Climatological Features of Squall Line at the Borneo Coastline during Southwest Monsoon
Abstract
1. Introduction
2. Experiments
2.1. Study Area
2.2. Identify BSL from Rainfall Data
2.3. Composite of Wind and Rainfall Data
2.4. Tropical Cyclone (TC) Data
2.5. Spectral Analysis and Correlation Analysis
3. Results and Discussion
3.1. Spatial and Temporal Climatology of BSL
3.2. Synoptic Features during BSL
3.3. The Relationship between TC and BSL
3.4. The Relationship between ENSO and BSL
4. Conclusions
Author Contributions
Funding
Institutional Review Board Statement
Informed Consent Statement
Data Availability Statement
Acknowledgments
Conflicts of Interest
References
- Wallace, J.M.; Hobbs, P.V.; McMurdie, L.; Houze, R.A., Jr. Atmospheric Science: An Introductory Survey, 2nd ed.; Elsevier: Amsterdam, The Netherlands, 2006; pp. 363–370. [Google Scholar]
- Galvin, J.F.P. The weather and climate of the tropics: Part 8–Mesoscale weather systems. Weather 2009, 64, 32–38. [Google Scholar] [CrossRef]
- Houze, R.A., Jr. Structure and dynamics of a tropical squall-line system. Mon. Weather Rev. 1977, 105, 1540–1567. [Google Scholar] [CrossRef]
- Gamache, J.F.; Houze, R.A., Jr. Mesoscale air motion associated with a tropical squall line. Mon. Weather Rev. 1982, 110, 118–135. [Google Scholar] [CrossRef]
- Houze, R.A., Jr.; Cetrone, J. Leading and trailing anvil clouds of West African squall lines. J. Atmos. Sci. 2011, 68, 1114–1123. [Google Scholar] [CrossRef][Green Version]
- Johnson, R.H.; Young, G.S. Heat and moisture budgets of tropical mesoscale anvil cloud. J. Atmos. Sci. 1983, 40, 2138–2147. [Google Scholar] [CrossRef]
- Moncrieff, M.W.; Miller, M.J. The dynamics and simulation of tropical squall-lines. Quart. J. R. Met. Soc. 1976, 102, 373–394. [Google Scholar] [CrossRef]
- Smith, W.P.; Gall, R.L. Tropical squall line of Arizona monsoon. Mon. Weather Rev. 1989, 117, 1553–1569. [Google Scholar] [CrossRef]
- Tulich, S.N.; Kiladis, G.N. Squall lines and convectively coupled gravity waves in the tropics: Why do most cloud systems propagate westward? J. Atmos. Sci. 2012, 69, 2995–3012. [Google Scholar] [CrossRef]
- Hidayat, A.M.; Efendi, U.; Rahmadini, H.N.; Nugraheni, I.R. The characteristics of squall line over Indonesia and its vicinity based on Himawari-8 satellite imagery and radar data interpretation. IOP Conf. Ser. Earth Environ. Sci. 2019, 303, 1–11. [Google Scholar] [CrossRef]
- Lo, J.C.-F.; Orton, T. The general features of tropical Sumatra Squalls. Weather 2016, 71, 175–178. [Google Scholar] [CrossRef]
- Koh, I.-Y.; Teo, C.-K. Toward a mesoscale observation network in Southeast Asia. Am. Meteorol. Soc. 2009, 90, 481–488. [Google Scholar] [CrossRef]
- Wu, P.; Hara, M.; Hamada, J.-i.; Yamanaka, M.D.; Kimura, F. Why a large amount of rain falls over the sea in the vicinity of western Sumatra Island during nighttime. J. Appl. Meteorol. Climatol. 2009, 48, 1345–1361. [Google Scholar] [CrossRef]
- Yi, L.; Lim, H. Semi-Idealized COAMPS® Simulations of Sumatra Squall Lines: The Role of Boundary Forcing; Ip, W.-H., Chen, Y.-T., Eds.; World Scientific Publishing Co. Pte. Ltd.: Singapore, 2006; Volume 9, pp. 111–124. [Google Scholar]
- Ichikawa, H.; Yasunari, T. Time– space characteristics of diurnal rainfall over Borneo and surrounding oceans as observed by TRMM-PR. J. Clim. 2006, 19, 1238–1260. [Google Scholar] [CrossRef]
- Yasunari, T.; Kanamori, H.; Kuraji, K. Modulation of the diurnal cycle of rainfall associated with the MJO observed by a dense hourly rain gauge network at Sarawak, Borneo. J. Clim. 2013, 26, 4858–4875. [Google Scholar] [CrossRef][Green Version]
- Murakami, M. Analysis of deep convective activity over the western Pacific and Southeast Asia. Part I: Diurnal variation. J. Meteorol. Soc. Jpn. 1983, 61, 60–76. [Google Scholar] [CrossRef]
- Wolff, D.B.; Nelkin, E.J.; Bolvin, D.T.; Huffman, G.J.; Adler, R.F.; Gu, G.; Hong, Y.; Bowman, K.P.; Stocker, E.F. The TRMM Multisatellite Precipitation Analysis (TMPA): Quasi-Global, Multiyear, Combined-Sensor Precipitation Estimates at Fine Scales; GESDISC, NASA: Greenbelt, MD, USA, 2007; Volume 8, pp. 38–55.
- Rickenbach, T.M. Cloud-top evolution of tropical oceanic squall lines from radar reflectivity and infrared satellite data. Mon. Weather Rev. 1999, 127, 2951–2976. [Google Scholar] [CrossRef]
- Chen, Y.; Ebert, E.E.; Walsh, K.J.E.; Davidson, N.E. Evaluation of TRMM 3B42 precipitation estimates of tropical cyclone rainfall using PACRAIN data. J. Geophys. Res. Atmos. 2013, 118, 2184–2196. [Google Scholar] [CrossRef]
- Jirak, I.L.; Cotton, W.R.; Mcanelly, R.L. Satellite and radar survey of mesoscale convective system development. Mon. Weather Rev. 2003, 131, 2428–2449. [Google Scholar] [CrossRef]
- Chokngamwong, R.; Chiu, L.S. Thailand daily rainfall and comparison with TRMM products. J. Hydrometeorol. 2008, 9, 256–266. [Google Scholar] [CrossRef]
- As-syakur, A.R.; Tanaka, T.; Osawa, T.; Mahendra, M.S. Indonesian rainfall variability observation using TRMM multi-satellite data. Int. J. Remote Sens. 2013, 34, 7723–7738. [Google Scholar] [CrossRef]
- Houze, R.A., Jr.; Rasmussen, K.L.; Zuluaga, M.D.; Brodzik, S.R. The variable nature of convection in the tropics and subtropics: A legacy of 16 years of the Tropical Rainfall Measuring Mission satellite. Rev. Geophys. 2015, 53, 994–1021. [Google Scholar] [CrossRef] [PubMed]
- Mahmud, M.; Numata, S.; Matsuyama, H.; Hosaka, T.; Hashim, M. Assessment of effective seasonal downscaling of TRMM precipitation data in Peninsular Malaysia. Remote Sens. 2015, 7, 4092–4111. [Google Scholar] [CrossRef]
- Tan, M.; Ibrahim, A.; Duan, Z.; Cracknell, A.; Chaplot, V. Evaluation of sixh high-resolution satellite and ground-based precipitation products over Malaysia. Remote Sens. 2015, 7, 1504–1528. [Google Scholar] [CrossRef]
- Varikoden, H.; Samah, A.A.; Babu, C.A. Spatial and temporal characteristics of rain intensity in the peninsular Malaysia using TRMM rain rate. J. Hydrol. 2010, 387, 312–319. [Google Scholar] [CrossRef]
- Ayoub, A.B.; Tangang, F.; Juneng, L.; Tan, M.L.; Chung, J.X. Evaluation of gridded precipitation datasets in Malaysia. Remote Sens. 2020, 12, 613. [Google Scholar] [CrossRef]
- Klotter, D.; Nicholson, S.E.; Jackson, B. Mesoscale convective systems over Western Equatorial Africa and their relationship to large-scale circulation. Mon. Weather Rev. 2009, 137, 1272–1294. [Google Scholar] [CrossRef]
- Jaramillo, L.; Poveda, G.; Mejía, J.F. Mesoscale convective systems and other precipitation features over the tropical Americas and surrounding seas as seen by TRMM. Int. J. Climatol. 2017, 37, 380–397. [Google Scholar] [CrossRef]
- Maranan, M.; Fink, A.H.; Knippertz, P. Rainfall types over southern West Africa: Objective identification, climatology and synoptic environment. Q. J. R. Meteorol. Soc. 2018, 144, 1628–1648. [Google Scholar] [CrossRef]
- Nesbitt, S.W.; Cifelli, R.; Rutledge, S.A. Storm morphology and rainfall characteristics of TRMM precipitation features. Mon. Weather Rev. 2006, 134, 2702–2721. [Google Scholar] [CrossRef]
- Nunes, A.M.P.; Silva Dias, M.A.F.; Anselmo, E.M.; Morales, C.A. Severe convection features in the Amazon Basin: A TRMM-based 15-year evaluation. Front. Earth Sci. 2016, 4, 37. [Google Scholar] [CrossRef]
- Xu, W. East Asian Summer Monsoon Precipitation Systems: Rainfall Characteristics, Storm Morphologies and Convective Properties. Ph.D. Thesis, The University of Utah, Salt Lake City, UT, USA, 2011. [Google Scholar]
- Mori, S.; Hamada, J.-I.; Tauhid, Y.I.; Yamanaka, M.D.; Okamoto, N.; Murata, F.; Sakurai, N.; Hashiguchi, H.; Sribimawati, T. Diurnal Land–Sea Rainfall Peak Migration over Sumatera Island, Indonesian Maritime Continent, Observed by TRMM Satellite and Intensive Rawinsonde Soundings. Mon. Weather Rev. 2004, 132, 2021–2039. [Google Scholar] [CrossRef]
- Fujita, M.; Kimura, F.; Yoshizaki, M. Morning Precipitation Peak over the Strait of Malacca under a Calm Condition. Mon. Weather Rev. 2010, 138, 1474–1486. [Google Scholar] [CrossRef]
- Dee, D.P.; Uppala, S.M.; Simmons, A.J.; Berrisford, P.; Poli, P.; Kobayashi, S.; Andrae, U.; Balmaseda, M.A.; Balsamo, G.; Bauer, P.; et al. The ERA-Interim reanalysis: Configuration and performance of the data assimilation system. Q. J. R. Meteorol. Soc. 2011, 137, 553–597. [Google Scholar] [CrossRef]
- Kalnay, E.; Kanamitsu, M.; Kistler, R.; Collins, W.; Deaven, D.; Gandin, L.; Iredell, M.; Saha, S.; White, G.; Woollen, J.; et al. The NCEP/NCAR 40-Year Reanalysis Project. Bull. Am. Meteorol. Soc. 1996, 77, 437–472. [Google Scholar] [CrossRef]
- Ahmad, I.; Tang, D.; Wang, T.; Wang, M.; Wagan, B. Precipitation trends over time using Mann-Kendall and Spearman’s rho tests in Swat River Basin, Pakistan. Adv. Meteorol. 2015, 2015, 1–15. [Google Scholar] [CrossRef]
- Hsu, P.-C.; Chu, P.-S.; Murakami, H.; Zhao, X. An abrupt decrease in the late-season typhoon activity over the Western North Pacific*. J. Clim. 2014, 27, 4296–4312. [Google Scholar] [CrossRef]
- Kripalani, R.H.; Kulkarni, A. Rainfall variability over South-East Asia-connections with Indian Monsoon and ENSO extremes: New perspectives. Int. J. Climatol. 1997, 17, 1155–1168. [Google Scholar] [CrossRef]
- Kundzewicz, Z.W.; Robson, A. Detecting Trend and Other Changes in Hydrological Data; WMO: Geneva, Switzerland, 2000. [Google Scholar]
- Sulaiman, N.H.; Kamarudin, M.K.A.; Mustafa, A.D.; Amran, M.A.; Azaman, F.; Abidin, I.Z.; Hairoma, N. Trend analysis of Pahang River using non-parametric analysis Mann Kendall’s trend test. Malays. J. Anal. Sci. 2015, 19, 1327–1334. [Google Scholar]
- Wu, L.; Wang, B.; Geng, S. Growing typhoon influence on east Asia. Geophys. Res. Lett. 2005, 32. [Google Scholar] [CrossRef]
- Zhao, H.; Wu, L.; Zhou, W. Assessing the influence of the ENSO on tropical cyclone prevailing tracks in the western North Pacific. Adv. Atmos. Sci. 2010, 27, 1361–1371. [Google Scholar] [CrossRef]
- Hamed, K.H. The distribution of Kendall’s tau for testing the significance of cross-correlation in persistent data. Hydrol. Sci. J. 2011, 56, 841–853. [Google Scholar] [CrossRef]
- Wang, B.; Luo, X.; Liu, J. How robust is the Asian precipitation–ENSO relationship during the industrial warming period (1901–2017)? J. Clim. 2020, 33, 2779–2792. [Google Scholar] [CrossRef]
- Lin, I.I.; Camargo, S.J.; Patricola, C.M.; Boucharel, J.; Chand, S.; Klotzbach, P.; Chan, J.C.L.; Wang, B.; Chang, P.; Li, T.; et al. ENSO and Tropical Cyclones. In El Niño Southern Oscillation in a Changing Climate, Geophysical Monograph, 1st ed.; Geophysical Monograph Series; John Wiley & Sons, Inc.: Hoboken, NJ, USA, 2021; Volume 253, pp. 377–408. [Google Scholar]
- Tangang, F.; Juneng, L. Mechanisms of Malaysian rainfall anomalies. J. Clim. 2004, 17, 7. [Google Scholar] [CrossRef]
- Larkin, N.K. Global seasonal temperature and precipitation anomalies during El Niño autumn and winter. Geophys. Res. Lett. 2005, 32. [Google Scholar] [CrossRef]
- Tangang, F.T.; Juneng, L.; Ahmad, S. Trend and interannual variability of temperature in Malaysia: 1961–2002. Theor. Appl. Climatol. 2006, 89, 127–141. [Google Scholar] [CrossRef]
- Zhou, L.-T.; Tam, C.-Y.; Zhou, W.; Chan, J.C.L. Influence of South China Sea SST and the ENSO on winter rainfall over south China. Adv. Atmos. Sci. 2010, 27, 832–844. [Google Scholar] [CrossRef]
- Wong, C.; Liew, J.; Yusop, Z.; Ismail, T.; Venneker, R.; Uhlenbrook, S. Rainfall characteristics and regionalization in Peninsular Malaysia based on a high resolution gridded data set. Water 2016, 8, 500. [Google Scholar] [CrossRef]
- Santoso, A.; McPhaden, M.J.; Cai, W. The defining characteristics of ENSO extremes and the strong 2015/2016 El Niño. Rev. Geophys. 2017, 55, 1079–1129. [Google Scholar] [CrossRef]
- Supari; Tangang, F.; Juneng, L.; Aldrian, E. Observed changes in extreme temperature and precipitation over Indonesia. Int. J. Climatol. 2017, 37, 1979–1997. [Google Scholar] [CrossRef]
- Ren, H.-L.; Lu, B.; Wan, J.; Tian, B.; Zhang, P. Identification standard for ENSO events and its application to climate monitoring and prediction in China. J. Meteorol. Res. 2019, 32, 923–936. [Google Scholar] [CrossRef]
- Sazib, N.; Mladenova, L.E.; Bolten, J.D. Assessing the impact of ENSO on agriculture over Africa using earth observation data. Front. Sustain. Food Syst. 2020, 4, 188. [Google Scholar] [CrossRef]
- Juneng, L.; Tangang, F.T. Evolution of ENSO-related rainfall anomalies in Southeast Asia region and its relationship with atmosphere–ocean variations in Indo-Pacific sector. Clim. Dyn. 2005, 25, 337–350. [Google Scholar] [CrossRef]
- Wu, P.; Yamanaka, M.D.; Matsumoto, J. The formation of nocturnal rainfall offshore from convection over western Kalimantan (Borneo) Island. J. Meteorol. Soc. Jpn. 2008, 86A, 187–203. [Google Scholar] [CrossRef]
- Wu, P.; Hamada, J.-I.; Yamanaka, M.D.; Matsumoto, J.; Hara, M. The impact of orographically-induced gravity waves on the diurnal cycle of rainfall over southeast Kalimantan Island. Atmos. Ocean. Sci. Lett. 2015, 2, 35–39. [Google Scholar] [CrossRef]
- Wang, S.; Sobel, A.H. Factors controlling rain on small tropical islands: Diurnal cycle, large-scale wind speed, and topography. J. Atmos. Sci. 2017, 74, 3515–3532. [Google Scholar] [CrossRef]
- Robertson, A.W.; Qian, J.-H.; Moron, V. Interactions among ENSO, the monsoon, and diurnal cycle in rainfall variability over Java, Indonesia. J. Atmos. Sci. 2010, 67, 3509–3524. [Google Scholar] [CrossRef]
- Qian, J.-H.; Robertson, A.W.; Moron, V. Diurnal cycle in different weather regimes and rainfall variability over Borneo associated with ENSO. J. Clim. 2013, 26, 1772–1790. [Google Scholar] [CrossRef]
- Bidin, K.; Chappell, N.A. Characteristics of rain events at an inland locality in northeastern Borneo, Malaysia. Hydrol. Processes 2006, 20, 3835–3850. [Google Scholar] [CrossRef][Green Version]
- Alfahmi, F.; Boer, R.; Hidayat, R.; Perdinan; Sopaheluwakan, A. The impact of concave coastline on rainfall offshore distribution over Indonesian Maritime Continent. Sci. World J. 2019, 2019, 6839012. [Google Scholar] [CrossRef]
- Qian, J.-H. Why Precipitation Is Mostly Concentrated over Islands in the Maritime Continent. J. Atmos. Sci. 2008, 65, 1428–1441. [Google Scholar] [CrossRef]
- Tangang, F.; Farzanmanesh, R.; Mirzaei, A.; Supari; Salimun, E.; Jamaluddin, A.F.; Juneng, L. Characteristics of precipitation extremes in Malaysia associated with El Niño and La Niña events. Int. J. Climatol. 2017, 37, 696–716. [Google Scholar] [CrossRef]
- Scaife, A.; Guilyardi, E.; Cain, M.; Gilbert, A. What is the El Niño–Southern Oscillation? Weather 2019, 74, 250–251. [Google Scholar] [CrossRef]
- Cheang, B.k. lnterannual variability of monsoons in Malaysia and its relationship with ENSO. Proc. Indian Acad. Sci.-Earth Planet. Sci. 1993, 102, 219–239. [Google Scholar] [CrossRef]
- Chang, C.P.; Harr, P.A.; Chen, H.-J. Synoptic disturbances over the equatorial South China Sea and western maritime continent during boreal winter. Mon. Weather Rev. 2005, 133, 489–503. [Google Scholar] [CrossRef]
- Li, T.; Wang, B.; Wu, B.; Zhou, T.; Chang, C.-P.; Zhang, R. Theories on formation of an anomalous anticyclone in western North Pacific during El Niño: A review. J. Meteorol. Res. 2018, 31, 987–1006. [Google Scholar] [CrossRef]
- Wang, B.; LinHo; Zhang, Y.; Lu, M.-M. Definition of South China Sea monsoon onset and commencement of the east Asia summer monsoon. J. Clim. 2004, 17, 699–710. [Google Scholar] [CrossRef]
- Klüpfel, V.; Kalthoff, N.; Gantner, L.; Taylor, C.M. Convergence zones and their impact on the initiation of a mesoscale convective system in West Africa. Q. J. R. Meteorol. Soc. 2012, 138, 950–963. [Google Scholar] [CrossRef]
- Wang, B. The Asian Monsoon; Springer: Chichester, UK, 2006. [Google Scholar]
- Chen, T.-C.; Wang, S.-Y.; Yen, M.-C. Interannual variation of the tropical cyclone activity over the western north Pacific. J. Clim. 2006, 19, 5709–5720. [Google Scholar] [CrossRef]
- Vollaro, D.; Molinari, J. What Percentage of Western North Pacific Tropical Cyclones Form within the Monsoon Trough? Mon. Weather Rev. 2013, 141, 499–505. [Google Scholar] [CrossRef]
- Neumann, C.J. Global Guide to Tropical Cyclone Forecasting; World Meteorological Organization: Geneva, Switzerland, 2017; Volume WMO-1194. [Google Scholar]
- Gao, S.; Zhu, L.; Zhang, W.; Shen, X. Western North Pacific tropical cyclone activity in 2018: A season of extremes. Sci. Rep. 2020, 10, 5610. [Google Scholar] [CrossRef]
- Zhan, R.; Wang, Y.; Ying, M. Seasonal forecasts of tropical cyclone activity over the western north Pacific: A review. Trop. Cyclone Res. Rev. 2012, 1, 307–324. [Google Scholar] [CrossRef]
- Huangfu, J.; Huang, R.; Chen, W. Relationship between the South China Sea summer monsoon onset and tropical cyclone genesis over the western North Pacific. Int. J. Climatol. 2017, 37, 5206–5210. [Google Scholar] [CrossRef]
- Cheang, B.-K.; Tan, H.-V. Some aspects of the summer monsoon in South-East Asia May to September 1986. Aust. Meteorol. Mag. 1988, 36, 227–233. [Google Scholar]
- Tangang, F.T.; Liew, J.; Salimun, E.; Jui, L.L. Climate change and variability over Malaysia: Gaps in science and research information. Sains Malays. 2012, 41, 1355–1366. [Google Scholar]
- Yang, L.; Wang, X.; Huang, K.; Wang, D. Anomalous tropical cyclone activity in the western north Pacific in August 2014. Bull. Am. Meteorol. Soc. 2015, 96, S120–S125. [Google Scholar] [CrossRef]
- Zhang, W.-Z.; Lin, S.; Jiang, X.-M. Influence of tropical cyclones in the western north Pacific. In Recent Developments in Tropical Cyclone Dynamics, Prediction, and Detection; Intech: London, UK, 2016. [Google Scholar]
- Zuki, Z.M.; Lupo, A.R. Interannual variability of tropical cyclone activity in the southern South China Sea. J. Geophys. Res. 2008, 113, 14. [Google Scholar] [CrossRef]
- Chan, J.C.L. Tropical cyclone activity over the western north Pacific associated with El-Nino and La-Nina events. Jounal Clim. 2000, 13, 2960–2972. [Google Scholar] [CrossRef]
- Camargo, S.J.; Sobel, A.H. Western north Pacific tropical cyclone intensity and ENSO. J. Clim. 2005, 18, 2996–3006. [Google Scholar] [CrossRef]
- Saunders, M.A.; Chandler, R.E.; Merchant, C.J.; Roberts, F.P. Atlantic hurricanes and NW Pacific typhoons: ENSO spatial impacts on occurrence and landfall. Geophys. Res. Lett. 2000, 27, 1147–1150. [Google Scholar] [CrossRef]
- Rotunno, R.; Klemp, J.B.; Weisman, M.L. A theory of strong, long-lived squall lines. J. Atmos. Sci. 1988, 45, 463–485. [Google Scholar] [CrossRef]













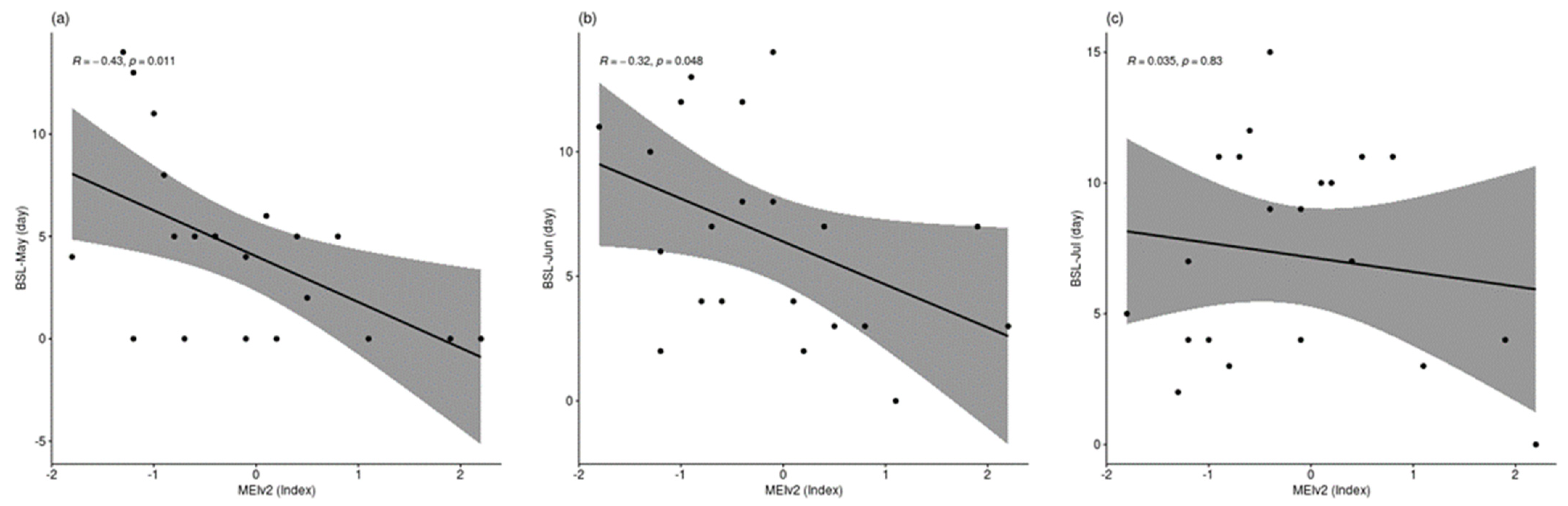
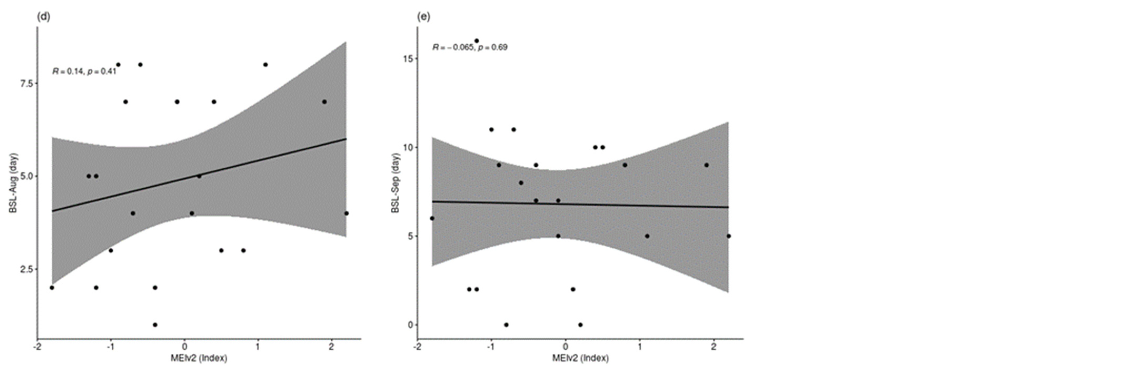
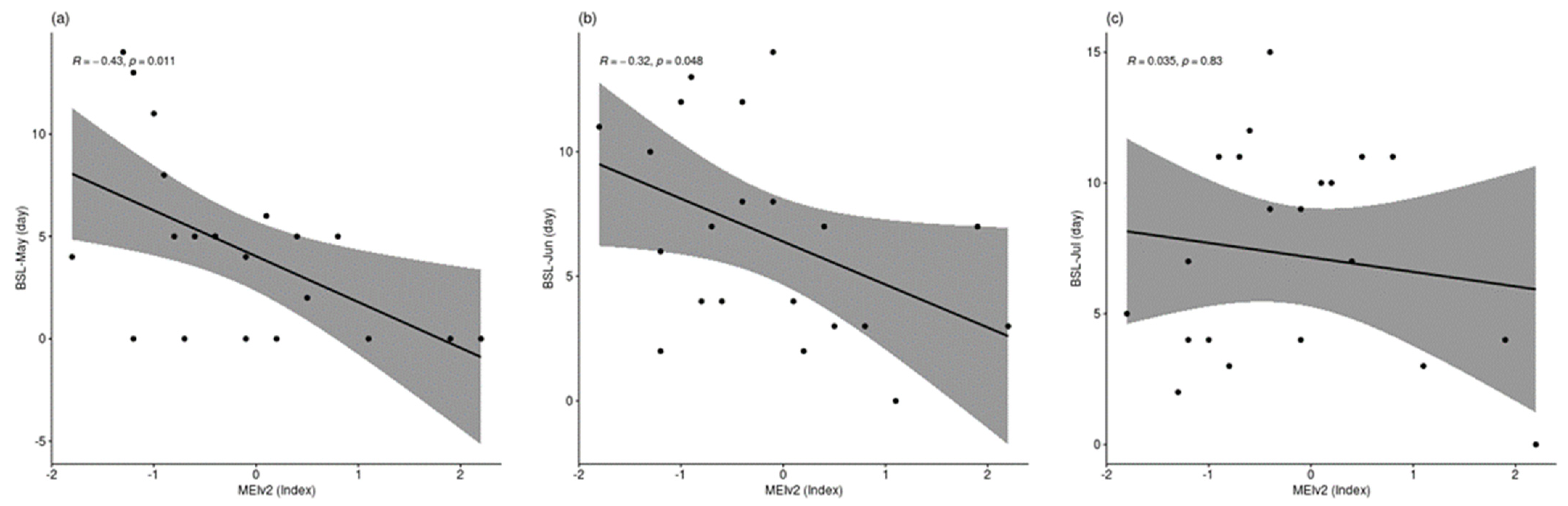
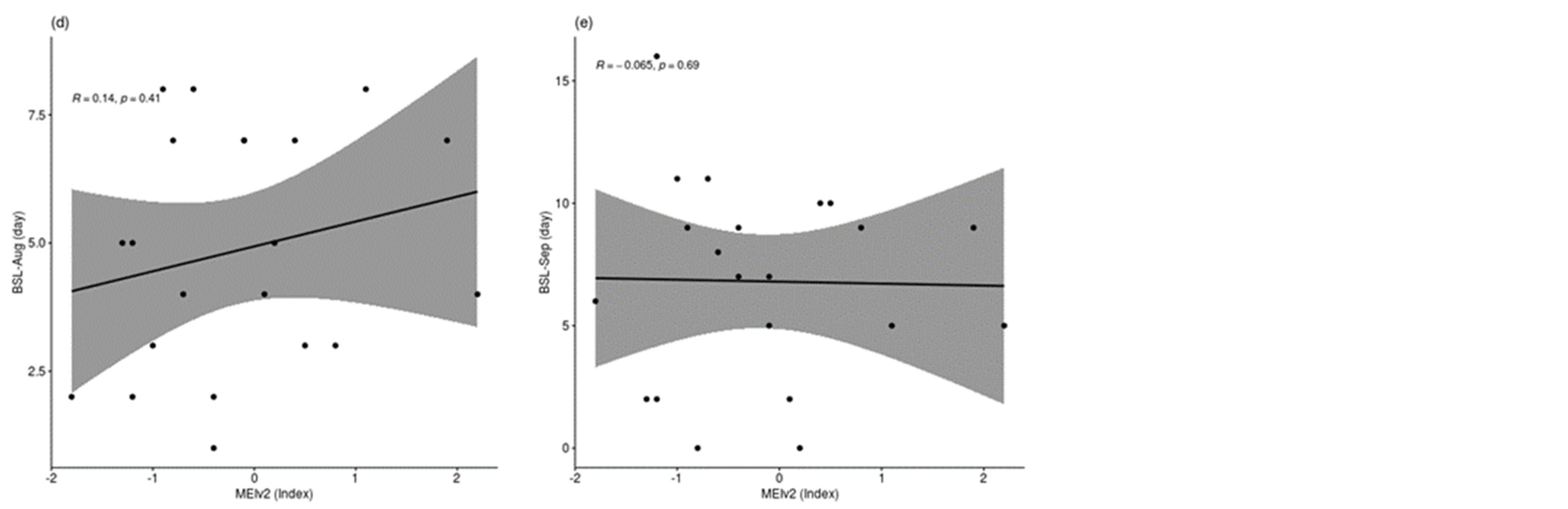
| Value | May | June | July | August | September |
|---|---|---|---|---|---|
| Tau (τ) | −0.43 | −0.32 | −0.04 | 0.14 | −0.07 |
| p | 0.01 | 0.048 | 0.83 | 0.41 | 0.69 |
Publisher’s Note: MDPI stays neutral with regard to jurisdictional claims in published maps and institutional affiliations. |
© 2022 by the authors. Licensee MDPI, Basel, Switzerland. This article is an open access article distributed under the terms and conditions of the Creative Commons Attribution (CC BY) license (https://creativecommons.org/licenses/by/4.0/).
Share and Cite
Fakaruddin, F.J.; Nawai, N.A.; Abllah, M.; Tangang, F.; Juneng, L. Climatological Features of Squall Line at the Borneo Coastline during Southwest Monsoon. Atmosphere 2022, 13, 116. https://doi.org/10.3390/atmos13010116
Fakaruddin FJ, Nawai NA, Abllah M, Tangang F, Juneng L. Climatological Features of Squall Line at the Borneo Coastline during Southwest Monsoon. Atmosphere. 2022; 13(1):116. https://doi.org/10.3390/atmos13010116
Chicago/Turabian StyleFakaruddin, Fadila Jasmin, Najhan Azima Nawai, Mahani Abllah, Fredolin Tangang, and Liew Juneng. 2022. "Climatological Features of Squall Line at the Borneo Coastline during Southwest Monsoon" Atmosphere 13, no. 1: 116. https://doi.org/10.3390/atmos13010116
APA StyleFakaruddin, F. J., Nawai, N. A., Abllah, M., Tangang, F., & Juneng, L. (2022). Climatological Features of Squall Line at the Borneo Coastline during Southwest Monsoon. Atmosphere, 13(1), 116. https://doi.org/10.3390/atmos13010116

