Tree-Ring-Based Drought Reconstruction in Northern North China over the Past Century
Abstract
1. Introduction
2. Materials and Methods
2.1. Study Area
2.2. Tree-Ring Data
2.3. Climatic Data
2.4. Statistical Methods
3. Results
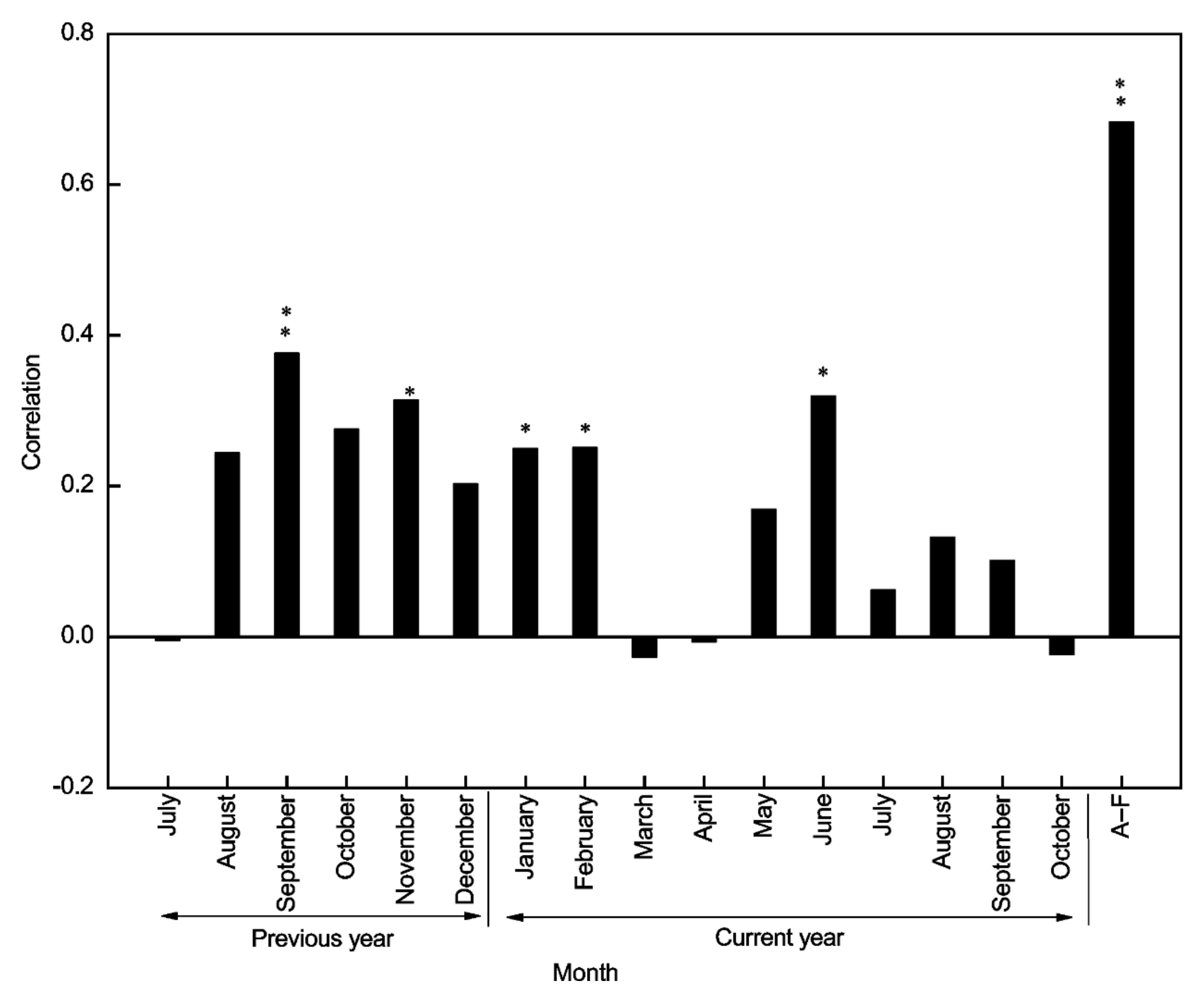
3.1. Climate–Growth Response
3.2. Transfer Function and Verification
3.3. SPEI Reconstruction
3.4. Spatial Representativeness and Periodicities
4. Discussion
4.1. Climate–Growth Relationship
4.2. Comparison with Other Proxy Records
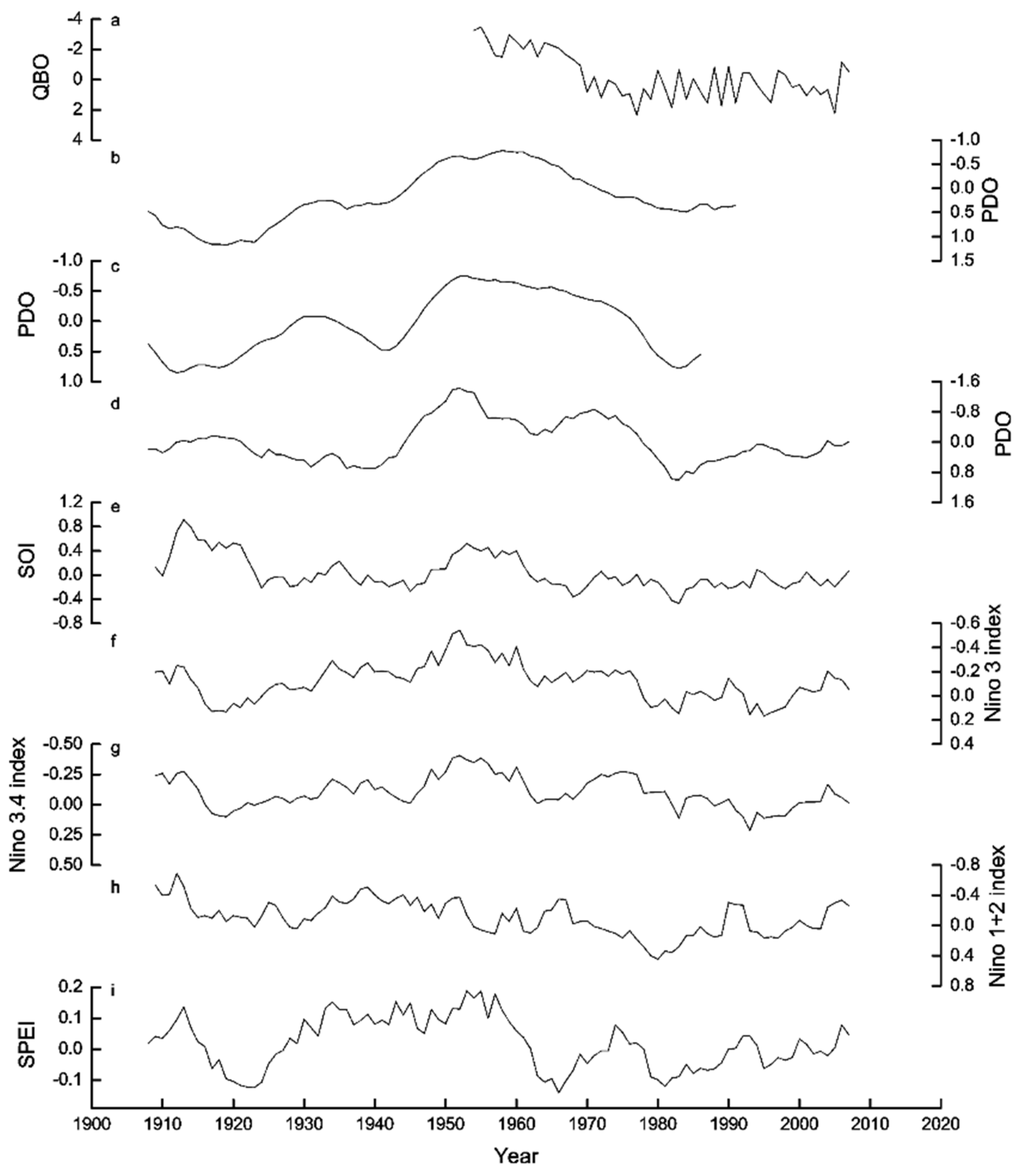
4.3. Periodicities and Teleconnection
5. Conclusions
Author Contributions
Funding
Institutional Review Board Statement
Informed Consent Statement
Data Availability Statement
Conflicts of Interest
References
- Jackson, L.S.; Crook, J.A.; Forster, P.M. An intensified hydrological cycle in the simulation of geoengineering by cirrus cloud thinning using ice crystal fall speed changes. J. Geophys. Res. Atmos. 2016, 121, 6822–6840. [Google Scholar] [CrossRef]
- Trenberth, K.E. Attribution of climate variations and trends to human influences and natural variability. WIREs Clim. Change 2011, 2, 925–930. [Google Scholar] [CrossRef]
- Vizy, E.; Cook, K. Mid-Twenty-First-Century Changes in Extreme Events over Northern and Tropical Africa. J. Clim. 2012, 25, 5748–5767. [Google Scholar] [CrossRef]
- Zhang, R.; Shang, H.; Yu, S.; He, Q.; Yuan, Y.; Bolatov, K.; Mambetov, B.T. Tree-ring-based precipitation reconstruction in southern Kazakhstan, reveals drought variability since A.D. 1770. Int. J. Climatol. 2017, 37, 741–750. [Google Scholar] [CrossRef]
- Zhang, R.; Qin, L.; Yuan, Y.; Gou, X.; Zou, C.; Yang, Q.; Shang, H.; Fan, Z. Radial growth response of Populus xjrtyschensis to environmental factors and a century-long reconstruction of summer streamflow for the Tuoshigan River, northwestern China. Ecol. Indic. 2016, 71, 191–197. [Google Scholar] [CrossRef]
- Yuan, Z.; Yan, D.; Yang, Z.; Yin, J.; Yuan, Y. Temporal and spatial variability of drought in Huang-Huai-Hai River Basin, China. Theor. Appl. Climatol. 2014, 122, 755–769. [Google Scholar] [CrossRef]
- Mcdowell, N.G.; Allen, C.D. Darcy’s law predicts widespread forest mortality under climate warming. Nat. Clim. Change 2015, 5, 669–672. [Google Scholar] [CrossRef]
- Liu, Y.; Wang, C.Y.; Hao, W.J.; Song, H.M.; Cai, Q.F.; Tian, H.; Sun, B.; Linderholm, H.W. Tree-ring-based annual precipita-tion reconstruction in Kalaqin, Inner Mongolia for the last 238 years. Chin. Sci. Bull. 2011, 56, 2995–3002. [Google Scholar] [CrossRef]
- Wang, Y.; Liu, Y.; Zhang, H.; Wang, H.; Guo, J.; Zhang, E.; Wang, J.; Li, X. Temperature variability inferred from tree-ring records in Weichang region, China, and its teleconnection with large-scale climate forcing. Clim. Dyn. 2019, 52, 1533–1545. [Google Scholar] [CrossRef]
- Ma, Y.; Liu, Y.; Song, H.; Sun, J.; Lei, Y.; Wang, Y. A Standardized Precipitation Evapotranspiration Index Reconstruction in the Taihe Mountains Using Tree-Ring Widths for the Last 283 Years. PLoS ONE 2015, 10, e0133605. [Google Scholar] [CrossRef]
- Vicente-Serrano, S.; Beguería, S.; López-Moreno, J.I. A Multiscalar Drought Index Sensitive to Global Warming: The Standardized Precipitation Evapotranspiration Index. J. Clim. 2010, 23, 1696–1718. [Google Scholar] [CrossRef]
- Nakanyete, N.; Shikangalah, R.N.; Vatuva, A. Drought as a Disaster in the Namibian Context. Int. J. Sci. Res. 2020, 9, 377–386. [Google Scholar]
- Dai, A.; Trenberth, K.E.; Qian, T.T. A global dataset of Palmer Drought Severity Index for 1870-2002, Relationship with soil moisture and effects of surface warming. J. Hydrometeorol. 2004, 5, 1117–1130. [Google Scholar] [CrossRef]
- Ionita, M.; Scholz, P.; Chelcea, S.M. Spatio-temporal variability of dryness/wetness in the Danube River Basin, Drought Variability Danube. Hydrol. Process. 2015, 29, 4483–4497. [Google Scholar] [CrossRef]
- Du, J.; Fang, J.; Xu, W.; Shi, P. Analysis of dry/wet conditions using the standardized precipitation index and its potential usefulness for drought/flood monitoring in Hunan Province, China. Stoch. Environ. Res. Risk A 2013, 27, 377–387. [Google Scholar] [CrossRef]
- Wang, Y.; Liu, Y. Reconstruction of March–June precipitation from tree rings in central Liaoning, China. Clim. Dyn. 2017, 49, 3111–3121. [Google Scholar] [CrossRef]
- Peng, J.; Sun, Y.; Chen, M.; He, X.; Davi, N.; Zhang, X.; Li, T.; Zhu, C.; Cai, C.; Chen, Z.J. Tree-ring based precipitation variability since AD 1828 in northwestern Liaoning, China. Quat. Int. 2013, 283, 63–71. [Google Scholar] [CrossRef][Green Version]
- Liu, Y.; Tian, H.; Song, H.M.; Liang, J.M. Tree ring precipitation reconstruction in the Chifeng-Weichang region, China, and East Asian summer monsoon variation since AD 1777. J. Geophys. Res. Atmos. 2010, 115, D06103. [Google Scholar]
- Liu, Y.; Song, H.; Sun, C.; Song, Y.; Cai, Q.; Liu, R.; Lei, Y.; Li, Q. The 600-mm precipitation isoline distinguishes tree-ring width responses to climate in China. Natl. Sci. Rev. 2018, 6, 359–368. [Google Scholar] [CrossRef]
- Li, Q.; Liu, Y.; Nakatsuka, T.; Song, H.; McCarroll, D.; Yang, Y.; Qi, J. The 225-year precipitation variability inferred from tree-ring records in Shanxi Province, the North China, and its teleconnection with Indian summer monsoon. Glob. Planet Change 2015, 132, 11–19. [Google Scholar] [CrossRef]
- Fan, Z.; Thomas, A. Decadal changes of reference crop evapotranspiration attribution, spatial and temporal variability over China 1960–2011. J. Hydrol. 2018, 560, 461–470. [Google Scholar] [CrossRef]
- Abiodun, B.J.; Salami, A.T.; Matthew, O.J.; Odedokun, S. Potential impacts of afforestation on climate change and extreme events in Nigeria. Clim. Dyn. 2013, 41, 277–293. [Google Scholar] [CrossRef]
- Li, L.; She, D.; Zheng, H.; Lin, P.; Yang, Z. Elucidating Diverse Drought Characteristics from Two Meteorological Drought Indices (SPI and SPEI) in China. J. Hydrometeorol. 2020, 21, 1513–1530. [Google Scholar] [CrossRef]
- Sisay, A.; Ayoade, J.; Bello, N. Comparative analyses of SPI and SPEI as drought assessment tools in Tigray Region, Northern Ethiopia. SN Appl. Sci. 2019, 1, 1265. [Google Scholar]
- Liu, N.; Liu, Y.; Bao, G.; Bao, M.; Wang, Y.; Zhang, L.; Ge, Y.; Bao, W.; Tian, H. Drought reconstruction in eastern Hulun Buir steppe, China and its linkages to the sea surface temperatures in the Pacific Ocean. J. Asian Earth Sci. 2016, 115, 298–307. [Google Scholar] [CrossRef]
- Chen, F.; Yuan, Y.; Yu, S.; Zhang, T.; Shang, H.; Zhang, R.; Qin, L.; Fan, Z. A 225-year long drought reconstruction for east Xinjiang based on Siberia larch (Larix sibirica) tree-ring widths, Reveals the recent dry trend of the eastern end of Tien Shan. Quat. Int. 2015, 358, 42–47. [Google Scholar] [CrossRef]
- Martin-Benito, D.; Beeckman, H.; Cañellas, I. Influence of drought on tree rings and tracheid features of Pinus nigra and Pinus sylvestris in a mesic Mediterranean forest. Eur. J. For. Res. 2013, 132, 33–45. [Google Scholar] [CrossRef]
- Ram, S.; Singh, H.; Yadav, R.; Varikoden, H.; Nandargi, S.; Srivastava, M. Variations in vapor pressure and standardized precipitation evapotranspiration index since AD 1861 over the western Himalaya in India, inference from tree ring-width records. Theor. Appl. Climatol. 2020, 140, 157–166. [Google Scholar] [CrossRef]
- Allen, K.; Freund, M.; Palmer, J.; Simkin, R.; Williams, L.; Brookhouse, M.; Cook, E.; Stewart, S.; Baker, P. Hydroclimate extremes in a north Australian drought reconstruction asymmetrically linked with Central Pacific Sea surface temperatures. Glob. Planet Change 2020, 195, 103329. [Google Scholar] [CrossRef]
- Chu, X.; Zhan, J.; Wang, C.; Hameeda, S.; Wang, X. Households’ Willingness to Accept Improved Ecosystem Services and Influencing Factors: Application of Contingent Valuation Method in Bashang Plateau, Hebei Province, China. J. Environ. Manag. 2020, 255, 109925. [Google Scholar] [CrossRef]
- Cook, E.R.; Kairiukstis, L.A. Methods of Dendrochronology; Kluwer Academic Publishers: Dordrecht, The Netherlands, 1990; pp. 1–391. [Google Scholar]
- Fritts, H.C. Tree Rings and Climate; Blackburn Press: Caldwell, NJ, USA, 2001; pp. 1–567. [Google Scholar]
- Holmes, R.L. Computer-assisted quality control in tree-ring dating and measurement. Tree-Ring Bull. 1983, 43, 69–78. [Google Scholar]
- Cook, E.R.; Holmes, R.L. Users Manual for Program ARSTAN; Laboratory of Tree-Ring Research, University of Arizona: Tucson, AZ, USA, 1986; pp. 50–56. [Google Scholar]
- Gazol, A.; Camarero, J.; Gutiérrez, E.; Ionel, P.; Andreu-Hayles, L.; Motta, R.; Nola, P.; Ribas, M.; Sangüesa-Barreda, G.; Urbinati, C.; et al. Distinct effects of climate warming on populations of silver fir (Abies alba) across Europe. J. Biogeogr. 2015, 42, 1150–1162. [Google Scholar] [CrossRef]
- Wigley, T.M.L.; Briffa, K.R.; Jones, P.D. On the average value of correlated time series, with application in dendroclimatology and hydrometeorology. J. Appl. Meteorol. Clim. 1984, 23, 201–213. [Google Scholar] [CrossRef]
- Schrier, G.; Barichivich, J.; Briffa, K.; Jones, P. A scPDSI-based global data set of dry and wet spells for 1901–2009. J. Geophys. Res. Atmos. 2013, 118, 4025–4048. [Google Scholar] [CrossRef]
- Proutsos, N.; Tigkas, D. Growth Response of Endemic Black Pine Trees to Meteorological Variations and Drought Episodes in a Mediterranean Region. Atmosphere 2020, 11, 554. [Google Scholar] [CrossRef]
- Vieira, J.; Nabais, C.; Campelo, F. Extreme Growth Increments Reveal Local and Regional Climatic Signals in Two Pinus pinaster Populations. Front. Plant Sci. 2021, 12, 658777. [Google Scholar] [CrossRef]
- Cook, E.R.; Meko, D.M.; Stahle, D.W.; Cleaveland, M.K. Drought reconstructions for the continental United States. J. Clim. 1999, 12, 1145–1162. [Google Scholar] [CrossRef]
- Fritts, H.C. Reconstructing Large-Scale Climatic Patterns from Tree-Ring Data; The University of Arizona Press: Tucson, AZ, USA, 1991; p. 286. [Google Scholar]
- Liu, N.; Liu, Y.; Bao, G.; Bao, M.; Wang, Y.; Ge, Y.; Zhang, L.; Bao, W.; Tian, H. A tree-ring based reconstruction of summer relative humidity variability in eastern Mongolian Plateau and its associations with the Pacific and Indian Oceans. Palaeogeogr. Palaeoclimatol. Palaeoecol. 2015, 438, 113–123. [Google Scholar] [CrossRef]
- Cai, Q.; Liu, Y.; Wang, Y.; Ma, Y.; Liu, H. Recent warming evidence inferred from a tree-ring-based winter-half year minimum temperature reconstruction in northwestern Yichang, South Central China, and its relation to the large-scale circulation anomalies. Int. J. Biometeorol. 2016, 60, 1885–1896. [Google Scholar] [CrossRef]
- Cook, E.R.; Esper, J.; D’Arrigo, R.D. Extra-tropical Northern Hemisphere land temperature variability over the past 1000 years. Quat. Sci. Rev. 2004, 23, 2063–2074. [Google Scholar] [CrossRef]
- Loader, N.; Young, G.; McCarroll, D.; Wilson, R. Quantifying uncertainty in isotope dendroclimatology. Holocene 2013, 23, 1221–1226. [Google Scholar] [CrossRef]
- Rossi, S.; Morin, H.; Deslauriers, A. Multi-scale Influence of Snowmelt on Xylogenesis of Black Spruce. Arct. Antarct. Alp. Res. 2011, 43, 457–464. [Google Scholar] [CrossRef]
- Mäkinen, H.; Nöjd, P.; Mielikäinen, K. Climatic signal in annual growth variation in damaged and healthy stands of Norway spruce [Picea abies (L.) Karst.] in southern Finland. Trees 2001, 15, 177–185. [Google Scholar] [CrossRef]
- Academy of Meteorological Science. Yearly Charts of Dryness/Wetness in China for the Last 500-Year Period; Maps Press: Beijing, China, 1981; pp. 1–332. (In Chinese) [Google Scholar]
- Zhang, D.; Li, X.; Liang, Y. The sequel “Yearly charts of Dryness/Wetness in China for the last 500-year period (1993–2000AD)”. J. Appl. Meteorol. Sci. 2003, 14, 379–388. (In Chinese) [Google Scholar] [CrossRef]
- Zhang, D.; Liu, C. The sequel “Yearly charts of Dryness/Wetness in China for the last 500-year period (1980–1992AD)”. Meteorol. Mon. 1993, 19, 41–45. (In Chinese) [Google Scholar]
- Xu, Y.; Shao, X.; Liu, J. Research on historical characteristics of flooding and drought in Hebei province. J. Catastrophol. 2001, 16, 53–57. (In Chinese) [Google Scholar]
- Zhang, Q. The variations of the precipitation and water resources in north china since 1880. Plateau Meteorol. 1999, 18, 486–495. (In Chinese) [Google Scholar]
- Liang, E.; Liu, X.; Yuan, Y.; Qin, N.; Fang, X.; Huang, L.; Zhu, H.; Wang, L.; Shao, X. The 1920S Drought Recorded by Tree Rings and Historical Documents in the Semi-Arid and Arid Areas of Northern China. Clim. Change 2006, 79, 403–432. [Google Scholar] [CrossRef]
- Ding, Y. The variability of the Asian summer monsoon. J. Meteorol. Soc. Jpn. 2007, 85, 21–54. [Google Scholar] [CrossRef]
- Butler, A.; Charlton-Perez, A.; Domeisen, D.I.V.; Garfinkel, C.; Gerber, E.P.; Hitchcock, P.; Karpechko, A.Y.; Maycock, A.C.; Sigmond, M.; Simpson, I.; et al. Chapter 11—Sub-seasonal Predictability and the Stratosphere. In Sub-Seasonal to Seasonal Prediction; Robertson, A.W., Vitart, F., Eds.; Elsevier: Amsterdam, The Netherlands, 2019; pp. 223–241. [Google Scholar]
- Liu, C.; Rao, J.; Wu, Z.; Hu, J.; Ma, X. Linkage between ENSO and China Summer Rainfall, Modulation by QBO. J. Trop. Meteorol. 2019, 35, 210–223. (In Chinese) [Google Scholar]
- Xu, H.; Hong, Y.; Hong, B.; Zhu, Y.; Wang, Y. Influence of ENSO on multi-annual temperature variations at Hongyuan, NE Qinghai-Tibet plateau, evidence from δ13C of spruce tree rings. Int. J. Climatol. 2010, 30, 120–126. [Google Scholar] [CrossRef]
- Chen, Y.; Zhao, Y.; Feng, J.; Wang, F. ENSO cycle and climate anomaly in China. Chin. J. Oceanol. Limnol. 2012, 30, 985–1000. [Google Scholar] [CrossRef]
- Gedalof, Z.E.; Mantua, N.J.; Peterson, D.L. A multi-century perspective of variability in the Pacific Decadal Oscillation, new insights from tree rings and coral. Geophys. Res. Lett. 2002, 29, 2204. [Google Scholar] [CrossRef]
- Lin, F.; Tan, L.; Xue, G.; Cheng, X.; Zhang, H.; Cheng, H.; Edwards, R.L.; Wang, T.; Li, D.; Gao, Y.; et al. Seasonality of precipitation recorded in a modern (1907–2008) annually laminated stalagmite from central China. Palaeogeogr. Palaeoclimatol. Palaeoecol. 2021, 576, 110489. [Google Scholar] [CrossRef]
- Shen, C.M.; Wang, W.C.; Gong, W.; Hao, Z.X. A Pacific Decadal Oscillation record since 1470 AD reconstructed from proxy data of summer rainfall over eastern China. Geophys. Res. Lett. 2006, 33, L03702. [Google Scholar] [CrossRef]
- Biondi, F.; Gershunov, A.; Cayan, D.R. North Pacific decadal climate variability since 1661. J. Clim. 2001, 14, 5–10. [Google Scholar] [CrossRef]
- MacDonald, G.M.; Case, R.A. Variations in the Pacific Decadal Oscillation over the past millennium. Geophys. Res. Lett. 2005, 32, L08703. [Google Scholar] [CrossRef]
- Bao, G.; Liu, Y.; Liu, N.; Linderholm, H.W. Drought variability in eastern Mongolian Plateau and its linkages to the large-scale climate forcing. Clim. Dyn. 2015, 44, 717–733. [Google Scholar] [CrossRef]
- Liu, Y.; Zhang, X.; Song, H.; Cai, Q.; Li, Q.; Zhao, B.; Liu, H.; Mei, R. Tree-ring-width-based PDSI reconstruction for central Inner Mongolia, China over the past 333 years. Clim. Dyn. 2016, 48, 867–879. [Google Scholar] [CrossRef]
- Liu, R.; Liu, Y.; Li, Q.; Song, H.; Li, X.; Sun, C.; Cai, Q.; Song, Y. Seasonal Palmer drought severity index reconstruction using tree-ring widths from multiple sites over the central-western Da Hinggan Mountains, China since 1825 AD. Clim. Dyn. 2019, 53, 3661–3674. [Google Scholar] [CrossRef]










| Item | Weichang | Fengning | Duolun | |
|---|---|---|---|---|
| Temperature correlation | Weichang | 1 | 0.885 ** | 0.957 ** |
| Fengning | 1 | 0.930 ** | ||
| Duolun | 1 | |||
| Precipitation correlation | Weichang | 1 | 0.562 ** | 0.600 ** |
| Fengning | 1 | 0.564 ** | ||
| Duolun | 1 | |||
| Calibration | Verification | |||||||||
|---|---|---|---|---|---|---|---|---|---|---|
| Period | r | r2 | t | Period | r | r2 | RE | CE | ST | t |
| 1952–1981 | 0.773 ** | 0.598 | 3.944 ** | 1982–2012 | 0.572 ** | 0.327 | 0.348 | 0.169 | 23+/8− * | 3.661 ** |
| 1983–2012 | 0.571 ** | 0.327 | 3.791 ** | 1951–1982 | 0.772 ** | 0.597 | 0.533 | 0.402 | 23+/8− * | 3.852 ** |
| 1951–2012 | 0.683 ** | 0.466 | 5.070 ** | – | – | – | – | – | – | – |
Publisher’s Note: MDPI stays neutral with regard to jurisdictional claims in published maps and institutional affiliations. |
© 2022 by the authors. Licensee MDPI, Basel, Switzerland. This article is an open access article distributed under the terms and conditions of the Creative Commons Attribution (CC BY) license (https://creativecommons.org/licenses/by/4.0/).
Share and Cite
Wang, Y.; Zhang, H.; Wang, H.; Guo, J.; Zhang, E.; Wang, J.; Li, X.; Wei, H.; Zhou, C. Tree-Ring-Based Drought Reconstruction in Northern North China over the Past Century. Atmosphere 2022, 13, 482. https://doi.org/10.3390/atmos13030482
Wang Y, Zhang H, Wang H, Guo J, Zhang E, Wang J, Li X, Wei H, Zhou C. Tree-Ring-Based Drought Reconstruction in Northern North China over the Past Century. Atmosphere. 2022; 13(3):482. https://doi.org/10.3390/atmos13030482
Chicago/Turabian StyleWang, Yanchao, Huifang Zhang, Hui Wang, Jingli Guo, Erliang Zhang, Jun Wang, Xiao Li, Haoliang Wei, and Changliang Zhou. 2022. "Tree-Ring-Based Drought Reconstruction in Northern North China over the Past Century" Atmosphere 13, no. 3: 482. https://doi.org/10.3390/atmos13030482
APA StyleWang, Y., Zhang, H., Wang, H., Guo, J., Zhang, E., Wang, J., Li, X., Wei, H., & Zhou, C. (2022). Tree-Ring-Based Drought Reconstruction in Northern North China over the Past Century. Atmosphere, 13(3), 482. https://doi.org/10.3390/atmos13030482

