Concentration Gradients of Ammonia, Methane, and Carbon Dioxide at the Outlet of a Naturally Ventilated Dairy Building
Abstract
:1. Introduction
1.1. Contribution of Dairy Production in the Global Anthropogenic Emissions
1.2. Quantification of Emissions from Naturally Ventilated Dairy Buildings
1.3. Challenges in Emissions Quantification and Information Gaps
1.3.1. Determining Sampling Height for Direct Measurements
1.3.2. Enhancing Precision in Measurement through Gas Mixing Ratio Analysis
1.4. Objective and Hypotheses
2. Materials and Methods
2.1. Building Description
2.2. Animal Data and Surrounding Description
2.3. Experimental Setup
2.4. Gas Concentration () Gradients Measurement
2.5. Wind Flow Measurement
2.6. Data Processing and Overview
2.7. Statistical Analysis
3. Results
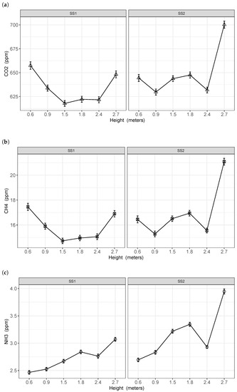
3.1. Influence of Vertical and Horizontal Gas Sampling Positions
3.1.1. Effect on
3.1.2. Effect on
3.1.3. Effect on
3.2. Influence of Wind Speed
3.2.1. Effect on
3.2.2. Effect on
3.2.3. Effect on
3.3. Effect on Gas Mixing Ratio []
4. Discussion
4.1. Impact of Sensor Positioning without Considering Wind Speed Data
4.2. Impact of Sensor Positioning Considering the Wind Speed Data
4.3. Utilizing Mixing Ratio Analysis for Calibrating Sampling Height
5. Conclusions
Author Contributions
Funding
Informed Consent Statement
Acknowledgments
Conflicts of Interest
References
- Gerber, P.J.; Steinfeld, H.; Henderson, B.; Mottet, A.; Opio, C.; Dijkman, J.; Falcucci, A.; Tempio, G. Tackling Climate Change through Livestock: A Global Assessment of Emissions and Mitigation Opportunities; Food and Agriculture Organization of the United Nations (FAO): Roma, Italy, 2013. [Google Scholar]
- Saunois, M.; Stavert, A.R.; Poulter, B.; Bousquet, P.; Canadell, J.G.; Jackson, R.B.; Raymond, P.A.; Dlugokencky, E.J.; Houweling, S.; Patra, P.K.; et al. The Global Methane Budget 2000–2017. Earth Syst. Sci. Data 2020, 12, 1561–1623. [Google Scholar] [CrossRef]
- Anderson, N.; Strader, R.; Davidson, C. Airborne reduced nitrogen: Ammonia emissions from agriculture and other sources. Environ. Int. 2003, 29, 277–286. [Google Scholar] [CrossRef] [PubMed]
- Grossi, G.; Goglio, P.; Vitali, A.; Williams, A.G. Livestock and climate change: Impact of livestock on climate and mitigation strategies. Anim. Front. 2019, 9, 69–76. [Google Scholar] [CrossRef]
- European Environment Agency; Pinterits, M.; Anys, M.; Gager, M.; Ullrich, B. European Union Emission Inventory Report 1990–2018 under the UNECE Convention on Long-Range Transboundary Air Pollution (LRTAP); Publications Office of the European Union: Luxembourg, 2020. [Google Scholar] [CrossRef]
- Shukla, P.R.; Skea, J.; Calvo Buendia, E.; Masson-Delmotte, V.; Pörtner, H.O.; Roberts, D.; Zhai, P.; Slade, R.; Connors, S.; Van Diemen, R.; et al. IPCC 2019: Climate Change and Land: An IPCC Special Report on Climate Change, Desertification, Land Degradation, Sustainable Land Management, Food Security, and Greenhouse Gas Fluxes in Terrestrial Ecosystems; IPCC: Ginevra, Switzerland, 2019. [Google Scholar]
- Amon, B.; Çinar, G.; Anderl, M.; Dragoni, F.; Kleinberger-Pierer, M.; Hörtenhuber, S. Inventory reporting of livestock emissions: The impact of the IPCC 1996 and 2006 Guidelines. Environ. Res. Lett. 2021, 16, 075001. [Google Scholar] [CrossRef]
- Agreement, P. Paris agreement. In The Report of the Conference of the Parties to the United Nations Framework Convention on Climate Change (21st Session, 2015: Paris) Retrived December; HeinOnline: Getzville, NY, USA, 2015; Volume 4, p. 2017. [Google Scholar]
- Monteny, G.J.; Bannink, A.; Chadwick, D. Greenhouse gas abatement strategies for animal husbandry. Agric. Ecosyst. Environ. 2006, 112, 163–170. [Google Scholar] [CrossRef]
- Janke, D. Estimating Ventilation Rates and Emissions from a Naturally ventilated Dairy Barn: A Three-Column Approach; Technische Universitaet Berlin: Berlin, Germany, 2021. [Google Scholar]
- König, M.; Hempel, S.; Janke, D.; Amon, B.; Amon, T. Variabilities in determining air exchange rates in naturally ventilated dairy buildings using the CO2 production model. Biosyst. Eng. 2018, 174, 249–259. [Google Scholar] [CrossRef]
- Angrecka, S.; Herbut, P. The impact of natural ventilation on ammonia emissions from free stall barns. Pol. J. Environ. Stud. 2014, 23, 2303–2307. [Google Scholar]
- Wang, X.; Ndegwa, P.M.; Joo, H.; Neerackal, G.M.; Stöckle, C.O.; Liu, H.; Harrison, J.H. Indirect method versus direct method for measuring ventilation rates in naturally ventilated dairy houses. Biosyst. Eng. 2016, 144, 13–25. [Google Scholar] [CrossRef]
- Joo, H.; Ndegwa, P.; Heber, A.; Bogan, B.; Ni, J.Q.; Cortus, E.; Ramirez-Dorronsoro, J. A direct method of measuring gaseous emissions from naturally ventilated dairy barns. Atmos. Environ. 2014, 86, 176–186. [Google Scholar] [CrossRef]
- VERA. VERA TEST PROTOCOL for Livestock Housing and Management Systems; VERA: Delft, The Netherlands, 2018. [Google Scholar]
- Pedersen, S.; Sällvik, K. CIGR 4th Report of Working Group on Climatization of Animal Houses Heat and Moisture Production at Animal and House Levels; International Commission of Agricultural Engineering: Aarhus, Denmark, 2002. [Google Scholar]
- De Vogeleer, G.; Pieters, J.G.; Van Overbeke, P.; Demeyer, P. Effect of sampling density on the reliability of airflow rate measurements in a naturally ventilated animal mock-up building. Energy Build. 2017, 152, 313–322. [Google Scholar] [CrossRef]
- Nosek, Š.; Kluková, Z.; Jakubcová, M.; Yi, Q.; Janke, D.; Demeyer, P.; Jaňour, Z. The impact of atmospheric boundary layer, opening configuration and presence of animals on the ventilation of a cattle barn. J. Wind Eng. Ind. Aerodyn. 2020, 201, 104185. [Google Scholar] [CrossRef]
- Saha, C.; Ammon, C.; Berg, W.; Fiedler, M.; Loebsin, C.; Sanftleben, P.; Brunsch, R.; Amon, T. Seasonal and diel variations of ammonia and methane emissions from a naturally ventilated dairy building and the associated factors influencing emissions. Sci. Total Environ. 2014, 468–469, 53–62. [Google Scholar] [CrossRef] [PubMed]
- Calvet, S.; Gates, R.S.; Zhang, G.; Estelles, F.; Ogink, N.W.; Pedersen, S.; Berckmans, D. Measuring gas emissions from livestock buildings: A review on uncertainty analysis and error sources. Biosyst. Eng. 2013, 116, 221–231. [Google Scholar] [CrossRef]
- Wu, W.; Zhang, G.; Kai, P. Ammonia and methane emissions from two naturally ventilated dairy cattle buildings and the influence of climatic factors on ammonia emissions. Atmos. Environ. 2012, 61, 232–243. [Google Scholar] [CrossRef]
- Van Buggenhout, S.; Van Brecht, A.; Özcan, S.E.; Vranken, E.; Van Malcot, W.; Berckmans, D. Influence of sampling positions on accuracy of tracer gas measurements in ventilated spaces. Biosyst. Eng. 2009, 104, 216–223. [Google Scholar] [CrossRef]
- Hempel, S.; König, M.; Menz, C.; Janke, D.; Amon, B.; Banhazi, T.M.; Estellés, F.; Amon, T. Uncertainty in the measurement of indoor temperature and humidity in naturally ventilated dairy buildings as influenced by measurement technique and data variability. Biosyst. Eng. 2018, 166, 58–75. [Google Scholar] [CrossRef]
- Janke, D.; Willink, D.; Ammon, C.; Hempel, S.; Schrade, S.; Demeyer, P.; Hartung, E.; Amon, B.; Ogink, N.; Amon, T. Calculation of ventilation rates and ammonia emissions: Comparison of sampling strategies for a naturally ventilated dairy barn. Biosyst. Eng. 2020, 198, 15–30. [Google Scholar] [CrossRef]
- Doumbia, E.M.; Janke, D.; Yi, Q.; Zhang, G.; Amon, T.; Kriegel, M.; Hempel, S. On finding the right sampling line height through a parametric study of gas dispersion in a nvb. Appl. Sci. 2021, 11, 4560. [Google Scholar] [CrossRef]
- Janke, D.; Yi, Q.; Thormann, L.; Hempel, S.; Amon, B.; Nosek, Š.; Van Overbeke, P.; Amon, T. Direct Measurements of the Volume Flow Rate and Emissions in a Large Naturally Ventilated Building. Sensors 2020, 20, 6223. [Google Scholar] [CrossRef]
- D’Urso, P.R.; Arcidiacono, C.; Cascone, G. Assessment of a Low-Cost Portable Device for Gas Concentration Monitoring in Livestock Housing. Agronomy 2022, 13, 5. [Google Scholar] [CrossRef]
- D’Urso, P.R.; Arcidiacono, C.; Cascone, G. Analysis of the Horizontal Distribution of Sampling Points for Gas Concentrations Monitoring in an Open-Sided Dairy Barn. Animals 2022, 12, 3258. [Google Scholar] [CrossRef] [PubMed]
- Janke, D.; Willink, D.; Ammon, C.; Doumbia, E.H.M.; Römer, A.; Amon, B.; Amon, T.; Hempel, S. Verification Analysis of Volume Flow Measured by a Direct Method and by Two Indirect CO2 Balance Methods. Appl. Sci. 2022, 12, 5203. [Google Scholar] [CrossRef]
- Mendes, L.B.; Edouard, N.; Ogink, N.W.; van Dooren, H.J.C.; Ilda de Fátima, F.T.; Mosquera, J. Spatial variability of mixing ratios of ammonia and tracer gases in a naturally ventilated dairy cow barn. Biosyst. Eng. 2015, 129, 360–369. [Google Scholar] [CrossRef]
- Zhai, Z.J.; El Mankibi, M.; Zoubir, A. Review of natural ventilation models. Energy Procedia 2015, 78, 2700–2705. [Google Scholar] [CrossRef]
- Saha, C.K.; Ammon, C.; Berg, W.; Loebsin, C.; Fiedler, M.; Brunsch, R.; von Bobrutzki, K. The effect of external wind speed and direction on sampling point concentrations, air change rate and emissions from a naturally ventilated dairy building. Biosyst. Eng. 2013, 114, 267–278. [Google Scholar] [CrossRef]
- Yi, Q.; König, M.; Janke, D.; Hempel, S.; Zhang, G.; Amon, B.; Amon, T. Wind tunnel investigations of sidewall opening effects on indoor airflows of a cross-ventilated dairy building. Energy Build. 2018, 175, 163–172. [Google Scholar] [CrossRef]
- Zhang, G.; Li, B.; Dahl, P.; Wang, C. Emission of ammonia and other contaminant gases from naturally ventilated dairy cattle buildings. Biosyst. Eng. 2005, 92, 355–364. [Google Scholar] [CrossRef]
- Mendes, L.B.; Ogink, N.W.; Edouard, N.; Van Dooren, H.J.C.; Tinôco, I.D.F.F.; Mosquera, J. NDIR gas sensor for spatial monitoring of carbon dioxide concentrations in naturally ventilated livestock buildings. Sensors 2015, 15, 11239–11257. [Google Scholar] [CrossRef]
- Hummelga, C.; Bryntse, I.; Bryzgalov, M.; Martin, H.; Norén, M.; Rödjega, H. Low-cost NDIR based sensor platform for sub-ppm gas detection. Urban Clim. 2015, 14, 342–350. [Google Scholar] [CrossRef]
- van den Bossche, M.; Rose, N.T.; De Wekker, S.F.J. Potential of a low-cost gas sensor for atmospheric methane monitoring. Sens. Actuators B Chem. 2017, 238, 501–509. [Google Scholar] [CrossRef]






| Height | ||||||
|---|---|---|---|---|---|---|
| 0.6 | 657.4 | 17.45 | 2.47 | 0 | 0 | 0 |
| 0.9 | 633.84 | 15.91 | 2.52 | −3.58 | −8.87 | 2.4 |
| 1.5 | 617.81 | 14.73 | 2.67 | −6.02 | −15.6 | 8.31 |
| 1.8 | 622.11 | 14.96 | 2.84 | −5.37 | −14.29 | 15.16 |
| 2.4 | 621.64 | 15.06 | 2.76 | −5.44 | −13.7 | 12.03 |
| 2.7 | 648.17 | 16.9 | 3.07 | −1.4 | −3.16 | 24.56 |
| Height | ||||||
|---|---|---|---|---|---|---|
| 0.6 | 644.47 | 16.45 | 2.69 | 0 | 0 | 0 |
| 0.9 | 629.68 | 15.29 | 2.83 | −2.29 | −7.07 | 5.13 |
| 1.5 | 643.75 | 16.51 | 3.22 | −0.11 | 0.34 | 19.43 |
| 1.8 | 647.52 | 16.95 | 3.34 | 0.47 | 3.04 | 24.14 |
| 2.4 | 631.85 | 15.56 | 2.93 | −1.96 | −5.39 | 8.74 |
| 2.7 | 700.27 | 21.08 | 3.95 | 8.66 | 28.17 | 46.44 |
| Height | ||||||
|---|---|---|---|---|---|---|
| 0.6 | 678.37 | 19.24 | 2.67 | 0 | 0 | 0 |
| 0.9 | 649.51 | 17.14 | 2.65 | −4.25 | −10.9 | −0.73 |
| 1.5 | 623.56 | 15.29 | 2.7 | −8.08 | −20.5 | 1.22 |
| 1.8 | 621.54 | 15.22 | 2.84 | −8.38 | −20.9 | 6.3 |
| 2.4 | 605.82 | 14.15 | 2.56 | −10.69 | −26.47 | −4.03 |
| 2.7 | 625.23 | 15.52 | 2.82 | −7.83 | −19.31 | 5.46 |
| Height | ||||||
|---|---|---|---|---|---|---|
| 0.6 | 654.54 | 17.38 | 2.88 | 0 | 0 | 0 |
| 0.9 | 631.47 | 15.83 | 2.92 | −3.52 | −8.95 | 1.19 |
| 1.5 | 620.91 | 15.08 | 3.02 | −5.14 | −13.24 | 4.63 |
| 1.8 | 615.78 | 14.79 | 3.00 | −5.92 | −14.91 | 3.91 |
| 2.4 | 601.21 | 13.73 | 2.62 | −8.15 | −21.03 | −9.01 |
| 2.7 | 637.92 | 16.40 | 3.17 | −2.54 | −5.68 | 10.09 |
| Height | ||||||
|---|---|---|---|---|---|---|
| 0.6 | 629.67 | 15.1 | 2.19 | 0 | 0 | 0 |
| 0.9 | 613.15 | 14.28 | 2.36 | −2.62 | −5.42 | 7.45 |
| 1.5 | 610.13 | 13.98 | 2.63 | −3.1 | −7.39 | 19.7 |
| 1.8 | 622.88 | 14.62 | 2.84 | −1.08 | −3.18 | 29.44 |
| 2.4 | 642.7 | 16.29 | 3.03 | 2.07 | 7.88 | 37.98 |
| 2.7 | 678.82 | 18.75 | 3.41 | 7.81 | 24.18 | 55.47 |
| Height | ||||||
|---|---|---|---|---|---|---|
| 0.6 | 630.71 | 15.17 | 2.44 | 0 | 0 | 0 |
| 0.9 | 627.28 | 14.56 | 2.72 | −0.54 | −4.03 | 11.6 |
| 1.5 | 675.36 | 18.48 | 3.5 | 7.08 | 21.76 | 43.51 |
| 1.8 | 690.23 | 19.85 | 3.81 | 9.44 | 30.85 | 56.56 |
| 2.4 | 673.54 | 18.06 | 3.35 | 6.79 | 19.02 | 37.37 |
| 2.7 | 785.20 | 27.47 | 5.00 | 24.50 | 81.04 | 105.1 |
| Height | ||||
|---|---|---|---|---|
| 0.6 | 8.11 | 0 | 6.81 | 0 |
| 0.9 | 6.84 | −15.71 | 5.98 | −12.19 |
| 1.5 | 5.85 | −27.87 | 5.51 | −19.17 |
| 1.8 | 5.48 | −32.46 | 5.39 | −20.87 |
| 2.4 | 5.9 | −27.24 | 5.55 | −18.51 |
| 2.7 | 5.61 | −30.89 | 5.66 | −16.87 |
Disclaimer/Publisher’s Note: The statements, opinions and data contained in all publications are solely those of the individual author(s) and contributor(s) and not of MDPI and/or the editor(s). MDPI and/or the editor(s) disclaim responsibility for any injury to people or property resulting from any ideas, methods, instructions or products referred to in the content. |
© 2023 by the authors. Licensee MDPI, Basel, Switzerland. This article is an open access article distributed under the terms and conditions of the Creative Commons Attribution (CC BY) license (https://creativecommons.org/licenses/by/4.0/).
Share and Cite
Sahu, H.; Hempel, S.; Amon, T.; Zentek, J.; Römer, A.; Janke, D. Concentration Gradients of Ammonia, Methane, and Carbon Dioxide at the Outlet of a Naturally Ventilated Dairy Building. Atmosphere 2023, 14, 1465. https://doi.org/10.3390/atmos14091465
Sahu H, Hempel S, Amon T, Zentek J, Römer A, Janke D. Concentration Gradients of Ammonia, Methane, and Carbon Dioxide at the Outlet of a Naturally Ventilated Dairy Building. Atmosphere. 2023; 14(9):1465. https://doi.org/10.3390/atmos14091465
Chicago/Turabian StyleSahu, Harsh, Sabrina Hempel, Thomas Amon, Jürgen Zentek, Anke Römer, and David Janke. 2023. "Concentration Gradients of Ammonia, Methane, and Carbon Dioxide at the Outlet of a Naturally Ventilated Dairy Building" Atmosphere 14, no. 9: 1465. https://doi.org/10.3390/atmos14091465
APA StyleSahu, H., Hempel, S., Amon, T., Zentek, J., Römer, A., & Janke, D. (2023). Concentration Gradients of Ammonia, Methane, and Carbon Dioxide at the Outlet of a Naturally Ventilated Dairy Building. Atmosphere, 14(9), 1465. https://doi.org/10.3390/atmos14091465

