Air Quality in Two Northern Greek Cities Revealed by Their Tropospheric NO2 Levels
Abstract
:1. Introduction
2. Materials and Methods
2.1. Two Northern Greece Cities
2.2. MAX-DOAS Measurements
2.3. S5P/TROPOMI Observations
2.4. LOTOS-EUROS Simulations
3. Results
3.1. Thessaloniki Metropolitan Area
3.1.1. Spatial Variability within the City
3.1.2. Time Series and Diurnal Variability
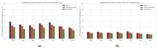
3.1.3. Day-of-Week Variability
3.2. Ioannina City and Environs
3.2.1. Spatial Variability within the City
3.2.2. Time Series and Diurnal Variability
3.2.3. Day-of-Week Variability
4. Conclusions
- ▪
- A clear seasonal pattern, with high NO2 levels during wintertime and lower NO2 levels in summer was found, clearly reflecting the effect of the high photochemistry strengths during the main sunlight summer months over Greece, by all three systems.
- ▪
- A marked distinction between locations with high emitting sources and clean locations around the urban sprawl were reported by both the space-borne observations and the model simulations.
- ▪
- The expected NO2 diurnal variability, less pronounced during wintertime but quite strong during summertime, was seen in both the ground-based measurements as well as the model simulations.
- ▪
- All three systems identified a discernible day-of-week variability with the lowest levels reported for Sundays in both seasons, reflecting the effect of reduced traffic emissions in both Greek cities.
- ▪
- The effect of the small scale wind patterns around the city of Thessaloniki and its bay was divulged in both the space-borne observations and the model simulations. The continuous transport of the pollutant in nearby locations may be responsible for a constant background NO2 level, which cannot be assessed by the air quality monitoring stations that are located within the city boundaries.
- ▪
- Extremely high NO2 levels during the night-time hours are simulated by the CTM which were unexpected considering the relatively low NO2 loads over the two cities were reported for the first time. The main physicochemical mechanism behind these enhancements should be investigated so as to assess its representativeness to the true situation.
Author Contributions
Funding
Institutional Review Board Statement
Informed Consent Statement
Data Availability Statement
Acknowledgments
Conflicts of Interest
Appendix A



References
- World Health Organization, WHO. Ambient Air Pollution: A Global Assessment of Exposure and Burden of Disease; World Health Organization: Geneva, Switzerland, 2016; ISBN 9789241511353. Available online: https://apps.who.int/iris/handle/10665/250141 (accessed on 27 August 2021).
- European Environmental Agency, EEA. Air Quality in Europe—2018 Report; Publications Office of the European Union: Luxembourg, 2020; ISBN 978-92-9213-989-6. ISSN 1977-8449. Available online: https://www.eea.europa.eu/publications/air-quality-in-europe-2018 (accessed on 18 November 2021). [CrossRef]
- European Environmental Agency, EEA. Air Quality in Europe—2020 Report; Publications Office of the European Union: Luxembourg, 2020; ISBN 978-92-9480-292-7. ISSN 1977-8449. Available online: https://www.eea.europa.eu/publications/air-quality-in-europe-2020-report (accessed on 18 November 2021). [CrossRef]
- European Union, EU. The Environmental Implementation Review 2019, Country Report: Greece. Available online: https://ec.europa.eu/environment/eir/pdf/report_el_en.pdf (accessed on 18 November 2021).
- European Environmental Agency, EEA. Air Quality Data Service. 2022. Available online: https://www.eea.europa.eu/ds_resolveuid/DAS-19-en (accessed on 11 April 2022).
- Seinfeld, J.H.; Pandis, S.N. Atmospheric Chemistry and Physics: From Air Pollution to Climate Change, 3rd ed.; John Wiley & Sons, Inc.: Hoboken, NJ, USA, 2016; ISBN 978-1-118-94740-1. [Google Scholar]
- Moussiopoulos, N.; Papalexiou, S.; Sahm, P. Wind flow and photochemical air pollution in Thessaloniki, Greece. Part I: Simulations with the European Zooming Model. Environ. Model. Softw. 2006, 21, 1741–1751. [Google Scholar] [CrossRef]
- Poupkou, A.; Nastos, P.; Melas, D.; Zerefos, C. Climatology of Discomfort Index and Air Quality Index in a Large Urban Mediterranean Agglomeration. Water Air Soil Pollut. 2011, 222, 163–183. [Google Scholar] [CrossRef]
- Fameli, K.M.; Assimakopoulos, V.D. Development of a road transport emission inventory for Greece and the Greater Athens Area: Effects of important parameters. Sci. Total Environ. 2015, 505, 770–786. [Google Scholar] [CrossRef] [Green Version]
- Moussiopoulos, Ν.; Vlachokostas, C.; Tsilingiridis, G.; Douros, I.; Hourdakis, E.; Naneris, C.; Sidiropoulos, C. Air quality status in Greater Thessaloniki Area and the emission reductions needed for attaining the EU air quality legislation. Sci. Total Environ. 2009, 407, 1268–1285. [Google Scholar] [CrossRef]
- Koukouli, M.E.; Skoulidou, I.; Karavias, A.; Parcharidis, I.; Balis, D.; Manders, A.; Segers, A.; Eskes, H.; Van Geffen, J. Sudden changes in nitrogen dioxide emissions over Greece due to lockdown after the outbreak of COVID-19. Atmos. Chem. Phys. 2021, 21, 1759–1774. [Google Scholar] [CrossRef]
- Akritidis, D.; Zanis, P.; Georgoulias, A.K.; Papakosta, E.; Tzoumaka, P.; Kelessis, A. Implications of COVID-19 Restriction Measures in Urban Air Quality of Thessaloniki, Greece: A Machine Learning Approach. Atmosphere 2021, 12, 1500. [Google Scholar] [CrossRef]
- Liora, N.; Poupkou, A.; Kontos, S.; Meleti, C.; Chrysostomou, K.; Aifadopoulou, G.; Zountsa, S.; Kalogirou, C.; Chacartegui, R.; Liguori, F.; et al. Estimating Road Transport Pollutant Emissions Under Traffic-Congested Conditions with an Integrated Modelling Tool—Emissions Reduction Scenarios Analysis. Emiss. Control Sci. Technol. 2021, 7, 137–152. [Google Scholar] [CrossRef]
- Sindosi, O.A.; Markozannes, G.; Rizos, E.; Ntzani, E. Effects of economic crisis on air quality in Ioannina, Greece. J. Environ. Sci. Health Part A 2019, 54, 768–781. [Google Scholar] [CrossRef] [PubMed]
- Stavroulas, I.; Grivas, G.; Michalopoulos, P.; Liakakou, E.; Bougiatioti, A.; Kalkavouras, P.; Fameli, K.M.; Hatzianastassiou, N.; Mihalopoulos, N.; Gerasopoulos, E. Field Evaluation of Low-Cost PM Sensors (Purple Air PA-II) Under Variable Urban Air Quality Conditions, in Greece. Atmosphere 2020, 11, 926. [Google Scholar] [CrossRef]
- Pinardi, G.; Van Roozendael, M.; Abuhassan, N.; Adams, C.; Cede, A.; Clémer, K.; Fayt, C.; Frieß, U.; Gil, M.; Herman, J.; et al. MAXDOAS formaldehyde slant column measurements during CINDI: Intercomparison and analysis improvement. Atmos. Meas. Tech. 2013, 6, 167–185. [Google Scholar] [CrossRef] [Green Version]
- Wang, Y.; Lampel, J.; Xie, P.; Beirle, S.; Li, A.; Wu, D.; Wagner, T. Ground-based MAX-DOAS observations of tropospheric aerosols, NO2, SO2 and HCHO in Wuxi, China, from 2011 to 2014. Atmos. Chem. Phys. 2017, 17, 2189–2215. [Google Scholar] [CrossRef] [Green Version]
- Chan, K.L.; Wiegner, M.; van Geffen, J.; De Smedt, I.; Alberti, C.; Cheng, Z.; Ye, S.; Wenig, M. MAX-DOAS measurements of tropospheric NO2 and HCHO in Munich and the comparison to OMI and TROPOMI satellite observations. Atmos. Meas. Tech. 2020, 13, 4499–4520. [Google Scholar] [CrossRef]
- Hönninger, G.; von Friedeburg, C.; Platt, U. Multi axis differential optical absorption spectroscopy (MAX-DOAS). Atmos. Chem. Phys. 2004, 4, 231–254. [Google Scholar] [CrossRef] [Green Version]
- Platt, U.; Stutz, J. Differential Optical Absorption Spectroscopy; Springer: Berlin/Heidelberg, Germany, 2008. [Google Scholar] [CrossRef] [Green Version]
- Drosoglou, T.; Bais, A.F.; Zyrichidou, I.; Kouremeti, N.; Poupkou, A.; Liora, N.; Giannaros, C.; Koukouli, M.E.; Balis, D.; Melas, D. Comparisons of ground-based tropospheric NO2 MAX-DOAS measurements to satellite observations with the aid of an air quality model over the Thessaloniki area, Greece. Atmos. Chem. Phys. 2017, 17, 5829–5849. [Google Scholar] [CrossRef] [Green Version]
- Drosoglou, T.; Koukouli, M.E.; Kouremeti, N.; Bais, A.F.; Zyrichidou, I.; Balis, D.; van der A, R.J.; Xu, J.; Li, A. MAXDOAS NO2 observations over Guangzhou, China; ground-based and satellite comparisons. Atmos. Meas. Tech. 2018, 11, 2239–2255. [Google Scholar] [CrossRef] [Green Version]
- Gkertsi, F.; Bais, A.; Kouremeti, N.; Drosoglou, T.; Fountoulakis, I.; Fragkos, K. DOAS-based total column ozone retrieval from Phaethon system. Atmos. Environ. 2018, 180, 51–58. [Google Scholar] [CrossRef]
- Karagkiozidis, D.; Friedrich, M.M.; Beirle, S.; Bais, A.; Hendrick, F.; Voudouri, K.A.; Fountoulakis, I.; Karanikolas, A.; Tzoumaka, P.; Van Roozendael, M.; et al. Retrieval of tropospheric aerosol, NO2, and HCHO vertical profiles from MAX-DOAS observations over Thessaloniki, Greece: Intercomparison and validation of two inversion algorithms. Atmos. Meas. Tech. 2022, 15, 1269–1301. [Google Scholar] [CrossRef]
- Friedrich, M.M.; Rivera, C.; Stremme, W.; Ojeda, Z.; Arellano, J.; Bezanilla, A.; García-Reynoso, J.A.; Grutter, M. NO2 vertical profiles and column densities from MAX-DOAS measurements in Mexico City. Atmos. Meas. Tech. 2019, 12, 2545–2565. [Google Scholar] [CrossRef] [Green Version]
- Veefkind, J.P.; Aben, I.; McMullan, K.; Förster, H.; de Vries, J.; Otter, G.; Claas, J.; Eskes, H.J.; de Haan, J.F.; Kleipool, Q.; et al. TROPOMI on the ESA Sentinel-5 Precursor: A GMES mission for global observations of the atmospheric composition for climate, air quality and ozone layer applications. Remote Sens. Environ. 2012, 120, 70–83. [Google Scholar] [CrossRef]
- van Geffen, J.H.G.M.; Eskes, H.J.; Boersma, K.F.; Maasakkers, J.D.; Veefkind, J.P. TROPOMI ATBD of the Total and Tropospheric NO2 Data Products, Report S5P-KNMI-L2-0005-RP; Issue 2.2.0; KNMI: De Bilt, The Netherlands, 16 June 2021; Available online: https://sentinel.esa.int/documents/247904/2476257/Sentinel-5P-TROPOMI-ATBD-NO2-data-products (accessed on 26 April 2022).
- van Geffen, J.; Boersma, K.F.; Eskes, H.; Sneep, M.; Ter Linden, M.; Zara, M.; Veefkind, J.P. S5P TROPOMI NO2 slant column retrieval: Method, stability, uncertainties and comparisons with OMI. Atmos. Meas. Tech. 2020, 13, 1315–1335. [Google Scholar] [CrossRef] [Green Version]
- S5P MPC Routine Operations Consolidated Validation Report (ROCVR). Quarterly Validation Report of the Copernicus Sentinel-5 Precursor Operational Data Products #13: April 2018–December 2021, version 06.0.1, S5P-MPC-IASB-ROCVR-13.01.00-20211217; Lambert, J.-C., Keppens, A., Eds.; Sentinel-5 Precursor Mission Performance Centre, 17 December 2021; Available online: https://s5p-mpc-vdaf.aeronomie.be/ProjectDir/reports//pdf/S5P-MPC-IASB-ROCVR-13.00.10-20211217_signed.pdf (accessed on 26 April 2022).
- Manders, A.M.M.; Builtjes, P.J.H.; Curier, L.; Denier van der Gon, H.A.C.; Hendriks, C.; Jonkers, S.; Kranenburg, R.; Kuenen, J.J.P.; Segers, A.J.; Timmermans, R.M.A.; et al. Curriculum vitae of the LOTOS–EUROS (v2.0) chemistry transport model. Geosci. Model Dev. 2017, 10, 4145–4173. [Google Scholar] [CrossRef] [Green Version]
- Lopez-Restrepo, S.; Yarce, A.; Pinel, N.; Quintero, O.L.; Segers, A.; Heemink, A.W. Urban Air Quality, Modeling Using Low-Cost Sensor Network and Data Assimilation in the Aburrá Valley, Colombia. Atmosphere 2021, 12, 91. [Google Scholar] [CrossRef]
- Blechschmidt, A.-M.; Arteta, J.; Coman, A.; Curier, L.; Eskes, H.; Foret, G.; Gielen, C.; Hendrick, F.; Marécal, V.; Meleux, F.; et al. Comparison of tropospheric NO2 columns from MAX-DOAS retrievals and regional air quality model simulations. Atmos. Chem. Phys. 2020, 20, 2795–2823. [Google Scholar] [CrossRef] [Green Version]
- Skoulidou, I.; Koukouli, M.-E.; Manders, A.; Segers, A.; Karagkiozidis, D.; Gratsea, M.; Balis, D.; Bais, A.; Gerasopoulos, E.; Stavrakou, T.; et al. Evaluation of the LOTOS-EUROS NO2 simulations using ground-based measurements and S5P/TROPOMI observations over Greece. Atmos. Chem. Phys. 2021, 21, 5269–5288. [Google Scholar] [CrossRef]
- Gery, M.W.; Whitten, G.Z.; Killus, J.P.; Dodge, M.C. A photochemical kinetics mechanism for urban and regional scale computer modeling. J. Geophys. Res. Earth Surf. 1989, 94, 12925–12956. [Google Scholar] [CrossRef]
- Fountoukis, C.; Nenes, A. ISORROPIA II: A computationally efficient thermodynamic equilibrium model for K+–Ca2+–Mg2+–NH4+–Na+–SO42−–NO3−–Cl−–H2O aerosols. Atmos. Chem. Phys. 2007, 7, 4639–4659. [Google Scholar] [CrossRef] [Green Version]
- Novak, J.H.; Pierce, T.E. Natural emissions of oxidant precursors. Water Air Soil Pollut. 1993, 67, 57–77. [Google Scholar] [CrossRef]
- Beirle, S.; Platt, U.; Wenig, M.; Wagner, T. Weekly cycle of NO2 by GOME measurements: A signature of anthropogenic sources. Atmos. Chem. Phys. 2003, 3, 2225–2232. [Google Scholar] [CrossRef] [Green Version]
- Stavrakou, T.; Müller, J.-F.; Bauwens, M.; Boersma, K.F.; Van Geffen, J. Satellite evidence for changes in the NO2 weekly cycle over large cities. Sci. Rep. 2020, 10, 10066. [Google Scholar] [CrossRef]
- Goldberg, D.L.; Anenberg, S.C.; Kerr, G.H.; Mohegh, A.; Lu, Z.; Streets, D.G. TROPOMI NO 2 in the United States: A Detailed Look at the Annual Averages, Weekly Cycles, Effects of Temperature, and Correlation with Surface NO2 Concentrations. Earth’s Futur. 2021, 9, e2020EF001665. [Google Scholar] [CrossRef]
- Wang, H.; Gong, F.-Y.; Newman, S.; Zeng, Z.-C. Consistent weekly cycles of atmospheric NO2, CO, and CO2 in a North American megacity from ground-based, mountaintop, and satellite measurements. Atmos. Environ. 2022, 268, 118809. [Google Scholar] [CrossRef]
- Ialongo, I.; Virta, H.; Eskes, H.; Hovila, J.; Douros, J. Comparison of TROPOMI/Sentinel-5 Precursor NO2 observations with ground-based measurements in Helsinki. Atmos. Meas. Tech. 2020, 13, 205–218. [Google Scholar] [CrossRef] [Green Version]
- Kuenen, J.J.P.; Visschedijk, A.J.H.; Jozwicka, M.; Denier van der Gon, H.A.C. TNO-MACC_II emission inventory; a multi-year (2003–2009) consistent high-resolution European emission inventory for air quality modelling. Atmos. Chem. Phys. 2014, 14, 10963–10976. [Google Scholar] [CrossRef] [Green Version]
- Kuenen, J.; Dellaert, S.; Visschedijk, A.; Jalkanen, J.-P.; Super, I.; Denier van der Gon, H. CAMS-REG-v4: A state-of-the-art high-resolution European emission inventory for air quality modelling. Earth Syst. Sci. Data 2022, 14, 491–515. [Google Scholar] [CrossRef]
- Guevara, M.; Jorba, O.; Tena, C.; Denier van der Gon, H.; Kuenen, J.; Elguindi, N.; Darras, S.; Granier, C.; Pérez García-Pando, C. Copernicus Atmosphere Monitoring Service TEMPOral profiles (CAMS-TEMPO): Global and European emission temporal profile maps for atmospheric chemistry modelling. Earth Syst. Sci. Data 2021, 13, 367–404. [Google Scholar] [CrossRef]
- ESA. Copernicus Open Access Hub. Available online: https://scihub.copernicus.eu/ (accessed on 12 March 2022).












| Dataset | Temporal Resolution | Spatial Resolution | Strong Points | Limitations |
|---|---|---|---|---|
| TROPOMI/S5P | Once per day | 3.5 × 5.5 km pixel | High spatial coverage | Temporal coverage |
| MAX-DOAS | Every 15 m in daylight | Point location, ~15 km horizontal viewing | High temporal coverage | Spatial coverage |
| LOTOS-EUROS CTM | Every 1 h | Depending on input parameters | High spatiotemporal coverage | Input information |
| Monday | Tuesday | Wednesday | Thursday | Friday | Saturday | Sunday | ||
|---|---|---|---|---|---|---|---|---|
| Winter | TROPOMI | 11.5 ± 5.5% | −2.1 ± 4.0% | −5.7 ± 1.0% | 8.6 ± 1.8% | 15.7 ± 3.8% | −7.8 ± 4.1% | −20.2 ± 1.1% |
| LOTOS-EUROS | −2.5 ± 3.9% | −7.2 ± 2.4% | −3.8 ± 4.1% | 8.3 ± 1.7% | 10.5 ± 2.8% | 9.8 ± 4.0% | −15.2 ± 2.1% | |
| MAX-DOAS | 3.5% | −1.6% | 5.8% | 11.1% | 0.2% | 6.4% | −25.3% | |
| Summer | TROPOMI | 5.8 ± 1.7% | 9.1 ± 1.9% | 0.4 ± 3.6% | 4.6 ± 2.0% | 10.0 ± 4.7% | −7.7 ± 1.2% | −22.1 ± 2.5% |
| LOTOS-EUROS | 4.3 ± 2.0% | 1.1 ± 0.9% | 4.8 ± 1.7% | 5.0 ± 1.6% | 6.0 ± 4.0% | −13.4 ± 3.7% | −7.8 ± 0.9% | |
| MAX-DOAS | 6.2% | 16.4% | 3.6% | 7.2% | 13% | −13.4% | −33.1% |
| Monday | Tuesday | Wednesday | Thursday | Friday | Saturday | Sunday | ||
|---|---|---|---|---|---|---|---|---|
| Winter | TROPOMI | 1.1 ± 1.1% | −2.9 ± 1.0% | 9.4 ± 1.2% | −3.3 ± 5.5% | 8.6 ± 0.7% | 3.4 ± 5.6% | −16.3 ± 0.5% |
| LOTOS-EUROS | −0.1 ± 4.2% | 3.9 ± 0.8% | 9.5 ± 6.3% | 2.8 ± 0.2% | 7.3 ± 2.8% | −6.2 ± 1.1% | −17.3 ± 2.8% | |
| MAX-DOAS | 24.4% | 23.4% | 9.8% | −10.7% | 0.1% | 2% | −49% | |
| Summer | TROPOMI | 15.2 ± 2.8% | −10.0 ± 1.3% | −0.1 ± 4.8% | 9.8 ± 4.7% | 11.1 ± 1.2% | −4.6 ± 4.6% | −21.5 ± 5.2% |
| LOTOS-EUROS | 2.0 ± 0.9% | −0.6 ± 1.9% | 3.6 ± 1.6% | 4.4 ± 0.8% | 2.4 ± 0.5% | −5.0 ± 0.3% | −6.8 ± 1.2% | |
| MAX-DOAS | n/a |
Publisher’s Note: MDPI stays neutral with regard to jurisdictional claims in published maps and institutional affiliations. |
© 2022 by the authors. Licensee MDPI, Basel, Switzerland. This article is an open access article distributed under the terms and conditions of the Creative Commons Attribution (CC BY) license (https://creativecommons.org/licenses/by/4.0/).
Share and Cite
Koukouli, M.-E.; Pseftogkas, A.; Karagkiozidis, D.; Skoulidou, I.; Drosoglou, T.; Balis, D.; Bais, A.; Melas, D.; Hatzianastassiou, N. Air Quality in Two Northern Greek Cities Revealed by Their Tropospheric NO2 Levels. Atmosphere 2022, 13, 840. https://doi.org/10.3390/atmos13050840
Koukouli M-E, Pseftogkas A, Karagkiozidis D, Skoulidou I, Drosoglou T, Balis D, Bais A, Melas D, Hatzianastassiou N. Air Quality in Two Northern Greek Cities Revealed by Their Tropospheric NO2 Levels. Atmosphere. 2022; 13(5):840. https://doi.org/10.3390/atmos13050840
Chicago/Turabian StyleKoukouli, Maria-Elissavet, Andreas Pseftogkas, Dimitris Karagkiozidis, Ioanna Skoulidou, Theano Drosoglou, Dimitrios Balis, Alkiviadis Bais, Dimitrios Melas, and Nikos Hatzianastassiou. 2022. "Air Quality in Two Northern Greek Cities Revealed by Their Tropospheric NO2 Levels" Atmosphere 13, no. 5: 840. https://doi.org/10.3390/atmos13050840
APA StyleKoukouli, M.-E., Pseftogkas, A., Karagkiozidis, D., Skoulidou, I., Drosoglou, T., Balis, D., Bais, A., Melas, D., & Hatzianastassiou, N. (2022). Air Quality in Two Northern Greek Cities Revealed by Their Tropospheric NO2 Levels. Atmosphere, 13(5), 840. https://doi.org/10.3390/atmos13050840

