Next Article in Journal
Secondary Organic Aerosol (SOA) from Photo-Oxidation of Toluene: 1 Influence of Reactive Nitrogen, Acidity and Water Vapours on Optical Properties
Next Article in Special Issue
Sub-23 nm Particle Emissions from China-6 GDI Vehicle: Impacts of Drive Cycle and Ambient Temperature
Previous Article in Journal
Atmospheric Gravity Wave Potential Energy Observed by Rayleigh Lidar above Jiuquan (40° N, 95° E), China
Previous Article in Special Issue
Reproducibility of the 10-nm Solid Particle Number Methodology for Light-Duty Vehicles Exhaust Measurements
 
 
Font Type:
Arial Georgia Verdana
Font Size:
Aa Aa Aa
Line Spacing:
Column Width:
Background:
Article

Research on Analysis Method of Remote Sensing Results of NO Emission from Diesel Vehicles

1
Beijing Institute of Technology, School of Mechanical Engineering, Beijing 100081, China
2
State Environmental Protection Key Laboratory of Vehicle Emission Control and Simulation, Chinese Research Academy of Environmental Sciences, Beijing 100012, China
3
Anhui Baolong Environmental Protection Technology Co., Ltd., Hefei 230031, China
4
International Council on Clean Transportation, 10623 Berlin, Germany
5
IVL Swedish Environmental Research Institute, 114 28 Stockholm, Sweden
*
Author to whom correspondence should be addressed.
Atmosphere 2022, 13(7), 1100; https://doi.org/10.3390/atmos13071100
Submission received: 9 June 2022 / Revised: 9 July 2022 / Accepted: 11 July 2022 / Published: 13 July 2022
(This article belongs to the Special Issue Traffic Related Emission)

Abstract

:
Remote sensing technology has been used for gasoline vehicle gaseous emissions monitoring for nearly 30 years. However, the application effect of the remote sensing detection of diesel vehicle tailpipe emission concentrations is unsatisfactory. Therefore, several approaches were proposed to analyze the remote sensing results for gaseous exhaust emissions from diesel vehicles, including the concentration ratios of gaseous emission components to carbon dioxide (CO2) and fuel-based emission factors. Based on our experimental results, these two metrics have some high values in low-speed or low-load conditions of vehicles, which introduces uncertainty when evaluating vehicle emission levels. Therefore, an inversion calculation method originally developed for remote sensing light duty diesel vehicle gaseous emissions was used for the remote sensing of nitrogen monoxide (NO) tailpipe concentrations in heavy duty diesel vehicles, and validated by PEMS tested emission results. For the first time, the above three options for evaluating the NOx emission level of diesel vehicles, including the concentration ratio of NO to CO2, the fuel-based NO emission factor and the estimated tailpipe NO emission concentration were investigated, and some influencing factors were also discussed. The remote sensing tailpipe NO emission concentration can be directly used to evaluate diesel vehicle NO emission levels compared with the two other metrics.

1. Introduction

Due to the rapid growth of vehicle ownership, vehicle emissions are the main source of air pollution. Compared with gasoline vehicles, exhaust pollution from diesel vehicles is more serious due to their real-world emissions often being several times higher than their type-approval limits [1,2]. One reason is that chassis or engine dynamometer testing over a standard test cycle does not fully represent real vehicle driving situations; another reason may be the use of defeat devices or the optimization of vehicle emission control strategies for a type-approval test. It was not until the Euro VI or China VI stage that the actual road emissions of diesel vehicles improved significantly [3]. However, as the main freight vehicles, diesel vehicle emissions cannot be ignored, especially heavy duty diesel vehicles (HDVs), as their emissions of nitrogen oxides (NOx) and particulate matters (PM) are a significant cause of haze and ozone formation in many areas of the world, and cause serious damages to human health, crop yields and the climate worldwide [4]. Although the emissions of new vehicles have been greatly reduced due to the gradual tightening of vehicle emission limits in major markets, once vehicles are put into use, the wear, deterioration and failure of components leads to increased toxic emissions. In order to effectively control vehicle emission pollution, it is necessary to strengthen the supervision and control of in-use vehicle emissions.
At present, the Inspection and Maintenance (I/M) programs for diesel vehicles in China include the free acceleration test and lug-down test [5]. The free acceleration test cannot effectively measure NOx emissions from diesel vehicles. The lug-down test used to detect diesel vehicle NOx and smoke emissions requires a chassis dynamometer and cannot be used for on-site testing by environmental law enforcement personnel. Although the vehicle I/M programs are effective ways to detect in-use vehicle emissions and screen out high-emitting vehicles, the periodic inspection cycle of in-use vehicles in China is generally 6 months to 2 years, and no emission inspection is required for the first six years of a new car, thus vehicle emissions may deteriorate before the next scheduled periodic inspection. Therefore, it is necessary to adopt appropriate emission detection methods to realize the real-time monitoring of in-use diesel vehicle emissions.
The portable emission measure system (PEMS) can directly measure vehicle emissions in real road driving situations, and has high measurement accuracy [6,7]. However, the PEMS test is time-consuming and expensive, and not suitable for measuring a high number of vehicles in a short period of time to identify high emitting vehicles.
On-board Diagnostics (OBD) is a convenient and cost-effective means to monitor vehicle emissions [8,9]. When the vehicle has a failure exceeding the emission standard, the OBD malfunction light will illuminate to warn the driver to repair the vehicle. Since China-III and previous diesel vehicles are generally not equipped with OBD, OBD monitoring cannot fully replace the vehicle I/M method in the near future.
Remote sensing is an efficient technology that can measure the exhaust emissions of vehicles driving on-road without interrupting traffic [10]. With the purpose of identifying high-emitting vehicles in a timely and convenient way, some cities including Beijing, Chongqing and Guangzhou in China adopted remote sensing devices (RSD) to detect vehicle emissions [11]. The remote sensing of vehicle emissions can be used in conjunction with the regular I/M programs to monitor unauthorized modifications and illegal adjustments after legislatively scheduled emission inspections, can also detect serious failures in the emission control system, and identify high-emitting vehicles.
In 2017, China’s Ministry of Ecology and Environment promulgated and implemented the first national-level remote sensing regulation for measuring exhaust pollutants from diesel vehicles [12]. The limits of exhaust opacity and Ringelmann blackness are mandatory, while the vehicle tailpipe nitrogen monoxide(NO) emission concentration limit of 1500 × 10−6 (1500 ppm) is only applied when screening high-emitting diesel vehicles. The reason the single emission concentration limit for NO was proposed in the remote vehicle emissions sensing standard was because most of the in-use diesel vehicles in China until 2017 were pre-China IV diesel vehicles without after-treatment systems, for which more than 90% of the NOx generated by the engine is NO, and thus less than 10% is nitrogen dioxide (NO2), and most of the high-emitting diesel vehicles are pre-China IV ones. Currently, the number of diesel vehicles compliant with China V and VI emission standards is increasing, and diesel oxidation catalyst (DOC) devices are widely used to reduce pollutant emissions and improve the purification efficiency of diesel vehicles’ after-treatment systems, leading to increased proportions of NO2 of the total NOx emissions. In this study, NO was used to represent the total amount of nitrogen oxides in order to remain consistent with the Chinese remote emissions sensing standard.
For diesel vehicles, the remote sensing method for measuring diesel vehicle exhaust smoke is to detect smoke opacity and has been used to capture severely smoky vehicles [13], while remote sensing is less reliable for the detection of tailpipe NO emission concentration from diesel vehicles, leading to the high rate of misjudgment for high-emitting vehicles [14]. In addition, the use of diesel particulate filters (DPF) in diesel vehicles can effectively reduce PM emissions [15]; therefore, the NO (NO and NO2) emission measurement and control are the main challenges faced by diesel vehicles.
The remote sensing technology for gasoline vehicle emissions monitoring has been used for nearly 30 years since researchers from the University of Denver first measured vehicle CO emissions using remote sensing [16]. Until now, the measurement of CO, HC and NO concentrations in tailpipe emissions from gasoline vehicles by remote sensing has been considered feasible and acceptable [17,18,19]. In the US, vehicle emission remote sensing data have been used for the screening of high-emitting vehicles, exemption of clean vehicles and evaluation of vehicle emission levels [20,21,22].
Remote sensing typically measures the absolute concentrations of gaseous components including CO, HC, NO (NO and NO2) and CO2 in the vehicle exhaust plume rather than directly at the tailpipe. In the meantime, the concentrations of exhaust components in the plume change rapidly as the exhaust plume disperses and is diluted by ambient air; in order to obtain the tailpipe emission concentrations, the concentration ratios of CO, HC, NO to CO2 in the exhaust plume are assumed to be constant for unreactive gaseous pollutants and used to inversely calculate the tailpipe emission concentrations of CO, HC, NO and CO2. The remote sensing system can detect the concentration ratios of CO, HC and NO to CO2 in diesel vehicle exhaust plume directly, and the concentration ratios of CO, HC and NO to CO2 can reflect the combustion and emission performances of the diesel engine relatively well; therefore, the concentration ratio of NO to CO2 was used to evaluate the NO emission levels of diesel vehicles in some studies [23,24]. Oftentimes, the fuel-based NO emission factor, which represents the NO mass emission per unit mass of fuel burnt (g/kg fuel), is used to evaluate the NO emission level of diesel vehicles [25,26]. Furthermore, the distance-based NO emission factor can also be estimated based on the fuel-based NO emission factor and the vehicle fuel consumption at the time of the emission measurements [27].
In order to overcome the major obstacle of adopting the remote sensing NO emission concentration limit for diesel vehicles in China, an inversion calculation algorithm for remote sensing CO2 exhaust emission concentrations from diesel vehicles was established based on the relative concentration ratios of CO, HC and NO to CO2 in diesel vehicle exhaust plume and the diesel engine excess air coefficient under test conditions, and used to calculate the diesel vehicle tailpipe absolute CO2 emission concentration. Furthermore, the absolute NO concentration in the diesel vehicle exhaust can be computed based on the relative concentration ratio of NO to CO2 [28]. In this study, the inversion calculation method used for the remote sensing of diesel vehicle tailpipe NO emission concentrations was validated by experiments.
Because the inversion calculation method based on the theoretical air-fuel ratio or rich mixture combustion of gasoline engines produces large errors in detecting the tailpipe emission concentrations of diesel vehicles, scholars at home and abroad proposed using the concentration ratio of NO to CO2 or the fuel-based NO emission factor to evaluate the NO emission level of diesel vehicles. Based on our experimental results, these two metrics have some high values in low-speed or low-load conditions of the vehicles, which introduces uncertainty in the evaluation of vehicle emission levels. An inversion calculation method originally developed for the remote sensing of light duty diesel vehicle gaseous emissions was applied for the remote sensing of tailpipe NO emission concentrations from heavy duty diesel vehicles, and validated by PEMS-tested emission results. For the first time, the above three options for evaluating the NO emission level of diesel vehicles including the concentration ratio of NO to CO2, the fuel-based NO emission factor and the derived tailpipe NO emission concentrations were investigated, and their influencing factors were also discussed to analyze their applicability in evaluating diesel vehicle NO emission levels.

2. Methodology

2.1. Testing Facilities and Equipment

From September to November 2020, the exhaust emissions of 12 diesel vehicles were tested by the remote sensing system and portable emission measurement system (PEMS) synchronously. The instrument layout and test method are shown in Figure 1.
An Anhui Baolong BDH-1Z across-road open-path remote sensing system was used to measure gaseous exhaust emissions including CO, HC, NO and CO2. The instrument response time was less than 0.6 s. Table 1 shows the technical specifications of the BDH-1Z remote sensing system.
As a diesel vehicle passes through the beam, RSD measures the absolute concentrations of HC, CO, NO and CO2 in the exhaust plume and calculates the concentration ratios of HC, CO, NO to CO2. For gasoline vehicles, the tailpipe emission concentrations of HC, CO, NO to CO2 can be calculated by the inversion calculation method based on the theoretical air-fuel ratio combustion mechanism, while for the remote sensing of diesel vehicle emissions, the inversion calculation of the tailpipe emission concentrations of CO, HC, NO and CO2 needs to be corrected with the diesel engine excess air coefficient [28].
When testing with the remote sensing system, vehicle exhaust emissions were directly tested using PEMS. A Horiba OBS-ONE emission analyzer was installed on-board to measure vehicle exhaust emissions simultaneously, as shown in Figure 1. The PEMS tested vehicle emission results can be used to validate the calculated absolute concentrations of exhaust emissions using remote sensing tests, and the diesel engine excess air coefficient data measured by PEMS under vehicle real driving conditions can be used to establish a diesel engine excess air coefficient map with vehicle speed and acceleration as parameters, used for the interpolation calculation of diesel engine excess air coefficient under vehicle test conditions. In this way, by using the concentration ratios of HC, CO and NO to CO2 in the exhaust plume and the calculated diesel engine excess air coefficients, the tailpipe emission concentrations of the gaseous components from diesel vehicles can be calculated, and the derived NO emission concentration can be used to compare with the remote sensing NO emission limit for identifying whether the diesel vehicle is a high emitter or not.
The OBS-ONE emission analyzer uses non-dispersive infra-red detection (NDIR), flame ionization detection (FID) and chemiluminescence detection (CLD) to measure CO and CO2, HC and NO concentrations, respectively. NDIR determines the concentrations of CO and CO2 in the exhaust gas by their infrared light absorption capacities. The absorbed light intensities are directly related to the CO and CO2 concentration, respectively. The change in the light intensity leads to a change in the electrical signal of the detector, which can be used to calculate the gaseous concentration. Moreover, concentrations of NO and NO2 are measured by CLD, whose principle is that NO molecules in the exhaust gas reach the excited state after reacting with O3 in the reaction chamber, and photons are released when NO molecules transform from the excited state back to the ground state. The detected light intensity is proportional to the number of molecules of NO before the reaction, and a photo-multiplier tube can be used to convert the light signal into an electrical signal, and then the NO concentration can be calculated. FID is used to detect hydrocarbons in vehicle exhaust gas, which typically contains many hydrocarbon compounds. Therefore, FID was used to identify the total hydrocarbons(THC) instead of identifying hydrocarbon compound/compounds. Table 2 shows the technical parameters of the OBS-ONE analyzer. Vehicle speed and acceleration are derived by means of a global positioning system (GPS). The operating parameters of the diesel engine and the vehicle were accessed through On-board Diagnostics (OBD) communication with the electronic control unit (ECU).
During remote sensing tests, the exhaust emissions of diesel vehicles were measured under different driving situations, including constant vehicle speeds (10 km·h−1, 20 km·h−1, 30 km·h−1, 40 km·h−1, 50 km·h−1, 60 km·h−1 and 70 km·h−1), non-constant vehicle speeds with slight acceleration, different vehicle loads (no-load, half-load and full-load) and different SCR function states (brand new, normal and aged).
In this study, two heavy duty diesel vehicles including a China-V heavy duty diesel truck (HDDT) and a China-VI HDDT were tested and used to validate the inversion calculation method for the remote sensing of tailpipe gaseous exhaust emissions from diesel vehicles. Furthermore, the concentration ratios of NO to CO2 and the fuel-based emission factors of NO of these two HDDTs under different driving conditions were also analyzed. Table 3 shows the specifications of these two tested heavy duty diesel vehicles.

2.2. Detection of the Concentration Ratios of Gaseous Pollutants to CO2 in Diesel Vehicle Exhaust

Based on the emission concentration ratios of CO, HC and NO to CO2 in the exhaust plume, the combustion and emission performances of the diesel vehicle engine can be analyzed under the tested conditions. The concentration ratios of the gaseous components to CO2 in the diesel vehicle exhaust plume are defined as:
CO = C CO C CO 2
HC = C HC C CO 2
NO = C NO C CO 2
where CO ,   HC and NO are the calculated concentration ratios of CO, HC and NO to CO2 and C CO , C HC , C NO and C CO 2 are the measured concentrations of CO, HC, NO and CO2 in the exhaust plume, respectively.
The concentration ratios of gaseous components over CO2 in the exhaust plume can be obtained directly and are usually taken as constant values. Since diesel engines, due to the excess of oxygen in the fuel combustion process, emit less CO and HC, the NOX emissions are the focus of diesel vehicle emission control. The concentration ratio of NO to CO2 was used in Hong Kong to determine the remote sensing cutoff points for high-emitting diesel vehicles, and the NO/CO2 ratios of 57.30 and 22.85 ppm/% were selected as the remote sensing cutoff points for Euro 4 and Euro 5 high-emitting vehicles, respectively [23].

2.3. Detection of the Fuel-Based Emission Factors

Based on the carbon balance method, the concentration ratios of CO, HC and NO to CO2 measured by RSD, together with the molecular weight of each substance, can be used to calculate the fuel-based emission factors of CO, HC and NO, expressed in g∙kg−1 fuel [29,30,31], which can also be used to assess the emission levels of the vehicle under tested conditions.
The fuel-based emission factors of CO, HC and NO are calculated by Equations (4)–(6):
E F CO = 28 CO ( 1 + CO + 3 HC / 0.493 ) M fuel
E F HC = 44 HC ( 1 + CO + 3 HC / 0.493 ) M fuel
E F NO = 30 NO ( 1 + CO + 3 HC / 0.493 ) M fuel
where, E F CO , E F HC , and E F NO are the fuel-based emission factors of CO, HC and NO in g·kg−1 fuel and the values 28, 44 and 30 are the molecular weights of CO, HC (calculated as C3H8, which is used as a standard gas to calibrate remote sensing equipment) and NO, respectively. For diesel, the molar hydrogen to carbon ratio is 1.85, the molar mass M fuel is 0.01385 kg∙mol−1, and the value 0.493 used in the formula is the conversion coefficient of the carbon mass measured as propane.
Some studies also attempted to derive vehicle distance-based emission factors from the fuel-based emission factors and the fuel consumption per unit travel distance [27], in order to provide a direct comparison with the legislative emission limits for light-duty vehicles.

2.4. Detection of Tailpipe Emission Concentrations from Diesel Vehicles

Due to the lean-burn characteristics of diesel engines, the inversion calculation method for the remote sensing of gasoline vehicle emissions is not suitable for diesel vehicles. Considering the fact that there is a large excess of air in the diesel engine combustion process, an inversion calculation method was proposed for the remote sensing of tailpipe gaseous emissions from light duty diesel vehicles [28], and the tailpipe emission concentration of CO2 (%) can be calculated by
E C CO 2 = 100 0.5 HC 0.5 + 2.38 α ( 2 CO + HC + 3 + NO )
where α is the diesel engine excess air coefficient under the tested condition.
The tailpipe emission concentrations of CO, HC and NO from diesel vehicle are calculated as:
E C CO = E C CO 2 CO
E C HC = E C CO 2 HC
E C NO = E C CO 2 NO
For diesel vehicles, in addition to the concentration ratios of NO, CO, HC to CO2 in the exhaust plume, the diesel engine excess air coefficient under the tested condition is also needed to derive diesel vehicle tailpipe emission concentrations.
In this study, the inversion calculation formula defined by Equation (7) was utilized to calculate the remote sensing results of CO2 emission from heavy diesel vehicles, and was validated by PEMS-tested CO2 emissions of heavy diesel vehicles. Furthermore, the NO concentration was calculated based on the concentration ratio of NO to CO2, and was also compared with PEMS-tested NO emission of heavy diesel vehicles.
The excess air coefficient is an important parameter to characterize the load and combustion characteristics of a diesel engine, and is closely related to the amount of fuel required by the car while driving. To meet the demand of the diesel vehicle motion force, the fuel injection quantity was used as the basic control parameter, which corresponds to the excess air coefficient within the diesel engine cylinder. Therefore, it is feasible and applicable to establish the excess air coefficient model related to the operating conditions of diesel vehicles.
We originally set up the driving dynamics model of the light duty diesel vehicle to calculate the engine torque and revolution speed based on the vehicle motive force and speed, used engine torque and revolution speed to interpolate the engine excess air coefficient map and calculated the engine excess air coefficient under the driving conditions [28]. However, this method requires a large number of parameters of the vehicle, the engine and gear shift strategy. Generally, it is difficult to obtain the technical parameters of the tested vehicle in real time. Therefore, in order to conveniently and effectively obtain the excess air coefficient of diesel vehicle engines under driving conditions, the statistical analysis method was adopted in this paper to build the map of diesel engine excess air coefficients as a function of vehicle speed and acceleration based on the PEMS tested data. In this study, the map of diesel engine excess air coefficients was built for the two tested heavy duty diesel vehicles, as shown in Figure 2. For remote sensing emission concentration detection, the engine excess air coefficient for diesel vehicle driving conditions was calculated by interpolating the excess air coefficient map using the test vehicle speed and acceleration.
Figure 2 shows the schematic map of excess air coefficients for the two tested HDDTs. The vehicle speed ranged from 0 to 100 km∙h−1 with an interval of 5 km∙h−1, and vehicle acceleration ranged from 0 to 4.5 m∙s−2 with an interval of 0.5 m∙s−2. The surface plots of excess air coefficients show that the excess air coefficient decreased with the increased fuel injection due to the increased engine load with the increase in the vehicle speed or acceleration.
The vehicle real driving emission test in this research lasted more than two months. During vehicle emission tests, the ambient conditions including temperature, humidity, wind speed and wind direction were uncontrollable and variable, but they all met the requirements for the remote sensing of vehicle emissions. Thus, their combined effects on vehicle emissions and engine excess air coefficients were already included within the statistical analysis results of excess air coefficients. Therefore, in this research the calculation of diesel engine excess air coefficient did take the changes of ambient conditions into consideration as they all met the requirements for the remote sensing of vehicle emissions. In addition, considering that it is not easy for RSD to measure the diesel vehicle weight, the statistical maps of diesel engine excess air coefficients were obtained by combining the diesel engine excess air coefficients under different vehicle load conditions, including no-load, half-load and full-load. Thus, further research can be carried out to consider a vehicle load that leads to a different engine load and excess air coefficient by adding a weight-in motion measurement to the RSD. In addition, for this excess air coefficient model, the vehicle engine was assumed to be fully warmed up without considering cold-start and hot-start emissions, and the excess air coefficient maps in this paper were developed based on the tested diesel vehicles in this study. If these excess air coefficient maps are used for other diesel vehicles, further validation work has to be performed, and more excess air coefficient data derived by on-road testing other diesel vehicles need to be integrated into the excess air coefficient maps. Moreover, the excess air coefficients were stored as look-up tables as functions of vehicle speed and acceleration, and each node of data was the statistical average value of numerous raw data, so that some transient characteristics were smoothed out while keeping the most important and general logical relationships of the original database; therefore, some errors under the vehicle transient driving conditions were expected.
Although vehicle emissions are influenced by many factors, it is practical to determine the engine excess air coefficients based on the driving dynamics of diesel vehicles. In this way, the excess air coefficient of the diesel vehicle engine under test conditions can be obtained, and the concentration ratios of HC, CO, NO and CO2 in the exhaust plume can be measured by RSD; therefore, diesel vehicle tailpipe emission concentrations of HC, CO, NO and CO2 can be calculated and used to evaluate diesel vehicle emission levels. The calculation procedure for the remote sensing of tailpipe emission concentrations from diesel vehicles is depicted in Figure 3.

3. Results and Discussion

3.1. Concentration Ratios of Gaseous Exhaust Pollutants to CO2 of Diesel Vehicles

The concentration ratios of CO, HC, NO to CO2 in diesel vehicle exhaust emissions were calculated based on the concentrations of CO, HC, NO and CO2 in the diesel vehicle exhaust plume measured by RSD.
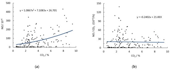
Based on the remote emission sensing data of the China-V heavy duty diesel truck and the China-VI heavy duty diesel truck, the concentration ratios of NO to CO2 and the measured concentrations of NO and CO2 (calculated by the inversion calculation method) of these two diesel vehicles are shown in Figure 4 and Figure 5, respectively.
Figure 4 and Figure 5 show that NO emission concentrations have a tendency to increase as the CO2 emission concentrations increase, indicating that NO emissions increase with the engine load. However, for the concentration ratios of NO to CO2, higher values typically appear under engine part-load or vehicle light-load conditions. The reasons may be as follows: First, this phenomenon may reflect the actual test results. Second, the emission concentrations of NO and CO2 are low under light engine load conditions, especially under low concentrations of NO, which easily leads to larger measurement errors. Second, because the tested China-V and China-VI diesel vehicles adopt the SCR system, the conversion efficiency decreases when the engine exhaust temperature drops under low load conditions leading to relatively high NO emission concentrations.
The measured concentrations of NO and CO2 are only a snapshot of a vehicle’s exhaust emissions within 1 s when the vehicle passes the remote sensing system. If the high-emitting vehicles are judged solely on the basis of a higher concentration ratio of NO to CO2 measured by the remote sensing system, it may lead to higher risks of misjudgment. Therefore, if the high-emitting vehicles are judged based on the concentration ratio of NO and CO2, additional judgment criteria must be added, such as the diesel engine load or the CO2 emission concentration range, and ensure to be in the area with high CO2 emission concentrations of diesel vehicles, i.e., judging the high-emitting vehicles within higher engine load range to avoid misjudgment of high-emitting vehicles.

3.2. Fuel-Based Emission Factors of Diesel Vehicle

Based on the remote emission sensing data for the China-V heavy duty diesel truck and the China-VI heavy-duty diesel truck, the fuel-based NO emission factors of the two vehicles are shown in Figure 6.
As shown in Figure 6, the fuel-based NO emission factors of the China-V and China-VI diesel vehicles show a decreased tendency with increased vehicle load due to the increased conversion efficiency of the SCR system with increasing exhaust temperatures. On the basis of the NO formation mechanism, the fuel-based NO emission factors can reflect the emission level of diesel vehicles. Since remote sensing usually records the instantaneous results of vehicle exhaust emissions, only one measurement result of the fuel-based NO emission factor may not reflect the real emission level of the vehicle, and may be unsuitable for identifying the high-emitting vehicles due to the higher fuel-based NO emission factors under low vehicle load conditions. Similarly to the concentration ratio of NO and CO2, additional judgment criteria should be added, such as the diesel vehicle load or the CO2 emission concentration, ensuring the identification of high-emitting vehicles within a higher vehicle load range and avoiding misjudgment.
However, statistical average values from a large number of measurements of fuel-based NO emission factors can well characterize the emission levels of diesel vehicles [25].

3.3. Tailpipe Emission Concentrations from Diesel Vehicles

The remote sensing results of CO2 and NO emissions from a China-V heavy duty diesel truck and the China-VI heavy-duty diesel truck were compared with the PEMS test results, as shown in Figure 7 and Figure 8.
Figure 7a and Figure 8a show that the remote sensing results of tailpipe CO2 emissions calculated by the inversion calculation method are very close to the PEMS tested results, as the correlation coefficient reached 99%, which shows the inversion calculation method for the remote emission CO2 results for diesel vehicles is correct and reasonable, although there are small errors between the remote sensing CO2 data and the PEMS tested CO2 data.
The remote sensing NO results are mostly close to the PEMS tested results, but there are some abnormal points with some deviations between the two methods. The measurement errors caused by the test equipment are small; the main reason is the asynchronous RSD and PEMS tested data and the cycle variations of engine combustion. The reasons for the difference between the RSD and PEMS data are summarized as follows:
(1)
The remote sensing NO emissions were calculated based on the CO2 remote sensing results; therefore, the errors of the CO2 measurement and calculation led to errors in the NO emission calculation.
(2)
There were measurement errors for both RSD and PEMS, and there were differences between RSD and PEMS in terms of test principles, methods and test sensitivity, especially for NO.
(3)
RSD detects the concentrations of vehicle gaseous exhaust components in the exhaust plume behind the vehicle, while PEMS detects the vehicle tailpipe emission concentrations of gaseous components. Therefore, the test location and test conditions are different between RSD and PEMS, and the test time is difficult to synchronize, thus differences in test results are inevitable.
(4)
Compared with the CO2 emission concentrations, the NO emission concentrations were very low after dilution, and lower concentrations cause greater measurement errors.
(5)
The inversion calculation method for the remote sensing of diesel vehicle tailpipe emissions needs to obtain the excess air coefficient of the diesel engine under the test condition. The calculated excess air coefficient unavoidably has errors due to the transient variations of driving dynamics of the vehicle and the measurement errors for speed and acceleration.
Despite the measurement errors, the errors of the NO tailpipe emission concentrations calculated by Formulas (7) and (10) reduced by several times to a few percent or tens of percent compared with the result calculated based on engine theoretical air-fuel ratio mixture combustion. Therefore, the remote sensing of tailpipe NO emission concentrations from diesel vehicles can be used to identify high-emitting diesel vehicles and detect the malfunctions or deterioration of diesel vehicles’ exhaust after-treatment system.

4. Conclusions

Remote sensing has been used as a means of screening high-emitting vehicles, while the remote sensing system generally records an instantaneous result of the vehicle exhaust emissions; therefore, the reasonable and accurate use of remote sensing test data is critical to the reliability of screening high-emitting vehicles.
Three options for evaluating NO emissions from heavy duty diesel vehicles were investigated, including the concentration ratio of NO to CO2, the fuel-based NO emission factor and the derived tailpipe NO emission concentration, and some additional influencing factors were also analyzed.
In theory, both the emission concentration ratio of NO to CO2 and the fuel-based emission factor of NO can be applied to evaluate diesel vehicles’ NO emission level. However, emission concentration ratios of NO to CO2 are prone to extreme values when the vehicle is driven under low speed or low load conditions, which may result in the incorrect judgment of NO emission levels. Similarly, the application of the fuel-based emission factor of NO also leads to the same problem with higher values under low vehicle speed or low-load conditions, which increases the risk of misjudging high-emitting vehicles. Therefore, if high-emitting diesel vehicles are judged based on the concentration ratio of NO and CO2 or the fuel-based emission factor of NO, additional judgment criteria must be added, such as the diesel engine load or the CO2 emission concentration range, so as to ensure that the NO emission level of diesel vehicles within a higher engine load range is evaluated to avoid the misjudgment of high-emitting vehicles.
An inversion calculation method was applied to calculate diesel vehicle tailpipe emission concentrations based on remote sensing measurements using the relative concentration ratios of various gaseous components in the exhaust plume and the diesel engine excess air coefficient under the test condition. The remote sensing results of tailpipe CO2 emission concentrations fit well with the PEMS tested CO2 results, showing the correctness of the inverse calculation method for the remote sensing of diesel vehicle tailpipe emissions. The remote sensing results for tailpipe NO emission concentrations are mostly compliant with the PEMS test results, and may thus be used to evaluate the NO emission performance of diesel vehicles, and identify high-emitting diesel vehicles.

Author Contributions

L.H.: Conceptualization, methodology, experiment research, writing original draft and revising. H.Y.: Conceptualization and Methodology. J.W.: Experiment research and data collection and processing. M.T.: Experiment research and data collection and processing. X.W.: Experiment research, and data processing. Y.G.: Supervision, Project administration. Y.B.: Conceptualization and revising. Å.S.: Conceptualization and revising. All authors have read and agreed to the published version of the manuscript.

Funding

This work was supported by National Key R&D Plan funded by Ministry of Science and Technology (2018YFE0106800-001) and the funding from the European Union’s Horizon 2020 Research and Innovation Programme under CARES Grant Agreement No. 814966 (https://cares-project.eu/).

Institutional Review Board Statement

Not applicable.

Informed Consent Statement

Not applicable.

Data Availability Statement

The data presented in this study are available at the request of readers.

Acknowledgments

The authors are grateful to all participants in the experiment and the anonymous reviewers for their valuable and helpful comments.

Conflicts of Interest

The authors declare no conflict of interest.

Abbreviations

ASCAmmonia Slip Catalyst
COCarbon Monoxide
CLDChemiluminescence Detection
CO2Carbon Dioxide
DOCDiesel Oxidation Catalyst
DPFDiesel Particulate Filter
EFEmission Factor
EGRExhaust Gas Recirculation
FIDFlame Ionization Detection
GPSGlobal Positioning System
HCHydrocarbon
HDDTHeavy Duty Diesel Truck
HDVsHDVs
LNTLean NOx Trap
NDIRNon-Dispersive Infra-Red Detection
NONitrogen Monoxide
NO2Nitrogen Dioxide
NOxOxides of Nitrogen
OBDOn-Board Diagnostics
PEMSPortable Emission Measurement System
RSDRemote Sensing Device
SCRSelective Catalytic Reduction

References

  1. Carslaw, D.C.; Beevers, S.D.; Tate, J.E.; Westmoreland, E.J.; Williams, M.L. Recent evidence concerning higher NOx emissions from passenger cars and light duty vehicles. Atmos. Environ. 2011, 45, 7053–7063. [Google Scholar] [CrossRef]
  2. Grange, S.K.; Farren, N.J.; Vaughan, A.R.; Davison, J.; Carslaw, D.C. Post-Dieselgate: Evidence of NOx Emission Reductions Using On-Road Remote Sensing. Environ. Sci. Technol. Lett. 2020, 7, 382–387. [Google Scholar] [CrossRef] [PubMed]
  3. Hao, L.; Yin, H.; Wang, J.; Li, L.; Lu, W.; Wang, H.; Ge, Y. A multi-pronged approach to strengthen diesel vehicle emission monitoring. Environ. Sci. Adv. 2022, 1, 37–46. [Google Scholar] [CrossRef]
  4. Anenberg, S.C.; Miller, J.; Minjares, R.; Du, L.; Henze, D.K.; Lacey, F.; Emberson, L.; Franco, V.; Klimont, Z.; Heyes, C. Impacts and mitigation of excess diesel-related NOx emissions in 11 major vehicle markets. Nature 2017, 545, 467–471. [Google Scholar] [CrossRef] [PubMed]
  5. GB3847-2018; Limits and Measurement Methods for Emissions from Diesel Vehicles under Free Acceleration and Lugdown Cycle. Ministry of Ecology and Environment of the People’s Republic of China (MEEPRC): Beijing, China, 2018. (In Chinese)
  6. Frey, H.C.; Unal, A.; Rouphail, N.M.; Colyar, J.D. On-road measurement of vehicle tailpipe emissions using a portable instrument. J. Air Waste Manag. Assoc. 2003, 53, 992–1002. [Google Scholar] [CrossRef] [Green Version]
  7. Kwon, S.; Park, Y.; Park, J.; Kim, J.; Choi, K.; Cha, J. Characteristics of on-road NOx emissions from Euro 6 light-duty diesel vehicles using a portable emissions measurement system. Sci. Total Environ. 2017, 576, 70–77. [Google Scholar] [CrossRef]
  8. Chamarthi, G.; Sarkar, A.; Baltusis, P.; Laleman, M. Comprehensive Diagnostic Methodology, SAE Technical Paper 2017-01-1685; SAE International: Warrendale, PA, USA, 2017. [Google Scholar] [CrossRef]
  9. Farrugia, M.; Azzopardi, J.P.; Xuereb, E.; Caruana, C.; Farrugia, M. The usefulness of diesel vehicle onboard diagnostics (OBD) information. In Proceedings of the 17th International Conference on Mechatronics-Mechatronika (ME), Prague, Czech Republic, 7–9 December 2016; pp. 1–5. [Google Scholar]
  10. Smit, R.; Kingston, P. Measuring on-road vehicle emissions with multiple instruments including remote sensing. Atmosphere 2019, 10, 516. [Google Scholar] [CrossRef] [Green Version]
  11. Zheng, L.; Ge, Y.; Liu, J.; Liu, Z. Application of Remote Sensing Method in Vehicle Emission Testing. Automot. Eng. 2015, 37, 150–154. (In Chinese) [Google Scholar]
  12. HJ 845-2017; Measurement Method and Specifications for Exhaust Pollutants from In-Use Diesel Vehicles by Remote Sensing Method. Ministry of Ecology and Environment of the People’s Republic of China (MEEPRC): Beijing, China, 2017. (In Chinese)
  13. Ministry of Ecology and Environment of the People’s Republic of China (MEEPRC). China Mobile Source Environmental Management Annual Report; Ministry of Ecology and Environment of the People’s Republic of China (MEEPRC): Beijing, China, 2021. (In Chinese)
  14. Huang, Y.; Yam, Y.; Lee, C.K.C.; Organ, B.; Zhou, J.L.; Surawski, N.C.; Chan, E.F.C.; Hong, G. Tackling nitric oxide emissions from dominant diesel vehicle models using on-road remote sensing technology. Environ. Pollut. 2018, 243, 1177–1185. [Google Scholar] [CrossRef] [PubMed]
  15. Yu, Q.; Tan, J.; Ge, Y.; Hao, L.; Peng, Z. Application of Diesel Particulate Filter on in-use On-road Vehicles. Energy Procedia 2017, 105, 1730–1736. [Google Scholar]
  16. Bishop, G.A.; Starkey, J.R.; Ihlenfeldt, A.; Williams, W.J.; Stedman, D.H. IR long-path photometry: A remote sensing tool for automobile emissions. Anal. Chem. 1989, 61, 671A–677A. [Google Scholar] [CrossRef]
  17. Sjödin, Å.; Andréasson, K. Multi-year remote-sensing measurements of gasoline light-duty vehicle emissions on a freeway ramp. Atmos. Environ. 2000, 34, 4657–4665. [Google Scholar] [CrossRef]
  18. Bishop, G.A.; Stedman, D.H. The recession of 2008 and its impact on light-duty vehicle emissions in three western United States cities. Environ. Sci. Technol. 2014, 48, 14822–14827. [Google Scholar] [CrossRef]
  19. Ropkins, K.; DeFries, T.H.; Pope, F.; Green, D.C.; Kemper, J.; Kishan, S.; Fuller, G.W.; Li, H.; Sidebottom, J.; Crilley, L.R.; et al. Evaluation of EDAR vehicle emis-sions remote sensing technology. Sci. Total Environ. 2017, 609, 1464–1474. [Google Scholar] [CrossRef] [PubMed] [Green Version]
  20. Bernard, Y.; Dallmann, T.; Tietge, U.; Badshah, H.; German, J. 2020 TRUE U.S. Database Case Study: Remote Sensing of Heavy-Duty Vehicle Emissions in the United States. Technical Report. International Council on Clean Transportation. Available online: www.theicct.org (accessed on 1 October 2020).
  21. Epa/Aa/Amd/Eig/96-01; User Guide and Description for Interim Remote Sensing Program Credit Utility; USEPA: Washington, DC, USA, 1996.
  22. Epa420-P-98-007; Program User Guide for Interim Vehicle Clean Screen Credit Utility; USEPA: Washington, DC, USA, 1998.
  23. Huang, Y.; Organ, B.; Zhou, J.L.; Surawski, N.C.; Yam, Y.S.; Chan, E.F. Characterisation of diesel vehicle emissions and determination of remote sensing cutpoints for diesel highemitters. Environ. Pollut. 2019, 252, 31–38. [Google Scholar] [CrossRef]
  24. Yang, L.; Bernard, Y.; Dallmann, T.; Technical Considerations for Choosing a Metric for Vehicle Remote-Sensing Regulations. Technical Report. International Council on Clean Transportation. 2019. Available online: www.theicct.org (accessed on 1 November 2019).
  25. Lee, T.; Frey, H.C. Evaluation of representativeness of site-specific fuel-based vehicle emission factors for route average emissions. Environ. Sci. Technol. 2012, 46, 6867–6873. [Google Scholar] [CrossRef]
  26. Huang, Y.; Surawski, N.C.; Yam, Y.S.; Lee, C.K.; Zhou, J.L.; Organ, B.; Chan, E.F. Re-evaluating effectiveness of vehicle emission control programmes targeting high-emitters. Nat. Sustain. 2020, 3, 904–907. [Google Scholar] [CrossRef]
  27. Davison, J.; Bernard, Y.; Borken-Kleefeld, J.; Farren, N.J.; Carslaw, D.C. Distance-based emission factors from vehicle emission remote sensing measurements. Sci. Total Environ. 2020, 739, 139688. [Google Scholar] [CrossRef] [PubMed]
  28. Hao, L.; Yin, H.; Wang, J.; Wang, X.; Ge, Y. Remote sensing of NO emission from light-duty diesel vehicle. Atmos. Environ. 2020, 242, 117799. [Google Scholar] [CrossRef]
  29. Chan, T.L.; Ning, Z.; Leung, C.W.; Cheung, C.S.; Hung, W.T.; Dong, G. On-road remote sensing of petrol vehicle emissions measurement and emission factors estimation in Hong Kong. Atmos. Environ. 2004, 38, 2055–2066. [Google Scholar] [CrossRef]
  30. Pokharel, S.S.; Bishop, G.A.; Stedman, D.H. An on-road motor vehicle emissions inventory for Denver: An efficient alternative to modeling. Atmos. Environ. 2002, 36, 5177–5184. [Google Scholar] [CrossRef]
  31. Schifter, I.; Diaz, L.; Mugica, V.; Lopez-Salinas, E. Fuel-based motor vehicle emission inventory for the metropolitan area of Mexico City. Atmos. Environ. 2005, 39, 931–940. [Google Scholar] [CrossRef]
Figure 1. Measurement of diesel vehicle emissions by RSD and PEMS. (a) Schematic diagram of RSD and PEMS layout. (b) Instrument layout and installation. 1. License plate camera. 2. Remote sensing system. 3. Weather station. 4. Light source and detector. 5. Reflector. 6. Speedometer. 7. Exhaust flow meter. 8. Portable Emission Measurement System (PEMS). 9. Global positioning system. 10. Weather station.
Figure 1. Measurement of diesel vehicle emissions by RSD and PEMS. (a) Schematic diagram of RSD and PEMS layout. (b) Instrument layout and installation. 1. License plate camera. 2. Remote sensing system. 3. Weather station. 4. Light source and detector. 5. Reflector. 6. Speedometer. 7. Exhaust flow meter. 8. Portable Emission Measurement System (PEMS). 9. Global positioning system. 10. Weather station.
Atmosphere 13 01100 g001
Figure 2. Excess air coefficient map as a function of vehicle speed and acceleration for heavy duty diesel truck.
Figure 2. Excess air coefficient map as a function of vehicle speed and acceleration for heavy duty diesel truck.
Atmosphere 13 01100 g002
Figure 3. Calculation procedure for remote sensing of tailpipe emission concentrations from diesel vehicles.
Figure 3. Calculation procedure for remote sensing of tailpipe emission concentrations from diesel vehicles.
Atmosphere 13 01100 g003
Figure 4. Remote sensing results of NO and CO2 emissions from a China-V heavy-duty diesel truck. (a) Remote sensing results of NO and CO2. (b) Concentration ratios of NO to CO2.
Figure 4. Remote sensing results of NO and CO2 emissions from a China-V heavy-duty diesel truck. (a) Remote sensing results of NO and CO2. (b) Concentration ratios of NO to CO2.
Atmosphere 13 01100 g004
Figure 5. Remote sensing results of NO and CO2 emissions from China-VI heavy-duty diesel truck. (a)Remote sensing results of NO and CO2. (b) Concentration ratios of NO to CO2.
Figure 5. Remote sensing results of NO and CO2 emissions from China-VI heavy-duty diesel truck. (a)Remote sensing results of NO and CO2. (b) Concentration ratios of NO to CO2.
Atmosphere 13 01100 g005
Figure 6. Fuel-based NO emission factors of heavy-duty diesel trucks. (a) China-V heavy-duty diesel truck. (b) China-VI heavy-duty diesel truck.
Figure 6. Fuel-based NO emission factors of heavy-duty diesel trucks. (a) China-V heavy-duty diesel truck. (b) China-VI heavy-duty diesel truck.
Atmosphere 13 01100 g006
Figure 7. Comparison of the tested CO2 and NO results of China-V heavy duty diesel truck between RSD and PEMS. (a) CO2. (b) NO.
Figure 7. Comparison of the tested CO2 and NO results of China-V heavy duty diesel truck between RSD and PEMS. (a) CO2. (b) NO.
Atmosphere 13 01100 g007
Figure 8. Comparison of the tested CO2 and NO emissions of China-VI heavy-duty diesel truck between RSD and PEMS. (a) CO2. (b) NO.
Figure 8. Comparison of the tested CO2 and NO emissions of China-VI heavy-duty diesel truck between RSD and PEMS. (a) CO2. (b) NO.
Atmosphere 13 01100 g008
Table 1. Technical specifications of BDH-1Z system.
Table 1. Technical specifications of BDH-1Z system.
ItemRange of MeasurementUnitAccuracy
CO 0–10%±0.25%
CO20–16%±0.25%
HC 0–20,00010−6±250 × 10−6
NO 0–10,00010−6±250 × 10−6
NO20–10,00010−6±250 × 10−6
Vehicle peed 10–120km·h−1±1.6 km·h−1
Table 2. Technical parameters of OBS-ONE analyzer.
Table 2. Technical parameters of OBS-ONE analyzer.
Types of Gaseous ComponentsMeasuring PrincipleRange of MeasurementUnitResolution
CONDIR0–10%1
THCHFID35010−60.1
CO2NDIR0–2010−60.01
NONDUV300010−60.1
NO2NDUV300010−60.1
Table 3. Specifications of the tested diesel vehicles.
Table 3. Specifications of the tested diesel vehicles.
No of VehicleEmission LevelFuel TypeVehicle TypeAfter Treatment SystemMileage
/km
Gross Weight
/kg
Cargo Weight
/kg
Cylinder NumberSwept Volume
/L
Maximum Power
/kW
1China-Vdieselheavy-duty diesel truckDOC + SCR37684495221543.0110
2China-VIdieselHeavy-duty diesel truckEGR + DOC + DPF + SCR+ ASC88,52335,0006800611.8294
DOC: Diesel Oxidation Catalyst; SCR: Selective Catalytic Reduction; EGRE: Exhaust Gas Recirculation; DPF: Diesel Particulate Filter; ASC: Ammonia slip catalyst.
Publisher’s Note: MDPI stays neutral with regard to jurisdictional claims in published maps and institutional affiliations.

Share and Cite

MDPI and ACS Style

Hao, L.; Yin, H.; Wang, J.; Tian, M.; Wang, X.; Ge, Y.; Bernard, Y.; Sjödin, Å. Research on Analysis Method of Remote Sensing Results of NO Emission from Diesel Vehicles. Atmosphere 2022, 13, 1100. https://doi.org/10.3390/atmos13071100

AMA Style

Hao L, Yin H, Wang J, Tian M, Wang X, Ge Y, Bernard Y, Sjödin Å. Research on Analysis Method of Remote Sensing Results of NO Emission from Diesel Vehicles. Atmosphere. 2022; 13(7):1100. https://doi.org/10.3390/atmos13071100

Chicago/Turabian Style

Hao, Lijun, Hang Yin, Junfang Wang, Miao Tian, Xiaohu Wang, Yunshan Ge, Yoann Bernard, and Åke Sjödin. 2022. "Research on Analysis Method of Remote Sensing Results of NO Emission from Diesel Vehicles" Atmosphere 13, no. 7: 1100. https://doi.org/10.3390/atmos13071100

APA Style

Hao, L., Yin, H., Wang, J., Tian, M., Wang, X., Ge, Y., Bernard, Y., & Sjödin, Å. (2022). Research on Analysis Method of Remote Sensing Results of NO Emission from Diesel Vehicles. Atmosphere, 13(7), 1100. https://doi.org/10.3390/atmos13071100

Note that from the first issue of 2016, this journal uses article numbers instead of page numbers. See further details here.

Article Metrics

Back to TopTop