Abstract
In recent years, the application of machine learning methods has become increasingly common in atmospheric science, particularly in modeling and predicting processes that impact air quality. This study focuses on predicting hydrogen production from solid oxide electrolytic cells (SOECs), a technology with significant potential for reducing greenhouse gas emissions and improving air quality. We developed two models using artificial neural networks (ANNs) and support vector machine (SVM) to predict hydrogen production. The input variables are current, voltage, communication delay time, and real-time measured hydrogen production, while the output variable is hydrogen production at the next sampling time. Both models address the critical issue of production hysteresis. Using 50 h of SOEC system data, we evaluated the effectiveness of the ANN and SVM methods, incorporating hydrogen production time as an input variable. The results show that the ANN model is superior to the SVM model in terms of hydrogen production prediction performance. Specifically, the ANN model shows strong predictive performance at a communication delay time ε = 0.01–0.02 h, with RMSE = 2.59 × 10−2, MAPE = 33.34 × 10−2%, MAE = 1.70 × 10−2 Nm3/h, and R2 = 99.76 × 10−2. At delay time ε = 0.03 h, the ANN model yields RMSE = 2.74 × 10−2 Nm3/h, MAPE = 34.43 × 10−2%, MAE = 1.73 × 10−2 Nm3/h, and R2 = 99.73 × 10−2. Using the SVM model, the prediction error values at delay time ε = 0.01–0.02 h are RMSE = 2.70 × 10−2 Nm3/h, MAPE = 44.01 × 10−2%, MAE = 2.24 × 10−2 Nm3/h, and R2 = 99.74 × 10−2, while at delay time ε = 0.03 h they become RMSE = 2.67 × 10−2 Nm3/h, MAPE = 43.44 × 10−2%, MAE = 2.11 × 10−2 Nm3/h, and R2 = 99.75 × 10−2. With this precision, the ANN model for SOEC hydrogen production prediction has positive implications for air pollution control strategies and the development of cleaner energy technologies, contributing to overall improvements in air quality and the reduction of atmospheric pollutants.
1. Introduction
With the growing global energy demand and the increasingly severe environmental problems, the development of clean and efficient energy conversion and storage technologies has become an important direction of the current scientific and technological development. This trend is closely related to the atmospheric sciences, particularly in terms of air quality and climate change. Hydrogen energy, as a clean and renewable energy carrier, plays a key role in the future energy structure transformation []. The solid oxide electrolytic cell (SOEC) is considered to be one of the most promising technologies for hydrogen production due to its high efficiency and environmental friendliness [,]. SOEC can not only produce hydrogen by electrolyzing water with high efficiency, but also perform CO2/H2O co-electrolysis at the same time, which provides new possibilities to realize the goal of carbon neutrality [,]. At the same time, the rapid development of machine learning technology has provided a huge opportunity for the performance prediction of SOECs.
However, SOEC technology still faces many challenges in practical applications. Firstly, the performance of the SOEC system is influenced by many factors, including the working temperature, the voltage, the current density, and the composition of the gas, and there are complex nonlinear relationships between these parameters, making the accurate prediction of SOEC performance a difficult problem [,]. Secondly, the SOEC will inevitably suffer from performance degradation during long-term operation, which involves a highly complex mechanism related to electrochemistry, thermodynamics, material science, and other disciplines [,]. In addition, the combined application of SOEC and renewable energy brings new challenges, and how to maintain the stable operation and efficient hydrogen production of SOEC under fluctuating power input conditions has become an urgent problem to be solved [,].
In the face of the complexities and challenges of SOEC systems, traditional physical modeling approaches often struggle to fully and accurately describe the system’s behavior. In recent years, with the rapid development of artificial intelligence and machine learning technologies, data-driven modeling and its optimization methods have shown great potential in energy system analysis [,]. Among them, artificial neural networks (ANNs) and support vector machine (SVM), as two typical machine learning methods, have been widely used in the research of solid oxide fuel cells (SOFCs) and other electrolysis cells.
ANNs have powerful nonlinear mapping ability and adaptive learning ability, which can effectively deal with high-dimensional and multivariate complex systems [,]. In SOEC research, there are currently few reports on the use of ANN and SVM methods for performance prediction. However, research results from the related fields of SOFC and other electrolysis cells can bring us inspiration. ANNs have been used in various aspects, such as performance prediction, parameter optimization, and multi-objective optimization. For example, Li et al. [] used deep neural networks to construct an agent model for a proton ceramic electrolytic cell for multi-objective optimization. Forootan and Ahmadi [] combined neural networks with a multi-objective grey wolf optimization algorithm for 4E (energy, economy, environment, and incentive) analysis and optimization of renewable energy polygeneration systems, including SOFC. These studies show that ANNs can effectively capture the nonlinear characteristics of SOFC systems and provide strong support for system design and optimization. Therefore, we think that the ANN method can guide us in predicting SOEC system performance, as SOEC is the reverse process of SOFC power generation.
SVM, as another important machine learning method, has a unique advantage in dealing with small-sample, high-dimensional problems [,]. In SOFC and related fuel cell systems, SVM has been successfully applied to modeling, fault diagnosis, etc. Huo et al. [] used a least squares support vector machine (LS-SVM) to model the nonlinearities of SOFC stacks and achieved better performance than traditional neural networks. Kang et al. [] further applied LS-SVM to the dynamic temperature modeling of SOFC, showing good prediction accuracy and generalization ability. These studies laid the foundation for SVM modeling of SOEC systems, following similar reasoning to that of ANN, as both models have been widely applied in the field of SOFC.
Despite the significant progress of machine learning methods in energy systems research, there are still important research gaps in the field of SOEC hydrogen production prediction, especially in selecting between ANN and SVM under communication delay conditions. Hai [] used machine learning methods to optimize design parameters rather than predict performance, and he obtained the optimal operating points for useful power and stored fuel flow through genetic algorithms. In addition, Hai [] also combined genetic algorithms with artificial neural network models for flame assisted fuel cells to improve energy efficiency while minimizing electricity costs. Gong et al. [] and Song et al. [] proposed hybrid modeling approaches that provide new ideas for SOFC research, but mainly focused on the application of a single algorithm and lacked a systematic comparison of different methods. Subotić et al. [] emphasized the timeliness of the ANN method in solid oxide fuel cell performance prediction, which is particularly important in SOEC fast response prediction without the need for SVM. The SOFC troubleshooting study by Moser et al. [] revealed the benefits of SVM in system reliability analysis, but this approach has not yet been fully validated in SOEC hydrogen production prediction. The study of operation temperature-dependent degradation of SOEC by Sassone et al. [] highlighted the importance of taking into account a wide range of operating conditions. If these research results are to have practical value in the management of SOEC, they also need to be combined with AI methods such as machine learning. Peksen [] extended the application of AI in the chemical process optimization for reversible solid oxide cell (RSOC), which includes two process—SOFC and SOEC. Based on the above literature, we also find that AI methods are very important for SOEC performance improvement.
Existing studies on the prediction of hydrogen production by SOEC still have some limitations. First, most of the studies focus on performance prediction under steady-state conditions, and there is a relative lack of research on the behavior of SOEC under dynamic conditions [,]. Considering the volatility challenges of combining SOEC with renewable energy, it is necessary to further explore the prediction capabilities of ANN and SVM under dynamic conditions. Second, although studies have been conducted on the long-term performance prediction of SOEC [,], in-depth analyses of the communication delay problem under different operating conditions are still insufficient.
In addition, there are relatively few comparative studies between ANN and SVM in SOEC hydrogen production prediction. Different machine learning methods may exhibit different advantages and limitations in dealing with SOEC system-specific problems. A systematic comparison of ANN and SVM performance in SOEC hydrogen production prediction will provide an important reference for choosing an appropriate modeling strategy.
In view of this, this study aims to bridge the gap between existing studies by systematically comparing the performance of ANN and SVM in SOEC hydrogen production prediction, with a special focus on their advantages and disadvantages in performance prediction under communication delay. Based on the above analysis, the main innovations of this study are reflected in the following three aspects:
(1) Systematic comparison of ANN and SVM performance in SOEC hydrogen production prediction: this study, for the first time, systematically compares the performance of ANN and SVM, two machine learning methods, in the field of SOEC hydrogen production prediction, filling a gap in existing research.
(2) Focus on performance prediction under communication delay conditions: this study specifically addresses the issue of SOEC performance prediction under communication delay conditions, an aspect rarely explored in previous SOEC research, providing a new perspective for solving challenges in practical applications.
(3) Innovative application of machine learning methods from the SOFC field to SOEC systems: based on the theoretical foundation that SOEC is the reverse process of SOFC, this study innovatively transfers machine learning methods widely applied in the SOFC field to SOEC systems, offering new research ideas for SOEC performance prediction.
These innovations not only help in selecting the most suitable machine learning method for SOEC hydrogen production prediction but also provide important guidance for improving the accuracy, reliability, and practicality of prediction models.
2. Materials and Methods
2.1. Artificial Neural Network Model
The ANN is among the most prevalent models for simulating biological neural systems, encompassing distinct layers for input, hidden processing, and output generation. The ANN architecture is constructed from a multitude of simplistic, parallel, and intricately interconnected computational elements. The neural network employed in this study, as depicted in Figure 1, operates on the backpropagation (BP) algorithm principle, engaging in a learning cycle that comprises two pivotal stages: forward propagation for information flow and backward propagation for error correction and optimization [,].

Figure 1.
5-input, 1-output neural network model.
ANNs are sophisticated machine learning models that draw inspiration from biological neural systems. During the forward propagation phase of an ANN, input data undergoes progressive processing through multiple network layers, ultimately generating output results. This process involves intricate mathematical operations and non-linear transformations.
Subsequently, the model evaluates the discrepancy between predicted outcomes and actual targets, typically employing a designated loss function. This error assessment provides crucial insights for network optimization. In the backpropagation phase, the system automatically adjusts network parameters, such as weights and biases, based on the calculated errors to enhance the model’s predictive accuracy.
ANNs demonstrate various advantages in practical applications. Firstly, they effectively handle highly non-linear problems, excelling in complex pattern recognition and prediction tasks. Secondly, ANNs exhibit robust performance when dealing with noisy input data, maintaining relatively stable performance even with compromised data quality. Furthermore, when confronted with large-scale datasets, ANNs often showcase superior learning and generalization capabilities, making them valuable tools in big data analytics.
The adaptability and learning capacity of ANNs enable them to capture intricate patterns and relationships within data that might elude traditional statistical methods. This makes them particularly useful in fields where underlying rules are complex or not fully understood. As research in neural networks continues to advance, we can expect further improvements in their efficiency, accuracy, and applicability across SOEC domains.
2.2. Support Vector Machine Models
During the final decade of the 20th century, a revolutionary computational method for pattern recognition was developed. This innovative approach, grounded in the fundamental principles of statistical learning theory, came to be known as the SVM. The advent of this powerful algorithm marked a significant milestone in the field of machine learning and data analysis. This seminal invention ushered in a fresh paradigm for machine learning, which is based on the concept of the SVM channel. Kernel servers offer a modular framework, allowing for adaptation to various tasks and domains through the selection of core functions and fundamental algorithms. They are progressively supplanting neural networks in numerous sectors, such as engineering, information retrieval, and bioinformatics. The primary objective of the algorithm is to identify the optimal hyperflatness that separates the layers.
In SVM, critical data points located at the margins of decision boundaries are termed support vectors []. The gap separating these boundaries is referred to as a hyperplane. When linear separation proves ineffective, the algorithm employs a kernel function to project data into a higher-dimensional space, where previously nonlinear relationships can be linearly separated. This process is formulated as a quadratic optimization challenge, which can be resolved using specialized mathematical techniques [,].
Figure 2 illustrates a classification scenario where SVM successfully achieves linear separation. The core objective of SVM is to maximize the distance between the support vectors and the hyperplane, thereby optimizing the model’s discriminative power and generalization capability [].

Figure 2.
Linear separation problem: (a) before separation, and (b) after separation.
For the i-dimensional training data (i = 1, 2, …, ) belonging to class I or class II, the associated labels are for class I and for class II. If these data can be linearly separated in the feature space, then the decision function can be defined as
The mapping function, denoted as , maps to the feature space. Additionally, represents an l-dimensional vector, while b is a scalar. To achieve linear separation of the data, the decision function must fulfill certain conditions.
If the problem can be linearly separated in the feature space, there will be an infinite number of decision functions that satisfy the conditions (as described in Equation (2)). In such a case, the hyperplane is required to have the maximum amplitude between the two classes. Here, the margin refers to the minimum distance from the separating hyperplane to the input data, and this value is given by . The hyperflat with the maximum separation distance is called the best separating hyperflat.
2.3. Predictability Assessment
In order to assess the effectiveness and precision of the ANN and SVM models in predicting hydrogen output, this research employs a variety of evaluation criteria. These include the Pearson correlation coefficient (R2), which measures the strength of linear relationships; the root mean square error (RMSE), which quantifies prediction deviations; the mean absolute percentage error (MAPE), which provides a relative measure of prediction accuracy; and the mean absolute error (MAE), which offers an absolute measure of prediction discrepancies. The mathematical expressions for computing these performance indicators can be found in the cited academic publications [,]:
- (1)
- Root mean square error (RMSE): Calculates the equilibrium of real and expected values. If the RMSE of the model is low, it shows excellent performance. Zero RMSE stands for perfect matching. RMSE is given by:
- (2)
- The mean absolute percentage error, commonly abbreviated as MAPE, quantifies the average of percentage deviations between predicted and actual values, disregarding their sign. This metric is particularly useful in assessing prediction accuracy. A smaller MAPE value indicates superior model performance, as it signifies a closer alignment between predictions and observed data. MAPE is given by:
- (3)
- Correlation coefficient (R2): This is a measure of the reliability of the relationship between real and expected values. The correlation coefficient is between 0 and 1. The higher the model R2, the better the model performance. R2 is given by:
- (4)
- The mean absolute error, commonly abbreviated as MAE, is a performance metric utilized in statistical analysis and machine learning. It quantifies the average disparity between predicted values and actual observations, disregarding whether predictions are overestimates or underestimates. This measure provides a straightforward assessment of prediction accuracy by focusing on the absolute size of prediction errors and is given by:
3. Predictive Modeling Dataset
3.1. Experimental Setup and Specifications
The empirical information utilized in this research was obtained from experiments conducted on a SOEC with a power rating of 60 watts. The detailed technical parameters and operational characteristics of this SOEC system are presented in Table 1, providing a comprehensive overview of the experimental apparatus. This apparatus is primarily employed for generating hydrogen through the electrolytic decomposition of water molecules. All measurements were recorded under stable operating conditions. The primary objective of this study is to develop a predictive model that can accurately estimate hydrogen production rates in the SOEC based on various operational parameters and input variables. An experimental dataset (t, V, I, N, T, η) was built with the help of the host computer and the work machine (where t is the running time [h], T is the SOEC operating temperature [K], N is the rate of water supply [NL/min], V is the voltage [V], I is the value of the current [A], and is the amount of hydrogen produced [Nm3/h]). The dataset was split into two groups: 80% and 20%, respectively. The technical features of the SOEC, a compressed four-stroke solid oxide electrolyzer, are shown in Table 1 [,,].

Table 1.
Operational modes of 60 watts SOEC.
The arrangement of the device is illustrated in Figure 3. In order to grasp the real-time data of the power supply, water, and gas circuits in the SOEC, the industrial computer, PLC, and the Labview 2016 are utilized for the collection, and the specific sensor lines are shown in Figure 3: the purple line indicates the current and voltage data, the blue line indicates the flow rate of the supplied water, the green line indicates the temperature information of the SOEC, and the red line indicates the detection of the amount of hydrogen production.

Figure 3.
SOEC experimental setup.
3.2. Model Data
Based on the SOEC experiment, the water storage tank and the power supply equipment were prepared, and the real-time measured hydrogen production delay time (communication delay) was set to ε = 0.01–0.02 h and ε = 0.03 h, and the predicted hydrogen generation was calculated from the data set of experiments , where is the voltage value (V), is the current value (A), is the water supply (L/h), is the temperature value (°C), is the hydrogen production (Nm3/h), is the delay time (h), and is the amount of hydrogen produced (Nm3/h).
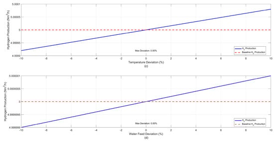
It was determined that the tests were performed at delay times ε = 0.01–0.02 h and ε = 0.03 h; these are the delay times used by SOEC. The experimental results are visually represented in Figure 4a,b. t, V, I, N, T, and η are regarded as the important values in SOEC hydrogen generation. However, Figure 4c,d show that temperature and water supply have a very small effect on hydrogen generation. Thus, the input variables are current, voltage, delay time, and real-time measured hydrogen production, while the output variable is hydrogen production at the next sampling time. To facilitate model development and evaluation, the collected data were partitioned into two segments. The majority, comprising 80% of the total dataset, was allocated for model training purposes. The global data were reserved for validating the accuracy and performance of the predictive model.


Figure 4.
Experimental results for determining the delay time for (a) ε = 0.01–0.02 and (b) ε = 0.03, and deviation of temperature (c) and water feed (d) effects on SOEC performance.
4. Results and Discussion
4.1. Results of Guidance Data
Figure 5, Figure 6, Figure 7, Figure 8 and Figure 9 illustrate the results of the correlation between the actual hydrogen generation of the SOEC and the variables’ errors.

Figure 5.
Regression plots between experimental and predicted values determined from the ANN and SVM models for 80% training data (delay time ε = 0.01–0.02 h): (a) ANN model and (b) SVM model.

Figure 6.
Regression plots between experimental and predicted values determined from the ANN and SVM models for the 80% training data (delay time ε = 0.03 h): (a) ANN model and (b) SVM model.

Figure 7.
Distribution of errors between experimental and predicted values, determined from the ANN and SVM models for the 80% training data, with a delay time ε = 0.01–0.02 h: (a) ANN model and (b) SVM model.

Figure 8.
Distribution of errors between experimental and predicted values, determined from the ANN and SVM models for the 80% training data, with a delay time ε = 0.03 h: (a) ANN model and (b) SVM model.

Figure 9.
Comparison of the experimental values for the 80% training data with the predicted values determined by the ANN and SVM models. Delay times: (a) ε = 0.01–0.02 h, (b) ε = 0.03 h.
Figure 5 and Figure 6 illustrate the discrepancy between the expected (measured) and the real (expected) values. Each graphical representation includes a diagonal line positioned at a 45-degree angle, serving as a reference guide. Within the scatter plot, this bisecting line plays a crucial role in data interpretation. When data points align closely with this line, it signifies a high degree of concordance between the predicted values and actual observations, indicating the model’s accuracy. In all models, the predicted values are close to the real ones. This shows that the predicted values and the real ones are in good agreement with each other.
To assess the performance and precision of ANN and SVM models, this research utilizes various evaluation metrics, including the correlation coefficient (R2), root mean squared error (RMSE), mean absolute percentage error (MAPE), and mean absolute error (MAE). In numerical terms, a value of R2 closer to 1 and values of RMSE, MAE, and MAPE closer to zero indicate better performance and precision of the model [].
Table 2 compares the performance between the ANN model and the SVM model. Based on the results for this dataset, at delay time ε = 0.01–0.02 h, it can be seen that for the ANN prediction model, the prediction index R2 is 995.09 × 10−3, and for the SVM prediction model, R2 is 981.64 × 10−3, both being close to 1. In terms of the RMSE metric, the RMSE predicted for the ANN model is 194.41 × 10−4 Nm3/h, while the RMSE for the SVM model is 375.79 × 10−4 Nm3/h. For the MAPE indicator, the ANN model achieves a MAPE of 206.41 × 10−3%, while that of the SVM model is 622.41 × 10−3%, which shows that SVM is less effective in hydrogen production prediction. Concerning the MAE indicator, the ANN model yields a MAE of 107.89 × 10−4 Nm3/h, while the SVM has a MAE of 31.88 × 10−3 Nm3/h. Overall, it can be seen that the ANN model has the best prediction in the ε = 0.01–0.02 h case.

Table 2.
Performance of predictive models.
For the SVM model at a delay time of ε = 0.03 h, the absolute values of RMSE, MAPE, MAE, and R2 are, respectively, 0.037811 Nm3/h, 623.65 × 10−3%, 31.93 × 10−3 Nm3/h, and 981.64 × 10−3. When using the ANN model, the obtained values of RMSE, MAPE, MAE, and R2 are 170.13 × 10−4 Nm3/h, 238.89 × 10−3%, 123.83 × 10−4 Nm3/h, and 996.25 × 10−3, respectively.
This means that the SVM and ANN models trained on the training dataset have very good predictive ability. In this case, the prediction accuracy of the SVM model is slightly higher than that of the ANN model. For this reason, we further explored both models by testing them on the validation datasets.
Figure 7 and Figure 8 depict the error distribution of the training data with ANN and SVM with different delay time. It can be observed that, according to the ANN model, the difference between the actual measured hydrogen production and the predicted hydrogen production falls within the range of approximately ±0.12 Nm3/h, with a maximum error of 0.12 Nm3/h at a delay time of ε = 0.01–0.02 h. In contrast, under the SVM model, the difference between the actual measured hydrogen production and the predicted hydrogen production is approximately within the range of ±0.06 Nm3/h at the same delay time, with a maximum error of 0.06 Nm3/h.
According to the ANN model, the error between the actual measured hydrogen production and the predicted hydrogen production is approximately within the range of ±0.1 Nm3/h when the delay time ε is 0.03 h. When the SVM acts at a delay time ε of 0.03 h, the error between the actual measured hydrogen production and the predicted hydrogen production is approximately in the range of ±0.06 Nm3/h. Figure 9a,b illustrate the comparison of the actual hydrogen generation time and the predicted hydrogen generation time based on the ANN and SVM models. The SVM model, on the other hand, has some deviation from the actual values as the whole, thus confirming the results in Table 2 and Figure 7 and Figure 8. Therefore, the ANN model has a better performance than the SVM model in predicting SOEC hydrogen production under the training model.
4.2. Model Validation and Model Predictability Assessment
The relationship between the actual SOEC hydrogen generation and the predicted hydrogen generation was re-assessed using the global data, which included 20% validation data, as illustrated in Table 3 and Figure 10, Figure 11, Figure 12 and Figure 13.

Table 3.
Predicting model performance.

Figure 10.
Error distribution graphs for the ANN and SVM models for global data delay time ε = 0.01–0.02 h: (a) ANN model and (b) SVM model.

Figure 11.
Error distribution graphs for the ANN and SVM models for global data delay time ε = 0.03 h: (a) ANN model and (b) SVM model.

Figure 12.
Plot of the experimental values against the predicted values determined by the ANN and SVM models, with a delay time ε = 0.01–0.02 h for the global data.

Figure 13.
Plot of the experimental values against the predicted values determined by the ANN and SVM model, with a delay time ε = 0.03 h for the global data.
Table 3 presents a comparative analysis of the ANN and SVM models’ effectiveness in predicting hydrogen output from the SOEC. This table juxtaposes the experimentally measured hydrogen production rates with the predictions generated by both the ANN and SVM algorithms. The results demonstrate that both models exhibit remarkable accuracy in estimating hydrogen production, with their predictions closely aligning with the actual observed values. For the ANN model, the prediction error values at delay time ε = 0.01–0.02 h are RMSE = 2.59 × 10−2 Nm3/h, MAPE = 33.34 × 10−2%, MAE = 1.70 × 10−2 Nm3/h, and R2 = 99.76 × 10−2, while at delay time ε = 0.03 h, the prediction error values are RMSE = 2.74 × 10−2 Nm3/h, MAPE = 34.43 × 10−2%, MAE = 1.73 × 10−2 Nm3/h, and R2 = 99.73 × 10−2. Using the SVM model, the prediction error values at delay time ε = 0.01–0.02 h are RMSE = 2.70 × 10−2 Nm3/h, MAPE = 44.01 × 10−2%, MAE = 2.24 × 10−2 Nm3/h, and R2 = 99.74 × 10−2, while at delay time ε = 0.03 h, the prediction errors are RMSE = 2.67 × 10−2 Nm3/h, MAPE = 43.44 × 10−2%, MAE = 2.11 × 10−2 Nm3/h, and R2 = 99.75 × 10−2. It can be seen that the ANN model is more accurate than the SVM model in hydrogen production prediction results at delay time ε = 0.01–0.02 h, but not significantly. And when the delay time ε is 0.03 h, although SVM is superior to ANN in RMSE and R2 parameters, the values of the MAPE and MAE indicators are still weaker than those of the ANN model. From this, we can consider that the ANN model is still better than the SVM model in predicting the hydrogen production of the SOEC under global data.
Meanwhile, Figure 10 and Figure 11 show the error distribution plots with different delay time. Thus, it is found that the error between the actual production of hydrogen and the predicted hydrogen generation is controlled in a range of ± 0.12 Nm3/h at the delay time ε = 0.01−0.02 h for both the temporal ANN model and the SVM model. However, at the delay time ε of 0.03 h, the prediction error of SOEC hydrogen production in both the SVM and ANN models is ± 0.06 Nm3/h. Therefore, the SVM model works better when the overall deviation distribution is required to be more balanced.
Furthermore, Figure 12 and Figure 13 show the predicted results of the ANN and SVM models, and the results of the two models are very similar to those obtained in practice. The analysis demonstrates the high predictive capabilities of both ANN and SVM approaches. Given their impressive performance, these computational methods have proven to be reliable tools for estimating hydrogen generation in SOEC. The results validate the applicability of the ANN and SVM techniques for accurately predicting SOEC hydrogen production rates under various operational conditions. When prediction is needed, the SVM model can be chosen if a uniform error distribution is required, while the ANN model can be chosen if greater accuracy with smaller errors is required.
5. Conclusions
This study applied ANN and SVM models to predict SOEC hydrogen production under communications delay. Performance measures (RMSE, MAPE, MAE, and R2) evaluated the models’ effectiveness. The ANN model generally performed better, especially for the global dataset with delay time ε = 0.01–0.02 h. At ε = 0.03 h, both models showed comparable accuracy, with SVM excelling in error distribution equalization and ANN in overall accuracy. We recommend using the ANN model for predicting SOEC hydrogen production. This enhanced predictive ability helps to improve the hydrogen production efficiency of SOEC, potentially leading to increased adoption of this clean technology. In the long term, this could contribute to reducing reliance on fossil fuel-based hydrogen production methods, which may ultimately result in reduced greenhouse gas emissions and improved air quality.
Author Contributions
Conceptualization, X.W. and X.L.; methodology, Y.X.; validation, K.C.; formal analysis, Y.H. and Y.L.; investigation, J.C.; resources, X.L.; writing—original draft preparation, K.C.; writing—review and editing, Y.L. and Q.S.; supervision, M.L.; project administration, X.L.; funding acquisition, X.W., Y.X., and X.L. All authors have read and agreed to the published version of the manuscript.
Funding
This research was funded by the National Key Research and Development Program of China (grant no. 2022YFB4002205), the National Natural Science Foundation of China (62203204, U2066202), the Jiangxi Provincial Natural Science Foundation (20232BAB202028), the Hubei Provincial Natural Science Foundation (2024AFB226), and the China Postdoctoral Science Foundation Funded Project under grant (2023M732387).
Institutional Review Board Statement
Not applicable.
Informed Consent Statement
Not applicable.
Data Availability Statement
The data presented in this study are available on request from the corresponding author. The data are not publicly available due to privacy.
Conflicts of Interest
The authors declare no conflicts of interest.
References
- Jolaoso, L.A.; Bello, I.T.; Ojelade, O.A.; Yousuf, A.; Duan, C.; Kazempoor, P. Operational and scaling-up barriers of SOEC and mitigation strategies to boost H2 production-a comprehensive review. Int. J. Hydrogen Energy 2023, 48, 33017–33041. [Google Scholar] [CrossRef]
- Kamkeng, A.D.N.; Wang, M. Long-term performance prediction of solid oxide electrolysis cell (SOEC) for CO2/H2O co-electrolysis considering structural degradation through modelling and simulation. Chem. Eng. J. 2022, 429, 132158. [Google Scholar] [CrossRef]
- Lee, D.; Kim, Y.S.; Bae, Y.; Park, J.Y.; Ahn, K.Y. Dynamic Behavior of an SOEC System With a Schedule-Based Start-Up and Operating Process. J. Energy Resour. Technol. 2024, 146, 072102. [Google Scholar] [CrossRef]
- Stempien, J.P.; Ding, O.L.; Sun, Q.; Chan, S.H. Energy and exergy analysis of Solid Oxide Electrolyser Cell (SOEC) working as a CO2 mitigation device. Int. J. Hydrogen Energy 2012, 37, 14518–14527. [Google Scholar] [CrossRef]
- Liang, Z.; Wang, J.; Wang, Y.; Ni, M.; Li, M. Transient characteristics of a solid oxide electrolysis cell under different voltage ramps: Transport phenomena behind overshoots. Energy Convers. Manag. 2023, 279, 116759. [Google Scholar] [CrossRef]
- Hou, D.; Ma, W.; Hu, L.; Huang, Y.; Yu, Y.; Wan, X.; Wu, X.; Li, X. Modeling of Nonlinear SOEC Parameter System Based on Data-Driven Method. Atmosphere 2023, 14, 1432. [Google Scholar] [CrossRef]
- Moçoteguy, P.; Brisse, A. A review and comprehensive analysis of degradation mechanisms of solid oxide electrolysis cells. Int. J. Hydrogen Energy 2013, 38, 15887–15902. [Google Scholar] [CrossRef]
- Königshofer, B.; Höber, M.; Nusev, G.; Boškoski, P.; Hochenauer, C.; Subotić, V. Accelerated degradation for solid oxide electrolysers: Analysis and prediction of performance for varying operating environments. J. Power Sources 2022, 523, 230982. [Google Scholar] [CrossRef]
- Liu, H.; Høgh, J.; Blennow, P.; Sun, X.; Zong, Y.; Chen, M. Assessing fluctuating wind to hydrogen production via long-term testing of solid oxide electrolysis stacks. Appl. Energy 2024, 361, 122938. [Google Scholar] [CrossRef]
- Wang, N.; Guo, Y.; Liu, L.; Shao, S. Numerical assessment and optimization of photovoltaic-based hydrogen-oxygen Co-production energy system: A machine learning and multi-objective strategy. Renew. Energy 2024, 227, 120483. [Google Scholar] [CrossRef]
- Cheng, G.; Luo, E.; Zhao, Y.; Yang, Y.; Chen, B.; Cai, Y.; Wang, X.; Dong, C. Analysis and prediction of green hydrogen production potential by photovoltaic-powered water electrolysis using machine learning in China. Energy 2023, 284, 129302. [Google Scholar] [CrossRef]
- Mohamed, A.; Ibrahem, H.; Yang, R.; Kim, K. Optimization of proton exchange membrane electrolyzer cell design using machine learning. Energies 2022, 15, 6657. [Google Scholar] [CrossRef]
- Li, Z.; Yu, J.; Wang, C.; Bello, I.T.; Yu, N.; Chen, X.; Zheng, K.; Han, M.; Ni, M. Multi-objective optimization of protonic ceramic electrolysis cells based on a deep neural network surrogate model. Appl. Energy 2024, 365, 123236. [Google Scholar] [CrossRef]
- Forootan, M.M.; Ahmadi, A. Machine learning-based optimization and 4E analysis of renewable-based polygeneration system by integration of GT-SRC- ORC-SOFC-PEME-MED-RO using multi-objective gray wolf optimization algorithm and neural networks. Renew. Sustain. Energy Rev. 2024, 200, 114616. [Google Scholar] [CrossRef]
- Huo, H.B.; Zhu, X.J.; Cao, G.Y. Nonlinear modeling of a SOFC stack based on a least squares support vector machine. J. Power Sources 2006, 162, 1220–1225. [Google Scholar] [CrossRef]
- Kang, Y.W.; Li, J.; Cao, G.Y.; Tu, H.Y.; Li, J.; Yang, J. Dynamic temperature modeling of an SOFC using least squares support vector machines. J. Power Sources 2008, 179, 683–692. [Google Scholar] [CrossRef]
- Hai, T.; Aziz, K.H.H.; Zhou, J.; Dhahad, H.A.; Sharma, K.; Almojil, S.F.; Almohana, A.I.; Alali, A.F.; Ismail Kh, T.; Mehrez, S.; et al. Neural network-based optimization of hydrogen fuel production energy system with proton exchange electrolyzer supported nanomaterial. Fuel 2023, 332, 125827. [Google Scholar] [CrossRef]
- Hai, T.; Almujibah, H.; Mostafa, L.; Kumar, J.; Van Thuong, T.; Farhang, B.; Mahmoud, M.H.; El-Shafai, W. Innovative clean hybrid energy system driven by flame-assisted SOFC: Multi-criteria optimization with ANN and genetic algorithm. Int. J. Hydrogen Energy 2024, 63, 193–206. [Google Scholar] [CrossRef]
- Gong, Z.; Li, L.; Ghadimi, N. SOFC stack modeling: A hybrid RBF-ANN and flexible Al-Biruni Earth radius optimization approach. Int. J. Low-Carbon Technol. 2024, 19, 1337–1350. [Google Scholar] [CrossRef]
- Song, C.; Lee, S.; Gu, B.; Chang, I.; Cho, G.Y.; Baek, J.D.; Cha, S.W. A study of anode-supported solid oxide fuel cell modeling and optimization using neural network and multi-armed bandit algorithm. Energies 2020, 13, 1621. [Google Scholar] [CrossRef]
- Subotić, V.; Eibl, M.; Hochenauer, C. Artificial intelligence for time-efficient prediction and optimization of solid oxide fuel cell performances. Energy Convers. Manag. 2021, 230, 113764. [Google Scholar] [CrossRef]
- Moser, G.; Costamagna, P.; De Giorgi, A.; Greco, A.; Magistri, L.; Pellaco, L.; Trucco, A. Joint feature and model selection for SVM fault diagnosis in solid oxide fuel cell systems. Math. Probl. Eng. 2015, 2015, 282547. [Google Scholar] [CrossRef]
- Sassone, G.; Celikbilek, O.; Hubert, M.; Develos-Bagarinao, K.; David, T.; Guetaz, L.; Martin, I.; Villanova, J.; Benayad, A.; Rorato, L.; et al. Effect of the operating temperature on the degradation of solid oxide electrolysis cells. J. Power Sources 2024, 605, 234541. [Google Scholar] [CrossRef]
- Peksen, M.M. Material and Performance Optimization for Syngas Preparation Using Artificial Intelligence (AI)-Based Machine Learning (ML). Hydrogen 2023, 4, 474–492. [Google Scholar] [CrossRef]
- Wang, R.; Chen, B.; Qiu, S.; Ma, L.; Zhu, Z.; Wang, Y.; Qiu, X. Hazardous source estimation using an artificial neural network, particle swarm optimization and a simulated annealing algorithm. Atmosphere 2018, 9, 119. [Google Scholar] [CrossRef]
- Kalogirou, S.A. Applications of artificial neural-networks for energy systems. Appl. Energy 2000, 67, 17–35. [Google Scholar] [CrossRef]
- Wang, Q.; Chen, D.; Li, M.; Li, S.; Wang, F.; Yang, Z.; Zhang, W.; Chen, S.; Yao, D. A novel method for petroleum and natural gas resource potential evaluation and prediction by support vector machines (SVM). Appl. Energy 2023, 351, 121836. [Google Scholar] [CrossRef]
- Chia, Y.Y.; Lee, L.H.; Shafiabady, N.; Isa, D. A load predictive energy management system for supercapacitor-battery hybrid energy storage system in solar application using the Support Vector Machine. Appl. Energy 2015, 137, 588–602. [Google Scholar] [CrossRef]
- Wang, H.; Hu, D. Comparison of SVM and LS-SVM for regression. In Proceedings of the 2005 International Conference on Neural Networks and Brain, Beijing, China, 13–15 October 2005; IEEE: Piscataway, NJ, USA, 2005; Volume 1, pp. 279–283. [Google Scholar]
- Wu, Y.; Wu, X.; Xu, Y.; Cheng, Y.; Li, X. A Novel Adaptive Neural Network-Based Thermoelectric Parameter Prediction Method for Enhancing Solid Oxide Fuel Cell System Efficiency. Sustainability 2023, 15, 14402. [Google Scholar] [CrossRef]
- Wu, X.; Li, Y.; Cai, S.; Xu, Y.; Hu, L.; Chi, B.; Peng, J.; Li, X. Data-driven approaches for predicting performance degradation of solid oxide fuel cells system considering prolonged operation and shutdown accumulation effect. J. Power Sources 2024, 598, 234186. [Google Scholar] [CrossRef]
- Meenal, R.; Selvakumar, A.I. Assessment of SVM, empirical and ANN based solar radiation prediction models with most influencing input parameters. Renew. Energy 2018, 121, 324–343. [Google Scholar] [CrossRef]
- Cheng, T.; Jiang, J.; Qin, H.; Li, X. Performance degradation and fault mechanisms based solid oxide fuel cell system multimode modeling and analysis. In Proceedings of the 2018 Chinese Automation Congress (CAC), Xi’an, China, 30 November–2 December 2018; IEEE: Piscataway, NJ, USA, 2018; pp. 2906–2911. [Google Scholar]
- Zhao, D.; He, Q.; Wu, X.; Xu, Y.; Jiang, J.; Li, X.; Ni, M. Modeling and optimization of high temperature proton exchange membrane electrolyzer cells. Int. J. Green Energy 2022, 19, 919–930. [Google Scholar] [CrossRef]
- Cheng, T.; Jiang, J.; Xu, M.; Li, X. Performance evaluation and optimization of a solid oxide fuel cell system combined with solid oxide electrolysis cell. In Proceedings of the 2017 Chinese Automation Congress (CAC), Jinan, China, 20–22 October 2017; IEEE: Piscataway, NJ, USA, 2017; pp. 2473–2477. [Google Scholar]
- Chicco, D.; Warrens, M.; Jurman, G. The coefficient of determination R-squared is more informative than SMAPE, MAE, MAPE, MSE and RMSE in regression analysis evaluation. PeerJ Comput. Sci. 2021, 7, e623. [Google Scholar] [CrossRef] [PubMed]
Disclaimer/Publisher’s Note: The statements, opinions and data contained in all publications are solely those of the individual author(s) and contributor(s) and not of MDPI and/or the editor(s). MDPI and/or the editor(s) disclaim responsibility for any injury to people or property resulting from any ideas, methods, instructions or products referred to in the content. |
© 2024 by the authors. Licensee MDPI, Basel, Switzerland. This article is an open access article distributed under the terms and conditions of the Creative Commons Attribution (CC BY) license (https://creativecommons.org/licenses/by/4.0/).