Abstract
Agricultural activity greatly contributes to the secondary PM2.5 concentrations by releasing relatively large amounts of ammonia emissions. Nonetheless, studies and air quality policies have traditionally focused on industrial emissions such as NOx and SOx. To compare them, this study used a three-dimensional modeling system (e.g., WRF/CMAQ) to estimate the effects of emission control policies of agricultural and industrial emissions on PM2.5 pollution in Chungcheong, an agriculturally active region in Korea. Scenario 1 (S1) was designed to estimate the effect of a 30% reduction in NH3 emissions from the agro-livestock sector on air pollution. Scenario 2 (S2) was designed to show the air quality under a mitigation policy on NOx, SOx, VOCs, and primary PM2.5 from industrial sources, such as power plants and factories. The results revealed that monthly mean PM2.5 in Chungcheong could decrease by 3.6% (1.1 µg/m3) under S1 with agricultural emission control, whereas S2 with industrial emission control may result in only a 0.7~1.1% improvement. These results indicate the importance of identifying trends of multiple precursor emissions and the chemical environment in the target area to enable more efficient air quality management.
1. Introduction
Particulate matter with an aerodynamic diameter of ≤ 2.5 μm (PM2.5) is considered a serious hazard due to its adverse effects on human health and the ecosystem [1,2,3]. According to the State of Global Air [4], air pollution accounted for about 12% of all deaths and ranked as the fourth leading risk factor for premature death globally in 2019. Levinson [5] and Lavy et al. [6] revealed that air pollution can cause negative psychological effects on humans by lowering cognitive ability and altering emotions. Fu et al. [7] suggested that a 1 μg/m3 increase in PM2.5 can decrease work productivity by 0.82%. The projected increasing concentrations of PM2.5 and ozone will lead to more hospital admissions, health expenditures, and sick or restricted activity days, resulting in labor productivity losses [8,9].
Many countries have suffered from air pollution over the past years [9,10,11,12,13,14], and South Korea ranked first among 36 OECD countries in terms of mean population exposure to PM2.5 [15]. Lee [16] also found that Seoul, the capital of South Korea, had 27 μg/m3 of annual average PM2.5 concentration from November 2005 to March 2012, which is almost three times the WHO standard. Han et al. [17] estimated that more than 11,000 premature deaths were attributable to high PM2.5 pollution in South Korea in 2015, especially concentrated in the Seoul and Gyeonggi province with high population densities.
PM2.5 is formed through interactions between primary particles, various precursors such as NOx, SOx, VOCs, and NH3, photochemical reactions, and meteorological processes [18,19,20]. The composition of PM2.5 is various types of chemicals from primary and secondary origins, including elemental and organic carbon, ionic species (i.e., chloride, nitrates, sulfates, and ammonium), and elemental species [21,22]. Secondary inorganic PM2.5, such as nitrate and sulfate, are formed through chemical reactions between the base gas NH3 and acidic gas (i.e., NO2 and SO2). As a result, NH4+, SO42-, and NO3− become major components of inorganic PM2.5 [23,24,25,26].
Some studies have suggested that ammonia plays a critical role in the formulation of PM2.5 as a precursor of secondary inorganic aerosols (SIAs) including ammonium sulfate ((NH4)2SO4) and ammonium nitrate (NH4NO3) [27,28,29]. As shown by Aneja et al. [30] and Behera et al. [31], most ammonia is released from agricultural sources, such as animal husbandry, fertilizer use, and crop residues combustion. Moreover, in the long run, Korea’s ammonia emissions are steadily increasing despite its repeating short-term up-and-down fluctuations [32,33]. However, studies on the effects of NH3 emission mitigations in South Korea are still limited.
In this study, we conducted a modeling study to estimate the impact of agricultural ammonia emission control on PM2.5 concentration in the Chungcheong region, which is one of the most agriculture-dominated areas in South Korea. The results were compared to other cases of industrial emission control.
2. Methods
2.1. Study Area
We carried out simulations focused on the Chungcheong area, considering its high agricultural emissions in South Korea. The study area—Chungcheong—consists of two provinces: Chungbuk and Chungnam, as shown in Figure 1. Figure 2 shows that Korea has recently emitted about 300,000 tons of NH3 in a year, while Chungcheong accounts for more than 20% of the total since 2008 [33].
Figure 1.
Administrative map of Chungcheong region.
Figure 2.
Trend of NH3 emissions in South Korea (2008~2013).
This seems to be mainly caused by its vigorous activity of animal husbandry. According to a livestock trend survey by Korea National Statistical Office, Chungcheong accounts for 25% of the nation’s livestock population and has 48,188,370 heads, the second largest in the country (Figure 3, Table 1) [34]. Particularly, Chungcheong has the second and first largest number of dairy cattle and swine, which belong to the livestock with the highest emission factors (Table 2) [35]. In the agricultural sector, Chungcheong has 3283 km2 of farmland, accounting for 20.3% of the total (Table 3) [36].
Figure 3.
Livestock ratio by region (2017).
Table 1.
Livestock statistics by animal type and region (2017).
Table 2.
Ammonia emission factor by livestock type.
Table 3.
Area and area ratio of farmland by region (2017).
2.2. Model Description and Emission Inventory
In this study, we used Weather Research and Forecast (WRFv3.6) and Sparse Matrix Operator Kernel Emission (SMOKEv3.5) to simulate meteorological conditions and process emission data. Community Multi-scale Air Quality Modeling (CMAQv5.0.2) was applied to estimate concentrations of PM2.5 in the Chungcheong area. Figure 4 shows a general flowchart of the WRF-SMOKE-CMAQ modeling system. This simulation was carried out for three nested domains, including Domain 1 (East-Asia)—27 × 27 km and 124 × 131 grid cells, Domain 2 (Korea)—9 × 9 km and 73 × 85 grid cells, and Domain 3 (Chungcheong)—3 × 3 km and 88 × 58 grid cells (Figure 5). The projection mode was Lambert. Carbon Bond 5 (CB5) schemes, the SAPRC mechanism, and AERO 5 module were applied for gas and aerosol chemical mechanism for CMAQ modeling. YAMO was selected for the advection scheme.
Figure 4.
Flowchart of the WRF-SMOKE-CMAQ modeling system.
Figure 5.
Simulation domain for WRF and CMAQ.
WRF was used to provide meteorological data needed by the CMAQ under conditions as follows; WSM6 for microphysics, Dudhia for shortwave radiation, RRTM for longwave radiation, Kain–Fritsch for cumulus parametrization, the Yonsei University Scheme (YUS) for planetary boundary layer, and Noah for land surface model (Table 4).
Table 4.
CMAQ and WRF model conditions.
SMOKE was used as a processing model of emission data—CAPSS, which is the national emissions inventory developed by the National Institute of Environmental Research here in Korea. It uses classification categories including point, area, on-road and non-road sectors. Point sectors include industrial emissions from related sources such as “combustion in manufacturing industries”, “production processes, storage and distribution of fuels”, and “combustion in energy industries”. Area sectors include emissions from “agriculture” and “agricultural crop residues burning” [37]. In this study, we focused only on the “agriculture” subsector. The agriculture subsector consists of two classes—“Manure management” and “Agricultural land”. “Manure management” includes emissions from manure of the livestock such as cattle, swine, poultry, other poultry, sheep and lamb, perissodactyl, fur animal, and others. “Agricultural land” represents all emissions from fertilized farmland.
2.3. Emission Scenarios
We designed three types of scenarios including Base case without any control policy, Scenario 1 (S1) with agricultural emission control policy only, and Scenario 2 (S2) with industrial emission control policy only.
Base case was performed to show standard pollution conditions under no emission control. Emission data used in the Base case simulation is from CAPSS 2017, which was the latest version of national emission data in South Korea. For S1 and S2, CAPSS 2017 data were applied with modifications in agricultural or industrial emissions depending on each emission reduction policy. S1 focused only on NH3 emissions control from agro-livestock sources such as livestock and fertilizer applications. S2 was limited to emission control of NOx, SOx, VOCs, and primary PM2.5 from industrial sources such as power plants and factories. To design these scenarios, we referred to the latest Korean national air quality management policy, including the “Fine Dust Reduction Measures in Agro-Livestock Sector” and the “Comprehensive Plan on Fine Dust Management (2020~2024)”. Each emission inventory for the respective scenarios is described in Table 5.
Table 5.
Emission inventories for Base case, S1, and S2.
The Ministry of Agriculture, Food and Rural Affairs announced the “Fine Dust Reduction Measures in Agro-Livestock Sector “in 2019 in consideration of increasing concerns regarding NH3 emissions. This policy aimed to decrease agricultural NH3 emissions by 30% through 2022.
The “Comprehensive Plan on Fine Dust Management” was designed to decrease the national annual mean of PM2.5 from 26 µg/m3 in 2016 to 16 µg/m3 in 2024. To achieve this target, different reduction rates were applied to the two provinces comprising the Chungcheong region—Chungbuk Province (Figure 3) and Chungnam Province, and the respective reduction rates are shown in Table 6.
Table 6.
Emission reduction rates of Chungcheong for S2.
2.4. Target Period
In this study, we focused on evaluating the air quality improvement under emission-controlled cases in the most polluted month, which was March 2017. From the data on monthly mean air pollution in Chungcheong in 2017 [38], March showed the highest PM2.5 concentration, reaching 36.6 µg/m3, while the annual mean was 25.0 µg/m3 (Figure 6).
Figure 6.
The 2017 monthly mean PM2.5 concentration in Chungcheong.
2.5. Model Performance
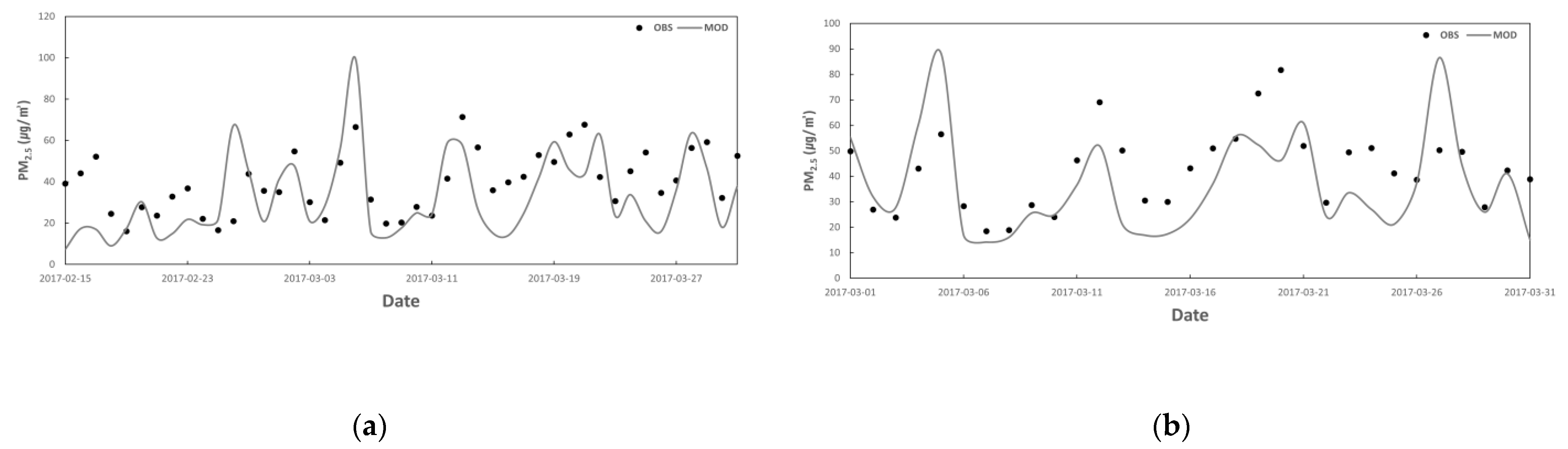
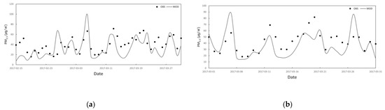
To assess the performance of WRF-CMAQ, we compared the simulated PM2.5 concentrations with the observation values collected in each representative station in Chungbuk province (Cheongju) and Chungnam province (Cheonan) during March 2017. Figure 7 shows the correlation analysis results of the observation data and the simulation data from CMAQ in two representative stations. Table 7 indicates the statistical values including Mean Bias (MB), Index of Agreement (IOA), fraction of predictions within a factor of two of observations (FAC2), and Correlation coefficient (R). MB was calculated as the mean difference in model estimates-observation pairings within the selected study area and period. IOA metric integrates all the differences between model estimates and observations into one statistical quantity. FAC2 was calculated by dividing model predictions by observations. From the summary statistics, we concluded that the model performed well, as the MB in both areas is relatively small with adequate IOA (0.71–0.74). FAC2 ranging from 0.82 to 0.86 is also within the acceptable range (0.5–2.0) [39]. R of 0.57–0.62 seems to be relatively low, however, we considered it is within acceptable range based on previous studies, which simulated secondary air pollutants concentration and concluded R is reasonable with similar levels (below 0.70) [40,41,42,43]. These studies have suggested that CMAQ simulates concentration trend well, but it tends to over/under-estimate concentrations during low/high concentration periods, which might be due to uncertainty in emission data and inaccuracy of meteorological model (WRF) under complex weather change conditions. In this study, the air quality model generally underestimated PM2.5 concentration during high PM2.5 episodes as shown in Figure 8, resulting in a lower average of predicted concentration of 32.4–36.7 µg/m3 compared to the observed concentration of 39.7–42.6 µg/m3 (Table 8).
Figure 7.
Observed and simulated PM2.5 concentration in March 2017 at (a) Cheongju station in Chungbuk province and (b) Cheonan station in Chungnam province.
Table 7.
Statistical parameters for simulated PM2.5 concentrations.
Figure 8.
Time series of observed and simulated PM2.5 concentrations in (a) Cheongju and (b) Cheonan.
Table 8.
Observed and simulated monthly mean PM2.5 at Cheongju station in Chungbuk province and Cheonan station in Chungnam province.
3. Results and Discussions
3.1. Base Case
Under the baseline scenario, the PM2.5 concentration throughout Chungcheong was simulated as shown in Figure 9 and Table 9. The overall monthly mean PM2.5 in Chungcheong was about 31.6 µg/m3 with 31.65 µg/m3 in Chungbuk and 31.58 µg/m3 in Chungnam. At the city level, Cheongju in Chungbuk, and Hongseong and Cheonan in Chungnam showed comparatively severe pollution with PM2.5 concentrations higher than 35 µg/m3.
Figure 9.
Monthly mean PM2.5 concentration in Chungcheong under Base scenario.
Table 9.
Predicted average PM2.5 concentration under Base scenario in Chungcheong in March 2017.
3.2. Benefits of Agricultural Emission Control (S1)
Under agricultural emission reduction policy, NH3 concentration seems to be reduced by more than 2 ppb in most regions in Chungcheong (Figure 10). The PM2.5 concentration is also predicted to decrease, as shown in Figure 11. In short, 30% of NH3 emission reduction from the agricultural sector may lead to more than 0.8 µg/m3 in PM2.5 improvement compared to the base case throughout Chungcheong. It is simulated that the average PM2.5 decrease is 1.1 µg/m3 and the improvement rate is about 3.6% in Chungcheong (Table 10).
Figure 10.
Monthly mean improvement of NH3 concentration under S1.
Figure 11.
Monthly mean improvement of PM2.5 concentration under S1.
Table 10.
Predicted average change of PM2.5 concentration under S1 relative to the base case in Chungcheong in March 2017.
However, concentration improvements of NH3 and PM2.5 show spatial inconsistencies. For example, the city showing the largest improvement in NH3 concentration under S1 is Hongseong, while the city with the largest improvement in PM2.5 concentration is its neighbor, Boryeong. We presume that this may be caused by other major precursors of inorganic PM2.5, such as HNO3 and H2SO4 [44]. In other words, it seems that some regions, such as Hongseong, do not show PM2.5 concentration reduction effects proportional to their NH3 reduction amount because of their low concentration of HNO3 and/or H2SO4. To verify this, we carried out a spatial prediction of HNO3 concentration under the base scenario (Figure 12). H2SO4 was not considered because it is rarely found in the atmosphere since it usually reacts with ammonia instantly and forms ammonium bisulfate or ammonium sulfate [44]. Therefore, we presumed that the difference in abundance of HNO3, which reacts with the NH3 remaining after reaction with H2SO4, also affected the results of NH3 reduction.
Figure 12.
Monthly mean of HNO3 concentration under Base scenario.
The results showed that the HNO3 concentration was less than 0.2 ppb in Hongseong, the city with the highest reduction in NH3 emissions under S1. On the other hand, Boryeong, with the most improved PM2.5 concentration under S1, showed a relatively high HNO3 concentration of 0.4 ppb or higher. In addition, most regions with higher HNO3 concentrations showed larger PM2.5 reduction effects.
We estimated that, unlike HNO3, regional differences in meteorological factors were limited, so they did not play an important role in the spatial inconsistency between NH3 improvement and PM2.5 improvement. It is known that the SIAs mass has seasonal variability. While the formation of nitrate is relatively more active in the winter under lower temperature and higher humidity, sulfate formation is more active in summer due to high solar radiation and more OH radicals [45]. However, when we examined the possibility that meteorological conditions would affect the inconsistency, the results showed as “less likely”. As shown in Figure 13, the spatial distribution of temperature at 2 m and surface temperature across Chungcheong indicates that it would not have played an important role due to its limited differences by region. Moreover, there is no significant difference in the temperatures of Hongseong and Boryeong, the regions with the NH3-PM2.5 inconsistency.
Figure 13.
Spatial distribution of monthly mean (a) temperature at 2 m and (b) surface temperature in Chungcheong.
3.3. Benefits of Industrial Emission Control (S2)
As shown in Figure 14, it was predicted that industrial NOx, SOx, VOCs, and primary PM2.5 emission controls may lead to smaller PM2.5 concentration improvements compared to S1. Under S2, PM2.5 concentration decreased by less than 0.4 µg/m3 in all cities in Chungcheong except Hongseong in Chungnam. The improvement rate was also limited to 0.7% in Chungbuk and 1.1% in Chungnam (Table 11).
Figure 14.
Monthly mean improvement of PM2.5 concentration under S2.
Table 11.
Predicted average change of PM2.5 concentration under S2 relative to the Base case in Chungcheong in March 2017.
In short, the industrial emission control policy was less effective than the agricultural emission policy despite its larger reduction of emissions and more various target pollutants. The main reason for this seems to be the non-linear formation mechanism of secondary air pollutants. For example, in a VOCs-limited (or NOx-rich) region, control of NOx may lead to increased concentration of ozone and particulate matter, which is the so-called “NOx disbenefit” [46]. To examine this case, we compared the spatial distribution of NOx and ozone concentration changes under S2, which are shown in Figure 15 and Figure 16. As a result, it was found that the ozone concentration was higher than that of the base scenario, especially in regions with relatively large NOx reduction. As the ozone concentration increased, the atmospheric acidity was also strengthened, which seems to have led to more active formation processes of secondary PM2.5.
Figure 15.
Monthly mean improvement of NOx concentration under S2.
Figure 16.
Monthly mean increases in maximum 8-h O3 concentration under S2.
4. Conclusions
In this study, we carried out air quality simulations to quantify the environmental effects of agricultural NH3 reduction versus industrial emissions reduction on PM2.5 production. The results showed that a 30% NH3 emission mitigation from the agro-livestock sector in Chungcheong could lead to about a 3.6% decrease in PM2.5 concentrations compared to 32 µg/m3 of the estimated monthly mean PM2.5 in March 2017. In contrast, under the industrial emission reduction scenario (S2), it was predicted that the improvement ratio of the PM2.5 concentration would be only 0.7%~1.1% despite the greater amount of reduced emissions and more target precursors including NOx, SOx, VOCs, and primary PM2.5. Considering the predicted increases of ozone concentrations under S2, we assume that the main reason for this is that Chungcheong has a NOx-rich environment, where reducing the NOx might rather trigger the formation of ozone and secondary aerosols.
Regarding the agricultural emission control case, spatial inconsistency between the regions with the biggest NH3 reduction and regions with the most improved PM2.5 concentrations was observed. Given that concentrations of acid precursors could also affect the formation of secondary aerosols, we confirmed that a relatively low HNO3 concentration caused a non-proportional effect of NH3 reduction measures on PM pollution in this case. For example, Hongseong, the city with the largest NH3 emission reduction, did not get the best improvement effects on PM2.5 concentration because of its low HNO3 concentration of less than 0.2 ppb.
In short, this study verified that the management of agricultural NH3 emissions could be a more efficient way for reducing PM2.5 concentrations rather than the current policy, mostly focused on industrial emissions for certain regions. In addition, to formulate effective air pollution control policies, it would be required to examine the possibility of negative and/or minimal effects of NOx emission mitigations by clarifying if the target area has a NOx-rich environment or not. In conclusion, especially in agriculture-dominated cities, this study highlights that a policy targeting ammonia management could be a safer choice and result in significant air pollution improvement effects unless the target area has a limited amount of HNO3 Therefore, it should be considered that HNO3 can be an important factor influencing the effectiveness of the NH3 mitigation measures to reduce PM pollution.
Author Contributions
Conceptualization, H.C. and Y.S.; methodology, H.C.; software, H.C.; validation, H.C.; formal analysis, H.C.; investigation, H.C.; resources, H.C.; data curation, H.C.; writing—original draft preparation, H.C.; writing—review and editing, Y.S.; visualization, H.C.; supervision, Y.S.; All authors have read and agreed to the published version of the manuscript.
Funding
This research was supported in part by the Social Eco-Tech Institute of Konkuk University, grant number S2011A4330142.
Conflicts of Interest
The authors declare no conflict of interest.
References
- Feng, S.; Gao, D.; Liao, F.; Zhou, F.; Wang, X. The health effects of ambient PM2.5 and potential mechanisms. Ecotoxicol. Environ. Saf. 2016, 128, 67–74. [Google Scholar] [CrossRef] [PubMed]
- World Health Organization and Regional Office for Europe. Health Effects of Particulate Matter. Available online: http://www.euro.who.int/pubrequest (accessed on 22 January 2022).
- Wu, W.; Zhang, Y. Effects of particulate matter (PM2.5) and associated acidity on ecosystem functioning: Response of leaf litter breakdown. Environ. Sci. Pollut. Res. 2018, 25, 30720–30727. [Google Scholar] [CrossRef] [PubMed]
- State of Global Air. Air Pollution’s Impact on Health: A Global Snapshot; Health Effects Institute: Boston, MA, USA, 2020. [Google Scholar]
- Levinson, A. Valuing public goods using happiness data: The case of air quality. J. Public Econ. 2012, 96, 869–880. [Google Scholar] [CrossRef]
- Lavy, V.; Roth, S. The Impact of Short Term Exposure to Ambient Air Pollution on Cognitive Performance and Human Capital Formation; National Bureau of Economic Research: Cambridge, MA, USA, 2014. [Google Scholar]
- Fu, S.; Viard, V.B.; Zhang, P. Air Pollution and Manufacturing Firm Productivity: Nationwide Estimates for China. Econ. J. 2021, 131, 3241–3273. [Google Scholar] [CrossRef]
- Lauri, M. Quantifying the Economic Costs of Air Pollution from Fossil Fuels Key Messages. 2020. Available online: https://energyandcleanair.org/publications/costs-of-air-pollution-from-fossil-fuels/ (accessed on 22 January 2022).
- Wu, R.; Dai, H.; Geng, Y.; Xie, Y.; Masui, T.; Liu, Z.; Qian, Y. Economic Impacts from PM2.5 Pollution-Related Health Effects: A Case Study in Shanghai. Environ. Sci. Technol. 2017, 51, 5035–5042. [Google Scholar] [CrossRef] [PubMed]
- Butt, E.W.; Turnock, S.; Rigby, R.; Reddington, C.; Yoshioka, M.; Johnson, J.; Regayre, L.; Pringle, K.; Mann, G.; Spracklen, D. Global and regional trends in particulate air pollution and attributable health burden over the past 50 years. Environ. Res. Lett. 2017, 12, 104017. [Google Scholar] [CrossRef]
- Akimoto, H. Global Air Quality and Pollution. Science 2003, 302, 1716–1719. [Google Scholar] [CrossRef] [Green Version]
- Davuliene, L.; Jasineviciene, D.; Garbariene, I.; Andriejauskiene, J.; Ulevicius, V.; Bycenkiene, S. Long-term air pollution trend analysis in the South-eastern Baltic region 1981–2017. Atmos. Res. 2021, 247, 105191. [Google Scholar] [CrossRef]
- World Health Organization. Health Aspects of Air Pollution Results from the WHO Project ‘Systematic Review of Health Aspects of Air Pollution in Europe’; World Health Organization: Geneva, Switzerland, 2004. [Google Scholar]
- Mage, D.; Ozolins, G.; Peterson, P.; Webster, A.; Orthofer, R.; Vandeweerd, V.; Gwynne, M. Urban air pollution in megacities of the world. Atmos. Environ. 1996, 30, 681–686. [Google Scholar] [CrossRef]
- OECD. Air Quality and Health: Exposure to PM2.5 Fine Particles; OECD: Paris, France, 2019. [Google Scholar]
- Lee, M. An analysis on the concentration characteristics of PM2.5 in Seoul, Korea from 2005 to 2012. Asia-Pac. J. Atmos. Sci. 2014, 50, 585–594. [Google Scholar] [CrossRef]
- Han, C.; Kim, S.; Lim, Y.H.; Bae, H.J.; Hong, Y.C. Spatial and temporal trends of number of deaths attributable to ambient PM2.5 in the Korea. J. Korean Med. Sci. 2018, 33, 1–4. [Google Scholar] [CrossRef] [PubMed]
- Sun, Y.; Wang, Z.; Wild, O.; Xu, W.; Chen, C.; Fu, P.; Du, W.; Zhou, L.; Zhang, Q.; Han, T.; et al. ‘APEC blue’: Secondary aerosol reductions from emission controls in Beijing. Sci. Rep. 2016, 6, 20668. [Google Scholar] [CrossRef] [PubMed] [Green Version]
- Zhang, Y.; Lang, J.; Cheng, S.; Li, S.; Zhou, Y.; Chen, D.; Zhang, H.; Wang, H. Chemical composition and sources of PM1 and PM2.5 in Beijing in autumn. Sci. Total Environ. 2018, 630, 72–82. [Google Scholar] [CrossRef] [PubMed]
- Pozzer, A.; Tsimpidi, A.P.; Karydis, V.A.; de Meij, A.; Lelieveld, J. Impact of agricultural emission reductions on fine-particulate matter and public health. Atmos. Chem. Phys. 2017, 17, 12813–12826. [Google Scholar] [CrossRef] [Green Version]
- Kleindienst, T.; Lewandowski, M.; Offenberg, J.; Edney, E.; Jaoui, M.; Zheng, M.; Ding, X.; Edgerton, E. Contribution of primary and secondary sources to organic aerosol and PM2.5. J. Air. Waste Manag. Assoc. 2010, 60, 1388–1399. [Google Scholar] [CrossRef] [PubMed] [Green Version]
- Lonati, G.; Giugliano, M.; Ozgen, S. Primary and secondary components of PM2.5 in Milan (Italy). Environ. Int. 2008, 34, 665–670. [Google Scholar] [CrossRef]
- Cheng, B.; Wang, L. Spatial and temporal variations of pm2.5 in north carolina. Aerosol. Air Qual. Res. 2019, 19, 665–670. [Google Scholar]
- Wang, X.; Gemayel, R.; Heyeck, N.; Perrier, S.; Charbonnel, N.; Xu, C.; Chen, H.; Zhu, C.; Zhang, L.; Wang, L.; et al. Atmospheric Photosensitization: A New Pathway for Sulfate Formation. Environ. Sci. Technol. 2020, 54, 3114–3120. [Google Scholar] [CrossRef]
- Tian, M.; Liu, Y.; Yang, F.; Zhang, L.; Peng, C.; Chen, Y.; Shi, G.; Wang, H.; Luo, B.; Jiang, C.; et al. Increasing importance of nitrate formation for heavy aerosol pollution in two megacities in Sichuan Basin, southwest China. Environ. Pollut. 2019, 250, 898–905. [Google Scholar] [CrossRef]
- Jorga, S.D.; Kaltsonoudis, C.; Liangou, A.; Pandis, S.N. Measurement of Formation Rates of Secondary Aerosol in the Ambient Urban Atmosphere Using a Dual Smog Chamber System. Environ. Sci. Technol. 2020, 54, 898–905. [Google Scholar]
- Behera, S.N.; Sharma, M. Reconstructing primary and secondary components of PM2.5 composition for an Urban Atmosphere. Aerosol. Sci. Technol. 2010, 44, 983–992. [Google Scholar] [CrossRef] [Green Version]
- Viatte, C.; Petit, J.; Yamanouchi, S.; van Damme, M.; Doucerain, C.; Germain-Piaulenne, E.; Gros, V.; Favez, O.; Clarisse, L.; Coheur, P.; et al. Ammonia and pm2.5 air pollution in paris during the 2020 covid lockdown. Atmosphere 2021, 12, 160. [Google Scholar] [CrossRef]
- Hristov, A.N. Technical note: Contribution of ammonia emitted from livestock to atmospheric fine particulate matter (PM2.5) in the United States. J. Dairy Sci. 2011, 94, 3130–3136. [Google Scholar] [CrossRef] [PubMed]
- Aneja, V.P.; Blunden, J.; Roelle, P.; Schlesinger, W.; Knighton, R.; Niyogi, D.; Gilliam, W.; Jennings, G.; Duke, C. Workshop on Agricultural Air Quality: State of the science. Atmos. Environ. 2008, 42, 3195–3208. [Google Scholar] [CrossRef]
- Behera, S.N.; Sharma, M.; Aneja, V.P.; Balasubramanian, R. Ammonia in the atmosphere: A review on emission sources, atmospheric chemistry and deposition on terrestrial bodies. Environ. Sci. Pollut. Res. 2013, 12, 8092–8131. [Google Scholar] [CrossRef] [PubMed]
- Shin, D. The Necessity and Policy Plan for Ammonia Management to Improve Fine Dust (PM2.5), Korea Environment Institute. Available online: http://repository.kei.re.kr/handle/2017.oak/22249 (accessed on 23 January 2022).
- Shin, D.; Joo, H.; Seo, E.; Kim, C. Management Strategies to Reduce PM-2.5 Emission: Emphasis-Ammonia; Korea Environment Institute: Sejong, Korea, 2017. [Google Scholar]
- Korea National Statistical Office. Result of the Livestock Trend Survey in the 2nd Quarter of 2017. Available online: http://m.kostat.go.kr/board/file_dn.jsp?aSeq=361868&ord=1 (accessed on 24 February 2022).
- Kim, M.S.; Koo, N.I.; Kim, J.G. A comparative study on ammonia emission inventory in livestock manure compost application through a foreign case study. Korea Soc. Environ. Biol. 2020, 38, 71–81l. [Google Scholar] [CrossRef]
- KOSIS. Land Area by City, County, Field Type. Available online: https://kosis.kr/statisticsList/statisticsListIndex.do?vwcd=MT_ZTITLE&menuId=M_01_01#content-group (accessed on 16 February 2022).
- Kim, H.C.; Kim, S.; Lee, S.H.; Kim, B.U.; Lee, P. Fine-scale columnar and surface nox concentrations over South Korea: Comparison of surface monitors, tropomi, cmaq and capss inventory. Atmosphere 2020, 11, 101. [Google Scholar] [CrossRef] [Green Version]
- Ministry of Environment. 2017 Yearbook of Atmospheric Environment; Ministry of Environment: Seojong, Korea, 2017. [Google Scholar]
- Chang, J.; Hanna, S. Air quality model performance evaluation. Meteorol. Atmos. Phys. 2004, 87, 167–169. [Google Scholar] [CrossRef]
- Kang, Y.H.; Oh, I.B.; Jeong, J.H.; Kim, Y.K.; Kim, S.T.; Kim, E.H.; Hong, J.H.; Lee, D.G. Comparison of CMAQ Ozone Simulations with Two Chemical Mechanisms (SAPRC99 and CB05) in the Seoul Metropolitan Region. J. Environ. Sci. Int. 2016, 25, 85–97. [Google Scholar] [CrossRef]
- Ghim, Y.S.; Choi, Y.J.; Kim, S.T.; Bae, C.H.; Park, J.S.; Shin, H.J. Model Performance Evaluation and Bias Correction Effect Analysis for Forecasting PM2.5 Concentrations. J. Korean Soc. Atmos. Environ. 2017, 33, 11–18. [Google Scholar] [CrossRef]
- Kim, D.Y. PM Analysis Using CMAQ in Seoul Metropolitan Area, Gyeonggi Research Institute. Available online: https://www.dbpia.co.kr/journal/articleDetail?nodeId=NODE01446673 (accessed on 17 February 2022).
- Yang, X.; Wu, Q.; Zhao, R.; Cheng, H.; He, H.; Ma, Q.; Wang, L.; Luo, H. New method for evaluating winter air quality: PM2.5 assessment using Community Multi-Scale Air Quality Modeling (CMAQ) in Xi’an. Atmos. Environ. 2019, 211, 18–28. [Google Scholar] [CrossRef]
- Pinder, R.W.; Dennis, R.L.; Bhave, P.V. Observable indicators of the sensitivity of PM2.5 nitrate to emission reductions-Part I: Derivation of the adjusted gas ratio and applicability at regulatory-relevant time scales. Atmos. Environ. 2008, 42, 1275–1286. [Google Scholar] [CrossRef]
- Seinfeld, J.H.; Pandis, S.N. Atmospheric Chemistry and Physics: From Air Pollution to Climate Change; John Wiley & Sons: New York, NY, USA, 2006; p. 5. [Google Scholar]
- Southern Oxidants Study, In Lessons That Are Available to Be Learned from the Southern Oxidants Study. Available online: https://www.ncsu.edu/sos/x.html (accessed on 31 January 2022).
Publisher’s Note: MDPI stays neutral with regard to jurisdictional claims in published maps and institutional affiliations. |
© 2022 by the authors. Licensee MDPI, Basel, Switzerland. This article is an open access article distributed under the terms and conditions of the Creative Commons Attribution (CC BY) license (https://creativecommons.org/licenses/by/4.0/).















