscip. Rev. Clim. Chang. 2015, 6, 277–286. [Google Scholar] [CrossRef]
  27. Scaife, A.A.; Dunstone, N.; Hardiman, S.; Ineson, S.; Li, C.; Lu, R.; Pang, B.; Klein-Tank, A.; Smith, D.; Van Niekerk, A.; et al. ENSO affects the North Atlantic Oscillation 1 year later. Science 2024, 386, 82–86. [Google Scholar] [CrossRef]
  28. Babanov, B.A.; Semenov, V.A.; Akperov, M.G.; Mokhov, I.I.; Keenlyside, N.S. Occurrence of Winter Atmospheric Circulation Regimes in Euro-Atlantic Region and Associated Extreme Weather Anomalies in the Northern Hemisphere. Atmos. Ocean. Opt. 2023, 36, 522–531. [Google Scholar] [CrossRef]
  29. Yiou, P.; Nogaj, M. Extreme climatic events and weather regimes over the North Atlantic: When and where? Geophys. Res. Lett. 2004, 31, L07202. [Google Scholar] [CrossRef]
  30. Bardin, M.Y.; Platova, T.V.; Samokhina, O.F. Extreme Heat Waves and Extreme Summer Seasons in European Russia. Russ. Meteorol. Hydrol. 2024, 49, 467–481. [Google Scholar] [CrossRef]
Figure 1. Classifiability and Reproducibility indexes for k-means clustering of winter (a) and summer (b) NE WRs. Solid red lines represent values of Classifiability index, black dashed lines represent 90-th and 10-th percentiles of Classifiability indexes of the simulated samples. Black dots represent values of the Reproducibility index for each of K clusters for a chosen K (the higher the dots the better); significance levels for winter (c) and summer (d) NE WRs by clustering original data PCs’ time series based on comparison of the Variance Ratio relative to simulated red-noise samples. Red dashed lines represent 95-th percentile significance level. Significance level means a percent of randomly simulated samples with VR values lower than the VR value (the higher the better) of the original sample.
Figure 1. Classifiability and Reproducibility indexes for k-means clustering of winter (a) and summer (b) NE WRs. Solid red lines represent values of Classifiability index, black dashed lines represent 90-th and 10-th percentiles of Classifiability indexes of the simulated samples. Black dots represent values of the Reproducibility index for each of K clusters for a chosen K (the higher the dots the better); significance levels for winter (c) and summer (d) NE WRs by clustering original data PCs’ time series based on comparison of the Variance Ratio relative to simulated red-noise samples. Red dashed lines represent 95-th percentile significance level. Significance level means a percent of randomly simulated samples with VR values lower than the VR value (the higher the better) of the original sample.
Atmosphere 15 01392 g001
Figure 2. Mean dz500 fields of the four winter and summer Northern Eurasian weather regimes (see the captions and explanation in the text). The top row shows the mean dz500 fields of winter WRs and the bottom row exhibits the mean dz500 fields of summer WRs. Captions for any WR indicate their abbreviations and percentages of occurrence for the whole studied period (1940–2022).
Figure 2. Mean dz500 fields of the four winter and summer Northern Eurasian weather regimes (see the captions and explanation in the text). The top row shows the mean dz500 fields of winter WRs and the bottom row exhibits the mean dz500 fields of summer WRs. Captions for any WR indicate their abbreviations and percentages of occurrence for the whole studied period (1940–2022).
Atmosphere 15 01392 g002
Figure 3. Time series of seasonal occurrence of NE WRs in number of days per season. Statistically significant (at 5% level) linear trends according to the Mann–Kendall test are shown by colored lines, red for positive (SUH) and blue for negative trends (SSB and SAB); nonsignificant trends are shown by black lines.
Figure 3. Time series of seasonal occurrence of NE WRs in number of days per season. Statistically significant (at 5% level) linear trends according to the Mann–Kendall test are shown by colored lines, red for positive (SUH) and blue for negative trends (SSB and SAB); nonsignificant trends are shown by black lines.
Atmosphere 15 01392 g003
Figure 4. NE WRs’ persistence histograms for the studied period for winter (a,b) and summer (c,d). Figures (a,c)—distribution of number of regime events as a function of persistence range; Figures (b,d)—distribution of total number of days spent in regime events.
Figure 4. NE WRs’ persistence histograms for the studied period for winter (a,b) and summer (c,d). Figures (a,c)—distribution of number of regime events as a function of persistence range; Figures (b,d)—distribution of total number of days spent in regime events.
Atmosphere 15 01392 g004
Figure 5. A schematic representation of statistically significant likely transitions. Numbers near arrows show the probability of such transitions (same as numbers in Table 2 in parenthesis).
Figure 5. A schematic representation of statistically significant likely transitions. Numbers near arrows show the probability of such transitions (same as numbers in Table 2 in parenthesis).
Atmosphere 15 01392 g005
Figure 6. NE WRs’ relative occurrence as a fraction of the season during neutral (green bars), high (red bars) and low (blue bars) Nino3.4 and Northern Hemisphere sea-ice area in preceding seasons. Middle lines in colored boxes indicate the observed value, top and bottom lines within colored boxes are 3rd and 1st quartiles (75th and 25th percentiles), and top and bottom lines of whiskers are 99th and 1st percentiles obtained through bootstrapping of the original data sample.
Figure 6. NE WRs’ relative occurrence as a fraction of the season during neutral (green bars), high (red bars) and low (blue bars) Nino3.4 and Northern Hemisphere sea-ice area in preceding seasons. Middle lines in colored boxes indicate the observed value, top and bottom lines within colored boxes are 3rd and 1st quartiles (75th and 25th percentiles), and top and bottom lines of whiskers are 99th and 1st percentiles obtained through bootstrapping of the original data sample.
Atmosphere 15 01392 g006
Figure 7. (a) spatial distribution of relative occurrence of days with winter T2M anomalies below 5th percentile (cold days) for each winter NE WR; (b) spatial distribution of relative occurrence of days with summer T2M anomalies above 95th percentile (hot days) for each summer NE WR; (c) the same as for (b), but for TP (rainy days). Percentages on scales to the right of maps reflect observed number of T2M or TP exceedings of a given percentile during a given regime, as a percentage of the expected number (0.05 of regime days).
Figure 7. (a) spatial distribution of relative occurrence of days with winter T2M anomalies below 5th percentile (cold days) for each winter NE WR; (b) spatial distribution of relative occurrence of days with summer T2M anomalies above 95th percentile (hot days) for each summer NE WR; (c) the same as for (b), but for TP (rainy days). Percentages on scales to the right of maps reflect observed number of T2M or TP exceedings of a given percentile during a given regime, as a percentage of the expected number (0.05 of regime days).
Atmosphere 15 01392 g007
Table 1. NE WRs’ seasonal-occurrence time-series statistical properties and linear trends. Statistically significant trends and their characteristics are highlighted with bold.
Table 1. NE WRs’ seasonal-occurrence time-series statistical properties and linear trends. Statistically significant trends and their characteristics are highlighted with bold.
Statistics and Linear Trends of the NE WRs’ Seasonal Occurrence
Weather Regime NameWSLWUHWSBWNEHSBLSUHSSBSAB
Mean value (days/season)25.023.122.219.724.323.022.422.3
Coefficient of variation
i.e., std/mean
0.4940.5900.6110.6920.4700.6440.5600.549
Trend in days/year
i.e., «a» from the
«y = ax + b» model
−0.040+0.004−0.004+0.041−0.016+0.243−0.118−0.109
Coefficient of determination, R20.006< 0.001< 0.0010.0050.0010.1560.0520.046
Is trend significant
according to the Mann–Kendall test at alpha = 0.05
NoNoNoNoNoYesYesYes
Trend’s significance,
i.e., p-value
0.4280.9040.8260.7670.9370.0020.0470.044
Table 2. Transition matrixes for the winter and summer NE WRs. Values in parenthesis for non-diagonal elements are probabilities of transition to another regime when diagonal probabilities are not included. Statistically significant likely transitions (see text below) are highlighted in bold.
Table 2. Transition matrixes for the winter and summer NE WRs. Values in parenthesis for non-diagonal elements are probabilities of transition to another regime when diagonal probabilities are not included. Statistically significant likely transitions (see text below) are highlighted in bold.
Transition Matrix for the Winter Northern Eurasia Weather Regimes
… => WSL… => WUH… => WSB… => WNEH
WSL => …88.9%3.0% (27.4%)4.4% (39.8%)3.6% (32.7%)
WUH => …2.8% (25.1%)88.9%4.3% (38.6%)4.0% (36.2%)
WSB => …6.6% (58.7%)3.1% (27.4%)88.8%1.6% (13.9%)
WNEH => …3.3% (29.4%)5.8% (51.1%)2.2% (19.4%)88.7%
Transition matrix for the summer Northern Eurasia weather regimes
… => SBL… => SUH… => SSB… => SAB
SBL => …88.2%3.6% (30.3%)2.2% (18.8%)6.0% (50.9%)
SUH => …2.6% (23.9%)88.9%5.5% (49.8%)2.9% (26.3)
SSB => …7.4% (61.7%)3.1% (25.7%)87.9%1.5% (12.6%)
SAB => …2.8% (26.1%)4.5% (41.2%)3.5% (32.7%)89.1%
Disclaimer/Publisher’s Note: The statements, opinions and data contained in all publications are solely those of the individual author(s) and contributor(s) and not of MDPI and/or the editor(s). MDPI and/or the editor(s) disclaim responsibility for any injury to people or property resulting from any ideas, methods, instructions or products referred to in the content.

Share and Cite

MDPI and ACS Style

Babanov, B.A.; Semenov, V.A. Weather Regimes in Northern Eurasia: Statistics, Predictability and Associated Weather Anomalies. Atmosphere 2024, 15, 1392. https://doi.org/10.3390/atmos15111392

AMA Style

Babanov BA, Semenov VA. Weather Regimes in Northern Eurasia: Statistics, Predictability and Associated Weather Anomalies. Atmosphere. 2024; 15(11):1392. https://doi.org/10.3390/atmos15111392

Chicago/Turabian Style

Babanov, Boris A., and Vladimir A. Semenov. 2024. "Weather Regimes in Northern Eurasia: Statistics, Predictability and Associated Weather Anomalies" Atmosphere 15, no. 11: 1392. https://doi.org/10.3390/atmos15111392

APA Style

Babanov, B. A., & Semenov, V. A. (2024). Weather Regimes in Northern Eurasia: Statistics, Predictability and Associated Weather Anomalies. Atmosphere, 15(11), 1392. https://doi.org/10.3390/atmos15111392

Note that from the first issue of 2016, this journal uses article numbers instead of page numbers. See further details here.

Article Metrics

Back to TopTop