Ground Calibration and In-Flight Performance of the Low Energy Particle Analyzer on FY-4B
Abstract
1. Introduction
2. Instrument Description
3. Ground Calibration
3.1. The Energy Response and Analyzer Constant
3.2. The Field of View and Angular Resolution
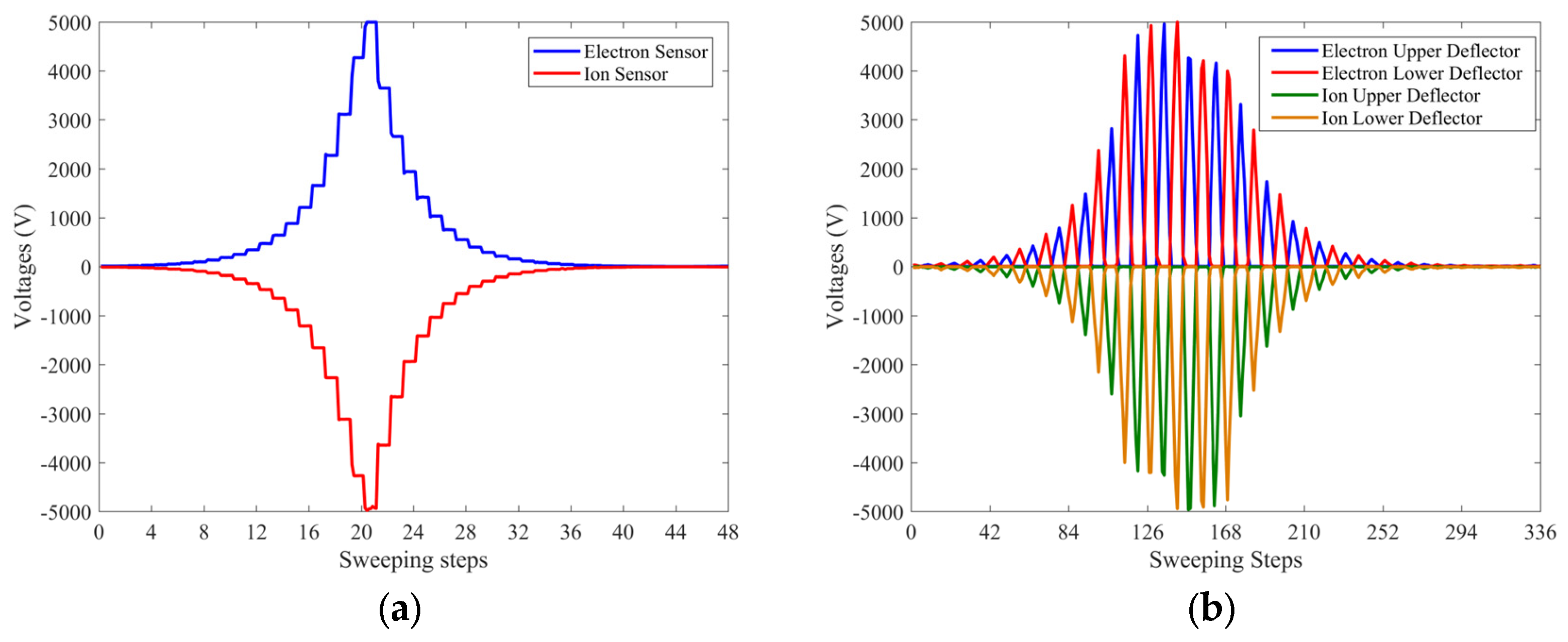
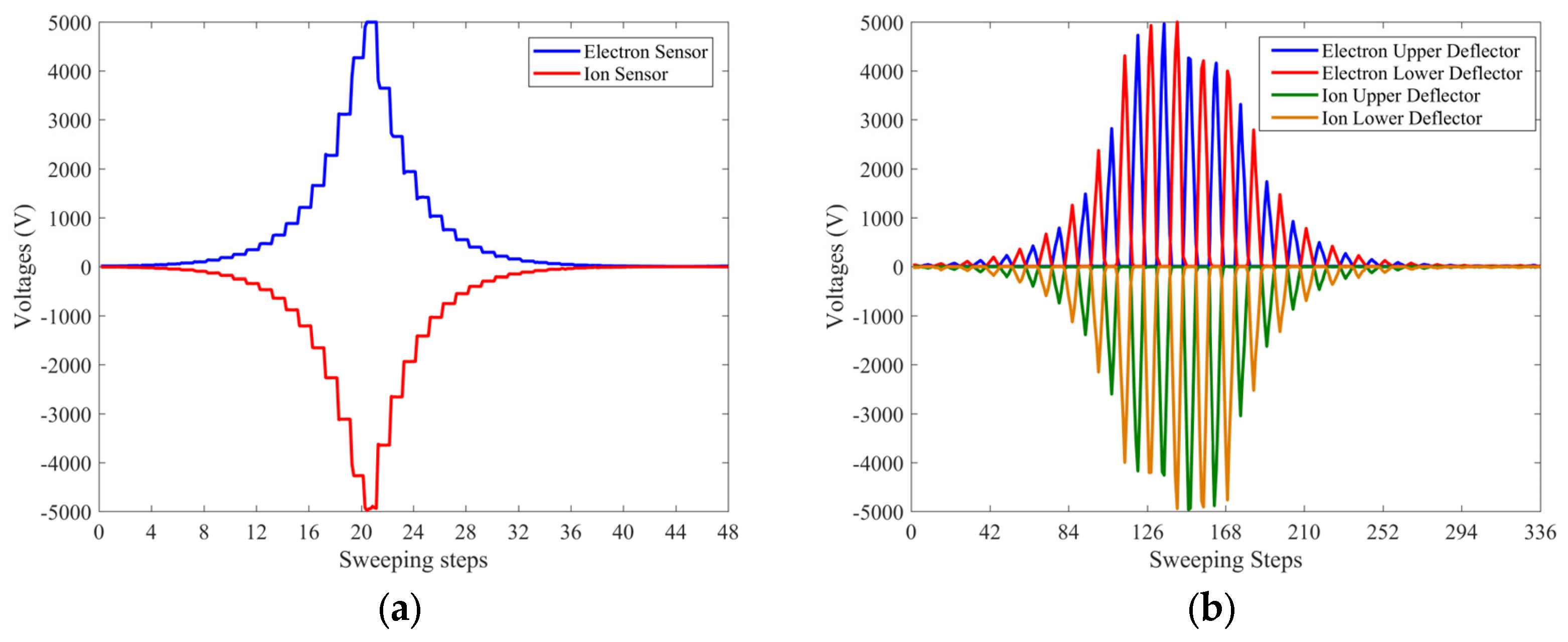
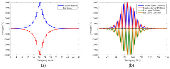
3.2.1. The Elevation Sweeping and Resolution
3.2.2. The Azimuth Sweeping and Resolution
3.3. The Geometric Factor
3.4. Summary of Calibration Results
4. In-Flight Performance and Preliminary Observational Results
4.1. Space Plasma Environment Measurements
4.2. Satellite Surface Charged Absolute Potential
5. Conclusions and Discussions
Author Contributions
Funding
Institutional Review Board Statement
Informed Consent Statement
Data Availability Statement
Acknowledgments
Conflicts of Interest
References
- André, M.; Vaivads, A.; Khotyaintsev, Y.; Laitinen, T.; Nilsson, H.; Stenberg, G.; Fazakerley, N.; Trotignon, J.G. Magnetic reconnection and cold plasma at the magnetopause. Geophys. Res. Lett. 2010, 37, L22108. [Google Scholar] [CrossRef]
- André, M.; Cully, M. Low-energy ions: A previously hidden solar system particle population. Geophys. Res. Lett. 2012, 39, L03101. [Google Scholar] [CrossRef]
- Garrett, H.B. The charging of spacecraft surfaces. Rev. Geophys. Space Phys. 1981, 19, 577–616. [Google Scholar] [CrossRef]
- Deforest, S.E. Spacecraft charging at synchronous orbit. J. Geophys. Res. 1972, 77, 651–659. [Google Scholar] [CrossRef]
- Tibble, A.C. The Space Environment: Implications for Spacecraft Design; Princeton University Press: Princeton, NJ, USA, 1995. [Google Scholar]
- Wu, J.G.; Eliasson, L.; Lundstedt, H.; Hilgers, A.; Anderson, L.; Norberg, O. Space environment effects on geostationary spacecraft: Analysis and prediction. Adv. Space Res. 2000, 26, 21–36. [Google Scholar] [CrossRef]
- Coates, A.J.; Bowles, J.A.; Gowen, R.A.; Hancock, B.K.; Johnstone, A.D.; Kellock, S.J. The AMPTE UKS three-dimensional ion experiment. IEEE Trans. Geosci. Remote Sens. 1985, 3, 287–292. [Google Scholar] [CrossRef]
- Paschmann, G.; Loidl, H.; Obermayer, P.; Ertl, M.; Laborenz, R.; Sckopke, N.; Baumjohann, W.; Carlson, C.W.; Curtis, D.W. The plasma instrument for AMPTE IRM. IEEE Trans. Geosci. Remote Sens. 1985, 3, 262–266. [Google Scholar] [CrossRef]
- Rème, H.; Bosqued, J.M.; Sauvaud, J.A.; Cros, A.; Dandouras, J.; Aoustin, C.; Bouyssou, J.; Camus, T.; Cuvilo, J.; Martz, C.; et al. The Cluster Ion Spectrometry (CIS) Experiment. Space Sci. Rev. 1997, 79, 303–350. [Google Scholar] [CrossRef]
- Dichter, B.K.; Galica, G.E.; McGarity, J.O.; Tsui, S.; Golightly, M.J.; Lopate, C.; Connell, J.J. Specification, design, and calibration of the Space Weather Suite of Instruments on the NOAA GOES-R program spacecraft. IEEE Trans. Nucl. Sci. 2015, 62, 2776–2783. [Google Scholar] [CrossRef]
- Pollock, C.; Moore, T.; Jacques, A.; Burch, J.; Gliese, U.; Saito, Y.; Omoto, T.; Avanov, L.; Barrie, A.; Coffey, V.; et al. Fast Plasma Investigation for Magnetospheric Multiscale. Space Sci. Rev. 2016, 199, 331–406. [Google Scholar] [CrossRef]
- Sauvaud, J.A.; Fedorov, A.; Aoustin, C.; Seran, H.C.; Comte, E.L.; Petiot, M. The Mercury Electron Analyzers for the Bepi Colombo mission. Adv. Space Res. 2010, 46, 1139–1148. [Google Scholar] [CrossRef]
- Kong, L.G.; Wang, S.J.; Wang, X.Y.; Zhang, A.B.; Zhu, G.W.; Yu, D.J.; Ren, Q.Y.; Reme, H.; Aoustin, C.; Zhang, X.G.; et al. In-flight performance and preliminary observational results of Solar Wind Ion Detectors(SWIDs) on Chang’E-1. Planet. Space Sci. 2012, 62, 23–30. [Google Scholar] [CrossRef]
- Kasper, J.C.; Abiad, R.; Austin, G.; Balat-Pithelin, M.; Bale, S.D.; Belcher, J.W.; Berg, P.; Bergner, H.; Berthomier, M.; Bookbinder, J.; et al. Solar Wind Electrons Alphas and Protons (SWEAP) Investigation: Design of the Solar Wind and Coronal Plasma Instrument Suite for Solar Probe Plus. Space Sci. Rev. 2016, 204, 131–186. [Google Scholar] [CrossRef]
- McComas, D.J.; Alexander, N.; Allegrini, F.; Bagenal, F.; Beebe, C.; Clark, G.; Crary, F.; Desai, M.I.; De Los Santos, A.; Demkee, D.; et al. The Jovian Auroral Distributions Experiment (JADE) on the Juno Mission to Jupiter. Space Sci. Rev. 2017, 213, 547–643. [Google Scholar] [CrossRef]
- Vampola, A.L. Analysis of Environmentally Induced Spacecraft Anomalies. J. Spacecr. Rockets 1994, 31, 154. [Google Scholar] [CrossRef]
- Lai, S.T.; Tautz, M. High-level spacecraft charging in eclipse at geosynchronous altitudes: A statistical study. J. Geophys. Res. 2006, 111, A09201. [Google Scholar] [CrossRef]
- Wurz, P.; Balogh, A.; Coffey, V.; Dichter, B.K.; Kasprzak, W.T.; Lazarus, A.J.; Lennartsson, W.; McFadden, J.P. Calibration techniques. In Calibration of Particle Instruments in Space Physics; Wüest, M., Evans, D.S., von Steiger, R., Eds.; ESA Communications: Noordwijk, The Netherlands, 2007; pp. 117–276. [Google Scholar]
- Fernandes, P.A.; Larsen, B.A.; Thomsen, M.F.; Skoug, R.M.; Reeves, G.D.; Denton, M.H.; Friedel, R.H.W.; Funsten, H.O.; Goldstein, J.; Henderson, M.G.; et al. The plasma environment inside geostationary orbit: A Van Allen Probes HOPE survey. J. Geophys. Res. Space Phys. 2017, 122, 9207–9227. [Google Scholar] [CrossRef]
- Olsen, R.C.; McIlwain, C.E.; Whipple, E.C., Jr. Observations of differential charging effects on ATS 6. J. Geophys. Res. 1981, 86, 6809–6819. [Google Scholar] [CrossRef]
- Olsen, R.C. A threshold effect for spacecraft charging. J. Geophys. Res. 1983, 88, 493–499. [Google Scholar] [CrossRef]
- Olsen, R.C. Record charging events from Applied Technology Satellite 6. J. Spacecr. Rocket. 1987, 24, 362–366. [Google Scholar] [CrossRef][Green Version]
- Ganushkina, N.Y.; Swiger, B.; Dubyagin, S.; Matéo-Vélez, J.-C.; Liemohn, M.W.; Sicard, A.; Payan, D. Worst-case severe environments for surface charging observed at LANL satellites as dependent on solar wind and geomagnetic conditions. Space Weather 2021, 19, e2021SW002732. [Google Scholar] [CrossRef]















| Items | Range or Value |
|---|---|
| Energy range of beam sources | 30 eV~30 keV |
| Energy divergence | ≤2.0% |
| Azimuth angle range of the turntable | ±180° |
| Elevation angle range of the turntable | ±90° |
| Precision for positioning of the turntable | Translation: ≤0.1 mm Rotation: ≤0.1° |
| Electron Azimuth Channel | Electron Analyzer Constant |
|---|---|
| Anode 1 (160~180°) | 6.77 |
| Anode 2 (140~160°) | 6.74 |
| Anode 3 (120~140°) | 6.67 |
| Anode 4 (100~120°) | 6.60 |
| Anode 5 (80~100°) | 6.78 |
| Anode 6 (60~80°) | 6.55 |
| Anode 7 (40~60°) | 6.59 |
| Anode 8 (20~40°) | 6.55 |
| Anode 9 (0~20°) | 6.55 |
| Ion Azimuth Channel | Ion Analyzer Constant |
|---|---|
| Anode 1 (160~180°) | 6.33 |
| Anode 2 (140~160°) | 6.06 |
| Anode 3 (120~140°) | 6.27 |
| Anode 4 (100~120°) | 6.22 |
| Anode 5 (80~100°) | 6.39 |
| Anode 6 (60~80°) | 6.28 |
| Anode 7 (40~60°) | 6.62 |
| Anode 8 (20~40°) | 6.54 |
| Anode 9 (0~20°) | 6.89 |
| Parameters | Electron Sensor | Ion Sensor |
|---|---|---|
| Energy range a | 20.3 eV~33.9 keV | 19.2 eV~31.9 keV |
| Energy steps | 48 | 48 |
| Energy resolution | 0.19 | 0.20 |
| Analyzer constant | 6.78 | 6.39 |
| Elevation angle FOV | 100° | 100° |
| Azimuth angle FOV | 180° | 180° |
| Elevation angle resolution | 16.7° | 16.7° |
| Azimuth angle resolution | 20° | 20° |
| Measuring directions | 9 × 7 | 9 × 7 |
| Geometric factor b | 1.1 × 10−3 cm2·sr·eV/eV | 1.4 × 10−3 cm2·sr·eV/eV |
| Time resolution | 1 s | 1 s |
| Period | Maximum Charged Potential |
|---|---|
| 9 September 202115:25~16:10 | −2000 V |
| 22 September 2021 15:10~15:25 | −600 V |
| 10 October 2021 15:20~15:50 | −2000 V |
| 10 October 2021 22:00~23:00 | −200 V |
| 31 October 2021 20:30~23:30 | −500 V |
Disclaimer/Publisher’s Note: The statements, opinions and data contained in all publications are solely those of the individual author(s) and contributor(s) and not of MDPI and/or the editor(s). MDPI and/or the editor(s) disclaim responsibility for any injury to people or property resulting from any ideas, methods, instructions or products referred to in the content. |
© 2023 by the authors. Licensee MDPI, Basel, Switzerland. This article is an open access article distributed under the terms and conditions of the Creative Commons Attribution (CC BY) license (https://creativecommons.org/licenses/by/4.0/).
Share and Cite
Su, B.; Chen, A.; Liu, M.; Kong, L.; Zhang, A.; Tian, Z.; Liu, B.; Wang, X.; Wang, W.; Zhang, X.; et al. Ground Calibration and In-Flight Performance of the Low Energy Particle Analyzer on FY-4B. Atmosphere 2023, 14, 1834. https://doi.org/10.3390/atmos14121834
Su B, Chen A, Liu M, Kong L, Zhang A, Tian Z, Liu B, Wang X, Wang W, Zhang X, et al. Ground Calibration and In-Flight Performance of the Low Energy Particle Analyzer on FY-4B. Atmosphere. 2023; 14(12):1834. https://doi.org/10.3390/atmos14121834
Chicago/Turabian StyleSu, Bin, Anqin Chen, Mohan Liu, Linggao Kong, Aibing Zhang, Zheng Tian, Bin Liu, Xinyue Wang, Wenjing Wang, Xiaoxin Zhang, and et al. 2023. "Ground Calibration and In-Flight Performance of the Low Energy Particle Analyzer on FY-4B" Atmosphere 14, no. 12: 1834. https://doi.org/10.3390/atmos14121834
APA StyleSu, B., Chen, A., Liu, M., Kong, L., Zhang, A., Tian, Z., Liu, B., Wang, X., Wang, W., Zhang, X., Zong, W., Zheng, X., & Wang, J. (2023). Ground Calibration and In-Flight Performance of the Low Energy Particle Analyzer on FY-4B. Atmosphere, 14(12), 1834. https://doi.org/10.3390/atmos14121834

