In-Depth Study of PM2.5 and PM10 Concentrations over a 12-Year Period and their Elemental Composition in the Lignite Center of Western Macedonia, Greece
Abstract
1. Introduction
2. Materials and Methods
2.1. Study Location
2.2. Data
2.3. Sampling Techniques and Procedure
2.4. Methodology
3. Results and Discussion
3.1. PM2.5 and PM10 Concentrations over a 12-Year Period in Western Macedonia
3.2. PM2.5 and PM10 Concentrations Trends at Petrana and Pontokomi AQMS
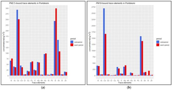
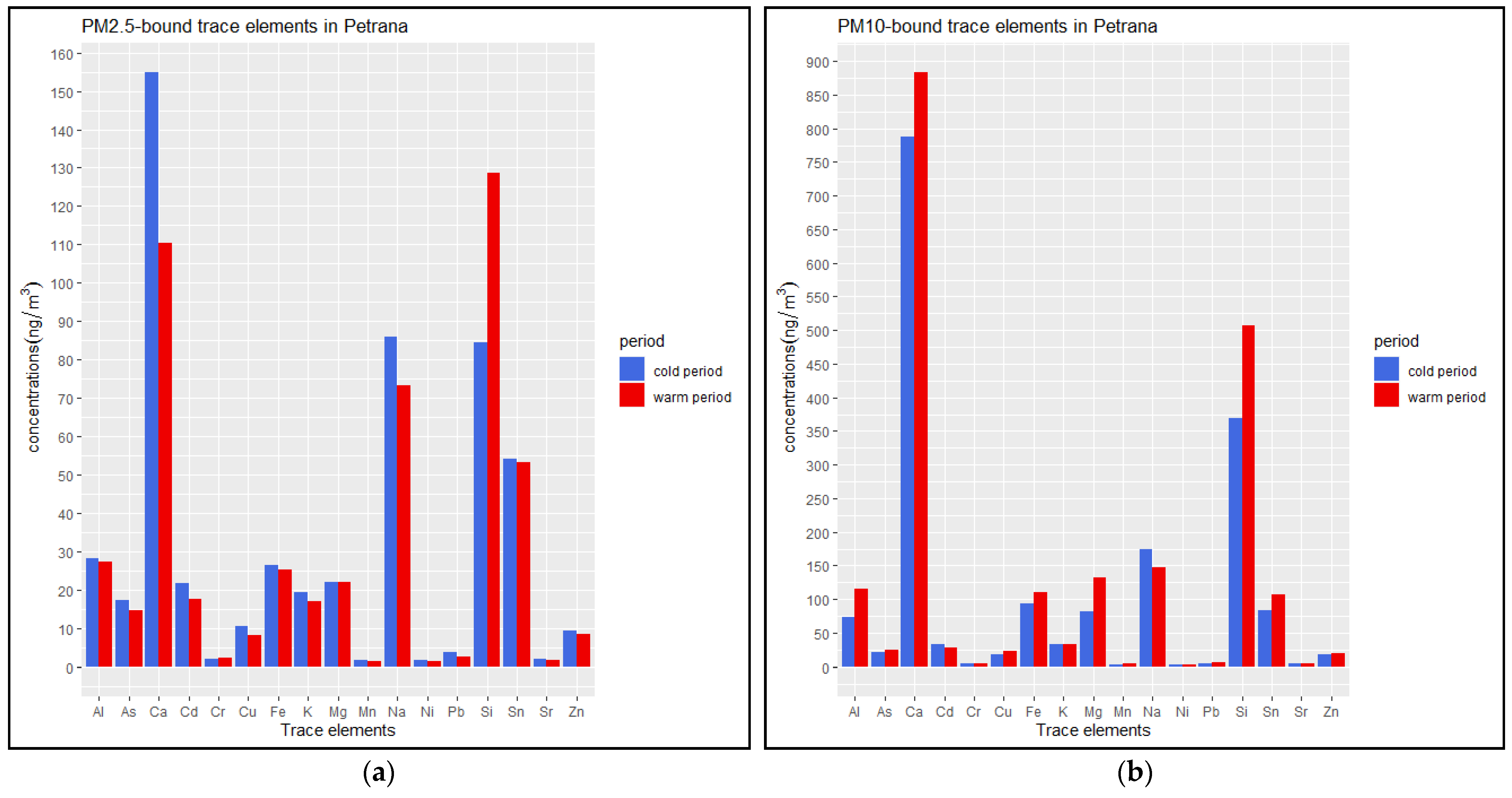
3.3. PM Sampling at Petrana (S4) and Pontokomi (S9)
4. Conclusions
Author Contributions
Funding
Institutional Review Board Statement
Informed Consent Statement
Data Availability Statement
Conflicts of Interest
References
- Babatola, S.S. Global Burden of Diseases Attributable to Air Pollution. J. Public Health Afr. 2018, 9, 813. [Google Scholar] [CrossRef] [PubMed]
- Kushta, J.; Paisi, N.; Van Der Gon, H.D.; Lelieveld, J. Disease Burden and Excess Mortality from Coal-Fired Power Plant Emissions in Europe. Environ. Res. Lett. 2021, 16, 045010. [Google Scholar] [CrossRef]
- Cichowicz, R.; Wielgosiński, G.; Depta, A. Variations in the Atmospheric Pollutant Immission (2009–2015) Field near a Large Lignite-Fired Power Plant (in Europe/Poland). Int. J. Environ. Sci. Technol. 2020, 17, 3075–3086. [Google Scholar] [CrossRef]
- Hykyšová, S.; Brejcha, J. Monitoring of PM10 Air Pollution in Small Settlements Close to Opencast Mines in the North-Bohemian Brown Coal Basin. WIT Trans. Ecol. Environ. 2009, 123, 387–398. [Google Scholar]
- Golobočanin, D.; Žujić, A.; Milenković, A.; Miljević, N. Precipitation Composition and Wet Deposition Temporal Pattern in Central Serbia for the Period from 1998 to 2004. Environ. Monit. Assess. 2008, 142, 185–198. [Google Scholar] [CrossRef] [PubMed]
- Zhang, C.H.; Sears, L.; Myers, J.V.; Brock, G.N.; Sears, C.G.; Zierold, K.M. Proximity to Coal-Fired Power Plants and Neurobehavioral Symptoms in Children. J. Expo. Sci. Environ. Epidemiol. 2022, 32, 124–134. [Google Scholar] [CrossRef]
- Chen, S.; Li, Y.; Shi, G.; Zhu, Z. Gone with the Wind? Emissions of Neighboring Coal-Fired Power Plants and Local Public Health in China. China Econ. Rev. 2021, 69, 101660. [Google Scholar] [CrossRef]
- Finkelman, R.B. Trace Elements in Coal: Environmental and Health Significance. Biol. Trace Elem. Res. 1999, 67, 197–204. [Google Scholar] [CrossRef]
- Reddy, M.S.; Basha, S.; Joshi, H.V.; Jha, B. Evaluation of the Emission Characteristics of Trace Metals from Coal and Fuel Oil Fired Power Plants and Their Fate during Combustion. J. Hazard. Mater. 2005, 123, 242–249. [Google Scholar] [CrossRef]
- Kragie, S.X.; Ryan, P.B.; Bergin, M.H.; Wang, S. Airborne Trace Metals from Coal Combustion in Beijing. Air Qual. Atmos. Health 2013, 6, 157–165. [Google Scholar] [CrossRef]
- Kittner, N.; Fadadu, R.P.; Buckley, H.L.; Schwarzman, M.R.; Kammen, D.M. Trace Metal Content of Coal Exacerbates Air-Pollution-Related Health Risks: The Case of Lignite Coal in Kosovo. Environ. Sci. Technol. 2018, 52, 2359–2367. [Google Scholar] [CrossRef] [PubMed]
- Evagelopoulos, V.; Charisiou, N.D.; Zoras, S. Dataset of Polycyclic Aromatic Hydrocarbons and Trace Elements in PM2.5 and PM10 Atmospheric Particles from Two Locations in North-Western Greece. Data Brief 2022, 42, 108266. [Google Scholar] [CrossRef] [PubMed]
- Chatzitheodoridis, F.; Kolokontes, A.D.; Vasiliadis, L. Lignite Mining and Lignite-Fired Power Generation in Western Macedonia of Greece: Economy and Environment. Economy and environment. J. Energy Dev. 2008, 33, 267–282. [Google Scholar]
- Pavloudakis, F.; Roumpos, C.; Karlopoulos, E.; Koukouzas, N. Sustainable Rehabilitation of Surface Coal Mining Areas: The Case of Greek Lignite Mines. Energies 2020, 13, 3995. [Google Scholar] [CrossRef]
- Pavloudakis, F.; Sachanidis, C.; Roumpos, C. The Effects of Surface Lignite Mines Closure on the Particulates Concentrations in the Vicinity of Large-Scale Extraction Activities. Minerals 2022, 12, 347. [Google Scholar] [CrossRef]
- Just Transition Development Plan. Current Situation and Prospects for Areas in Energy Transition in Greece; Government Committee SDAM: Athens, Greece, 2020.
- Kaldellis, J.K.; Voutsinas, M.; Paliatsos, A.G.; Koronakis, P.S. Temporal Evolution of the Sulphur Oxides Emissions from the Greek Electricity Generation Sector. Environ. Technol. 2004, 25, 1371–1384. [Google Scholar] [CrossRef]
- Petaloti, C.; Triantafyllou, A.; Kouimtzis, T.; Samara, C. Trace Elements in Atmospheric Particulate Matter over a Coal Burning Power Production Area of Western Macedonia, Greece. Chemosphere 2006, 65, 2233–2243. [Google Scholar] [CrossRef]
- Triantafyllou, A.G. Levels and Trend of Suspended Particles around Large Lignite Power Stations. Environ. Monit. Assess. 2003, 89, 15–34. [Google Scholar] [CrossRef]
- Triantafyllou, A.G.; Zoras, S.; Evagelopoulos, V. Particulate Matter Over A Seven Year Period in Urban and Rural Areas Within, Proximal and Far from Mining and Power Station Operations in Greece. Environ. Monit. Assess. 2006, 122, 41–60. [Google Scholar] [CrossRef]
- Iordanidis, A.; Buckman, J.; Triantafyllou, A.G.; Asvesta, A. Fly Ash–Airborne Particles from Ptolemais–Kozani Area, Northern Greece, as Determined by ESEM-EDX. Int. J. Coal Geol. 2008, 73, 63–73. [Google Scholar] [CrossRef]
- Samara, C.; Argyropoulos, G.; Grigoratos, T.; Kouras, A.; Manoli, Ε.; Andreadou, S.; Pavloudakis, F.; Sahanidis, C. Chemical Characterization and Receptor Modeling of PM10 in the Surroundings of the Opencast Lignite Mines of Western Macedonia, Greece. Environ. Sci. Pollut. Res. 2018, 25, 12206–12221. [Google Scholar] [CrossRef] [PubMed]
- Ziouzios, D.; Karlopoulos, E.; Fragkos, P.; Vrontisi, Z. Challenges and Opportunities of Coal Phase-Out in Western Macedonia. Climate 2021, 9, 115. [Google Scholar] [CrossRef]
- Evagelopoulos, V.; Charisiou, N.D.; Zoras, S. Dataset of Inhalable Particulate Matter Concentrations in the Region of West Macedonia, Greece for an 11-Year Period. Data Brief 2022, 41, 107883. [Google Scholar] [CrossRef] [PubMed]
- Triantafyllou, A.; Andreadou, S.; Moussiopoulos, N.; Garas, S.; Kapageridis, I.; Tsegas, G.; Diamantopoulos, C.; Sachanidis, C.; Skordas, I. Surface mining in Western Macedonia, Greece: Fugitive dust (PM10) emissions and dispersion. Int. J. Min. Miner. Eng. 2019, 10, 288–310. [Google Scholar] [CrossRef]
- Sichletidis, L.; Tsiotsios, I.; Chloros, D.; Daskalopoulou, E.; Ziomas, I.; Michailidis, K.; Kottakis, I.; Konstantinidis, T.H.; Palladas, P. The Effect of Environmental Pollution on the Respiratory System of Lignite Miners: A Diachronic Study. Med. Lav. 2004, 95, 452–464. [Google Scholar]
- Sichletidis, L.; Tsiotsios, I.; Gavriilidis, A.; Chloros, D.; Gioulekas, D.; Kottakis, I.; Pataka, A. The Effects of Environmental Pollution on the Respiratory System of Children in Western Macedonia. J. Investig. Allergol. Clin. Immunol. 2005, 15, 117–123. [Google Scholar]
- Sichletidis, L.; Spyratos, D.; Tsiotsios, A.; Haidich, A.-B.; Chloros, D.; Ganidis, I.; Michailidis, D.; Triantafyllou, G.; Kottakis, G.; Melas, D. Exposure to PM10 as a Risk Factor for the Development of Nasal Obstruction and Chronic Obstructive Pulmonary Disease. Int. J. Occup. Environ. Health 2014, 20, 9–15. [Google Scholar] [CrossRef][Green Version]
- Spyratos, D.; Sioutas, C.; Tsiotsios, A.; Haidich, A.-B.; Chloros, D.; Triantafyllou, G.; Sichletidis, L. Effects of Particulate Air Pollution on Nasal and Lung Function Development among Greek Children: A 19-Year Cohort Study. Int. J. Environ. Health Res. 2015, 25, 480–489. [Google Scholar] [CrossRef]
- Zoras, S.; Evagelopoulos, V.; Pytharoulis, I.; Kallos, G. Development and Validation of a Novel-Based Combination Operational Air Quality Forecasting System in Greece. Meteorol. Atmos. Phys. 2010, 106, 127–133. [Google Scholar] [CrossRef]
- Carslaw, D.C.; Ropkins, K. Openair—An R Package for Air Quality Data Analysis. Environ. Model. Softw. 2012, 27–28, 52–61. [Google Scholar] [CrossRef]
- Triantafyllou, A.G.; Kiros, E.S.; Evagelopoulos, V.G. Respirable Particulate Matter at an Urban and Nearby Industrial Location: Concentrations and Variability and Synoptic Weather Conditions during High Pollution Episodes. J. Air Waste Manag. Assoc. 2002, 52, 287–296. [Google Scholar] [CrossRef] [PubMed]
- Xu, G.; Jiao, L.; Zhang, B.; Zhao, S.; Yuan, M.; Gu, Y.; Liu, J.; Tang, X. Spatial and Temporal Variability of the PM2.5/PM10 Ratio in Wuhan, Central China. Aerosol Air Qual. Res. 2017, 17, 741–751. [Google Scholar] [CrossRef]
- Tolis, E.; Saraga, D.; Ammari, G.; Gkanas, E.; Gougoulas, T.; Papaioannou, C.; Sarioglou, A.; Kougioumtzidis, E.; Skemperi, A.; Bartzis, J. Chemical Characterization of Particulate Matter (PM) and Source Apportionment Study during Winter and Summer Period for the City of Kozani, Greece. Open Chem. 2014, 12, 643–651. [Google Scholar] [CrossRef]
- Valavanidis, A.; Vlachogiann, T.; Loridas, S.; Fiotakis, C. Atmospheric Pollution in Urban Areas of Greece and Economic Crisis. Trends in Air Quality and Atmospheric Pollution Data, Research and Adverse Health Effects 2015. Available online: https://www.researchgate.net/publication/284415702_Atmospheric_Pollution_in_Urban_Areas_of_Greece_and_Economic_Crisis_Trends_in_Air_Quality_and_Atmospheric_Pollution_Data_Research_and_Adverse_Health_Effects (accessed on 20 September 2022).
- Triantafyllou, A.G.; Krestou, A.; Matthaios, V. Source-Receptor Relationships by Using Dispersion Model in a Lignite Burning Area in Western Macedonia, Greece. Glob. NEST J. 2013, 15, 195–203. [Google Scholar] [CrossRef]
- Triantafyllou, A.G. PM10 Pollution Episodes as a Function of Synoptic Climatology in a Mountainous Industrial Area. Environ. Pollut. 2001, 112, 491–500. [Google Scholar] [CrossRef]
- Zoras, S.; Triantafyllou, A.G.; Evagelopoulos, V. Modeling and Forecasting around Power Plants in Complex Terrain: An Integrated Web Based Environmental Data Acquisition and Forecasting System. In Progress in Air Pollution Research; Nova Science Publications: Hauppauge, NY, USA, 2008; ISBN 1-60021-804-0. [Google Scholar]
- Karagiannidis, A.F.; Triantafyllou, A.G.; Karacostas, T.S. Analyzing the Basic Meteorological Aspects of a Particulate Air Pollution Episode over the Industrial Area of Northwestern Greece during the November of 2009. Glob. NEST J. 2013, 15, 241–253. [Google Scholar] [CrossRef]
- Morantes, G.; González, J.C.; Rincón, G. Characterisation of particulate matter and identification of emission sources in Greater Caracas, Venezuela. Air Qual. Atmos. Health 2021, 14, 1989–2014. [Google Scholar] [CrossRef]
- Bodor, K.; Bodor, Z.; Szép, R. Spatial distribution of trace elements (As, Cd, Ni, Pb) from PM10 aerosols and human health impact assessment in an Eastern European country, Romania. Environ. Monit. Assess. 2021, 193, 176. [Google Scholar] [CrossRef]
- Hao, Y.; Meng, X.; Yu, X.; Lei, M.; Li, W.; Shi, F.; Yang, W.; Zhang, S.; Xie, S. Characteristics of trace elements in PM2.5 and PM10 of Chifeng, northeast China: Insights into spatiotemporal variations and sources. Atmos. Res. 2018, 213, 550–561. [Google Scholar] [CrossRef]
- Garas, S.K.; Triantafyllou, A.G.; Tolis, E.I.; Diamantopoulos, C.N.; Bartzis, J.G. Positive Matrix Factorization on Elemental Concentrations of PM10 Samples Collected in Areas within, Proximal and Far from Mining and Power Station Operations in Greece. Glob. NEST J. 2020, 22, 132–142. [Google Scholar] [CrossRef]
- Iordanidis, A.; Buckman, J.; Triantafyllou, A.G.; Asvesta, A. Atlas of Airborne Particles from Kozani Area, Northern Greece. Geosociety 2018, 40, 1421. [Google Scholar] [CrossRef][Green Version]
- Tsitouridou, R.; Anatolaki, C. On the Wet and Dry Deposition of Ionic Species in the Vicinity of Coal-Fired Power Plants, Northwestern Greece. Atmos. Res. 2007, 83, 93–105. [Google Scholar] [CrossRef]















| Name | Location | Latitude | Longitude | Altitude (m) |
|---|---|---|---|---|
| S1 | Filotas | 40.626056 | 21.707554 | 568 |
| S2 | Koilada | 40.355725 | 21.930784 | 686 |
| S3 | Oikismos | 40.485181 | 21.718224 | 673 |
| S4 | Petrana | 40.290150 | 21.863800 | 614 |
| S5 | Komi | 40.203969 | 21.843391 | 415 |
| S6 | Amyntaio | 40.678970 | 21.681830 | 628 |
| S7 | Florina | 40.782096 | 21.410366 | 659 |
| S8 | Vevi-Meliti | 40.835500 | 21.586800 | 677 |
| S9 | Pontokomi | 40.406530 | 21.768110 | 702 |
| S10 | Anargyroi | 40.602222 | 21.610000 | 611 |
| PS1 | Agios Demetrios | 40.393542 | 21.925377 | 680 |
| PS2 | Kardia | 40.408991 | 21.786542 | 693 |
| PS3 | Ptolemaida | 40.480864 | 21.727385 | 641 |
| PS4 | Amyntaio | 40.618154 | 21.682730 | 665 |
| AQMS Code | AQMS Name | Theil–Sen for PM2.5 (Units/Year) | Theil–Sen for PM10 (Units/Year) |
|---|---|---|---|
| S1 | Filotas | −0.74 [−1.02, −0.35] ** | −1.56 [−2.32, −0.82] *** |
| S2 | Koilada | −0.42 [−0.94, +0.01] + | −1.08 [−1.46, −0.04] + |
| S3 | Oikismos | −1.14 [−2.56, −0.25] * | −3.72 [−4.53, −0.32] * |
| S4 | Petrana | −0.82 [−1.16, −0.13] * | −1.8 [−2.11, −0.95] *** |
| S5 | Komi | −0.65 [−1.03, −0.03] * | −1.13 [−2.00, −0.16] * |
| S6 | Amyntaio | −0.51 [−1.75, −0.25] *** | −0.99 [−2.86, −0.26] * |
| S7 | Florina | −1.08 [−3.26, +0.06] + | −1.99 [−3.85, −0.87] *** |
| S8 | Meliti | +0.45 [−1.69, +1.6] | + 0.52 [−1.25, +1.85] |
| S9 | Pontokomi | −0.90 [−1.78, −0.5] *** | −2.4 [−3.28, −0.65] *** |
| S10 | Anargyroi | −1.19 [−2.19, −0.94] *** | −3.07 [−6.86, −2.16] *** |
| Pontokomi PM10 | Temp (°C) | RH (%) | WS (m/s) | WD (Deg.) |
|---|---|---|---|---|
| Winter | 5.59 | 84.50 | 3.24 | 223 |
| Spring | 15.48 | 63.00 | 2.70 | 192 |
| Summer | 22.27 | 62.14 | 2.34 | 264 |
| Autumn | 15.29 | 66.63 | 1.66 | 216 |
| Pontokomi PM2.5 | Temp (°C) | RH (%) | WS (m/s) | WD (deg.) |
| Winter | 6.05 | 71.00 | 2.94 | 266 |
| Spring | 18.05 | 61.00 | 1.92 | 210 |
| Summer | 24.36 | 61.80 | 2.12 | 244 |
| Autumn | 13.93 | 70.85 | 2.27 | 208 |
| Petrana PM10 | Temp (°C) | RH (%) | WS (m/s) | WD (deg.) |
| Winter | 4.94 | 78.50 | 1.19 | 127 |
| Spring | 14.56 | 63.45 | 1.27 | 157 |
| Summer | 21.74 | 59.71 | 1.20 | 127 |
| Autumn | 15.10 | 66.88 | 1.00 | 168 |
| Petrana PM2.5 | Temp (°C) | RH (%) | WS (m/s) | WD (deg.) |
| Winter | 5.50 | 69.13 | 1.49 | 295 |
| Spring | 17.32 | 60.00 | 1.00 | 133 |
| Summer | 23.68 | 58.00 | 1.12 | 143 |
| Autumn | 14.05 | 68.85 | 1.12 | 102 |
Publisher’s Note: MDPI stays neutral with regard to jurisdictional claims in published maps and institutional affiliations. |
© 2022 by the authors. Licensee MDPI, Basel, Switzerland. This article is an open access article distributed under the terms and conditions of the Creative Commons Attribution (CC BY) license (https://creativecommons.org/licenses/by/4.0/).
Share and Cite
Evagelopoulos, V.; Begou, P.; Zoras, S. In-Depth Study of PM2.5 and PM10 Concentrations over a 12-Year Period and their Elemental Composition in the Lignite Center of Western Macedonia, Greece. Atmosphere 2022, 13, 1900. https://doi.org/10.3390/atmos13111900
Evagelopoulos V, Begou P, Zoras S. In-Depth Study of PM2.5 and PM10 Concentrations over a 12-Year Period and their Elemental Composition in the Lignite Center of Western Macedonia, Greece. Atmosphere. 2022; 13(11):1900. https://doi.org/10.3390/atmos13111900
Chicago/Turabian StyleEvagelopoulos, Vasilios, Paraskevi Begou, and Stamatis Zoras. 2022. "In-Depth Study of PM2.5 and PM10 Concentrations over a 12-Year Period and their Elemental Composition in the Lignite Center of Western Macedonia, Greece" Atmosphere 13, no. 11: 1900. https://doi.org/10.3390/atmos13111900
APA StyleEvagelopoulos, V., Begou, P., & Zoras, S. (2022). In-Depth Study of PM2.5 and PM10 Concentrations over a 12-Year Period and their Elemental Composition in the Lignite Center of Western Macedonia, Greece. Atmosphere, 13(11), 1900. https://doi.org/10.3390/atmos13111900

