Does Below-Above Canopy Air Mass Decoupling Impact Temperate Floodplain Forest CO2 Exchange?
Abstract
:1. Introduction
2. Materials and Methods
2.1. Site Description and Characteristics
2.2. Instrumentation
2.3. Data Handling
2.3.1. Turbulent Flux Calculation and Post-Processing
2.3.2. CO2 Flux Gap-Filling and Partitioning
2.3.3. Storage Flux Calculation
2.3.4. Filtering Approaches to Address Decoupling Effects on CO2 Fluxes
2.3.5. Net Ecosystem CO2 Exchange
3. Results
3.1. Meteorological Conditions
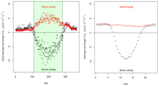
3.2. Carbon Exchange Dynamics during the Study Years
3.3. Influence of Decoupling on above Canopy Derived Carbon Fluxes in the Study Years 2019–2020
4. Discussion
5. Summary and Conclusions
Author Contributions
Funding
Institutional Review Board Statement
Informed Consent Statement
Data Availability Statement
Acknowledgments
Conflicts of Interest
References
- Schnitzler, A.; Hale, B.W.; Alsum, E. Biodiversity of floodplain forests in Europe and eastern North America: A comparative study of the Rhine and Mississippi Valleys. Biodivers. Conserv. 2005, 14, 97–117. [Google Scholar] [CrossRef]
- Ramsar Convention Secretariat. Ramsar Convention on Wetlands. Global Wetland Outlook: State of the World’s Wetlands and Their Services to People; Ramsar Convention Secretariat: Gland, Switzerland, 2018. [Google Scholar]
- Hanberry, B.B.; Kabrick, J.M.; He, H.S. Potential tree and soil carbon storage in a major historical floodplain forest with disrupted ecological function. Perspect. Plant Ecol. Evol. Syst. 2015, 17, 17–23. [Google Scholar] [CrossRef]
- Mitsch, W.J.; Bernal, B.; Nahlik, A.; Mander, Ü.; Zhang, L.; Anderson, C.J.; Jørgensen, S.E.; Brix, H. Wetlands, carbon, and climate change. Landsc. Ecol. 2013, 28, 583–597. [Google Scholar] [CrossRef]
- Joosten, H. Peatlands across the Globe. Chapter Two in Peatland Restoration and Ecosystem Services: Science, Policy and Practice; Cambridge University Press: Cambridge, UK, 2016. [Google Scholar]
- Moomaw, W.R.; Chmura, G.; Davies, G.T.; Finlayson, C.; Middleton, B.A.; Natali, S.M.; Perry, J.E.; Roulet, N.; Sutton-Grier, A. Wetlands in a Changing Climate: Science, Policy and Management. Wetlands 2018, 38, 183–205. [Google Scholar] [CrossRef] [Green Version]
- Mikac, S.; Žmegač, A.; Trlin, D.; Paulić, V.; Oršanić, M.; Anić, I. Drought-induced shift in tree response to climate in floodplain forests of Southeastern Europe. Sci. Rep. 2018, 8, 16495. [Google Scholar] [CrossRef]
- Heklau, H.; Jetschke, G.; Bruelheide, H.; Seidler, G.; Haider, S. Species-specific responses of wood growth to flooding and climate in floodplain forests in Central Germany. iForest—Biogeosci. For. 2019, 12, 226–236. [Google Scholar] [CrossRef]
- Kowalska, N.; Šigut, L.; Stojanović, M.; Fischer, M.; Kyselova, I.; Pavelka, M. Analysis of floodplain forest sensitivity to drought. Philos. Trans. R. Soc. B Biol. Sci. 2020, 375, 20190518. [Google Scholar] [CrossRef]
- Nezval, O.; Krejza, J.; Světlík, J.; Šigut, L.; Horáček, P. Comparison of traditional ground-based observations and digital remote sensing of phenological transitions in a floodplain forest. Agric. For. Meteorol. 2020, 291, 108079. [Google Scholar] [CrossRef]
- Salimi, S.; Almuktar, S.A.; Scholz, M. Impact of climate change on wetland ecosystems: A critical review of experimental wetlands. J. Environ. Manag. 2021, 286, 112160. [Google Scholar] [CrossRef]
- Valach, A.C.; Kasak, K.; Hemes, K.S.; Anthony, T.L.; Dronova, I.; Taddeo, S.; Silver, W.L.; Szutu, D.; Verfaillie, J.; Baldocchi, D.D. Productive wetlands restored for carbon sequestration quickly become net CO2 sinks with site-level factors driving uptake variability. PLoS ONE 2021, 16, e0248398. [Google Scholar] [CrossRef]
- Aubinet, M.; Vesala, T.; Papale, D. (Eds.) Eddy Covariance: A Practical Guide to Measurement and Data Analysis; Springer: Dordrecht, The Netherlands, 2012; 438p. [Google Scholar]
- Foken, T.; Aubinet, M.; Leuning, R. The Eddy Covariance Method. In Eddy Covariance; Springer Atmospheric Sciences; Aubinet, M., Vesala, T., Papale, D., Eds.; Springer: Dordrecht, The Netherlands, 2012. [Google Scholar] [CrossRef]
- Baldocchi, D.D. Assessing the eddy covariance technique for evaluating carbon dioxide exchange rates of ecosystems: Past, present and future. Glob. Chang. Biol. 2003, 9, 479–492. [Google Scholar] [CrossRef] [Green Version]
- Lasslop, G.; Reichstein, M.; Papale, D.; Richardson, A.D.; Arneth, A.; Barr, A.; Stoy, P.; Wohlfahrt, G. Separation of net ecosystem exchange into assimilation and respiration using a light response curve approach: Critical issues and global evaluation. Glob. Chang. Biol. 2010, 16, 187–208. [Google Scholar] [CrossRef] [Green Version]
- Aubinet, M.; Berbigier, P.; Bernhofer, C.; Cescatti, A.; Feigenwinter, C.; Granier, A.; Grünwald, T.; Havrankova, K.; Heinesch, B.; Longdoz, B.; et al. Comparing CO2 exchange and advection conditions at night at different carboeuroflux sites. Bound. Layer Metorol. 2005, 116, 63–93. [Google Scholar] [CrossRef] [Green Version]
- Acevedo, O.C.; Mahrt, L.; Puhales, F.S.; Costa, F.D.; Medeiros, L.E.; Degrazia, G.A. Contrasting structures between the decoupled and coupled states of the stable boundary layer. Q. J. R. Meteorol. Soc. 2016, 142, 693–702. [Google Scholar] [CrossRef]
- Alekseychik, P.; Mammarella, I.; Launiainen, S.; Rannik, Ü.; Vesala, T. Evolution of the nocturnal decoupled layer in a pine forest canopy. Agric. For. Meteorol. 2013, 174–175, 15–27. [Google Scholar] [CrossRef]
- Thomas, C.K.; Martin, J.G.; Law, B.; Davis, K. Toward biologically meaningful net carbon exchange estimates for tall, dense canopies: Multi-level eddy covariance observations and canopy coupling regimes in a mature Douglas-fir forest in Oregon. Agric. For. Meteorol. 2013, 173, 14–27. [Google Scholar] [CrossRef]
- Jocher, G.; Löfvenius, M.; De Simon, G.; Hörnlund, T.; Linder, S.; Lundmark, T.; Marshall, J.; Nilsson, M.B.; Näsholm, T.; Tarvainen, L.; et al. Apparent winter CO2 uptake by a boreal forest due to decoupling. Agric. For. Meteorol. 2017, 232, 23–34. [Google Scholar] [CrossRef]
- Jocher, G.; Fischer, M.; Šigut, L.; Pavelka, M.; Sedlák, P.; Katul, G. Assessing decoupling of above and below canopy air masses at a Norway spruce stand in complex terrain. Agric. For. Meteorol. 2020, 294, 108149. [Google Scholar] [CrossRef]
- Goulden, M.L.; Munger, J.W.; Fan, S.-M.; Daube, B.C.; Wofsy, S.C. Measurements of carbon sequestration by long-term eddy covariance: Methods and a critical evaluation of accuracy. Glob. Chang. Biol. 1996, 2, 169–182. [Google Scholar] [CrossRef] [Green Version]
- Aubinet, M.; Grelle, A.; Ibrom, A.; Rannik, U.; Moncrieff, J.; Foken, T.; Kowalski, A.S.; Martin, P.H.; Berbigier, P.; Bernhofer, C.; et al. Estimates of the annual net carbon and water exchange of forests: The EUROFLUX methodology. Adv. Ecol. Res. 1999, 30, 113–175. [Google Scholar] [CrossRef]
- Barr, A.; Morgenstern, K.; Black, T.; McCaughey, J.; Nesic, Z. Surface energy balance closure by the eddy-covariance method above three boreal forest stands and implications for the measurement of the CO2 flux. Agric. For. Meteorol. 2006, 140, 322–337. [Google Scholar] [CrossRef]
- Papale, D.; Reichstein, M.; Aubinet, M.; Canfora, E.; Bernhofer, C.; Kutsch, W.; Longdoz, B.; Rambal, S.; Valentini, R.; Vesala, T.; et al. Towards a standardized processing of Net Ecosystem Exchange measured with eddy covariance technique: Algorithms and uncertainty estimation. Biogeosciences 2006, 3, 571–583. [Google Scholar] [CrossRef] [Green Version]
- Pastorello, G.; Trotta, C.; Canfora, E.; Chu, H.; Christianson, D.; Cheah, Y.-W.; Poindexter, C.; Chen, J.; Elbashandy, A.; Humphrey, M.; et al. The FLUXNET2015 dataset and the ONEFlux processing pipeline for eddy covariance data. Sci. Data 2020, 7, 225. [Google Scholar] [CrossRef]
- Falge, E.; Baldocchi, D.; Olson, R.; Anthoni, P.; Aubinet, M.; Bernhofer, C.; Burba, G.; Ceulemans, R.; Clement, R.; Dolman, H.; et al. Gap filling strategies for defensible annual sums of net ecosystem exchange. Agric. Forest Meteorol. 2001, 107, 43–69. [Google Scholar] [CrossRef] [Green Version]
- Papale, D.; Valentini, R. A new assessment of European forests carbon exchanges by eddy fluxes and artificial neural network spatialization. Glob. Chang. Biol. 2003, 9, 525–535. [Google Scholar] [CrossRef]
- Reichstein, M.; Falge, E.; Baldocchi, D.; Papale, D.; Aubinet, M.; Berbigier, P.; Bernhofer, C.; Buchmann, N.; Gilmanov, T.; Granier, A.; et al. On the separation of net ecosystem exchange into assimilation and ecosystem respiration: Review and improved algorithm. Glob. Chang. Biol. 2005, 11, 1424–1439. [Google Scholar] [CrossRef]
- Paul-Limoges, E.; Wolf, S.; Eugster, W.; Hörtnagl, L.; Buchmann, N. Below-canopy contributions to ecosystem CO2 fluxes in a temperate mixed forest in Switzerland. Agric. For. Meteorol. 2017, 247, 582–596. [Google Scholar] [CrossRef] [Green Version]
- Jocher, G.; Marshall, J.; Nilsson, M.B.; Linder, S.; De Simon, G.; Hörnlund, T.; Lundmark, T.; Näsholm, T.; Löfvenius, M.O.; Tarvainen, L.; et al. Impact of Canopy Decoupling and Subcanopy Advection on the Annual Carbon Balance of a Boreal Scots Pine Forest as Derived from Eddy Covariance. J. Geophys. Res. Biogeosci. 2017, 123, 303–325. [Google Scholar] [CrossRef]
- Freundorfer, A.; Rehberg, I.; Law, B.E.; Thomas, C. Forest wind regimes and their implications on cross-canopy coupling. Agric. For. Meteorol. 2019, 279, 107696. [Google Scholar] [CrossRef]
- Speckman, H.N.; Frank, J.M.; Bradford, J.B.; Miles, B.L.; Massman, W.J.; Parton, W.J.; Ryan, M.G. Forest ecosystem respiration estimated from eddy covariance and chamber measurements under high turbulence and substantial tree mortality from bark beetles. Glob. Chang. Biol. 2014, 21, 708–721. [Google Scholar] [CrossRef]
- Thomas, C.; Foken, T. Flux contribution of coherent structures and its implications for the exchange of energy and matter in a tall spruce canopy. Bound.-Layer Meteorol. 2007, 123, 317–337. [Google Scholar] [CrossRef]
- Acosta, M.; Darenova, E.; Dušek, J.; Pavelka, M. Soil carbon dioxide fluxes in a mixed floodplain forest in the Czech Republic. Eur. J. Soil Biol. 2017, 82, 35–42. [Google Scholar] [CrossRef]
- Nicolini, G.; Sabbatini, S.; Papale, D. ICOS Ecosystem Instructions for Radiation Measurements (Version 20180620); ICOS Ecosystem Thematic Centre, DIBAF University of Tuscia: Viterbo, Italy, 2017. [Google Scholar] [CrossRef]
- Op de Beeck, M.; Sabbatini, S.; Papale, D. ICOS Ecosystem Instructions for Soil Meteorological Measurements (TS, SWC, G) (Version 20180615); ICOS Ecosystem Thematic Centre, DIBAF University of Tuscia: Viterbo, Italy, 2017. [Google Scholar] [CrossRef]
- Sabbatini, S.; Nicolini, G.; Op de Beeck, M.; Papale, D. ICOS Ecosystem Instructions for Air Meteorological Measure-ments (TA, RH, PA, WS, WD) (Version 20170130); ICOS Ecosystem Thematic Centre, DIBAF University of Tuscia: Viterbo, Italy, 2017. [Google Scholar] [CrossRef]
- Rebmann, C.; Aubinet, M.; Schmid, H.; Arriga, N.; Aurela, M.; Burba, G.; Clement, R.; De Ligne, A.; Fratini, G.; Gielen, B.; et al. ICOS eddy covariance flux-station site setup: A review. Int. Agrophys. 2018, 32, 471–494. [Google Scholar] [CrossRef]
- Vermeulen, A.; Hellström, M.; Mirzov, O.; Karstens, U.; D’Onofrio, C.; Lankreijer, H. The ICOS Carbon Portal as an example of a FAIR community data repository supporting scientific workflows. In Proceedings of the EGU General Assembly 2021, Online, 19–30 April 2021. EGU21-8458. [Google Scholar] [CrossRef]
- Lee, X.; Massmann, W.J.; Law, B. (Eds.) Handbook of Micrometeorology: A Guide for Surface Flux Measurements and Analysis; Kluwer: New York, NY, USA, 2004; 250p. [Google Scholar]
- Wilczak, J.M.; Oncley, S.P.; Stage, S.A. Sonic Anemometer Tilt Correction Algorithms. Bound.-Layer Meteorol. 2001, 99, 127–150. [Google Scholar] [CrossRef]
- Moore, C.J. Frequency response corrections for eddy correlation systems. Bound.-Layer Meteorol. 1986, 37, 17–35. [Google Scholar] [CrossRef]
- Schotanus, P.; Nieuwstadt, F.T.; De Bruin, H.A. Temperature measurement with a sonic anemometer and its application to heat and moisture fluctuations. Bound.-Layer Meteorol. 1983, 26, 81–93. [Google Scholar] [CrossRef]
- Foken, T.; Göckede, M.; Mauder, M.; Mahrt, L.; Amiro, B.D.; Munger, W.J. Post-field data quality control. In Handbook of micrometeorology: A guide for surface flux measurements and analysis; Lee, X., Massmann, W.J., Law, B., Eds.; Kluwer: New York, NY, USA, 2004; pp. 181–208. [Google Scholar]
- R Core Team. A Language and Environment for Statistical Computing; R Foundation for Statistical Computing: Vienna, Austria, 2017. [Google Scholar]
- Wutzler, T.; Reichstein, M.; Moffat, A.M.; Menzer, O.; Migliavacca, M.; Sickel, K.; Šigut, L. Post Processing of (Half)Hourly Eddy Covariance Measurements; R Package Version 1.1.5; R Foundation for Statistical Computing: Vienna, Austria, 2018. [Google Scholar]
- Wohlfahrt, G.; Galvagno, M. Revisiting the choice of the driving temperature for eddy covariance CO2 flux partitioning. Agric. For. Meteorol. 2017, 237–238, 135–142. [Google Scholar] [CrossRef]
- Aubinet, M.; Chermanne, B.; Vandenhaute, M.; Longdoz, B.; Yernaux, M.; Laitat, E. Long term carbon dioxide exchange above a mixed forest in the Belgian Ardennes. Agric. For. Meteorol. 2001, 108, 293–315. [Google Scholar] [CrossRef]
- Nicolini, G.; Aubinet, M.; Feigenwinter, C.; Heinesch, B.; Lindroth, A.; Mamadou, O.; Moderow, U.; Mölder, M.; Montagnani, L.; Rebmann, C.; et al. Impact of CO2 storage flux sampling uncertainty on net ecosystem exchange measured by eddy covariance. Agric. For. Meteorol. 2018, 248, 228–239. [Google Scholar] [CrossRef] [Green Version]
- Toreti, A.; Belward, A.; Perez-Dominguez, I.; Naumann, G.; Luterbacher, J.; Cronie, O.; Seguini, L.; Manfron, G.; Lopez-Lozano, R.; Baruth, B.; et al. The Exceptional 2018 European Water Seesaw Calls for Action on Adaptation. Earth Futur. 2019, 7, 652–663. [Google Scholar] [CrossRef]
- Anderegg, W.R.L.; Schwalm, C.R.; Biondi, F.; Camarero, J.J.; Koch, G.W.; Litvak, M.; Ogle, K.; Shaw, J.D.; Shevliakova, E.; Williams, P.; et al. Pervasive drought legacies in forest ecosystems and their implications for carbon cycle models. Science 2015, 349, 528–532. [Google Scholar] [CrossRef] [Green Version]
- McHugh, I.D.; Beringer, J.; Cunningham, S.C.; Baker, P.J.; Cavagnaro, T.R.; Mac Nally, R.; Thompson, R.M. Interactions between nocturnal turbulent flux, storage and advection at an “ideal” eucalypt woodland site. Biogeosciences 2017, 14, 3027–3050. [Google Scholar] [CrossRef] [Green Version]
- Feigenwinter, C.; Bernhofer, C.; Eichelmann, U.; Heinesch, B.; Hertel, M.; Janous, D.; Kolle, O.; Lagergren, F.; Lindroth, A.; Minerbi, S.; et al. Comparison of horizontal and vertical advective CO2 fluxes at three forest sites. Agric. For. Meteorol. 2008, 148, 12–24. [Google Scholar] [CrossRef]






| Site Name: Lanžhot | Sensor | Height/Depth (m) |
|---|---|---|
| Eddy covariance | LI-7200RS, LI-COR, Inc. (NE, USA), HS-50, (Gill Instruments, UK) | 44 m until 22 October 2018, later 48 m |
| Global incoming radiation (GR) | CNR4 (Kipp & Zonen, Delft, The Netherlands) | 42 m until 22 October 2018, later 44 m |
| Air temperature (Tair) and relative humidity (RH) | EMS 33 (EMS Brno, Czech Republic) until 21 June 2019, later HMP 155 (Vaisala, Vantaa, Finland), HMP 155 (Vaisala, Vantaa, Finland), | 35 m |
| Soil temperature (Tsoil) | Pt100 (Sensit, CZ) | 0.02 m |
| Precipitation (P) | Laser Precipitation monitor, Thies Clima (Göttingen, Germany) | 44 m until 22 October 2018, later 48 m |
| u* above the Canopy (u*a) | u* below the Canopy (u*b) | C Exchange (g m−2) for the 2019 Year | Percentage of Gaps after Two-Level u* Filtering in Relation to Single Level u* Filtering (%) |
|---|---|---|---|
| u*a = 0.43 | – | −188.9 | – |
| u*a = 0.43 | u*b = 0.02 | −185.5 | 1.6 |
| u*a = 0.43 | u*b = 0.03 | −181.3 | 6.0 |
| u*a = 0.43 | u*b = 0.04 | −216.8 | 11.9 |
| u*a = 0.43 | u*b = 0.05 | −201.0 | 18.0 |
| u*a = 0.43 | u*b = 0.06 | −209.0 | 23.5 |
| u*a = 0.43 | u*b = 0.07 | −203.7 | 27.8 |
| u*a = 0.43 | u*b = 0.08 | −192.6 | 31.0 |
Publisher’s Note: MDPI stays neutral with regard to jurisdictional claims in published maps and institutional affiliations. |
© 2022 by the authors. Licensee MDPI, Basel, Switzerland. This article is an open access article distributed under the terms and conditions of the Creative Commons Attribution (CC BY) license (https://creativecommons.org/licenses/by/4.0/).
Share and Cite
Kowalska, N.; Jocher, G.; Šigut, L.; Pavelka, M. Does Below-Above Canopy Air Mass Decoupling Impact Temperate Floodplain Forest CO2 Exchange? Atmosphere 2022, 13, 437. https://doi.org/10.3390/atmos13030437
Kowalska N, Jocher G, Šigut L, Pavelka M. Does Below-Above Canopy Air Mass Decoupling Impact Temperate Floodplain Forest CO2 Exchange? Atmosphere. 2022; 13(3):437. https://doi.org/10.3390/atmos13030437
Chicago/Turabian StyleKowalska, Natalia, Georg Jocher, Ladislav Šigut, and Marian Pavelka. 2022. "Does Below-Above Canopy Air Mass Decoupling Impact Temperate Floodplain Forest CO2 Exchange?" Atmosphere 13, no. 3: 437. https://doi.org/10.3390/atmos13030437
APA StyleKowalska, N., Jocher, G., Šigut, L., & Pavelka, M. (2022). Does Below-Above Canopy Air Mass Decoupling Impact Temperate Floodplain Forest CO2 Exchange? Atmosphere, 13(3), 437. https://doi.org/10.3390/atmos13030437

