Diurnal Evolution and Estimates of Hourly Diffuse Radiation Based on Horizontal Global Radiation, in Cerrado-Amazon Transition, Brazil
Abstract
1. Introduction
2. Materials and Methods
2.1. Characterization of the Study Region
2.2. Instrumentation and Data Analysis
2.3. Radiometric Fractions of Diffuse Radiation
2.4. Estimates of Diffuse Radiation by Parameterized Models
2.5. Statistical Performance Evaluations of Estimation Models
3. Results
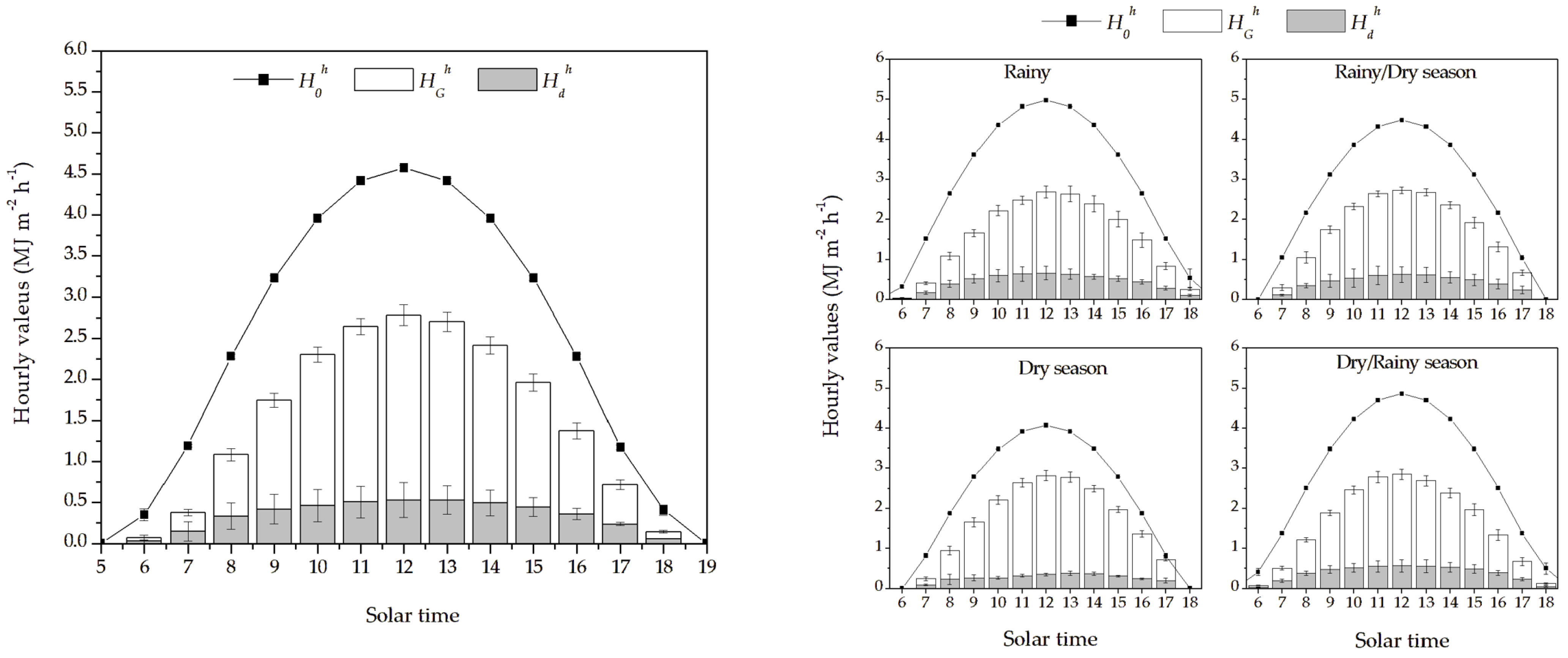
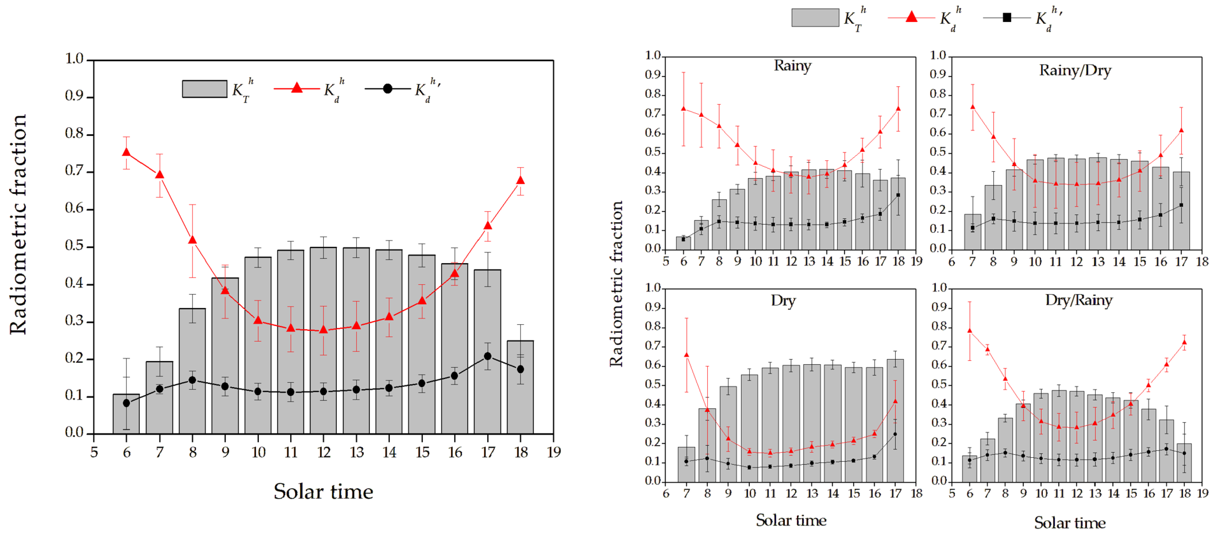
3.1. Radiations and Fractions Radiometrics
3.2. Estimates Based on the Atmospheric Transmissivity Coefficient
3.3. Estimates by Parameterized Models
4. Discussion
5. Conclusions
Author Contributions
Funding
Institutional Review Board Statement
Informed Consent Statement
Data Availability Statement
Acknowledgments
Conflicts of Interest
References
- Ebrahimi, A.; Ghorbani, B.; Ziabasharhagh, M. Exergy and economic analyses of an innovative integrated system for cogeneration of treated biogas and liquid carbon dioxide using absorption–compression refrigeration system and ORC/Kalina power cycles through geothermal energy. Process Saf. Environ. Prot. 2022, 158, 257–281. [Google Scholar] [CrossRef]
- Xiao, T.; Liu, C.; Wang, X.; Wang, S.; Xu, X.; Li, Q.; Li, X. Life cycle assessment of the solar thermal power plant integrated with air-cooled supercritical CO2 Brayton cycle. Renew. Energy 2022, 182, 119–133. [Google Scholar] [CrossRef]
- Bakirci, K. Evaluation of models for prediction of diffuse solar radiation and comparison with satellite values. J. Clean. Prod. 2022, 374, 133892. [Google Scholar] [CrossRef]
- Iqbal, M. An Introduction to Solar Radiation; Academic Press: Toronto, ON, Canada, 1983; 390p. [Google Scholar]
- Liou, K.N. An Introduction to Atmospheric Radiation, 2nd ed.; Academic Press: San Diego, CA, USA, 2002; 583p. [Google Scholar]
- Varejão Silva, M.A. Meteorology and Climatology; Digital Version: Recife, Brazil, 2006; 463p. [Google Scholar]
- Khatib, T.; Mohamed, A.; Sopian, K. A review of solar energy modeling techniques. Renew. Sustain. Energy Rev. 2012, 16, 2864–2869. [Google Scholar] [CrossRef]
- Furlan, C.; Oliveira, A.P.; Soares, J.; Codato, G.; Escobedo, J.F. The role of clouds in improving the regression model for hourly values of diffuse solar radiation. Appl. Energy 2012, 92, 240–254. [Google Scholar] [CrossRef]
- Souza, A.P.; Escobedo, J.F. Estimates of Hourly Diffuse Radiation on Tilted Surfaces in Southeast of Brazil. Int. J. Renew. Energy Res. 2013, 3, 207–221. [Google Scholar]
- Dal Pai, A.; Escobedo, J.F.; Dal Pai, E.; Santos, C.M. Estimation of hourly, daily and monthly mean diffuse radiation based on MEO shadowring correction. Energy Procedia 2014, 57, 1150–1159. [Google Scholar] [CrossRef]
- Rossi, T.J.; Rossi, L.R.; Santos, C.M.; Silva, M.B.P.; Escobedo, J.F. Dependence of sky coverage on the global, diffuse and direct solar fractions of the infrared spectrum in Botucatu/SP/Brazil. Braz. J. Sol. Energy 2016, 7, 40–49. [Google Scholar]
- Dal Pai, A.; Escobedo, J.F.; Dal Pai, E.; Oliveira, A.P.; Soares, J.R.; Codato, G. MEO shadowring method for measuring diffuse solar irradiance: Corrections based on sky cover. Renew. Energy 2016, 99, 754–763. [Google Scholar] [CrossRef]
- Marques Filho, E.P.; Oliveira, A.P.; Vita, W.A.; Mesquita, F.L.L.; Codato, G.; Escobedo, J.F.; Cassol, M.; França, J.R.A. Global, diffuse and direct solar radiation at the surface in the city of Rio de Janeiro: Observational characterization and empirical modeling. Renew. Energy 2016, 91, 64–74. [Google Scholar] [CrossRef]
- Basseto, E.L.; Escobedo, J.F.; Dal Pai, A. Estimation of the diffuse fraction of global irradiation with machine learning techniques. Braz. J. Sol. Energy 2018, 9, 127–136. [Google Scholar]
- Dal Pai, A.; Dal Pai, E.; Sarnighausen, V.C.R.; Escobedo, J.F. Evaluation of anisotropic correction models for diffuse solar irradiance measured by the MEO shadow ring method. J. Renew. Sustain. Energy 2020, 12, 063701-1–063701-11. [Google Scholar] [CrossRef]
- Pedrosa Filho, M.H.O.; Gerônimo, C.A.O. Development of models for correlation and adjustment of diffuse radiation for the rural region of Pernambuco. In Proceedings of the VII Brazilian Solar Energy Congress, Gramado, Brazil, 17–20 April 2018. [Google Scholar]
- Salazar, G.A.; Pedrosa Filho, M.H.O. Analysis of the diffuse fraction from solar radiation values measured in Argentina and Brazil sites. In Proceedings of the Solar World Congress, Santiago, Chile, 4–7 November 2019. [Google Scholar]
- Gomes, L.R.T.C.; Marques Filho, E.P.; Pepe, I.M.; Mascarenhas, B.S.; Oliveira, A.P.; França, J.R. Solar Radiation Components on a Horizontal Surface in a Tropical Coastal City of Salvador. Energies 2022, 15, 1058. [Google Scholar] [CrossRef]
- Lemos, L.F.L.; Starke, A.R.; Boland, J.; Cardemil, J.M.; Machado, R.D.; Colle, S. Assessment of solar radiation components in Brazil using the BRL model. Renew. Energy 2017, 108, 569–580. [Google Scholar] [CrossRef]
- Crotti, P.; Rampinelli, G.A. Estimation of the direct and diffuse solar components in horizontal surface for Araranguá/SC from meteorological networks. In Proceedings of the VII Brazilian Solar Energy Congress (CBENS), Gramado, Brazil, 17–20 April 2018. [Google Scholar]
- Souza, M.B.; Tonolo, É.A.; Yang, R.L.; Tiepolo, G.M.; Urbanetz Junior, J. Determination of Diffused Irradiation from Horizontal Global Irradiation—Study for the City of Curitiba. Braz. Arch. Biol. Technol. 2019, 62, e19190014. [Google Scholar] [CrossRef]
- Zamadei, T.; Souza, A.P.; Escobedo, J.F.; Almeida, F.T. Estimation of daily diffuse radiation based on atmospheric transmissivity and insolation ratio in the Cerrado-Amazon Transition. Braz. J. Climatol. 2018, 23, 134–151. [Google Scholar]
- Zamadei, T.; Souza, A.P.; Almeida, F.T.; Escobedo, J.F. Daily Global and diffuse radiation in the Brazilian Cerrado-Amazon transition region. Sci. Nat. 2021, 43, e37. [Google Scholar] [CrossRef]
- Marín, M.J.; Estellés, V.; Gómez-Amo, J.L.; Utrillas, M.P. Diffuse and Direct UV Index Experimental Values. Atmosphere 2023, 14, 1221. [Google Scholar] [CrossRef]
- Zhu, T.; Li, J.; He, L.; Wu, D.; Tong, X.; Mu, Q.; Yu, Q. The improvement and comparison of diffuse radiation models in different climatic zones of China. Atmos. Res. 2021, 254, 105505. [Google Scholar] [CrossRef]
- Mirzabe, A.H.; Hajiahmad, A.; Keyhani, A. Assessment and categorization of empirical models for estimating monthly, daily, and hourly diffuse solar radiation: A case study of Iran. Sustain. Energy Technol. Assess. 2021, 47, 101330. [Google Scholar] [CrossRef]
- Paulescu, E.; Paulescu, M. Minute-Scale Models for the Diffuse Fraction of Global Solar Radiation Balanced between Accuracy and Accessibility. Appl. Sci. 2023, 13, 6558. [Google Scholar] [CrossRef]
- Guermoui, K.; Benkaciali, S.; Gairaa, K.; Bouchouicha, K.; Boulmaiz, T.; Boland, J.W. A novel ensemble learning approach for hourly global solar radiation forecasting. Neural Comput. Appl. 2022, 34, 2983–3005. [Google Scholar] [CrossRef]
- Lu, Y.; Zhang, R.; Wang, L.; Su, X.; Zhang, M.; Li, H.; Li, S.; Zhou, J. Prediction of diffuse solar radiation by integrating radiative transfer model and machine-learning techniques. Sci. Total Environ. 2023, 859, 160269. [Google Scholar] [CrossRef] [PubMed]
- Nwokolo, S.C.; Obiwulu, A.U.; Ogbulezie, J.C.; Amadi, S.O. Hybridization of statistical machine learning and numerical models for improving beam, diffuse and global solar radiation prediction. Clean. Eng. Technol. 2022, 9, 100529. [Google Scholar] [CrossRef]
- Mustafa, J.; Husain, S.; Alqaed, S.; Khan, U.A.; Jamil, B. Performance of Two Variable Machine Learning Models to Forecast Monthly Mean Diffuse Solar Radiation across India under Various Climate Zones. Energies 2022, 15, 7851. [Google Scholar] [CrossRef]
- Olchowik, W.; Gajek, J.; Michalski, A. The Use of Evolutionary Algorithms in the Modelling of Diffuse Radiation in Terms of Simulating the Energy Efficiency of Photovoltaic Systems. Energies 2023, 16, 2744. [Google Scholar] [CrossRef]
- Bakirci, K. Prediction of diffuse radiation in solar energy applications: Turkey case study and compare with satellite data. Energy 2021, 237, 121527. [Google Scholar] [CrossRef]
- Zhao, S.; Xiang, Y.; Wu, L.; Liu, X.; Dong, J.; Zhang, F.; Li, Z.; Cui, Y. Simulation of Diffuse Solar Radiation with Tree-Based Evolutionary Hybrid Models and Satellite Data. Remote Sens. 2023, 15, 1885. [Google Scholar] [CrossRef]
- IBGE (Brazilian Institute of Geography and Statistics). Demographic Census. Available online: https://www.ibge.gov.br/estatisticas/sociais/populacao/22827-censo-demografico-2022.html?edicao=35938&t=resultados (accessed on 20 May 2023).
- Souza, A.P.; Mota, L.L.; Zamadei, T.; Martim, C.C.; Almeida, F.T.; Paulino, J. Climatic classification and climatological water balance in the State of Mato Grosso. Nativa 2013, 1, 34–43. [Google Scholar] [CrossRef]
- Borges, G.A.; Aguiar, L.J.G.; Fischer, G.R.; Aguiar, R.G.; Oliveira, E.C.; Paim, B.L. Estimation of diffuse solar radiation under all sky conditions in southwestern Amazonia. In Proceedings of the Workshop Brazilian of Micrometeorology, Santa Maria, Brazil, 8–11 November 2017. [Google Scholar]
- Melo, J.M.D. Development of a System to Simultaneously Measure Global, Diffuse and Direct Radiation. Ph.D. Thesis, Paulista State University, Botucatu, Brazil, 1994. [Google Scholar]
- Dal Pai, A. Anisotropy of Diffuse Solar Irradiance Measured by the Melo-Escobedo Shading Method: Anisotropic Correction Factors and Estimation Models. Ph.D. Thesis, Paulista State University, Botucatu, Brazil, 2005. [Google Scholar]
- Oliveira, A.P.; Machado, A.J.; Escobedo, J.F. A New Shadow-Ring Device for Measuring Diffuse Solar Radiation at the Surface. J. Atmos. Ocean. Technol. 2002, 19, 698–708. [Google Scholar] [CrossRef]
- Dal Pai, A.; Escobedo, J.F.; Correa, F.H.P. Numerical correction for the diffuse solar irradiance by the Melo-Escobedo shadowring measuring method. In Proceedings of the Ises Solar World Congress, Kassel, Germany, 28 August–2 September 2011. [Google Scholar]
- Escobedo, J.F.; Gomes, E.N.; Oliveira, A.P.; Soares, J. Modeling hourly and daily fractions of UV, PAR and NIR to global solar radiation under various sky conditions at Botucatu, Brazil. Appl. Energy 2009, 86, 299–309. [Google Scholar] [CrossRef]
- Abreu, E.F.M.; Canhoto, P.; Costa, M.J. Prediction of diffuse horizontal irradiance using a new climate zone model. Renew. Sustain. Energy Rev. 2019, 110, 28–42. [Google Scholar] [CrossRef]
- Spencer, J.W. A comparison of methods for estimating hourly diffuse solar radiation from global solar radiation. Sol. Energy 1982, 29, 19–32. [Google Scholar] [CrossRef]
- Boland, J.; Scott, L.; Luther, M. Modelling the diffuse fraction of global solar radiation on a horizontal surface. Environmetrics 2001, 12, 1003–1116. [Google Scholar] [CrossRef]
- Boland, J.; Ridley, B. Models of diffuse solar fraction. In Modelling Solar Radiation at the Earth’s Surface; Badescu, V., Ed.; Springer: Berlin/Heidelberg, Germany, 2008; pp. 193–219. [Google Scholar] [CrossRef]
- Erbs, D.G.; Klein, S.A.; Duffie, J.A. Estimation of the diffuse radiation fraction for hourly, daily and monthly-average global radiation. Sol. Energy 1982, 28, 293–302. [Google Scholar] [CrossRef]
- Jacovides, C.P.; Tymvios, F.S.; Assimakopoulos, V.D.; Kaltsounides, N.A. Comparative study of various correlations in estimating hourly diffuse fraction of global solar radiation. Renew. Energy 2006, 31, 2492–2504. [Google Scholar] [CrossRef]
- Lam, J.C.; Li, D.H.W. Correlation between global solar radiation and its direct and diffuse components. Build. Environ. 1996, 31, 527–535. [Google Scholar] [CrossRef]
- Maduekwe, A.A.L.; Chendo, M.A.C. Atmospheric turbidity and the diffuse irradiance in Lagos, Nigeria. Sol. Energy 1997, 61, 241–249. [Google Scholar] [CrossRef]
- Maduekwe, A.A.L.; Garba, B. Characteristics of the monthly average hourly diffuse irradiance at Lagos and Zaira, Nigeria. Renew. Energy 1999, 17, 213–259. [Google Scholar] [CrossRef]
- Oliveira, A.P.; Escobedo, J.F.; Machado, A.J.; Soares, J. Correlation models of diffuse solar-radiation applied to the city of Sao Paulo, Brazil. Appl. Energy 2002, 71, 59–73. [Google Scholar] [CrossRef]
- Orgill, J.F.; Hollands, K.G.T. Correlation equation for hourly diffuse radiation on a horizontal surface. Sol. Energy 1977, 19, 357–359. [Google Scholar] [CrossRef]
- Reindl, D.T.; Beckman, W.A.; Duffie, J.A. Diffuse fraction correlations. Sol. Energy 1990, 45, 1–7. [Google Scholar] [CrossRef]
- Soares, J.; Oliveira, A.P.; Boznar, M.Z.; Mlakar, P.; Escobedo, J.F.; Machado, J. Modeling hourly diffuse solar radiation in the city of São Paulo using neural network technique. Appl. Energy 2004, 79, 201–214. [Google Scholar] [CrossRef]
- Willmott, C.J. On the validation of models. Phys. Geogr. 1981, 2, 184–194. [Google Scholar] [CrossRef]
- Stone, R.J. Improved statistical procedure for the evaluation of solar radiation estimation models. Sol. Energy 1993, 51, 289–291. [Google Scholar] [CrossRef]
- Schneider, A.; Hommel, G.; Blettner, M. Linear Regression Analysis. Dtsch. Ärzteblatt Int. 2010, 107, 776–782. [Google Scholar] [CrossRef]
- Zamadei, T.; Silva, C.C.; Walther, N.V.S.; Souza, A.P. Average monthly hourly evolution of global radiation and atmospheric transmissivity coefficient for northwest Mato Grosso. In Proceedings of the Brazilian Congress of Agrometeorology, Belém, Brazil, 2–6 September 2013. [Google Scholar]
- Souza, A.P. Hourly Diffuse Solar Radiation Incident on Inclined Surfaces: Correction Factors, Diurnal Evolution and Estimation Models. Ph.D. Thesis, Paulista State University, Botucatu, Brazil, 2012. [Google Scholar]
- Perez, R.; Seals, R. A new simplified version of the Perez diffuse irradiance model for tilted surfaces. Sol. Energy 1987, 39, 221–231. [Google Scholar] [CrossRef]
- Souza, A.P.; Silva, A.C.; Tanaka, A.A.; Uliana, E.M.; Almeida, F.T.; Klar, A.E.; Gomes, A.W.A. Global radiation by simplified models for the state of Mato Grosso, Brazil. Pesqui. Agropecu. Bras. 2017, 52, 215–227. [Google Scholar] [CrossRef]
- Oliveira, E.A. Methods for Concordance Analysis: Simulation Study and Application to Evapotranspiration Data. Ph.D. Thesis, School of Agriculture “Luiz de Queiroz”, Piracicaba, Brazil, 2016. [Google Scholar]
- Duchon, C.E.; O’malley, M.S. Estimating Cloud Type from Pyranometer Observations. J. Appl. Meteorol. 1999, 38, 132–141. [Google Scholar] [CrossRef]
- Gu, L.; Fuentes, J.D.; Shugart, H.H.; Staebler, R.M.; Black, T.A. Responses of net ecosystem exchanges of carbon dioxide to changes in cloudiness: Results from two North American deciduous forests. J. Geophys. Res. Atmos. 1999, 104, 31421–31434. [Google Scholar]
- Oliveira, P.H.F.; Artaxo, P.; Pires, C.; Lucca, S.; Procópio, A.; Holben, B.; Schafer, J.; Cardoso, L.F.; Wofsy, S.C.; Rocha, H.R. The effects of biomass burning aerosols and clouds on the CO2 flux in Amazonia. Tellus 2007, 59, 338–349. [Google Scholar] [CrossRef]
- Singh, U.P. Diffuse Radiation Calculation Methods. Master’s Thesis, Arizona State University, Tempe, AZ, USA, 2016. [Google Scholar]






| Range | Sky Cover | Correction Factor |
|---|---|---|
| 0 ≤ < 0.35 | Cloudy | 0.975 |
| 0.35 ≤ < 0.55 | Partially cloudy | 1.034 |
| 0.55 ≤ < 0.65 | Partially clear | 1.083 |
| ≥ 0.65 | Clear | 1.108 |
| Equation Number | Authors (Reference) | Local | Range | Equations/Values |
|---|---|---|---|---|
| 1 | Boland et al. [45] | Geelong, Australia (−38.09°; 144.34°) | 0 ≤ ≤ 1 | |
| 2 | Boland; Ridley [46] | Adelaide (−34.92°; 138.59°) and Geelong (−38.09°; 144.34°)—Australia | 0 ≤ ≤ 1 | |
| 3 | Boland; Ridley [46] adjusted | Rio de Janeiro, Brazil (−22.86°; −43.23°) | 0 ≤ ≤ 1 | |
| 4 | Erbs et al. [47] | EUA (31.08° to 42.42°; −71.48° to −121.70°) | ≤ 0.22 | |
| 5 | 0.22 < ≤ 0.8 | |||
| 6 | > 0.8 | |||
| 7 | Furlan et al. [8] | São Paulo, Brazil (−23.56°; −46.73°) | < 0.228 | |
| 8 | ≥ 0.228 | |||
| 9 | Jacovides et al. [48] | Athalassa, Cyprus (34.61° to 35.61°; 32° to 34.5°) | ≤ 0.1 | |
| 10 | 0.1< ≤ 0.8 | |||
| 11 | > 0.8 | |||
| 12 | Lam; Li [49] | Hong Kong, China (22.3°; 114.3°) | < 0.15 | |
| 13 | 0.15 ≤ ≤ 0.7 | |||
| 14 | > 0.7 | |||
| 15 | Maduekwe; Chendo [50] | Lagos, Nigeria (6.46°; 3.40°) | 0 ≤ ≤ 0.3 | |
| 16 | 0.3 < < 0.8 | |||
| 17 | ≥ 0.8 | |||
| 18 | Maduekwe; Garba [51] | Zaria, Nigeria (11.10°; 7.68°) | ≤ 0.18 | |
| 19 | 0.18 < < 0.68 | |||
| 20 | ≥ 0.68 | |||
| 21 | Lagos, Nigeria (6.58°; 3.33°) | ≤ 0.20 | ||
| 22 | 0.20 < < 0.78 | |||
| 23 | ≥ 0.78 | |||
| 24 | Marques Filho et al. [13] | Rio de Janeiro, Brazil (−22.86°; −43.23°) | 0 ≤ ≤ 1 | |
| 25 | Oliveira et al. [52] | São Paulo, Brazil (−23.56°; −46.73°) | ≤ 0.17 | |
| 26 | 0.17< ≤ 0.75 | |||
| 27 | > 0.75 | |||
| 28 | Orgill; Hollands [53] | Toronto, Canada (43.65°; −79.38°) | < 0.35 | |
| 29 | 0.35 ≤ ≤ 0.75 | |||
| 30 | > 0.75 | |||
| 31 | Reindl et al. [54] | EUA (42.7°; −73.8 and 28.4°; −80.6°) Europa (51.9° to 59.5°; 10° to 12.6°) | < 0.3 | |
| 32 | 0.3 ≤ ≤ 0.78 | |||
| 33 | > 0.78 | |||
| 34 | Soares et al. [55] | São Paulo, Brazil (−23.56°; −46.73°) | ≤ 0.17 | |
| 35 | 0.17< ≤ 0.75 | |||
| 36 | > 0.75 | |||
| 37 | Spencer [44] | Melbourne, Australia (−37.82°; 144.97°) | < 0.35 | |
| 38 | 0.35 ≤ ≤ 0.75 | |||
| 39 | > 0.75 | |||
| 40 | Spencer [44], adjusted | Sinop, Brazil (−11.86°; −55.48°) | < 0.35 | |
| 41 | 0.35 ≤ ≤ 0.75 | |||
| 42 | > 0.75 |
| Solar Time (Hour) | Rainy | Rainy/Dry | Dry | Dry/Rainy | ||||
|---|---|---|---|---|---|---|---|---|
| Average | SD | Average | SD | Average | SD | Average | SD | |
| 5 | - | - | - | - | - | - | - | - |
| 6 | 0.0208 | 0.00 | - | - | - | - | 0.0353 | 0.01 |
| 7 | 0.1705 | 0.04 | 0.1152 | 0.02 | 0.0919 | 0.02 | 0.1973 | 0.04 |
| 8 | 0.3910 | 0.09 | 0.3490 | 0.05 | 0.2334 | 0.13 | 0.3847 | 0.06 |
| 9 | 0.5209 | 0.11 | 0.4680 | 0.16 | 0.2706 | 0.08 | 0.4762 | 0.09 |
| 10 | 0.5993 | 0.16 | 0.5370 | 0.22 | 0.2706 | 0.03 | 0.5210 | 0.11 |
| 11 | 0.6377 | 0.19 | 0.6022 | 0.23 | 0.3199 | 0.04 | 0.5520 | 0.14 |
| 12 | 0.6634 | 0.17 | 0.6262 | 0.20 | 0.3527 | 0.04 | 0.5661 | 0.15 |
| 13 | 0.6351 | 0.13 | 0.6207 | 0.19 | 0.3860 | 0.05 | 0.5614 | 0.16 |
| 14 | 0.5733 | 0.06 | 0.5573 | 0.14 | 0.3665 | 0.04 | 0.5333 | 0.12 |
| 15 | 0.5243 | 0.07 | 0.4929 | 0.14 | 0.3140 | 0.02 | 0.4956 | 0.10 |
| 16 | 0.4406 | 0.06 | 0.3925 | 0.12 | 0.2486 | 0.02 | 0.3937 | 0.06 |
| 17 | 0.2846 | 0.05 | 0.2430 | 0.09 | 0.2017 | 0.06 | 0.2352 | 0.04 |
| 18 | 0.1067 | 0.02 | - | - | - | - | 0.0516 | 0.02 |
| 19 | - | - | - | - | - | - | - | - |
| Radiation | Rainy | Rany/Dry | Dry | Dry/Rainy |
|---|---|---|---|---|
| 4.98 ± 0.01 | 4.48 ± 0.01 | 4.07 ± 0.00 | 4.86 ± 0.02 | |
| 2.02 ± 0.15 | 2.10 ± 0.08 | 2.47 ± 0.13 | 2.29 ± 0.13 | |
| 0.66 ± 0.17 | 0.63 ± 0.20 | 0.35 ± 0.04 | 0.57 ± 0.15 | |
| Radiometric Fraction | Rainy | Rany/Dry | Dry | Dry/Rainy |
| 0.41 ± 0.03 | 0.47 ± 0.02 | 0.61 ± 0.03 | 0.47 ± 0.03 | |
| 0.39 ± 0.09 | 0.34 ± 0.12 | 0.16 ± 0.02 | 0.28 ± 0.08 | |
| 0.13 ± 0.03 | 0.14 ± 0.04 | 0.09 ± 0.01 | 0.12 ± 0.03 |
| Hydrological Period | I | II | III | IV |
|---|---|---|---|---|
| (Cloudy) | (Partially Cloudy) | (Partially Clear) | (Clear) | |
| Rainy | 54.90 | 31.21 | 9.54 | 4.35 |
| Rainy/Dry | 42.56 | 31.60 | 19.63 | 6.21 |
| Dry | 22.53 | 22.97 | 31.22 | 23.28 |
| Dry/Rainy | 42.45 | 39.47 | 14.92 | 3.16 |
| Interval | Period | Equation | R2 |
|---|---|---|---|
| 0 ≤ ≤ 0.82 | Annual | 0.8001 | |
| Dry | 0.7927 | ||
| Dry/Rainy | 0.7790 | ||
| Rainy | 0.7926 | ||
| Rainy/Dry | 0.7737 | ||
| 0 ≤ < 0.55 | Annual | 0.7191 | |
| Dry | 0.7097 | ||
| Dry/Rainy | 0.7338 | ||
| Rainy | 0.7436 | ||
| Rainy/Dry | 0.6989 | ||
| ≥ 0.55 | Annual | 0.4536 | |
| Dry | 0.4302 | ||
| Dry/Rainy | 0.2495 | ||
| Rainy | 0.0817 | ||
| Rainy/Dry | 0.3154 |
| Seasonal | Annual | ||||||
|---|---|---|---|---|---|---|---|
| Interval | Period | MBE | RMSE | d | MBE | RMSE | d |
| (kJ m−2 h−1) | (kJ m−2 h−1) | (kJ m−2 h−1) | (kJ m−2 h−1) | ||||
| 0 ≤ KT ≤ 0.82 | Dry | −1.3193 | 128.8759 | 0.8146 | 34.8982 | 135.2091 | 0.8262 |
| Dry/Rainy | −8.4224 | 155.0778 | 0.8813 | −20.0378 | 158.9490 | 0.8727 | |
| Rainy | 43.3050 | 190.1991 | 0.8441 | 9.0484 | 183.1416 | 0.8418 | |
| Rainy/Dry | −12.2662 | 179.9711 | 0.8700 | −38.2923 | 184.0373 | 0.8566 | |
| Annual | −2.7689 | 164.4550 | 0.8620 | ||||
| 0 ≤ KT < 0.55 | Dry | −9.5501 | 112.7701 | 0.8995 | 21.3870 | 113.5406 | 0.9116 |
| Dry/Rainy | −7.7196 | 152.1405 | 0.8965 | −6.0579 | 152.7036 | 0.8959 | |
| Rainy | 53.6976 | 189.7712 | 0.8534 | 30.0348 | 179.8730 | 0.8592 | |
| Rainy/Dry | −19.0742 | 173.9316 | 0.8957 | −38.8433 | 178.2260 | 0.8850 | |
| Annual | 0.0482 | 160.7589 | 0.8918 | ||||
| KT ≥ 0.55 | Dry | 5.7624 | 141.0145 | 0.5982 | 50.6720 | 152.9184 | 0.6318 |
| Dry/Rainy | 1.7279 | 165.3808 | 0.5798 | −71.2616 | 177.6153 | 0.5382 | |
| Rainy | −34.0317 | 155.1230 | 0.7406 | −112.2100 | 186.3051 | 0.6665 | |
| Rainy/Dry | 14.6280 | 206.3153 | 0.5297 | −35.6082 | 203.5052 | 0.5082 | |
| Annual | −8.0671 | 171.5742 | 0.6583 | ||||
| Equation Number | Authors (Reference) | R² | MBE (kJ m−2 h−1) | RMSE (kJ m−2 h−1) | d | Pv1 | Pv2 | Pv3 | Pv4 | Pv5 |
|---|---|---|---|---|---|---|---|---|---|---|
| 1 | Boland et al. [45] | 0.66 | 411.04 | 542.52 | 0.5761 | 5 | 40 | |||
| 2 | Boland; Ridley [46] | 0.65 | 405.76 | 537.79 | 0.5804 | 4 | 38 | |||
| 3 | Boland; Ridley [46] adjusted | 0.67 | 355.46 | 479.92 | 0.6195 | 3 | 34 | |||
| 4 | Erbs et al. [47] | 0.13 | 49.66 | 92.55 | 0.9524 | 13 | 3 | |||
| 5 | 0.52 | 502.64 | 599.13 | 0.4815 | 41 | 8 | ||||
| 6 | - | −22.50 | 74.53 | 0.9351 | 6 | 1 | ||||
| 7 | Furlan et al. [8] | - | 47.80 | 92.46 | 0.9545 | 11 | ||||
| 8 | 0.55 | 323.65 | 414.50 | 0.5959 | 31 | 3 | ||||
| 9 | Jacovides et al. [48] | - | 11.09 | 19.37 | 0.9874 | 1 | ||||
| 10 | 0.68 | 371.30 | 470.10 | 0.5814 | 35 | 4 | ||||
| 11 | - | −22.50 | 74.53 | 0.9351 | 7 | 1 | ||||
| 12 | Lam; Li [49] | - | 21.22 | 38.22 | 0.9813 | 2 | ||||
| 13 | 0.66 | 388.16 | 478.45 | 0.5571 | 39 | 6 | ||||
| 14 | - | 235.05 | 300.58 | 0.6069 | 28 | 10 | ||||
| 15 | Maduekwe; Chendo [50] | 0.27 | 107.56 | 193.01 | 0.8892 | 22 | 5 | |||
| 16 | 0.43 | 673.86 | 752.01 | 0.3855 | 45 | 10 | ||||
| 17 | - | −16.69 | 53.78 | 0.7335 | 10 | 3 | ||||
| 18 | Maduekwe; Garba [51] | 0.08 | 30.53 | 55.73 | 0.9735 | 3 | 1 | |||
| 19 | 0.62 | 334.18 | 426.01 | 0.5814 | 33 | 4 | ||||
| 20 | - | 296.55 | 357.16 | 0.8663 | 26 | 8 | ||||
| 21 | 0.10 | 42.49 | 78.22 | 0.9592 | 8 | 2 | ||||
| 22 | 0.60 | 552.21 | 644.74 | 0.4500 | 43 | 9 | ||||
| 23 | - | 148.53 | 201.72 | 0.9432 | 20 | 6 | ||||
| 24 | Marques Filho et al. [13] | 0.66 | 323.39 | 444.28 | 0.6473 | 2 | 30 | |||
| 25 | Oliveira et al. [52] | - | 30.63 | 54.32 | 0.9724 | 4 | ||||
| 26 | 0.63 | 378.78 | 465.83 | 0.5704 | 37 | 5 | ||||
| 27 | - | −25.74 | 110.94 | 0.9012 | 15 | 5 | ||||
| 28 | Orgill; Hollands [53] | 0.37 | 141.32 | 258.74 | 0.8397 | 25 | 6 | 2 | ||
| 29 | 0.37 | 602.34 | 675.65 | 0.4151 | 44 | 10 | ||||
| 30 | - | −14.90 | 109.15 | 0.9075 | 9 | |||||
| 31 | Reindl et al. [54] | 0.27 | 99.99 | 181.92 | 0.8980 | 21 | 4 | |||
| 32 | 0.44 | 525.15 | 602.22 | 0.4572 | 42 | 9 | ||||
| 33 | - | −73.05 | 118.859 | 0.9255 | 18 | 4 | ||||
| 34 | Soares et al. [55] | - | 30.63 | 54.323 | 0.9724 | 5 | ||||
| 35 | 0.63 | 329.15 | 416.25 | 0.6053 | 32 | 2 | ||||
| 36 | - | −25.74 | 110.94 | 0.9012 | 16 | 4 | ||||
| 37 | Spencer [44] | - | 103.37 | 218.12 | 0.8707 | 23 | ||||
| 38 | 0.38 | 357.84 | 441.05 | 0.5447 | 36 | 7 | ||||
| 39 | - | −134.08 | 185.07 | 0.6875 | 24 | 7 | ||||
| 40 | Spencer [44] adjusted | - | 29.64 | 143.53 | 0.9255 | 17 | ||||
| 41 | 0.38 | 181.71 | 285.48 | 0.6659 | 27 | 3 | ||||
| 42 | - | −180.52 | 231.66 | 0.5804 | 29 | 9 | ||||
| 43 | Generated model 1 * | 0.79 | 6.32 | 157.93 | 0.8707 | 1 | 14 | |||
| 44 | Generated model 2 * | 0.70 | 6.52 | 151.16 | 0.9040 | 12 | 1 | |||
| 45 | Generated model 3 * | 0.05 | 7.51 | 171.60 | 0.6351 | 19 | 5 |
Disclaimer/Publisher’s Note: The statements, opinions and data contained in all publications are solely those of the individual author(s) and contributor(s) and not of MDPI and/or the editor(s). MDPI and/or the editor(s) disclaim responsibility for any injury to people or property resulting from any ideas, methods, instructions or products referred to in the content. |
© 2023 by the authors. Licensee MDPI, Basel, Switzerland. This article is an open access article distributed under the terms and conditions of the Creative Commons Attribution (CC BY) license (https://creativecommons.org/licenses/by/4.0/).
Share and Cite
de Souza, A.P.; Zamadei, T.; Borella, D.R.; Martim, C.C.; de Almeida, F.T.; Escobedo, J.F. Diurnal Evolution and Estimates of Hourly Diffuse Radiation Based on Horizontal Global Radiation, in Cerrado-Amazon Transition, Brazil. Atmosphere 2023, 14, 1289. https://doi.org/10.3390/atmos14081289
de Souza AP, Zamadei T, Borella DR, Martim CC, de Almeida FT, Escobedo JF. Diurnal Evolution and Estimates of Hourly Diffuse Radiation Based on Horizontal Global Radiation, in Cerrado-Amazon Transition, Brazil. Atmosphere. 2023; 14(8):1289. https://doi.org/10.3390/atmos14081289
Chicago/Turabian Stylede Souza, Adilson Pacheco, Tamara Zamadei, Daniela Roberta Borella, Charles Campoe Martim, Frederico Terra de Almeida, and João Francisco Escobedo. 2023. "Diurnal Evolution and Estimates of Hourly Diffuse Radiation Based on Horizontal Global Radiation, in Cerrado-Amazon Transition, Brazil" Atmosphere 14, no. 8: 1289. https://doi.org/10.3390/atmos14081289
APA Stylede Souza, A. P., Zamadei, T., Borella, D. R., Martim, C. C., de Almeida, F. T., & Escobedo, J. F. (2023). Diurnal Evolution and Estimates of Hourly Diffuse Radiation Based on Horizontal Global Radiation, in Cerrado-Amazon Transition, Brazil. Atmosphere, 14(8), 1289. https://doi.org/10.3390/atmos14081289

