Next Article in Journal
Significant Increases in Wet Nighttime and Daytime–Nighttime Compound Heat Waves in China from 1961 to 2020
Next Article in Special Issue
Traits of Adaptive Outdoor Thermal Comfort in a Tropical Urban Microclimate
Previous Article in Journal
The Lateral Boundary Perturbations Growth and Their Dependence on the Forcing Types of Severe Convection in Convection-Allowing Ensemble Forecasts
 
 
Font Type:
Arial Georgia Verdana
Font Size:
Aa Aa Aa
Line Spacing:
Column Width:
Background:
Article

Experimental Verification of Mist Cooling Effect in Front of Air-Conditioning Condenser Unit, Open Space, and Bus Stop

Urban Environmental Engineering Laboratory, Kobe University, Kobe 657-8501, Japan
*
Author to whom correspondence should be addressed.
Atmosphere 2023, 14(1), 177; https://doi.org/10.3390/atmos14010177
Submission received: 19 December 2022 / Revised: 9 January 2023 / Accepted: 9 January 2023 / Published: 13 January 2023

Abstract

Mist spraying is a technique for locally lowering air temperature by spraying fine mist into the air and using the latent heat of evaporation immediately after spraying. This study focuses on the conditions under which mist spraying contributes to the increase in sensible heat release from the human body, using the ratio of air temperature decrease and humidity increase in the space where mist is sprayed. From the measurement results in front of the air-conditioning condenser unit, humidity increased by about 10 g/kg(DA), while air temperature decreased by about 10 °C. From the measurement results in an open space in a park, air temperature decreased by about 0.5 to 1 °C within 2 m of the mist spray and humidity increased by about 0.5 to 1 g/kg(DA) at the height of the mist spray, regardless of the distance from the mist spray. From the measurement results at semi-open bus stops, air temperature decreased slightly to 1 °C and humidity increased slightly to 1 g/kg(DA) under low-wind conditions. Unfortunately, the measured results of air temperature decrease in relation to humidity increase, which the human body perceives as cooler, were not available.

1. Introduction

Mist spraying is a technique for locally lowering air temperature by spraying fine mist into the air and using the latent heat of evaporation immediately after spraying. There are two main methods of spraying: spraying water under pressure (one fluid) and releasing water along with pressurized air (two fluids). The particle size of the sprayed mist varies depending on the manufacturers, but it is as fine as 10 to 30 μm and can vaporize in a short time to relieve the heat without making people in the vicinity feel wet. Since the sight of fine mist being sprayed is cool, there are examples of its introduction in private and public facilities. Some cases have been combined with blower fans. For example, in Japan, mist sprayers have been installed in shopping streets, as well as in front of train stations, event venues, shopping centers, amusement facilities, parking areas, city halls, and semi-outdoor spaces at building entrances.
The decrease in air temperature and increase in humidity due to spraying mist is an iso-enthalpy change. The effect of spraying mist on air temperature decrease depends on the amount of evaporation. The change in iso-enthalpy due to spraying mist is evaluated as having no effect on the thermal sensation index, such as SET* (standard new effective temperature) or WBGT (wet bulb globe temperature), which consider the decrease in air temperature and increase in humidity. For example, SET*, which is defined as air temperature when it is equal to the thermal sensation of a hypothetical environment with 50% relative humidity, is evaluated by changing air temperature, which has been lowered by spraying mist, to a higher level in order to reduce the increased humidity to the equivalent of 50%. WBGT is calculated using the black-bulb, wet-bulb, and dry-bulb temperature, but the wet-bulb temperature, which has a weight of 70%, does not change due to mist spraying, so it only reflects the effect of the dry-bulb temperature, which has a weight of 10%.
However, many researchers reported that the thermal sensation declaration was improved by mist spraying. Kodama et al. [1] conducted evaluations by subjects under mist-sprayed conditions and reported that the relationships between air temperature and thermal sensation and SET* and thermal sensation were almost the same. In other words, the effect of lowering air temperature led to a cooler evaluation. Kanada et al. [2] reported that the SET* decreased by 2.9 °C in the vicinity of the nozzle, based on the measurement results in the space where the mist was sprayed. They also reported that the ground surface temperature decreased by 7.3 °C on average during the spraying time, suggesting that excess water fell to the ground surface and the MRT may have decreased due to the effect of the lowered ground surface temperature caused by evaporation. From the viewpoint that it is an effective countermeasure method when sensible heat dominates the factor of getting hot, Ishii et al. [3] sprayed mist on the platform of a station and obtained positive reports from the users. Kono et al. [4] reported that, based on the results of subject declarations, spraying mist at air temperatures of 25 °C or lower resulted in declarations of discomfort. When air temperature is higher than that, the effect of lowering air temperature seems to be recognized more preferentially than the effect of increasing humidity.
Ulpiani [5] organized the cooling effect of air temperature by mist spraying based on a literature review. Ulpiani et al. [6] clarified the decrease in temperature and UTCI by measurement and examined the optimum operating conditions for mist spray. Farnham et al. [7] surveyed subjects’ reports of thermal sensation, general comfort, and feeling of wetness, as well as skin temperature and heat flow on the skin surface before and after the mist was studied. It was found that the cooling effect of the mist and fan combination is highly efficient and easily exceeds the thermal load of pedestrians, yielding nearly instant decreases in skin temperature. Oh et al. [8] evaluated an outdoor mist-spraying environment and its effect on thermal sensations, thermal environment, and skin temperature. Desert et al. [9] measured the spatial distribution of temperature and humidity around the mist spray and analyzed the relationship with human sensation and skin temperature. These studies suggest that the effect of improving the thermal environment differs not only depending on the characteristics of the mist sprayer but also on the relationship with humans.
In practice, several misting devices were installed at the 2005 World Exposition, Aichi, Japan at several locations, such as around buildings, plazas, and waiting areas. They were also installed at the Expo 2010 Shanghai China, and Huang et al. [10] analyzed their air temperature reduction effect. Spray cooling systems are also widely used in outdoor thermal environments [11,12,13,14,15]. As Ulpiani [5] organized, misting systems have been introduced in urban areas since that time. In Japan, it is positioned as one of the countermeasure technologies against heat, as well as sunshade, water sprinkling on pavement surface, water basin, and other technologies, in the guideline for countermeasures against heat [16]. Takebayashi [17] has organized evaluation procedures for the effects of these countermeasure technologies. Furthermore, as a countermeasure against the extreme heat in the downtown area, Kobe City introduced watering on the roadway; sunshade on the sidewalks, water surface, and pedestrian passages; mist spraying in parks; and roadside trees on sidewalks in the city center. Takebayashi et al. [18] evaluated the effect of pedestrian thermal environment improvement by MRT and SET* reduction and discussed the challenges for more effective practice.
This study focuses on the conditions under which mist spraying contributes to the increase in sensible heat release from the human body, using the ratio of air temperature decrease and humidity increase in the space where mist is sprayed. In Japan, low-wind conditions are given priority for mist system installations, and it is recommended that they are operated at air temperatures above a certain level. Therefore, the following situations are selected to contribute to sensible heat reduction by mist systems: in front of air conditioning condenser units, in open spaces where the ground is heated by solar radiation, and at bus stops where air flow is obstructed by sunshade and sidewall.

2. Overview of the Cooling Effect of Mist Spraying

According to the subject declarations conducted in several previous studies, despite the adiabatic iso-enthalpy change caused by mist spraying, the relative comfort under the conditions of lower air temperature and higher relative humidity, was superior to that under the conditions without spray. As skin temperature measurements have been conducted in recent studies, the effect of mist spraying on improving the thermal environment requires clarification of the effect of wetting the human body to enhance evaporation.
Oh et al. [8] proposed a new concept of index by using two-node model and validating it with skin temperature data in an outdoor mist spray environment. The index is calculated using the heat storage rate on the body during a specific time period, respectively. Heat storage rate mainly reflects the balance between the increase in sensible heat loss and the decrease in latent heat loss from the human body due to mist spraying. In other words, people feel cooler when mist is sprayed because the increase in sensible heat release from the human body exceeds the decrease in latent heat release during a specific time period.
From the above, it can be considered that the effect of mist cooling on the feeling of coolness is due to both the increase in latent heat transfer caused as the surplus of sprayed mist adheres to the human body and ground surface, as well as the gap between the increase in sensible heat release and the decrease in latent heat release from the human body due to the instantaneous decrease in air temperature and increase in humidity caused by the vaporization of mist in the air. In order to identify excess surface evaporation, a decrease in skin or surface temperature is required. They can be evaluated by a surface heat balance model once the amount of mist adhering to the human body or the ground surface is specified. In order to identify changes in the sensible and latent heat balance of the human body, an increase in air temperature and a decrease in humidity are required.
The amounts of sensible heat release Qs [W/m2] and latent heat release Ql [W/m2] from the human body are given by the following equations:
Q s = h c t s k t a
Q l = w l h c x s x a
where hc is convective heat transfer coefficient [W/(m2K)], tsk is skin temperature (K), ta is air temperature (K), w is wetted area ratio of skin (-), l is Lewis’ coefficient [K/(g/kg(DA))], xs is saturation absolute humidity at skin surface [g/kg(DA)], xa is absolute humidity of air [g/kg(DA)]. Resistance due to clothing is assumed to be reflected in the convective heat transfer coefficient hc. The increase in water vapor due to mist spraying may also affect the exchange of radiation; however, this is not considered in this study, since the shape factors of radiative exchange between the human body and the surroundings affected by the water vapor is limited. Generally, mist spraying does not achieve water adhesion to the human body, so it is not assumed that the skin has been wetted.
The increase in sensible heat release dQs [W/m2] due to an instantaneous decrease in air temperature dt [K] and the decrease in latent heat release dQl [W/m2] due to an instantaneous increase in humidity dx [g/kg(DA)] are expressed as follows, assuming that the change in skin temperature did not occur instantaneously:
d Q s = h c d t
d Q l = w l h c d x
If dQs > dQl, that is, dt/dx > wl, then people will feel cooler. Therefore, the cooling effect of the mist can be evaluated by comparing the ratio of dt and dx to the enthalpy conservation condition dt/dx = L/Cp ~ 2.5 [K/(g/kg(DA))]. L is latent heat of water (=2.5 [kJ/g]), and Cp is specific heat of air (=1.0 [J/(gK)]).

3. Outline of Measurements

We carried out measurements at three locations, in front of air-conditioning condenser unit, in an open space in a park, and at a semi-open bus stop. At all locations, the distribution of air temperature and relative humidity around the spray points were measured by the thermistor thermometers and capacitance hygrometers (RS-14, Espec), for the purpose of identifying the area of influence of mist spray. For the measurement results in front of air-conditioning condenser unit, the effect of water droplets under higher air temperature conditions was analyzed. For the measurement results of an open space in a park, the effect of spraying in an open space with solar radiation and airflow was analyzed. For the measurement results at a semi-open bus stop, the effect of spraying in a space with shielded solar radiation and wind was analyzed. Based on a comparison of these results, the effective use of mist spraying is discussed using the thermal sensation index of the human body.

3.1. Water Droplets in Front of Air-Conditioning Condenser Unit

The condenser unit of a heat pump heating and cooling system for a typical small office room was placed on the ground on the east side of the building. In existing small buildings in urban areas, similar installation situations were relatively confirmed due to the limitations of installation locations and refrigerant pipe conditions. The unpressurized water droplet supply devices were installed subsequently in front of the outlet of the condenser unit. The purpose of the water droplets is to mitigate the negative impact on pedestrians passing in front of the condenser unit. As only tap water pressure was used, it was not particularly difficult for it to become water vapor, and the size of the droplets was not controlled because it was intended for use in front of the condenser unit. The condenser unit was shaded by tall trees on the east side in the morning and by the building on the west side in the afternoon. Therefore, the air temperature and relative humidity conditions around the condenser unit were dominated by the mixture of warm air emitted from the condenser unit and the surrounding air.
Figure 1 shows the measurement points of thermo-hygrometers around the condenser unit. Pedestrians were supposed to walk at 1500 m, 2300 m, and 3150 m from the condenser unit. The positions of the measuring points were set according to local conditions, but other similar situations could be expected. In terms of meteorological conditions, wind velocity, wind direction, air temperature, and relative humidity were measured on the upwind side of the condenser unit location. Figure 2 shows location of water spray and state of measurement around the condenser unit. Tap water was supplied to the water droplets by a branch from the tap water pipe. It branches into three outlets. The diameter of the air conditioning condenser outlet is 460 mm. The water droplet outlets were set for three conditions: at the top of the condenser outlet (0 mm), in the center (−230 mm), and in the middle of them (−115 mm). The water droplet volume was measured directly by placing a plastic bottle at the water droplet outlet for a certain period of time. The total water volume was 1.81 mL/s, but there was a slight variation of 0.50, 0.83, and 0.48 mL/s at the three outlets. The amount of water that reached the ground surface measured by installing a water container in front of the condenser unit was 0.15 mL/s. A part of the water droplets reached the ground surface without evaporating. The system operated continuously during the day when the air-conditioning units were in operation. Detailed measurements were carried out on representative days, during which the instrument was permitted to get wet. Shields were not provided to prevent the sensors from getting wet, so that the diffusion conditions of the water droplets were not affected.

3.2. Mist Spraying in an Open Space in a Park

Mist sprayers were installed in an open space in a park. It was expected that people would take a rest and children would play around the mist sprayers. The local government that manages the park would like to obtain installation and operation methodologies that enable the thermal mitigation effects by mist spray to operate effectively. The objective open space was not shaded by trees or buildings. Therefore, the distribution of air temperature and relative humidity in front of the mist spray was measured under the condition that solar radiation was absorbed by the block-paving ground surface and sensible heat is transferred to the air. However, the airflow was weakened by the surrounding trees in the park.
Figure 3 shows the measurement frame with thermo-hygrometers and thermocouples and overview of sequential measurement by moving the measurement frame. Figure 4 shows mist spray and measurement frame in an open space. The mist spray was oriented horizontally. The mist spray design specifications were 0.44 mL/s, 5–10 μm. They were catalogue values for the nozzle, which was based on a two-fluid system. These may vary depending on the actual nozzles due to local water pressure adjustments, etc. Thirteen thermo-hygrometers and twelve thermocouples were set on a metal frame. A simple sunshade was placed over hygrometer and thermocouple. The frame was moved every 500 mm from 900 mm to 6400 mm from the spray outlet. After confirming in advance that stable measurement values were obtained, the frame was kept at each location for five minutes, and the mean value of the last one minute’s measurement results was used for the analysis. In terms of meteorological conditions, wind velocity, wind direction, air temperature, and relative humidity were measured on the upwind side of the measurement site. The spray volume was measured directly by placing a plastic bottle at the spray outlet for a certain period of time. The spray volume from one nozzle was 0.42 mL/s. Seven nozzles were installed at intervals of 2.5 m. The influence of one object nozzle was mainly measured by this measuring system. An acrylic plate was moved around the spray outlet to check the adhesion of water droplets. Due to the small particle size (5 to 10 µm), no water droplets were observed at 300 mm around the spray outlet. All of the water droplets evaporated and did not reach the ground surface. The mist spray in the park had a small particle size to avoid water droplets adhering to pedestrians, so the air temperature and relative humidity were measured after the mist had completely evaporated in the measurement range of this study.

3.3. Mist Spraying at a Semi-Open Bus Stop

The chosen bus stop was located on the west sidewalk of the main street in the north–south direction in front of the terminal station. Because the sidewalk was wide (15 m) and the bus stop was located close to the roadway, it received solar radiation for a long time. However, ventilation was relatively better because the street was wide (50 m). The top of the bus stop had a roof of 2 m × 10 m in size with a height of 3 m, mainly to protect it from rain, but it also served to shield it from solar radiation. The shade by the bus stop roof moved depending on the time of day, so it was not always shaded inside the bus stop. The sides of the bus stop were partially enclosed by acrylic panels, which slightly blocked the air flow. Therefore, people waiting for the bus felt hot during the summer days. There are many similar bus stops in the city.
Figure 5 shows the location of objective and reference bus stops and measurement points of thermo-hygrometers. The top of the figure is north. The distance between the objective bus stop and the reference bus stop was almost 40 m. Figure 6 shows the mist sprays at a semi-open bus stop. Mist sprays were placed at 500 mm intervals facing downward. The mist spray design specification was 0.65 mL/s, 25 μm. The incident solar radiation and ventilation conditions at both bus stops were almost the same. It was assumed that a person who sits on a small bench to wait for a bus was exposed to air temperature and relative humidity at a height of 650 mm, while a person who stands to wait for a bus was exposed to air temperature and relative humidity at a height of 1100 mm.

4. Results

The installation of water supply devices and the operation of water release at the three locations were carried out by Kobe City as demonstration projects. Each water supply technology is not widely used in the society, but they are available in the market as products. The objective of Kobe City is to verify the effectiveness of these technologies and to acquire operational experience. The measurement results for the effectiveness verification are shown below.

4.1. Water Droplets in Front of Air-Conditioning Condenser Unit

Figure 7 and Figure 8 show the measurement results of air temperature and humidity in front of air-conditioning condenser units from 10:17 to 12:03 on 25 August 2021. During this period, measurements were carried out by varying the water supply position. The location of water supply had little effect on air temperature and humidity. It is considered that the water droplets are diffused by the wind speed from the condenser unit outlet. The inlet temperature on the back side of the condenser unit is slightly higher than the reference temperature on the upwind side of the condenser unit location. It is assumed that the effects of short circuits caused by the condenser unit blowing out and the stagnation of air around the condenser unit. Water droplets lower the air temperature in front of the upper outlet to near the inlet temperature and the reference temperature. However, air temperature at the front of the lower outlet did not decrease, and it only decreased a little further away. The water droplets evaporated at the front of the upper outlet and at slightly distant points of the lower outlet due to the wind blowing from the condenser unit. Humidity increased by about 10 g/kg(DA) at the front of the upper outlet, while the increase at the front of the lower outlet was about half as much. The humidity sensor in front of the upper air outlet may have been wet and may contain measurement errors. However, the values illustrated in these figures were obtained stably during this measurement period and thus represent a generally stable pattern. Figures S1 and S2 show the measurement results of air temperature and humidity in front of air-conditioning condenser units from 14:27 to 15:22 on 25 August 2021.
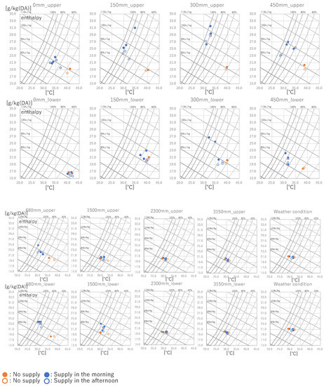
Figure 9 and Figure 10 shows air temperature and humidity changes by water droplets evaporation and iso-enthalpy and iso-SET* lines. The standard new effective temperature (SET*) was calculated assuming a typical summer shade condition; mean radiation temperature (MRT) is 30 °C, wind velocity is 1.0 m/s, clothing volume is 0.6 clo, and metabolic rate is 2 met, assuming one is walking. The background contours in Figure 10 were created based on SET* values calculated for gradually varying air temperature and humidity. Water droplets released into the air evaporate by taking away the latent heat from the air. As a result, the temperature of the air decreases, corresponding to the lost latent heat. Then, the lowered temperature is converted into a lowered sensible heat of the air and it corresponds to an increase in water vapor in the air (humidity). Therefore, there is an iso-enthalpy change from ‘No supply’ to ‘Supply’ in Figure 9. A decrease in the air temperature of 10 °C corresponds to an increase in humidity of 4 g/kg(DA). At this time, from Equations (3) and (4), dQs = dQl, which means that people should not feel hot or cool. The SET*, which is expressed in terms of air temperature that results in the same experience as that of 50% relative humidity, also changes along the iso-SET* line, as shown in Figure 10. It also varies along the iso-hyperthermal line, so the wet bulb globe temperature (WBGT), which is strongly affected by it, does not change either.

4.2. Mist Spraying in an Open Space in a Park

Figure 11 shows measurement results of air temperature and humidity in front of mist spraying in an open space in a park between 10:30–11:30, 13:00–14:00, and 15:10–16:22 on 27 August 2021. Figures S3–S8 show vertical section of measured air temperature and humidity in a park at 10:30, 13:00, and 15:10 on 27 August 2021. The horizontal distribution perpendicular to the spray axis was not confirmed significantly, so the values averaged for each height are shown. In each measurement period, the frame with the thermo-hygrometer and thermocouples was moved, so the data measured at fixed points were used for time correctness. The measurement data were corrected to the start time of each measurement period. Therefore, Figure 11 only shows the spatial distribution of air temperature and humidity with distance from the mist spray. Depending on the meteorological conditions of the day, the air temperature was low in the morning and continuously increased in the afternoon and evening. Conversely, humidity was high in the morning and continuously decreased in the afternoon and evening. At all times, the humidity at the height of the mist spray, 1 m high, was the highest, followed by 0.5 m high, and the humidity at the upper part was slightly lower. The relationship between distance from the mist spray and humidity is not clearly confirmed. In the morning and afternoon, air temperature decrease is observed within 2 m of the mist spray but not in the evening. In the morning and afternoon, heating from the ground surface receiving solar radiation was observed, especially at a distance of more than 5 m from the mist spray. In the evening, the entire area was heated and hot. The effects of mist spraying on an open space receiving solar radiation are limited to within 2 m of the mist spray, under the influence of heating from the ground surface. Air temperature decrease of about 0.5 to 1 °C due to mist spray on an open space is limited to within 2 m of the mist spray, due to the effect of heating from the ground surface receiving solar radiation. In contrast, an increase in humidity of about 0.5 to 1 g/kg(DA) at the height of the mist spray is not spatially limited. In this case, the ratio of the decrease in air temperature to the increase in humidity is dt/dx = (0.5~1.0) < 2.5 [K/(g/kg(DA))], so people should not feel cool.

4.3. Mist Spraying at a Semi-Open Bus Stop

Figure 12 shows measurement results of air temperature, humidity, and wind velocity at semi-open bus stops on 21 September 2021. Figures S9–S12 show vertical section of measured air temperature and humidity at bus stops on 21 September 2021. This is a comparison of the results of hourly measurements taken at ‘Supply’ and ‘No supply’ bus stops. The meteorological observatory is located about 1.7 km east of the objective site. The wind velocity was measured at a height of 1 m at the objective site. The wind direction was south along the street direction throughout the day. By 13:00, both ‘Supply’ and ‘No supply’ air temperatures were higher than the meteorological observatory, and ‘Supply’ air temperature was slightly lower than ‘No supply’ air temperature. Air temperature in the semi-open bus stop tends to increase during the hours of sunlight, when ventilation is suppressed. After 15:00, the wind velocity increased and air temperature at the semi-open bus stop was almost the same as the meteorological observatory. The humidity at the bus stop was lower than the meteorological observatory all day, and ‘Supply’ humidity was slightly higher than ‘No supply’ humidity.
Figure 13 shows air temperature and humidity changes by mist spraying and iso-SET* lines at semi-open bus stops at 11:00, 12:00, and 13:00 on 21 September 2021. The SET* was calculated assuming a typical summer shade condition; MRT is 30 °C, wind velocity is 1.0 m/s, clothing volume is 0.6 clo, and metabolic rate is 2 met. Air temperature decreased slightly to 1 °C. The humidity increased slightly to 1 g/kg(DA). In this case, the ratio of the decrease in air temperature to the increase in humidity is dt/dx = (0.2~1.0) < 2.5 [K/(g/kg(DA))], so people should not feel cool. However, since the change is roughly along the iso-SET* line, it will not feel hot.

5. Discussion

If the decrease in air temperature is 10 °C and the increase in humidity is 4 g/kg(DA) due to spraying mist, then dQs = dQl from Equations (3) and (4), and people should not feel hot or cool. Decrease in air temperature and increase in humidity due to mist spraying is shown in Table 1. From the measurement results in front of the air-conditioning condenser unit, the humidity increase was slightly greater than 4 g/kg(DA) in response to an air temperature decrease of 10 °C. In this case, the ratio of the decrease in air temperature to the increase in humidity is dt/dx = (1.0~2.5) < 2.5 [K/(g/kg(DA))]. However, the changes in air temperature and humidity roughly follow the iso-SET* line, and people should not feel hot or cold. From the measurement results in an open space in a park, air temperature decrease of about 0.5 to 1 °C is limited to within 2 m of the mist spray due to the effect of heating from the ground surface receiving solar radiation. In contrast, the increase in humidity of about 0.5 to 1 g/kg(DA) at the height of the mist spray is not spatially limited. In this case, the ratio of the decrease in air temperature to the increase in humidity is dt/dx = (0.5~1.0) < 2.5 [K/(g/kg(DA))], so people should not feel cool. From the measurement results at semi-open bus stops, air temperature decreased slightly to 1 °C and the humidity increased slightly to 1 g/kg(DA) under low-wind conditions. In this case, the ratio of the decrease in air temperature to the increase in humidity is dt/dx = (0.2~1.0) < 2.5 [K/(g/kg(DA))], so people should not feel cool. The changes in air temperature and humidity roughly follow the iso-SET* line, and people should not feel hot or cold. Unfortunately, it is not easy to find conditions under which the increase in sensible heat release from the human body is superior to the decrease in latent heat release from the human body.

6. Conclusions

This study focuses on the conditions under which mist spraying contributes to the increase in sensible heat release from the human body, using the ratio of air temperature decrease and humidity increase in the space where mist is sprayed. In Japan, low-wind conditions are given priority for mist system installations, and it is recommended that they are operated at air temperatures above a certain level. Therefore, the following situations are selected to contribute to sensible heat reduction by mist systems: in front of air conditioning condenser units, in open spaces where the ground is heated by solar radiation, and at bus stops where air flow is obstructed by sunshade and sidewall.
  • From the measurement results in front of air-conditioning condenser units, humidity increased by about 10 g/kg(DA) at the front of the upper outlet, while the increase at the front of the lower outlet was about half as much. Correspondingly, air temperature decreased by about 10 °C at the front of the upper outlet.
  • From the measurement results in an open space in a park, air temperature decreased by about 0.5 to 1 °C within 2 m of the mist spray and humidity increased by about 0.5 to 1 g/kg(DA) at the height of the mist spray regardless of the distance from the mist spray.
  • From the measurement results at semi-open bus stops, air temperature decreased slightly to 1 °C and humidity increased slightly to 1 g/kg(DA) under low-wind conditions.
The ratio of the decrease in air temperature to the increase in humidity dt/dx = 1.0~2.5, 0.5~1.0, and 0.2~1.0 for the tests in front of air-conditioning condenser unit, in an open space in a park, and at semi-open bus stops, respectively. It is difficult to feel the coolness in the open space heated by the ground surface receiving solar radiation, but the negative effects of high-temperature exhaust heat from the condenser unit are mitigated in front of the condenser unit. Additionally, the thermal conditions at the hot semi-open bus stop exposed to solar radiation are slightly mitigated under low-wind conditions. Unfortunately, it is not easy to find conditions under which the increase in sensible heat released from the human body is superior to the decrease in latent heat released from the human body.

Supplementary Materials

The following supporting information can be downloaded at: https://www.mdpi.com/article/10.3390/atmos14010177/s1, Figure S1: Measurement results of air temperature in front of air-conditioning condenser units from 14:27 to 15:22 on 25 August 2021; Figure S2: Measurement results of humidity in front of air-conditioning condenser units from 14:27 to 15:22 on 25 August 2021; Figure S3: Vertical section of measured air temperature in a park at 10:30; Figure S4: Vertical section of measured air temperature in a park at 13:00; Figure S5: Vertical section of measured air temperature in a park at 15:10; Figure S6: Vertical section of measured humidity in a park at 10:30; Figure S7: Vertical section of measured humidity in a park at 13:00; Figure S8: Vertical section of measured humidity in a park at 15:10; Figure S9: Vertical section of measured air temperature at bus stop; Figure S10: Vertical section of measured air temperature at bus stop (continued); Figure S11: Vertical section of measured humidity at bus stop; Figure S12: Vertical section of measured humidity at bus stop (continued).

Author Contributions

Conceptualization, S.K. and H.T.; methodology, S.K.; software, S.K.; validation, S.K. and H.T.; formal analysis, S.K.; investigation, S.K.; resources, S.K.; data curation, S.K.; writing—original draft preparation, S.K.; writing—review and editing, H.T.; visualization, S.K.; supervision, H.T.; project administration, H.T.; funding acquisition, H.T. All authors have read and agreed to the published version of the manuscript.

Funding

This study was funded by Kobe City as “Research project on measures against extreme temperatures in outdoor public spaces in Kobe city” and “Research project on measures against extreme temperatures in public buildings in Kobe city”.

Institutional Review Board Statement

Not applicable.

Informed Consent Statement

Not applicable.

Data Availability Statement

Not applicable.

Acknowledgments

Field measurements were conducted with the cooperation of Kobe City.

Conflicts of Interest

The authors declare no conflict of interest. The funders had no role in the design of the study; in the collection, analyses, or interpretation of data; in the writing of the manuscript; or in the decision to publish the results.

References

  1. Kodama, N.; Hayashi, A.; Tsujimoto, M.; Okumiya, M.; Harada, M.; Kato, H.; Okuyama, H.; Shindo, Y. Development of heat island suppression system by spraying dry mist: (Part 2) Examination of thermal comfort by identical twins. Annu. Meet. Jpn. Soc. Archit. 2004, D-1, 807–808. [Google Scholar]
  2. Kaneda, M.; Narumi, D.; Shimoda, Y.; Mizuno, M. A Feasibility Experiment on the Improvement Effects of Thermal Environment of Mist Spray in a Urban Canyon Space. Techinical Pap. Annu. Meet. Soc. Heat. Air-Cond. Sanit. Eng. Jpn. 2007, 3, 2049–2052. [Google Scholar]
  3. Ishii, T.; Tsujimoto, M.; Yamanishi, A. Dry mist spray experiment on station building platform. Annu. Meet. Jpn. Soc. Archit. 2008, D-2, 555–556. [Google Scholar]
  4. Kono, T.; Narita, K.; Misaka, I. Experimental study on comfort evaluation of fine water mist spray environment considering solar shading. Annu. Meet. Jpn. Soc. Archit. 2013, D-2, 499–500. [Google Scholar]
  5. Ulpiani, G. Water mist spray for outdoor cooling: A systematic review of technologies, methods and impacts. Appl. Energy 2019, 254, 113647. [Google Scholar] [CrossRef]
  6. Ulpiani, G.; Giuseppe, E.; Perna, C.; D’Orazio, M.; Zinzi, M. Thermal comfort improvement in urban spaces with water spray systems: Field measurements and survey. Build. Environ. 2019, 156, 46–61. [Google Scholar] [CrossRef]
  7. Farnham, C.; Emura, K.; Mizuno, T. Evaluation of cooling effects: Outdoor water mist fan. Build. Res. Inf. 2015, 43, 334–345. [Google Scholar] [CrossRef]
  8. Oh, W.; Ooka, R.; Nakano, J.; Kikumoto, H.; Ogawa, O. Evaluation of mist-spraying environment on thermal sensations, thermal environment, and skin temperature under different operation modes. Build. Environ. 2020, 168, 106484. [Google Scholar] [CrossRef]
  9. Desert, A.; Naboni, E.; Garcia, D. The spatial comfort and thermal delight of outdoor misting installations in hot and humid extreme environments. Build. Environ. 2020, 224, 110202. [Google Scholar] [CrossRef]
  10. Huang, C.; Ye, D.; Zhao, H.; Liang, T.; Lin, Z.; Yin, H.; Yang, Y. The research and application of spray cooling technology in Shanghai Expo. Appl. Therm. Eng. 2011, 31, 3726–3735. [Google Scholar] [CrossRef]
  11. Zhou, N.; Chen, F.; Cao, Y.; Chen, M.; Wang, Y. Experimental investigation on the performance of a water spray cooling system. Appl. Therm. Eng. 2017, 112, 1117–1128. [Google Scholar] [CrossRef]
  12. Xie, W.; Zhang, Y.; Zhang, W.; Li, T. Experimental study on cooling effect by fine water mist in confined space. J. Eng. Thermophys. 2019, 40, 2873–2878. [Google Scholar]
  13. Yang, C.; Mu, J.; Meng, Q. Test and analysis of thermal environment of building lighting atrium spray cooling. Build. Energy Effic. 2019, 47, 50–55. [Google Scholar]
  14. Mao, H.; Meng, Q.; Li, S.; Qi, Q.; Wang, S.; Wang, J. Cooling effects of a mist-spraying system on ethylene tetrafluoroethylene cushion roofs in hot-humid areas: A case study in Guangzhou, China. Sustain. Cities Soc. 2021, 74, 103211. [Google Scholar] [CrossRef]
  15. Meng, X.; Meng, L.; Gao, Y.; Li, H. A comprehensive review on the spray cooling system employed to improve the summer thermal environment: Application efficiency, impact factors, and performance improvement. Build. Environ. 2022, 217, 109065. [Google Scholar] [CrossRef]
  16. The Ministry of the Environment of Japan, Heat Countermeasure Guideline in the City. Available online: https://www.env.go.jp/content/900400045.pdf (accessed on 1 December 2022).
  17. Takebayashi, H. A simple method to evaluate adaptation measures for urban heat island. Environments 2018, 5, 70. [Google Scholar] [CrossRef]
  18. Takebayashi, H.; Danno, H.; Tozawa, U. Study on appropriate heat mitigation technologies for urban block redevelopment based on demonstration experiments in Kobe city. Energy Build. 2021, 250, 111299. [Google Scholar] [CrossRef]
Figure 1. Measurement points of thermo-hygrometers around the condenser unit.
Figure 1. Measurement points of thermo-hygrometers around the condenser unit.
Atmosphere 14 00177 g001
Figure 2. Location of water outlets and state of measurement around the condenser unit.
Figure 2. Location of water outlets and state of measurement around the condenser unit.
Atmosphere 14 00177 g002
Figure 3. Measurement frame with thermo-hygrometers and thermocouples and overview of sequential measurement by moving the measurement frame.
Figure 3. Measurement frame with thermo-hygrometers and thermocouples and overview of sequential measurement by moving the measurement frame.
Atmosphere 14 00177 g003
Figure 4. Mist spray and measurement frame in an open space.
Figure 4. Mist spray and measurement frame in an open space.
Atmosphere 14 00177 g004
Figure 5. Location of objective and reference bus stops and measurement points of thermo-hygrometers.
Figure 5. Location of objective and reference bus stops and measurement points of thermo-hygrometers.
Atmosphere 14 00177 g005
Figure 6. Mist sprays at a semi-open bus stop.
Figure 6. Mist sprays at a semi-open bus stop.
Atmosphere 14 00177 g006
Figure 7. Measurement results of air temperature in front of air-conditioning condenser units from 10:17 to 12:03 on 25 August 2021.
Figure 7. Measurement results of air temperature in front of air-conditioning condenser units from 10:17 to 12:03 on 25 August 2021.
Atmosphere 14 00177 g007
Figure 8. Measurement results of humidity in front of air-conditioning condenser units from 10:17 to 12:03 on 25 August 2021.
Figure 8. Measurement results of humidity in front of air-conditioning condenser units from 10:17 to 12:03 on 25 August 2021.
Atmosphere 14 00177 g008
Figure 9. Air temperature and humidity changes by water droplets evaporation and iso-enthalpy lines depending on the distance from air-conditioning condenser unit.
Figure 9. Air temperature and humidity changes by water droplets evaporation and iso-enthalpy lines depending on the distance from air-conditioning condenser unit.
Atmosphere 14 00177 g009
Figure 10. Air temperature and humidity changes by water droplets evaporation and iso-SET* lines depending on the distance from air-conditioning condenser unit.
Figure 10. Air temperature and humidity changes by water droplets evaporation and iso-SET* lines depending on the distance from air-conditioning condenser unit.
Atmosphere 14 00177 g010
Figure 11. Measurement results of air temperature and humidity in front of mist spraying in an open space in a park between 10:30–11:30, 13:00–14:00, and 15:10–16:22 on 27 August 2021.
Figure 11. Measurement results of air temperature and humidity in front of mist spraying in an open space in a park between 10:30–11:30, 13:00–14:00, and 15:10–16:22 on 27 August 2021.
Atmosphere 14 00177 g011
Figure 12. Measurement results of air temperature, humidity, and wind velocity at semi-open bus stops on 21 September 2021.
Figure 12. Measurement results of air temperature, humidity, and wind velocity at semi-open bus stops on 21 September 2021.
Atmosphere 14 00177 g012
Figure 13. Air temperature and humidity changes by mist spraying and iso-SET* lines at semi-open bus stops at 11:00, 12:00, and 13:00 on 21 September 2021.
Figure 13. Air temperature and humidity changes by mist spraying and iso-SET* lines at semi-open bus stops at 11:00, 12:00, and 13:00 on 21 September 2021.
Atmosphere 14 00177 g013
Table 1. Decrease in air temperature and increase in humidity due to mist spraying.
Table 1. Decrease in air temperature and increase in humidity due to mist spraying.
In Front of Air-Conditioning Condenser UnitIn an Open Space in a ParkAt Semi-Open Bus Stops
Decrease in air temperature dt10 [°C]about 0.5 to 1 [°C]about a few to 1 [°C]
Increase in humidity dxgreater than 4 [g/kg(DA)]about 0.5 to 1 [g/kg(DA)]a few to 1 [g/kg(DA)]
dt/dx1.0~2.5 [K/(g/kg(DA))]0.5~1.0 [K/(g/kg(DA))]0.2~1.0 [K/(g/kg(DA))]
Disclaimer/Publisher’s Note: The statements, opinions and data contained in all publications are solely those of the individual author(s) and contributor(s) and not of MDPI and/or the editor(s). MDPI and/or the editor(s) disclaim responsibility for any injury to people or property resulting from any ideas, methods, instructions or products referred to in the content.

Share and Cite

MDPI and ACS Style

Kyogoku, S.; Takebayashi, H. Experimental Verification of Mist Cooling Effect in Front of Air-Conditioning Condenser Unit, Open Space, and Bus Stop. Atmosphere 2023, 14, 177. https://doi.org/10.3390/atmos14010177

AMA Style

Kyogoku S, Takebayashi H. Experimental Verification of Mist Cooling Effect in Front of Air-Conditioning Condenser Unit, Open Space, and Bus Stop. Atmosphere. 2023; 14(1):177. https://doi.org/10.3390/atmos14010177

Chicago/Turabian Style

Kyogoku, Sae, and Hideki Takebayashi. 2023. "Experimental Verification of Mist Cooling Effect in Front of Air-Conditioning Condenser Unit, Open Space, and Bus Stop" Atmosphere 14, no. 1: 177. https://doi.org/10.3390/atmos14010177

APA Style

Kyogoku, S., & Takebayashi, H. (2023). Experimental Verification of Mist Cooling Effect in Front of Air-Conditioning Condenser Unit, Open Space, and Bus Stop. Atmosphere, 14(1), 177. https://doi.org/10.3390/atmos14010177

Note that from the first issue of 2016, this journal uses article numbers instead of page numbers. See further details here.

Article Metrics

Back to TopTop