Simulating Vertical Profiles of Optical Turbulence at the Special Astrophysical Observatory Site
Abstract
1. Introduction
2. Data
3. Research Results
3.1. Results of Optical Turbulence Measurements
3.2. Scheme for the Parameterization of Optical Turbulence
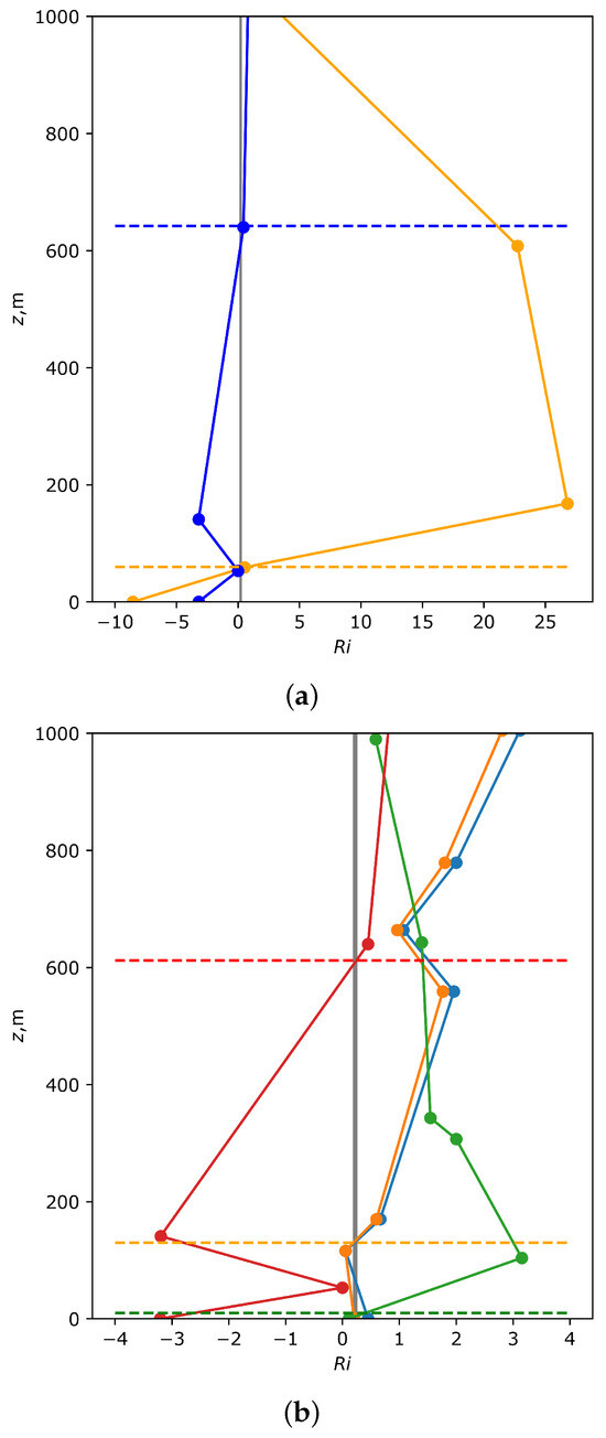
3.3. Atmospheric Boundary Heights Within SAO Region
- -
- The value determined by the nearest four values of Ri in the time series;
- -
- The value determined for the conditions of non-zero friction velocity;
- -
- The value based on the vertical profile of the Richardson number. Changes in the Richardson number between two height levels were considered as linear. The Richardson number was calculated using a linear regression of the vertical profile, from the higher layer to the lower one.
3.4. Vertical Profiles of Optical Turbulence at the SAO
4. Discussion
- -
- Deformation of air flows by mountain obstacles and the occurrence of rotor movements on their leeward side, producing an increase in the friction velocity and small-scale turbulence;
- -
- Interaction of air masses with different characteristics and the formation of atmospheric fronts. These zones are most often associated with cyclonic weather and cloudiness and are only partially taken into account. In particular, the vertical profiles of optical turbulence were obtained with a total cloudiness of less than 0.5;
- -
- Friction of the air flow against the earth’s surface and the formation of a wind speed profile with large vertical gradients in its lower part. This factor is taken into account by correcting and analyzing the vertical profiles of the Richardson number.
5. Conclusions
Author Contributions
Funding
Institutional Review Board Statement
Informed Consent Statement
Data Availability Statement
Conflicts of Interest
Appendix A


References
- Coulman, C.E. Fundamental and applied aspects of astronomical “seeing”. Annu. Rev. Astron. Astrophys. 1985, 23, 19–57. [Google Scholar] [CrossRef]
- Marukhno, A.S.; Bubnov, G.M.; Vdovin, V.F.; Voziakova, O.V.; Zemlyanukha, P.M.; Zinchenko, I.I.; Mingaliev, M.G.; Shatsky, N.I. Analysis of the Millimeter-Band Astroclimate at the Caucasus Mountain Observatory. In Proceedings of the Ground-Based Astronomy in Russia, 21st Century, Arkhyz, Russian, 21–25 September 2020; pp. 184–188. [Google Scholar] [CrossRef]
- Balega, Y.Y.; Marukhno, A.S.; Marukhno, N.A.; Khaykin, V.; Bataev, D.K.S.; Bubnov, G.M.; Vdovin, V.F.; Zemlyanukha, P.M.; Lesnov, I.V.; Khudchenko, A.V.; et al. Direct measurements of atmospheric absorbtion of subterahertz waves in the Northern Caucasus. Dokl. Phys. 2022, 67, 1–4. [Google Scholar] [CrossRef]
- Turchi, A.; Masciadri, E.; Kerber, F.; Martelloni, G. Forecasting water vapour above the sites of ESO’s Very Large Telescope(VLT) and the Large Binocular Telescope (LBT). Mon. Not. R. Astron. Soc. 2019, 482, 206–218. [Google Scholar] [CrossRef]
- Aristidi, E.; Ziad, A.; Chabe, J.; Fantei-Caujolle, Y.; Renaud, C.; Giordano, C. A generalized differential image motion monitor. Mon. Not. R. Astron. Soc. 2019, 486, 915–925. [Google Scholar] [CrossRef]
- Bally, J.; Theil, D.; Billawalla, Y.; Potter, D.; Loewenstein, R.; Mrozek, F.; Lloyd, J.P. A Hartmann Differential Image Motion Monitor (H-DIMM) for Atmospheric Turbulence Characterisation. Publ. Astron. Soc. Aust. 2016, 13, 22–27. [Google Scholar] [CrossRef]
- Perera, S.; Wilson, R.W.; Butterley, T.; Osborn, J.; Farley, O.J.D.; Laidlaw, D.J. A Hartmann SHIMM: A versatile seeing monitor for astronomy. Mon. Not. R. Astron. Soc. 2023, 520, 5475–5486. [Google Scholar] [CrossRef]
- Masciadri, E.; Lombardi, G.; Lascaux, F. On the comparison between MASS and generalized-SCIDAR techniques. Mon. Not. R. Astron. Soc. 2014, 438, 983–1004. [Google Scholar] [CrossRef][Green Version]
- Avila, R.; Aviles, J.L.; Wilson, R.W.; Chun, M.; Butterley, T.; Carrasco, E. LOLAS: An optical turbulence profiler in the atmospheric boundary layer with extreme altitude-resolution. Mon. Not. R. Astron. Soc. 2008, 387, 1511–1516. [Google Scholar] [CrossRef]
- Sanchez, L.J.; Avila, R.; Zuniga, S.A.; Cruz-Gonzalez, I.; Tapia-Rodriguez, J.J.; Urbiola, J.L.A. New generation LOLAS: Redesign of an Optical Turbulence Profiler with High Altitude-Resolution. J. Phys. Conf. Ser. 2015, 595, 012031. [Google Scholar] [CrossRef]
- He, P.; Nunalee, C.G.; Basu, S.; Vorontsov, M.; Fiorino, S. Current Status and Challenges in Optical Turbulence Simulations in Various Layers of the Earth’s Atmosphere. Laser Commun. Propag. Through Atmos. Ocean. III 2014, 9224, 92240F. [Google Scholar] [CrossRef]
- Pierzyna, M.; Hartogensis, O.; Basu, S.; Saathof, R. Intercomparison of flux-, gradient-, and variance-based optical turbulence () parameterizations. Appl. Opt. 2024, 63, 16. [Google Scholar] [CrossRef] [PubMed]
- Klipp, C. Turbulence Anisotropy in the Near-Surface Atmosphere and the Evaluation of Multiple Outer Length Scales. Bound.-Layer Meteorol. 2014, 151, 57–77. [Google Scholar] [CrossRef]
- Korotkova, O.; Toselli, I. Non-Classic Atmospheric Optical Turbulence: Review. Appl. Sci. 2021, 11, 8487. [Google Scholar] [CrossRef]
- Razi, E.M.; Rasouli, S.; Niemela, J.J. Study of convective air turbulence based on the probability distribution function of angle of arrival fluctuations. Opt. Laser Technol. 2024, 171, 110437. [Google Scholar] [CrossRef]
- Lukin, V.P. Intercomparison of models of the atmospheric turbulence spectrum. Atmos. Ocean. Opt. 1993, 6, 628–631. [Google Scholar]
- DelSole, T. Stochastic Models of Shear-Flow Turbulence with Enstrophy Transfer to Subgrid Scales. J. Atmos. Sci. 1999, 56, 3692–3703. [Google Scholar] [CrossRef]
- Tung, K.-K.; Orlando, W.W. The k-3 and k-5/3 Energy Spectrum of Atmospheric Turbulence: Quasigeostrophic Two-Level Model Simulation. J. Atmos. Sci. 2003, 60, 824–835. [Google Scholar] [CrossRef]
- Cuevas, O.; Marin, J.C.; Blazquez, J.; Meyer, C. Combining models to forecast the optical turbulence at Paranal. Mon. Not. R. Astron. Soc. 2024, 529, 2208–2219. [Google Scholar] [CrossRef]
- Quatresooz, F.; Griffiths, R.; Bardou, L.; Wilson, R.; Osborn, J.; Vanhoenacker-Janvier, D.; Claude, O. Continuous daytime and nighttime forecast of atmospheric optical turbulence from numerical weather prediction models. Opt. Express 2023, 31, 33850–33872. [Google Scholar] [CrossRef]
- Macatangay, R.; Rattanasoon, S.; Butterley, T.; Bran, S.H.; Sonkaew, T.; Sukaum, B.; Sookjai, D.; Panya, M.; Supasri, T. Seeing and turbulence profile simulations over complex terrain at the Thai National Observatory using a chemistry-coupled regional forecasting model. Mon. Not. R. Astron. Soc. 2024, 530, 1414–1423. [Google Scholar] [CrossRef]
- Masciadri, E.; Jabouille, P. Improvements in the optical turbulence parameterization for 3D simulations in a region around a telescope. Astron. Astrophys. 2001, 376, 727–734. [Google Scholar] [CrossRef][Green Version]
- Qing, C.; Wu, X.; Li, X.; Luo, T.; Su, C.; Zhu, W. Mesoscale optical turbulence simulations above Tibetan Plateau: First attempt. Opt. Express 2020, 28, 4571–4586. [Google Scholar] [CrossRef] [PubMed]
- Yang, Q.; Wu, X.; Han, Y.; Chun, Q.; Wu, S.; Su, C.; Wu, P.; Luo, T.; Zhang, S. Estimating the astronomical seeing above Dome A using Polar WRF based on the Tatarskii equation. Opt. Express 2021, 29, 44000–44011. [Google Scholar] [CrossRef]
- Bi, C.; Qing, C.; Qian, X.; Zhu, W.; Luo, T.; Li, X.; Cui, S.; Weng, N. Astroclimatic parameters characterization at lenghu site with ERA5 products. Mon. Not. R. Astron. Soc. 2024, 527, 4616–4631. [Google Scholar] [CrossRef]
- Wu, X.-Q.; Xiao, C.-Y.; Esamdin, A.; Xu, J.; Wang, Z.-W.; Xiao, L. Quantitative Analysis of Seeing with Height and Time at Muztagh-Ata Site Based on ERA5 Database. Res. Astron. Astrophys. 2024, 24, 015006. [Google Scholar] [CrossRef]
- Tokovinin, A. The Elusive Nature of “Seeing”. Atmosphere 2023, 14, 1694. [Google Scholar] [CrossRef]
- Hersbach, H.; Bell, B.; Berrisford, P.; Hirahara, S.; Horányi, A.; Muñoz-Sabater, J.; Nicolas, J.; Peubey, C.; Radu, R.; Schepers, D.; et al. The ERA5 global reanalysis. Q. J. R. Meteorol. Soc. 2020, 146, 1999–2049. [Google Scholar] [CrossRef]
- Potanin, S.A.; Kopylov, E.A.; Savvin, A.D. Mobile Differential Image Motion Monitor for Astroclimate Research. Astrophys. Bull. 2024, 79, 350–359. [Google Scholar] [CrossRef]
- Sarazin, M.; Roddier, F. The ESO differential image motion monitor. Astron. Astrophys. 1990, 227, 294–300. [Google Scholar]
- Tokovinin, A.; Kornilov, V. Accurate seeing measurements with MASS and DIMM. Mon. Not. R. Astron. Soc. 2007, 381, 1179–1189. [Google Scholar] [CrossRef]
- Potanin, S.A.; Kornilov, M.V.; Savvin, A.D.; Safonov, B.S.; Ibragimov, M.A.; Kopylov, E.A.; Nalivkin, M.A.; Shmagin, V.E.; Huy, L.X.; Thao, N.T. A facility for the study of atmospheric parameters based on the Shack-Hartmann sensor. Astrophys. Bull. 2022, 77, 214–221. [Google Scholar] [CrossRef]
- Shikhovtsev, A.Y.; Kovadlo, P.G.; Kiselev, A.V.; Eselevich, M.V.; Lukin, V.P. Application of Neural Networks to Estimation and Prediction of Seeing at the Large Solar Telescope Site. Publ. Astron. Soc. Pac. 2023, 135, 014503. [Google Scholar] [CrossRef]
- Giordano, C.; Rafalimanana, A.; Ziad, A.; Aristidi, E.; Chabe, J.; Fanteï-Caujole, Y.; Renaud, C. Contribution of statistical site learning to improve optical turbulence forecasting. Mon. Not. R. Astron. Soc. 2021, 504, 1927–1938. [Google Scholar] [CrossRef]
- Han, Y.; Yang, Q.; Liu, N.; Zhang, K.; Qing, C.; Li, X.; Wu, X.; Luo, T. Analysis of wind-speed profiles and optical turbulence above Gaomeigu and the Tibetan Plateau using ERA5 data. Mon. Not. R. Astron. Soc. 2021, 501, 4692–4702. [Google Scholar] [CrossRef]
- Masciadri, E.; Avila, R.; Sanchez, L.J. Statistic reliability of the MESO-NH atmospherical model for 3D simulations. Rev. Mex. Astron. Astrofis. 2004, 40, 3–14. [Google Scholar]
- Rao, R. Effect of Outer Scale of Atmospheric Turbulence on Imaging Resolution of Large Telescopes. Guangxue Xuebao/Acta Opt. Sin. 2023, 43, 2400001. [Google Scholar] [CrossRef]
- Shikhovtsev, A.Y. Reference optical turbulence characteristics at the Large Solar Vacuum Telescope site. Publ. Astron. Soc. Jpn. 2024, 76, 538–549. [Google Scholar] [CrossRef]
- Lukin, V.P.; Nosov, V.V.; Torgaev, A.V. Features of optical image jitter in a random medium with a finite outer scale. Appl. Opt. 2014, 53, B196–B204. [Google Scholar] [CrossRef]
- Lukin, V.P. Outer scale of turbulence and its influence on fluctuations of optical waves. Phys.-Uspekhi 2021, 64, 280. [Google Scholar] [CrossRef]
- Dewan, E.M.; Good, R.E.; Beland, R.; Brown, J. A Model for (Optical Turbulence) Profiles Using Radiosonde Data; Phillips Laboratory, Directorate of Geophysics, Air Force Materiel Command: Hanscom AFB, MA, USA, 1993; p. 50. [Google Scholar]
- Zhang, Y.; Gao, Z.; Li, D.; Li, Y.; Zhang, N.; Zhao, X.; Chen, J. On the computation of planetary boundary-layer height using the bulk Richardson number method. Geosci. Model Dev. 2014, 7, 2599–2611. [Google Scholar] [CrossRef]
- Vogelezang, D.H.P.; Holtslag, A.A.M. Evaluation and model impacts of alternative boundary-layer height formulations. Bound.-Lay. Meteorol. 1996, 81, 245–269. [Google Scholar] [CrossRef]
- Panchuk, V.E.; Afanas’ev, V.L. Astroclimate of Northern Caucasus-myths and reality. Astrophys. Bull. 2011, 66, 233–254. [Google Scholar] [CrossRef]
- Shikhovtsev, A.Y.; Kovadlo, P.G.; Khaikin, V.B.; Nosov, V.V.; Lukin, V.P.; Nosov, E.V.; Torgaev, A.V.; Kiselev, A.V.; Shikhovtsev, M.Y. Atmospheric Conditions within Big Telescope Alt-Azimuthal Region and Possibilities of Astronomical Observations. Remote Sens. 2022, 14, 1833. [Google Scholar] [CrossRef]
- Nosov, V.V.; Lukin, V.P.; Nosov, E.V.; Torgaev, A.V.; Afanasev, V.L.; Balega, Y.U.; Vlasyuk, V.V.; Panchuk, V.E.; Yakopov, G.V. Astroclimate Studies in the Special Astrophysical Observatory of the Russian Academy of Sciences. Atmos. Ocean. Opt. 2018, 32, 8–18. [Google Scholar] [CrossRef]
- Avila, R.; Carrasco, E.; Ibañez, F.; Vernin, J.; Prieur, J.-L.; Cruz, D.X. Generalized SCIDAR Measurements at San Pedro Mártir. II. Wind Profile Statistics. Publ. Astron. Soc. Pac. 2006, 118, 503. [Google Scholar] [CrossRef]
- Shikhovtsev, A.Y.; Kovadlo, P.G.; Lezhenin, A.A.; Gradov, V.S.; Zaiko, P.O.; Khitrykau, M.A.; Kirichenko, K.E.; Driga, M.B.; Kiselev, A.V.; Russkikh, I.V.; et al. Simulating Atmospheric Characteristics and Daytime Astronomical Seeing Using Weather Research and Forecasting Model. Appl. Sci. 2023, 13, 6354. [Google Scholar] [CrossRef]










Disclaimer/Publisher’s Note: The statements, opinions and data contained in all publications are solely those of the individual author(s) and contributor(s) and not of MDPI and/or the editor(s). MDPI and/or the editor(s) disclaim responsibility for any injury to people or property resulting from any ideas, methods, instructions or products referred to in the content. |
© 2024 by the authors. Licensee MDPI, Basel, Switzerland. This article is an open access article distributed under the terms and conditions of the Creative Commons Attribution (CC BY) license (https://creativecommons.org/licenses/by/4.0/).
Share and Cite
Shikhovtsev, A.Y.; Potanin, S.A.; Kopylov, E.A.; Qian, X.; Bolbasova, L.A.; Panchuk, A.V.; Kovadlo, P.G. Simulating Vertical Profiles of Optical Turbulence at the Special Astrophysical Observatory Site. Atmosphere 2024, 15, 1346. https://doi.org/10.3390/atmos15111346
Shikhovtsev AY, Potanin SA, Kopylov EA, Qian X, Bolbasova LA, Panchuk AV, Kovadlo PG. Simulating Vertical Profiles of Optical Turbulence at the Special Astrophysical Observatory Site. Atmosphere. 2024; 15(11):1346. https://doi.org/10.3390/atmos15111346
Chicago/Turabian StyleShikhovtsev, Artem Y., Sergey A. Potanin, Evgeniy A. Kopylov, Xuan Qian, Lidia A Bolbasova, Asya V. Panchuk, and Pavel G. Kovadlo. 2024. "Simulating Vertical Profiles of Optical Turbulence at the Special Astrophysical Observatory Site" Atmosphere 15, no. 11: 1346. https://doi.org/10.3390/atmos15111346
APA StyleShikhovtsev, A. Y., Potanin, S. A., Kopylov, E. A., Qian, X., Bolbasova, L. A., Panchuk, A. V., & Kovadlo, P. G. (2024). Simulating Vertical Profiles of Optical Turbulence at the Special Astrophysical Observatory Site. Atmosphere, 15(11), 1346. https://doi.org/10.3390/atmos15111346

