Design and Evaluation of ACFC—An Automatic Cloud/Fog Collector
Abstract
1. Introduction
2. Methods
2.1. Units and Operation of the Sampler
2.2. Dimensions and Geometry of the Device
2.3. Collecting Strands Parameter Design
2.4. Performance Test
2.4.1. Airflow Measurement


2.4.2. Cloud Fog Water Collection Simulation Experiment
2.5. Field Test
3. Results and Discussions
3.1. Inlet Flow Rate
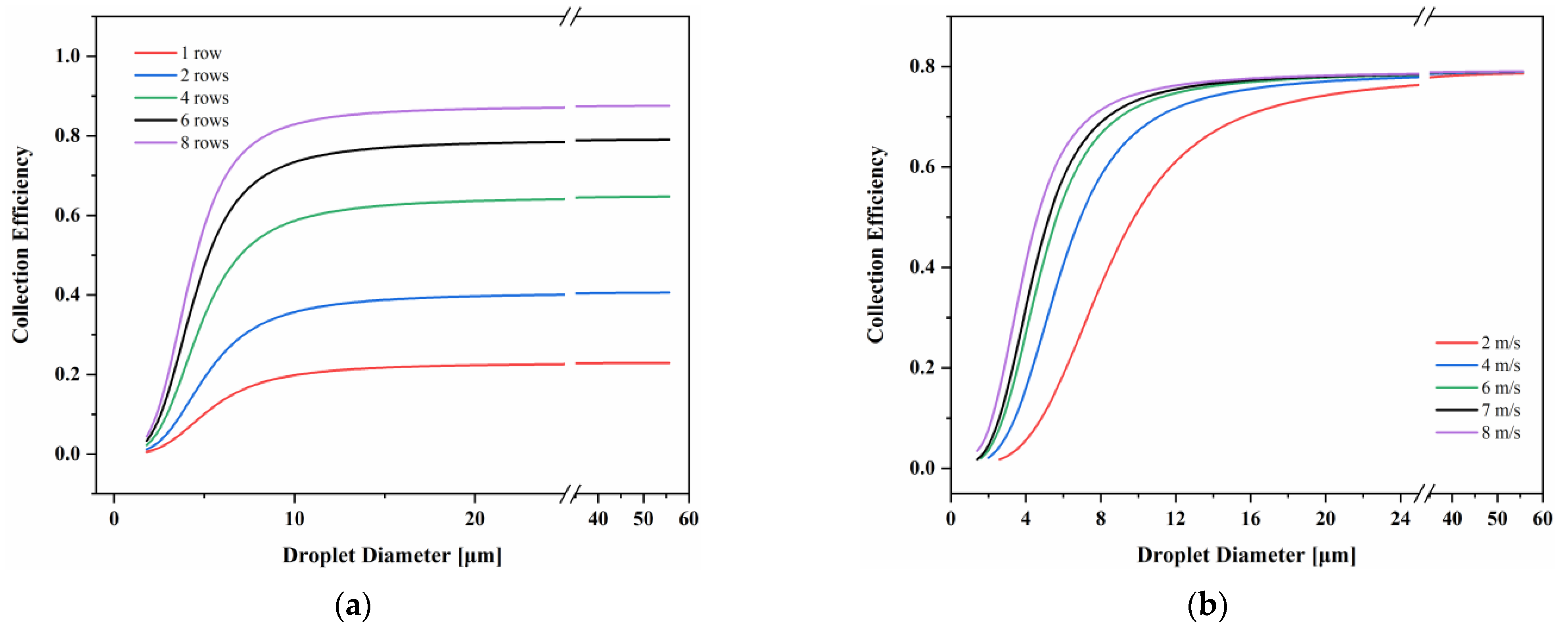
3.2. Collection Efficiency
3.3. Sampling Performance in Artificial Fog
3.4. Collection Performance in the Field
4. Conclusions
Author Contributions
Funding
Institutional Review Board Statement
Informed Consent Statement
Data Availability Statement
Acknowledgments
Conflicts of Interest
References
- Harris, E.; Sinha, B.; Van Pinxteren, D.; Tilgner, A.; Fomba, K.W.; Schneider, J.; Roth, A.; Gnauk, T.; Fahlbusch, B.; Mertes, S. Enhanced role of transition metal ion catalysis during in-cloud oxidation of SO2. Science 2013, 340, 727–730. [Google Scholar] [CrossRef]
- Ervens, B. Modeling the processing of aerosol and trace gases in clouds and fogs. Chem. Rev. 2015, 115, 4157–4198. [Google Scholar] [CrossRef] [PubMed]
- Wei, M.; Xu, C.; Chen, J.; Zhu, C.; Li, J.; Lv, G. Characteristics of bacterial community in cloud water at Mt Tai: Similarity and disparity under polluted and non-polluted cloud episodes. Atmos. Chem. Phys. 2017, 17, 5253–5270. [Google Scholar] [CrossRef]
- Zhao, H.; Meng, B.; Sun, G.; Lin, C.-J.; Feng, X.; Sommar, J. Chemistry and Isotope Fractionation of Divalent Mercury during Aqueous Reduction Mediated by Selected Oxygenated Organic Ligands. Environ. Sci. Technol. 2021, 55, 13376–13386. [Google Scholar] [CrossRef] [PubMed]
- Frumau, K.A.; Burkard, R.; Schmid, S.; Bruijnzeel, L.; Tobón, C.; Calvo-Alvarado, J.C. A comparison of the performance of three types of passive fog gauges under conditions of wind-driven fog and precipitation. Hydrol. Process. 2011, 25, 374–383. [Google Scholar] [CrossRef]
- Moore, K.F.; Sherman, D.E.; Reilly, J.E.; Collett, J.L. Drop size-dependent chemical composition in clouds and fogs. Part I. Observations. Atmos. Environ. 2004, 38, 1389–1402. [Google Scholar] [CrossRef]
- Roman, P.; Polkowska, Ż.; Namieśnik, J. Sampling procedures in studies of cloud water composition: A review. Crit. Rev. Environ. Sci. Technol. 2013, 43, 1517–1555. [Google Scholar] [CrossRef]
- Daube Jr, B.; Kimball, K.D.; Lamar, P.A.; Weathers, K.C. Two new ground-level cloud water sampler designs which reduce rain contamination. Atmos. Environ. 1987, 21, 893–900. [Google Scholar] [CrossRef]
- Krämer, M.; Schütz, L. On the collection efficiency of a rotating arm collector and its applicability to cloud-and fogwater sampling. J. Aerosol. Sci. 1994, 25, 137–148. [Google Scholar] [CrossRef]
- Lange, C.A.; Matschullat, J.; Zimmermann, F.; Sterzik, G.; Wienhaus, O. Fog frequency and chemical composition of fog water—A relevant contribution to atmospheric deposition in the eastern Erzgebirge, Germany. Atmos. Environ. 2003, 37, 3731–3739. [Google Scholar] [CrossRef]
- Schemenauer, R.S.; Cereceda, P. The quality of fog water collected for domestic and agricultural use in Chile. J. Appl. Meteorol. Clim. 1992, 31, 275–290. [Google Scholar] [CrossRef]
- Daube, B.C., Jr.; Flagan, R.C.; Hoffmann, M.R. Active Cloudwater Collector. U.S. Patent No. 4,697,462, 6 October 1987. [Google Scholar]
- Michna, P.; Schenk, J.; Werner, R.A.; Eugster, W. MiniCASCC—A battery driven fog collector for ecosystem research. Atmos. Res. 2013, 128, 24–34. [Google Scholar] [CrossRef]
- Wang, W.; Xu, W.; Collett Jr, J.L.; Liu, D.; Zheng, A.; Dore, A.J.; Liu, X. Chemical compositions of fog and precipitation at Sejila Mountain in the southeast Tibetan Plateau, China. Environ. Pollut. 2019, 253, 560–568. [Google Scholar] [CrossRef]
- Sun, L.; Wang, Y.; Yue, T.; Yang, X.; Xue, L.; Wang, W. Evaluation of the behavior of clouds in a region of severe acid rain pollution in southern China: Species, complexes, and variations. Environ. Sci. Pollut. R. 2015, 22, 14280–14290. [Google Scholar] [CrossRef]
- Lu, C.; Niu, S.; Tang, L.; Lv, J.; Zhao, L.; Zhu, B. Chemical composition of fog water in Nanjing area of China and its related fog microphysics. Atmos. Res. 2010, 97, 47–69. [Google Scholar] [CrossRef]
- Carrillo, J.H.; Emert, S.E.; Sherman, D.E.; Herckes, P.; Collett, J.L., Jr. An economical optical cloud/fog detector. Atmos. Res. 2008, 87, 259–267. [Google Scholar] [CrossRef]
- Zinke, J.; Salter, M.E.; Leck, C.; Lawler, M.J.; Porter, G.C.; Adams, M.P.; Brooks, I.M.; Murray, B.J.; Zieger, P. The development of a miniaturised balloon-borne cloud water sampler and its first deployment in the high Arctic. Tellus B Chem. Phys. Meteorol. 2021, 73, 1915614. [Google Scholar] [CrossRef]
- Allan, J.D.; Baumgardner, D.; Raga, G.B.; Mayol-Bracero, O.L.; Morales-García, F.; García-García, F.; Montero-Martínez, G.; Borrmann, S.; Schneider, J.; Mertes, S. Clouds and aerosols in Puerto Rico–a new evaluation. Atmos. Chem. Phys. 2008, 8, 1293–1309. [Google Scholar] [CrossRef]
- Zhang, Q.; Quan, J.; Tie, X.; Huang, M.; Ma, X. Impact of aerosol particles on cloud formation: Aircraft measurements in China. Atmos. Environ. 2011, 45, 665–672. [Google Scholar] [CrossRef]
- Gultepe, I.; Isaac, G. Aircraft observations of cloud droplet number concentration: Implications for climate studies. Q. J. Roy. Meteor. Soc. 2004, 130, 2377–2390. [Google Scholar] [CrossRef]
- Weiss-Penzias, P.; Fernandez, D.; Moranville, R.; Saltikov, C. A low cost system for detecting fog events and triggering an active fog water collector. Aerosol. Air Qual. Res. 2018, 18, 214–233. [Google Scholar] [CrossRef]
- Schemenauer, R.S.; Cereceda, P.; Osses, P. FogQuest: Fog Water Collection Manual; FogQuest: Sustainable Water Solutions: Toronto, ON, Canada, 2005. [Google Scholar]
- Demoz, B.; Collett, J., Jr.; Daube, B., Jr. On the Caltech active strand cloudwater collectors. Atmos. Res. 1996, 41, 47–62. [Google Scholar] [CrossRef]
- Davidson, C.; Friedlander, S. A filtration model for aerosol dry deposition: Application to trace metal deposition from the atmosphere. J. Geophys. Res.-Oceans. 1978, 83, 2343–2352. [Google Scholar] [CrossRef]
- Amato, P.; Ménager, M.; Sancelme, M.; Laj, P.; Mailhot, G.; Delort, A.-M. Microbial population in cloud water at the Puy de Dôme: Implications for the chemistry of clouds. Atmos. Environ. 2005, 39, 4143–4153. [Google Scholar] [CrossRef]
- Shi, W.; Anderson, M.J.; Tulkoff, J.B.; Kennedy, B.S.; Boreyko, J.B. Fog harvesting with harps. ACS Appl. Mater. Interfaces 2018, 10, 11979–11986. [Google Scholar] [CrossRef]
- Rangno, A.L.; Hobbs, P.V. Microstructures and precipitation development in cumulus and small cumulonimbus clouds over the warm pool of the tropical Pacific Ocean. Q. J. Roy. Meteor. Soc. 2005, 131, 639–673. [Google Scholar] [CrossRef]
- Best, A. Drop-size distribution in cloud and fog. Q. J. Roy. Meteor. Soc. 1951, 77, 418–426. [Google Scholar] [CrossRef]






Disclaimer/Publisher’s Note: The statements, opinions and data contained in all publications are solely those of the individual author(s) and contributor(s) and not of MDPI and/or the editor(s). MDPI and/or the editor(s) disclaim responsibility for any injury to people or property resulting from any ideas, methods, instructions or products referred to in the content. |
© 2023 by the authors. Licensee MDPI, Basel, Switzerland. This article is an open access article distributed under the terms and conditions of the Creative Commons Attribution (CC BY) license (https://creativecommons.org/licenses/by/4.0/).
Share and Cite
Du, P.; Nie, X.; Liu, H.; Hou, Z.; Pan, X.; Liu, H.; Liu, X.; Wang, X.; Sun, X.; Wang, Y. Design and Evaluation of ACFC—An Automatic Cloud/Fog Collector. Atmosphere 2023, 14, 563. https://doi.org/10.3390/atmos14030563
Du P, Nie X, Liu H, Hou Z, Pan X, Liu H, Liu X, Wang X, Sun X, Wang Y. Design and Evaluation of ACFC—An Automatic Cloud/Fog Collector. Atmosphere. 2023; 14(3):563. https://doi.org/10.3390/atmos14030563
Chicago/Turabian StyleDu, Ping, Xiaoling Nie, Hongtao Liu, Zhiru Hou, Xiaole Pan, Hang Liu, Xinghui Liu, Xinfeng Wang, Xiaomin Sun, and Yan Wang. 2023. "Design and Evaluation of ACFC—An Automatic Cloud/Fog Collector" Atmosphere 14, no. 3: 563. https://doi.org/10.3390/atmos14030563
APA StyleDu, P., Nie, X., Liu, H., Hou, Z., Pan, X., Liu, H., Liu, X., Wang, X., Sun, X., & Wang, Y. (2023). Design and Evaluation of ACFC—An Automatic Cloud/Fog Collector. Atmosphere, 14(3), 563. https://doi.org/10.3390/atmos14030563

